Potential of Biochar Derived from Agricultural Residues for Sustainable Management
Abstract
:1. Introduction
2. Materials and Methods
2.1. Agricultural Residues and Biochar Preparation
2.2. Biochar Characterization
2.3. Biochar for Water Filtration and Seed Germination Study
3. Results and Discussion
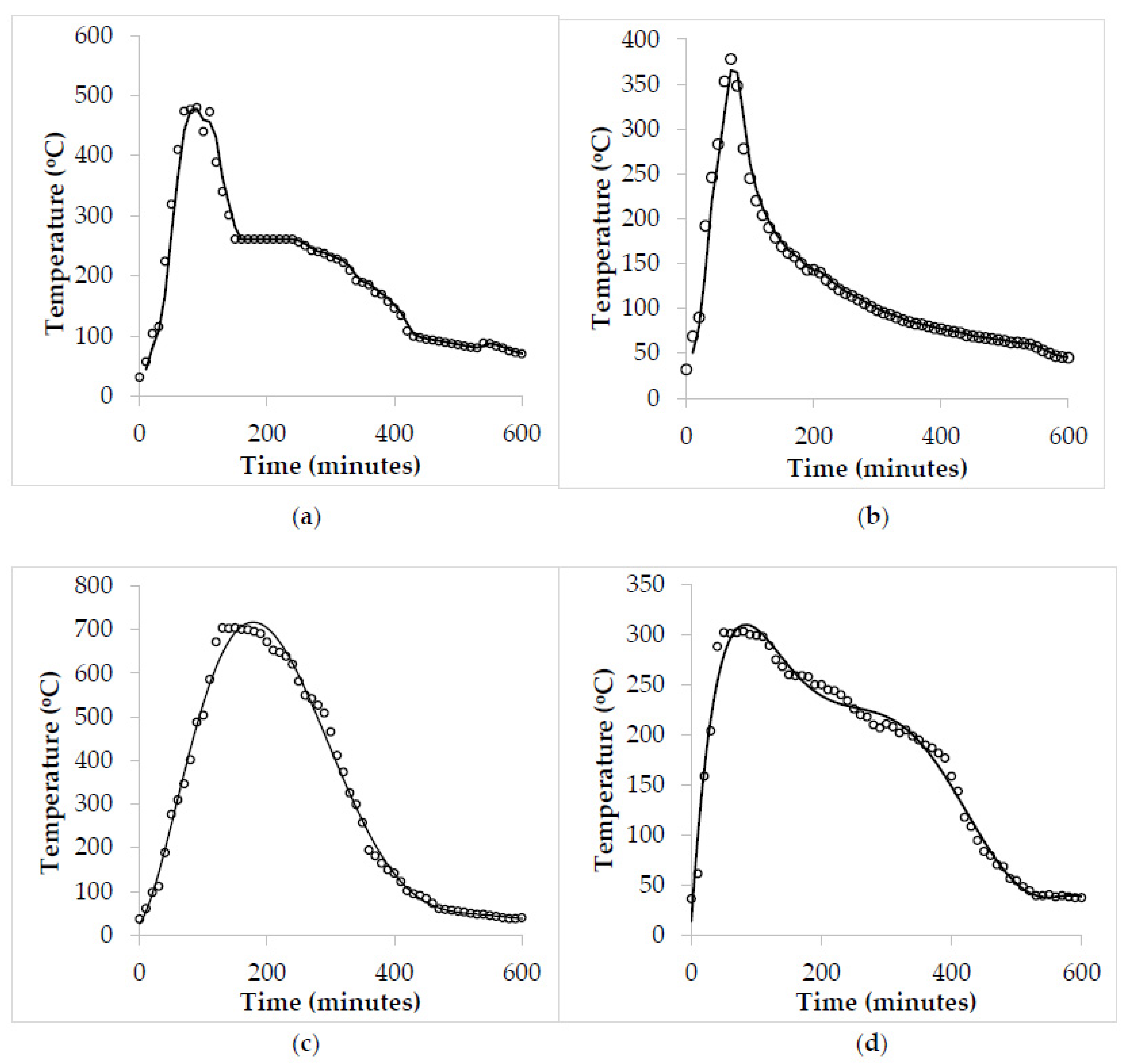
3.1. Temperature Profile and Yield
3.2. Physical Characteristic of Biochars
3.3. Chemical Characteristics of Biochars
3.4. Proximate and Ultimate Analysis
3.5. Application of CH Biochar for Water Filtration
4. Conclusions
Author Contributions
Funding
Institutional Review Board Statement
Informed Consent Statement
Data Availability Statement
Conflicts of Interest
References
- Tun, M.M.; Juchelkova, D.; Win, M.M.; Thu, A.M.; Puchor, T. Biomass energy: A overview of biomass sources, energy potential, and management in Southeast Asian countries. Resources 2019, 8, 81. [Google Scholar] [CrossRef] [Green Version]
- Wyn, H.K.; Zarate, S.; Carrascal, J.; Yerman, L. A novel approach to the production of biochar with improved fuel characteristics for biomass. Waste Biomass Valorization 2020, 11, 6467–6481. [Google Scholar] [CrossRef]
- Ding, Y.; Liu, Y.; Liu, S.; Li, Z.; Tan, X.; Huang, X.; Zeng, G.; Zhou, L.; Zheng, B. Biochar to improve soil fertility. A review. Agron. Sustain. Dev. 2016, 36, 36. [Google Scholar] [CrossRef] [Green Version]
- Lin, X.W.; Xie, Z.B.; Zheng, J.Y.; Liu, Q.; Bei, Q.C.; Zhu, J.G. Effect of biochar application on greenhouse gas emissions, carbon sequestration and crop growth in coastal saline soil. Eur. J. Soil. Sci. 2015, 66, 329–338. [Google Scholar] [CrossRef]
- Fidel, R.B.; Laird, D.A.; Parkin, T.B. Effect of biochar on soil greenhouse gas emissions at the laboratory and field scales. Soil Syst. 2019, 3, 8. [Google Scholar] [CrossRef] [Green Version]
- Boehm, A.B.; Bell, C.D.; Fitzgerald, N.J.M.; Gallo, E.; Higgins, C.P.; Hogue, T.S.; Luthy, R.G.; Portmann, A.C.; Ulrich, B.A.; Wolfand, J.M. Biochar-augmented biofilters to improve pollutant removal from stormwater-can they improve receiving water quality. Environ. Sci. Water Res. Technol. 2020, 6, 1520–1537. [Google Scholar] [CrossRef] [Green Version]
- Chen, J.; Li, C.; Ristovski, Z.; Milic, A.; Gu, Y.; Islam, M.S.; Wang, S.; Hao, J.; Zhang, H.; He, C.; et al. A review of biomass burning: Emissions and impacts on air quality, health and climate in China. Sci. Total Environ. 2017, 579, 1000–1034. [Google Scholar] [CrossRef] [PubMed] [Green Version]
- Kakareka, S.V.; Kukharchyk, T.I. PAH emission from the open burning of agricultural debris. Sci. Total Environ. 2003, 308, 257–261. [Google Scholar] [CrossRef]
- Lewandowski, W.; Ryms, M.; Kosakowski, W. Thermal biomass conversion: A review. Processes 2020, 8, 516. [Google Scholar] [CrossRef]
- Sparrevik, M.; Field, J.L.; Martinsen, V.; Breedveld, G.D.; Cornelissen, G. Life cycle assessment to evaluate the environmental impact of biochar implementation in conservation agriculture in Zambia. Environ. Sci. Technol. 2013, 47, 1206–1215. [Google Scholar] [CrossRef]
- Pangnakorn, U.; Watanasorn, S.; Kuntha, C.; Chuenchooklin, S. Application of wood vinegar to fermented liquid bio0fertilizer for organic agriculture on soybean. Asian J. Food Agro-Ind. 2009, 2, S189–S196. [Google Scholar]
- Jindo, K.; Mizumoto, H.; Sawada, Y.; Sanchez-Monedero, M.A.; Sonoki, T. Physical and chemical characterization of biochars derived from different agricultural residues. Biogeosciences 2014, 11, 6613–6621. [Google Scholar] [CrossRef] [Green Version]
- Guizani, C.; Jeguirim, M.; Valin, S.; Limousy, L.; Salvador, S. Biomass chars: The effects of pyrolysis conditions on their morphology, structure, chemical properties and reactivity. Energies 2017, 10, 796. [Google Scholar] [CrossRef] [Green Version]
- Gwenzi, W.; Chaukura, N.; Noubactep, C.; Mukome, F.N.D. Biochar-based water treatment systems as a potential low-cost and sustainable technology for clean water provision. J. Environ. Manag. 2017, 197, 732–749. [Google Scholar] [CrossRef]
- Ifa, L.; Yani, S.; Nurjannah, N.; Sabara, Z.; Yuliana, Y.; Kusuma, H.S.; Mahfud, M. Production of bio-briquette from biochar derived from pyrolysis of cashew nut waste. Ecol. Environ. Conserv. 2019, 25, S125–S131. [Google Scholar]
- Tippayawong, K.Y.; Chaidi, N.; Ngamlertsappakit, T.; Tippayawong, N. Demand and cost analysis of agricultural residues utilized as biorenewable fuels for power generation. Energy Rep. 2020, 6, 1298–1302. [Google Scholar] [CrossRef]
- Liu, Z.; Dugan, B.; Masiello, C.A.; Gonnermann, H.M. Biochar particle size shape, and porosity act together to influence soil water properties. PLoS ONE 2017, 12, 0179079. [Google Scholar] [CrossRef] [PubMed] [Green Version]
- ASTM. Standard Test Method for Determination of Iodine Number of Activated Carbon (D4607-94); ASTM International: West Conshohocken, PA, USA, 2021; Available online: https://www.astm.org/Standards/D4607.htm (accessed on 8 March 2021).
- ASTM. Standard Practice for Proximate Analysis of Coal and Coke (D3172-13); ASTM International: West Conshohocken, PA, USA, 2021; Available online: https://www.astm.org/DATABASE.CART/STD_REFERENCE/D3172.htm (accessed on 8 March 2021).
- Yuan, J.H.; Xu, R.K.; Zhang, H. The forms of alkalis in the biochar produced from crop residues at different temperatures. Bioresour. Technol. 2011, 101, 3488–3497. [Google Scholar] [CrossRef] [PubMed]
- APHA; AWWA; WEF. Standard Methods for the Examination of Water and Wastewater, 22nd ed.; American Public Health Association: Washington, DC, USA, 2012. [Google Scholar]
- Tiquia, S. Reduction of compost phytotoxicity during the process of decomposition. Chemosphere 2010, 79, 506–512. [Google Scholar] [CrossRef]
- Nafsun, A.I.; Herz, F.; Specht, E.; Scherer, V.; Wirtz, S. Heat Transfer Experiments in a Rotary Drum for a Variety of Granular Materials. Exp. Heat Transf. 2016, 29, 520–535. [Google Scholar] [CrossRef]
- Cha, J.S.; Park, S.H.; Jung, S.-C.; Ryu, C.; Jeon, J.K.; Shin, M.C.; Park, Y.K. Production and utilization of biochar: A review. J. Ind. Eng. Chem. 2016, 40, 1–15. [Google Scholar] [CrossRef]
- Lian, F.; Xing, B. Black carbon (biochar) in water/soil environments: Molecular structure, sorption, stability, and potential risk. Environ. Sci. Technol. 2017, 51, 13517–13532. [Google Scholar] [CrossRef]
- Vassilev, S.V.; Baxter, D.; Vassileva, C.G. An overview of the behavior of biomass during combustion: Part I. Phase-mineral transformations of organic and inorganic matter. Fuel 2013, 112, 391–449. [Google Scholar] [CrossRef]
- Garg, S.; Das, P. Microporous carbon from cashew nutshell pyrolytic biochar and its potential application as CO2 adsorbent. Biomass Convers. Biorefin. 2020, 10, 1043–1061. [Google Scholar] [CrossRef]
- Jouiad, M.; Al-Nofeli, N.; Khalifa, N.; Benyettou, F.; Yousef, L.F. Characteristics of slow pyrolysis biochars produced from rhodes grass and fronds of edible date palm. J. Anal. Appl. Pyrolysis 2015, 11, 183–190. [Google Scholar] [CrossRef] [Green Version]
- Juhola, A.J. Iodine adsorption and structure of activated carbons. Carbon 1975, 13, 437–442. [Google Scholar] [CrossRef]
- Mianowski, A.; Owczarek, M.; Marecka, A. Surface area of activated carbon determined by the iodine adsorption number. Energy Sources Part A Recover. Util. Environ. Eff. 2007, 29, 839–850. [Google Scholar] [CrossRef]
- Xing, X.; Fan, F.; Jiang, W. Characteristic of biochar pellets from corn straw under different pyrolysis temperatures. R. Soc. Open Sci. 2018, 5, 172346. [Google Scholar] [CrossRef] [Green Version]
- Domingues, R.R.; Trugilho, P.F.; Silva, C.A.; de Melo, I.C.N.A.; Melo, L.C.A.; Magriotis, Z.M.; Sanchez-Monedero, M.A. Properties of biochar derived from wood and high nutrient biomasses with the aim of agronomic and environmental benefits. PLoS ONE 2017, 12, 0176884. [Google Scholar] [CrossRef] [Green Version]
- Collett, C.; Masek, O.; Razali, N.; McGregor, J. Influence of biochar composition and source material on catalytic performance: The carboxylation of glycerol with CO2 as a case study. Catalysts 2020, 10, 1067. [Google Scholar] [CrossRef]
- Sarfaraz, Q.; Silva, L.; Drescher, G.; Zafar, M.; Severo, F.; Kokkonen, A.; Molin, G.; Shafi, M.; Shafique, Q.; Solaiman, Z. Characterization and carbon mineralization of biochars produced from different animal manures and plant residues. Sci. Rep. 2020, 10, 955. [Google Scholar] [CrossRef] [Green Version]
- Li, H.; Dong, X.; da Silva, E.B.; de Oliveira, L.M.; Chen, Y.; Ma, L.Q. Mechanisms of metal sorption by biochars: Biochar characteristics and modifications. Chemosphere 2017, 178, 466–478. [Google Scholar] [CrossRef]
- Praspaliauskas, M.; Pedisius, N.; Cepauskiene, D.; Valantinavicius, M. Study of chemical composition of agricultural residues from various agro-mass types. Biomass Convers. Biorefin. 2019, 10, 937–948. [Google Scholar] [CrossRef]
- Tubana, B.S.; Babu, T.; Datnoff, L.E. A review of silicon in soils and plants and its role in US agriculture: History and future perspectives. Soil Sci. 2016, 181, 393–411. [Google Scholar] [CrossRef] [Green Version]
- El-Hassanin, A.; Samak, M.R.; Radwan, S.R.; El-Chaghaby, G.A. Preparation and charactization of biochar from rice straw and its application in soil remediation. Environ. Nat. Resour. J. 2020, 18, 283–289. [Google Scholar] [CrossRef]
- Gonzaga, M.I.S.; Mackowiak, C.; de Almeida, A.Q.; de Carvalho Junior, J.I.T.; Andrade, K.R. Positive and negative effects of biochar from coconut husks, orange bagasse and pine wood chips on maize (Zea mays L.) growth and nutrition. Catena 2018, 162, 414–420. [Google Scholar] [CrossRef]
- Wang, Q.; Sarkar, J. Pyrolysis behaviors of waste coconut shell and husk biomasses. Int. J. Energy Prod. Manag. 2018, 3, 34–43. [Google Scholar] [CrossRef]
- Demirbas, A. Relationships between heating value and lignin, moisture, ash and extractive contents of biomass fuels. Energy Explor. Exploit. 2002, 20, 105–111. [Google Scholar] [CrossRef]
- Demirbas, A. Relationships between lignin contents and heating values of biomass. Energy Convers. Manag. 2001, 42, 183–188. [Google Scholar] [CrossRef]
- Zhang, X.; Yang, W.; Blasiak, W. Modeling study of woody biomass: Interactions of cellulose, hemicellulose and lignin. Energy Fuels 2011, 25, 4786–4795. [Google Scholar] [CrossRef]
- Crombie, K.; Masek, O.; Sohi, S.P.; Brownsort, P.; Cross, A. The effect of pyrolysis conditions on biochar stability as determined by three methods. Glob. Chang. Biol. Bioenergy 2013, 5, 122–131. [Google Scholar] [CrossRef] [Green Version]
- EBC. European Biochar Certificate Guidelines for a Sustainable Production of Biochar; European Biochar Foundation (EBC): Arbaz, Switzerland, 2019; Available online: http://www.european-biochar.org/en/download10.13140/RG.2.1.4658.7043 (accessed on 5 January 2021).
- TISI. Community Product Standards; TCPS Briquette Charcoal No. 238/2547; Community Product Standards Division, Thai Industrial Standards Institute: Bangkok, Thailand, 2004. (In Thai) [Google Scholar]
- Teixeira, P.; Lopes, H.; Gulyurtlu, I.; Lapa, N.; Abelha, P. Evaluation of slagging and fouling tendency during biomass co-firing with coal in a fluidized bed. Biomass Bioenergy 2012, 39, 192–203. [Google Scholar] [CrossRef] [Green Version]
- Liu, Z.; Hoekman, S.K.; Balasubramanian, R.; Zhang, F.S. Improvement of fuel qualities of solid fuel biochars by washing treatment. Fuel Process. Technol. 2015, 134, 130–135. [Google Scholar] [CrossRef]
- Choi, Y.K.; Jang, H.M.; Kan, E.; Wallace, A.R.; Sun, W. Adsorption of phosphate in water on a novel calcium hydroxide-coated dairy manure derived biochar. Environ. Eng. Res. 2019, 24, 434–442. [Google Scholar] [CrossRef]
- PCD. Coastal Water Quality Standard; Pollution Control Department: Bangkok, Thailand, 2021. Available online: http://pcd.go.th/info_serv/reg_std_water02.html (accessed on 8 March 2021).
- ACFS. Good Aquaculture Practices for Marine Shrimp Hatchery and Nursery, Thailand Agricultural Standard, TAS 7422-2010. National Bureau of Agriculture Commodity and Food Standards, Ministry of Agriculture and Cooperatives. Available online: https://www.acfs.go.th/standard/download/eng/marine_shrimp_hatchery.pdf (accessed on 8 February 2021).
- Rajalakshmi, A.; Kumar, S.K.; Bharathi, C.D.; Karthika, R.; Divya, V.K.; Meera, R.; Mohanapriya, S. Effect of Biochar in Seed Germination-in-vitro Study. Int. J. Biosci. Nanosci. 2015, 2, 132–136. [Google Scholar]
- Mumme, J.; Getz, J.; Prasad, M.; Lüder, U.; Kern, J.; Mašek, O.; Buss, W. Toxicity screening of biochar-mineral composites using germination tests. Chemosphere 2018, 207, 91–100. [Google Scholar] [CrossRef] [Green Version]
- Gray, N.F. Chapter 6-Water Pollution. In Water Technology, 2nd ed.; Gray, N.F., Ed.; Butterworth-Heinemann: Oxford, UK, 2005; pp. 87–112. [Google Scholar]







| Biochar | pHsol | pHpzc | Soluble (mmol/g) | Metal (% by Weight) | |||||||||||
|---|---|---|---|---|---|---|---|---|---|---|---|---|---|---|---|
| Base Cation | N | P | K | Na | Ca | Mg | Fe | Zn | Al | Si | Cl | P | |||
| CC | 8.97 | 8.61 | 652 | 0.28 | 9.45 | 15 | 4.38 | 3.43 | 1.60 | 0.26 | 0.35 | 0.06 | 5.27 | 19.5 | 2.71 |
| CH | 9.75 | 9.39 | 1027 | 0.59 | 6.27 | 23.9 | 1.92 | 6.91 | 1.46 | 0.49 | 0.03 | 0.10 | 3.36 | 14.6 | 0.60 |
| CS | 9.02 | 8.53 | 77 | 0.41 | 1.21 | 8.84 | 0.56 | 3.04 | 1.38 | 3.39 | 0.07 | 1.92 | 20.8 | 0.96 | 0.90 |
| RS | 8.94 | 8.88 | 1543 | 0.60 | 3.52 | 6.68 | 1.50 | 5.09 | 2.29 | 0.76 | 0.01 | 0.06 | 24.9 | 9.45 | 0.63 |
| Biochar | Moisture (%) | Ash (%) | Volatile Matter (%) | Fixed Carbon (%) | High Heating Value (MJ/kg) |
|---|---|---|---|---|---|
| CC | 18.67 | 6.33 | 48.97 | 26.03 | 22.05 |
| CH | 1.69 | 8.56 | 5.99 | 83.76 | 23.26 |
| CS | 2.96 | 4.42 | 38.63 | 53.99 | 23.60 |
| RS | 1.91 | 35.75 | 33.41 | 28.93 | 14.24 |
Publisher’s Note: MDPI stays neutral with regard to jurisdictional claims in published maps and institutional affiliations. |
© 2021 by the authors. Licensee MDPI, Basel, Switzerland. This article is an open access article distributed under the terms and conditions of the Creative Commons Attribution (CC BY) license (https://creativecommons.org/licenses/by/4.0/).
Share and Cite
Khawkomol, S.; Neamchan, R.; Thongsamer, T.; Vinitnantharat, S.; Panpradit, B.; Sohsalam, P.; Werner, D.; Mrozik, W. Potential of Biochar Derived from Agricultural Residues for Sustainable Management. Sustainability 2021, 13, 8147. https://doi.org/10.3390/su13158147
Khawkomol S, Neamchan R, Thongsamer T, Vinitnantharat S, Panpradit B, Sohsalam P, Werner D, Mrozik W. Potential of Biochar Derived from Agricultural Residues for Sustainable Management. Sustainability. 2021; 13(15):8147. https://doi.org/10.3390/su13158147
Chicago/Turabian StyleKhawkomol, Sasiwimol, Rattikan Neamchan, Thunchanok Thongsamer, Soydoa Vinitnantharat, Boonma Panpradit, Prapa Sohsalam, David Werner, and Wojciech Mrozik. 2021. "Potential of Biochar Derived from Agricultural Residues for Sustainable Management" Sustainability 13, no. 15: 8147. https://doi.org/10.3390/su13158147
APA StyleKhawkomol, S., Neamchan, R., Thongsamer, T., Vinitnantharat, S., Panpradit, B., Sohsalam, P., Werner, D., & Mrozik, W. (2021). Potential of Biochar Derived from Agricultural Residues for Sustainable Management. Sustainability, 13(15), 8147. https://doi.org/10.3390/su13158147

