Thermal Performance of Compression Ignition Engine Using High Content Biodiesels: A Comparative Study with Diesel Fuel
Abstract
:1. Introduction
2. Materials and Methods
2.1. Bio-Refinery Process of Biodiesel from Acid Oil
2.2. Distillation of Biodiesel
2.3. Groundwork of Test Fuel Blends
2.4. Measurement of Properties of Biodiesel
2.5. Infrared Spectroscopic Analysis
2.6. Engine Specifications
3. Results
3.1. Fuel Properties
3.2. Fuel Properties of Biodiesels from Acid Oil, Pongamia Pinnata (PP, Honge), Waste Cooking Oil (WCO) and Calophyllum Inophyllum (CI)
- Infrared spectrum (IR) of acid oil.
- 2.
- Engine Performance Characteristics
3.2.1. Brake Thermal Efficiency
3.2.2. Brake-Specific Fuel Consumption (BSFC)
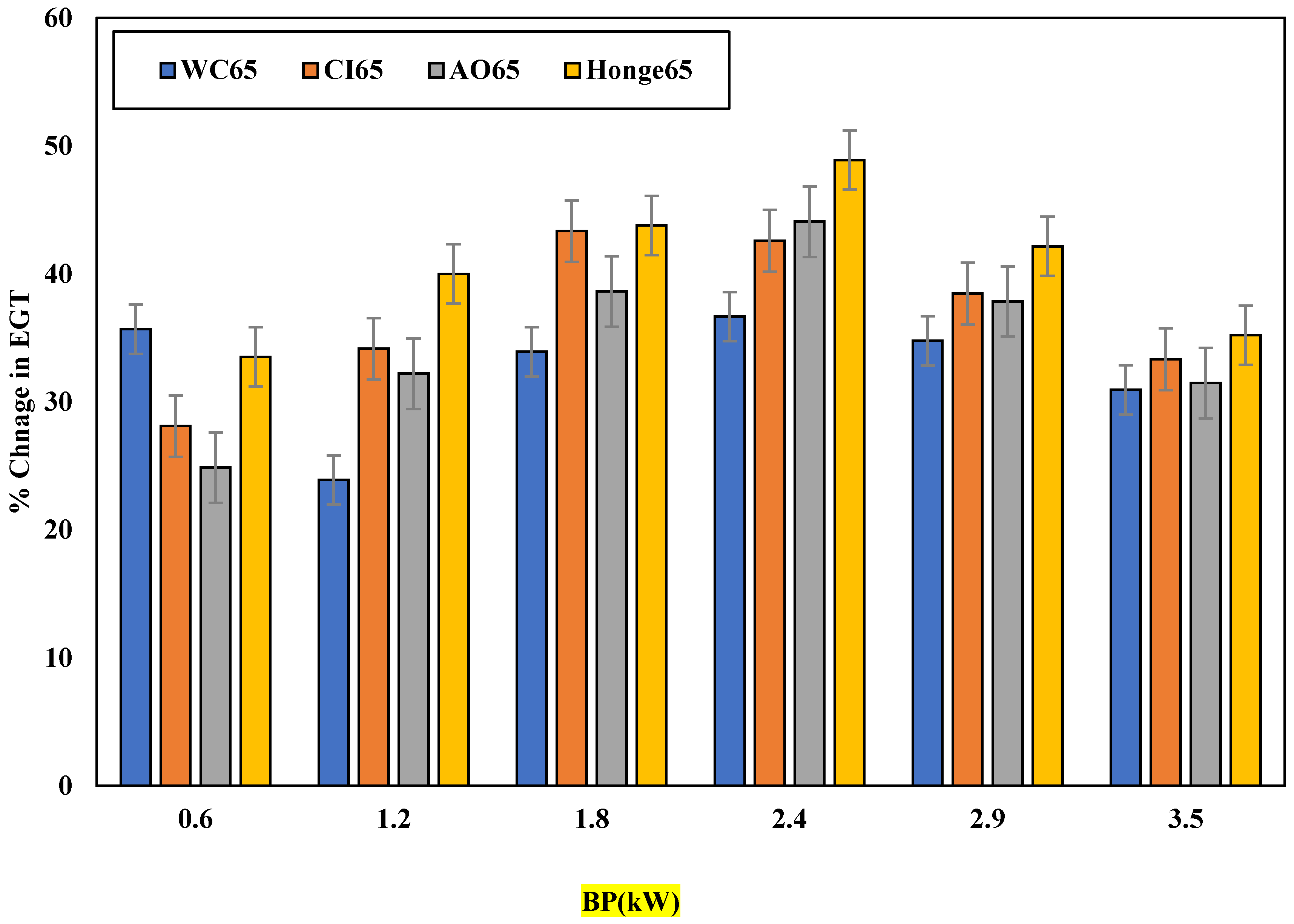
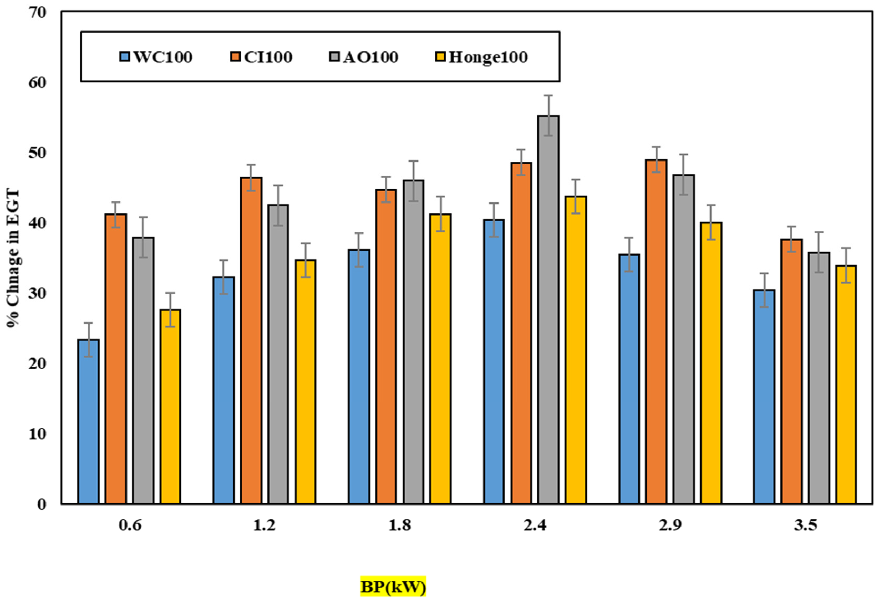
3.2.3. Exhaust Gas Temperature (EGT) Analysis
4. Conclusions
- The performance of acid oil blend B50 was the bio-fuel which provided enhanced brake thermal efficiency (BTE) compared to diesel at higher loads due to superior combustion wherein the cylinder temperature is higher.
- Honge oil at B50 blend did not perform well at any load. However, with the % increase of blend, the Honge oil started showing improved BTE than other oils. At B100, the BTE was superior to diesel fuel.
- Calophyllum inophyllum did not provide any acceptable BTE with increasing load. It was biodiesel with the lowest thermal efficiency.
- In comparison with entire biodiesels, B50 blends of WC oil and CI have provided the lowest brake-specific fuel consumption (BSFC) at all loads. However, at higher loads, a high BSFC was related to mineral diesel for all biodiesels.
- EGT of all biodiesels was lower for B50 blends and increased with biodiesel content blends. For higher loads, EGT was seen to be reduced compared to lower load conditions.
- Waste cooking oil at B50 showed high energy losses due to unutilized bio-diesel energy indicated by the increased EGT. However, an increase in blend content slightly reduced the EGT from the engine.
- Acid oil showed very high EGT from the engine when it was fully used as fuel for the diesel engine. But this EGT was reduced consistently with other blends as well with increasing engine brake power.
- Honge oil, on the other hand, has provided higher EGTs at any load compared to other biodiesel used in this study. But the trend of falling EGT with increasing load was common with other biodiesel also.
Author Contributions
Funding
Institutional Review Board Statement
Informed Consent Statement
Data Availability Statement
Acknowledgments
Conflicts of Interest
Appendix A
| BP kW | BTE (%) | BSFC (kg/kW-h) | EGT (°C) |
|---|---|---|---|
| 0.6 | 7.834444 | 1.081198437 | 210 |
| 1.2 | 14.00675 | 0.604750571 | 250 |
| 1.8 | 18.0097 | 0.470334901 | 280 |
| 2.4 | 20.67751 | 0.40965233 | 310 |
| 2.9 | 21.67785 | 0.390748621 | 350 |
| 3.5 | 23.01239 | 0.368088183 | 390 |
References
- Soudagar, M.; Afzal, A.; Kareemullah, M. Waste coconut oil methyl ester with and without additives as an alternative fuel in diesel engine at two different injection pressures. Energy Sources Part A Recovery Util. Environ. Eff. 2020, 1–9. [Google Scholar] [CrossRef]
- Soudagar, M.E.M.; Mujtaba, M.; Safaei, M.R.; Afzal, A.; Ahmed, W.; Banapurmath, N.; Hossain, N.; Bashir, S.; Badruddin, I.A.; Goodarzi, M. Effect of Sr@ ZnO nanoparticles and Ricinus communis biodiesel-diesel fuel blends on modified CRDI diesel engine characteristics. Energy 2020, 215, 119094. [Google Scholar] [CrossRef]
- Marikatti, M.; Banapurmath, N.; Yaliwal, V.; Basavarajappa, Y.; Soudagar, M.E.M.; Márquez, F.P.G.; Mujtaba, M.; Fayaz, H.; Naik, B.; Khan, T. Hydrogen injection in a dual fuel engine fueled with low-pressure injection of methyl ester of thevetia peruviana (METP) for diesel engine maintenance application. Energies 2020, 13, 5663. [Google Scholar] [CrossRef]
- Hossain, N.; Mahlia, T.; Saidur, R. Latest development in microalgae-biofuel production with nano-additives. Biotechnol. Biofuels 2019, 12, 125. [Google Scholar] [CrossRef] [Green Version]
- Hossain, N.; Mahlia, T.M.I.; Miskat, M.; Chowdhury, T.; Barua, P.; Chowdhury, H.; Nizamuddin, S.; Ahmad, N.B.; Zaharin, N.A.B.; Mazari, S.A.; et al. Bioethanol Production from Forest Residues and Life Cycle Cost Analysis of Bioethanol-Gasoline Blend on Transportation Sector. J. Environ. Chem. Eng. 2021, 9, 105542. [Google Scholar] [CrossRef]
- Mahlia, T.M.I.; Ismail, N.; Hossain, N.; Silitonga, A.S. Palm oil and its wastes as bioenergy sources: A comprehensive review. Environ. Sci. Pollut. Res. 2019, 26, 14849–14866. [Google Scholar] [CrossRef] [PubMed]
- S Gavhane, R.; M Kate, A.; Pawar, A.; Safaei, M.R.; M Soudagar, M.E.; Mujtaba Abbas, M.; Muhammad Ali, H.; R Banapurmath, N.; Goodarzi, M.; Badruddin, I.A. Effect of zinc oxide nano-additives and soybean biodiesel at varying loads and compression ratios on VCR diesel engine characteristics. Symmetry 2020, 12, 1042. [Google Scholar] [CrossRef]
- Razzaq, L.; Mujtaba, M.; Soudagar, M.E.M.; Ahmed, W.; Fayaz, H.; Bashir, S.; Fattah, I.R.; Ong, H.C.; Shahapurkar, K.; Afzal, A. Engine performance and emission characteristics of palm biodiesel blends with graphene oxide nanoplatelets and dimethyl carbonate additives. J. Environ. Manag. 2021, 282, 111917. [Google Scholar] [CrossRef]
- Soudagar, M.E.M.; Banapurmath, N.; Afzal, A.; Hossain, N.; Abbas, M.M.; Haniffa, M.A.C.M.; Naik, B.; Ahmed, W.; Nizamuddin, S.; Mubarak, N. Study of diesel engine characteristics by adding nanosized zinc oxide and diethyl ether additives in Mahua biodiesel–diesel fuel blend. Sci. Rep. 2020, 10, 15326. [Google Scholar] [CrossRef]
- Venu, H.; Raju, V.D.; Lingesan, S.; Soudagar, M.E.M. Influence of Al2O3nano additives in ternary fuel (diesel-biodiesel-ethanol) blends operated in a single cylinder diesel engine: Performance, Combustion and Emission Characteristics. Energy 2020, 215, 119091. [Google Scholar] [CrossRef]
- Khan, H.; Soudagar, M.E.M.; Kumar, R.H.; Safaei, M.R.; Farooq, M.; Khidmatgar, A.; Banapurmath, N.R.; Farade, R.A.; Abbas, M.M.; Afzal, A. Effect of Nano-Graphene Oxide and n-Butanol Fuel Additives Blended with Diesel—Nigella sativa Biodiesel Fuel Emulsion on Diesel Engine Characteristics. Symmetry 2020, 12, 961. [Google Scholar] [CrossRef]
- Mujtaba, M.; Cho, H.M.; Masjuki, H.; Kalam, M.; Farooq, M.; Soudagar, M.E.M.; Gul, M.; Afzal, A.; Ahmed, W.; Raza, A. Effect of primary and secondary alcohols as oxygenated additives on the performance and emission characteristics of diesel engine. Energy Rep. 2021, 7, 1116–1124. [Google Scholar] [CrossRef]
- Savariraj, S.; Ganapathy, T.; Saravanan, C. Performance and emission characteristics of diesel engine using high-viscous vegetable oil. Int. J. Ambient Energy 2012, 33, 193–203. [Google Scholar] [CrossRef]
- Soudagar, M.E.M.; Nik-Ghazali, N.-N.; Kalam, M.; Badruddin, I.A.; Banapurmath, N.; Ali, M.A.B.; Kamangar, S.; Cho, H.M.; Akram, N. An investigation on the influence of aluminium oxide nano-additive and honge oil methyl ester on engine performance, combustion and emission characteristics. Renew. Energy 2020, 146, 2291–2307. [Google Scholar] [CrossRef]
- Sahoo, P.; Das, L.; Babu, M.; Naik, S. Biodiesel development from high acid value polanga seed oil and performance evaluation in a CI engine. Fuel 2007, 86, 448–454. [Google Scholar] [CrossRef]
- Sahoo, P.; Das, L.; Babu, M.; Arora, P.; Singh, V.; Kumar, N.; Varyani, T. Comparative evaluation of performance and emission characteristics of Jatropha, karanja and polanga based biodiesel as fuel in a tractor engine. Fuel 2009, 88, 1698–1707. [Google Scholar] [CrossRef]
- Ong, H.C.; Masjuki, H.; Mahlia, T.I.; Silitonga, A.; Chong, W.; Yusaf, T. Engine performance and emissions using Jatropha curcas, Ceiba pentandra and Calophyllum inophyllum biodiesel in a CI diesel engine. Energy 2014, 69, 427–445. [Google Scholar] [CrossRef]
- Fattah, I.R.; Masjuki, H.; Kalam, M.; Wakil, M.; Ashraful, A.; Shahir, S.A. Experimental investigation of performance and regulated emissions of a diesel engine with Calophyllum inophyllum biodiesel blends accompanied by oxidation inhibitors. Energy Convers. Manag. 2014, 83, 232–240. [Google Scholar] [CrossRef]
- Sajjad, H.; Masjuki, H.; Varman, M.; Kalam, M.; Arbab, M.; Imtenan, S.; Ashraful, A. Influence of gas-to-liquid (GTL) fuel in the blends of Calophyllum inophyllum biodiesel and diesel: An analysis of combustion–performance–emission characteristics. Energy Convers. Manag. 2015, 97, 42–52. [Google Scholar] [CrossRef]
- Rahman, S.A.; Masjuki, H.; Kalam, M.; Abedin, M.; Sanjid, A.; Sajjad, H. Production of palm and Calophyllum inophyllum based biodiesel and investigation of blend performance and exhaust emission in an unmodified diesel engine at high idling conditions. Energy Convers. Manag. 2013, 76, 362–367. [Google Scholar] [CrossRef]
- Ong, H.; Mahlia, T.; Masjuki, H.; Norhasyima, R. Comparison of palm oil, Jatropha curcas and Calophyllum inophyllum for biodiesel: A review. Renew. Sustain. Energy Rev. 2011, 15, 3501–3515. [Google Scholar] [CrossRef]
- Atabani, A.; da Silva César, A. Calophyllum inophyllum L.–A prospective non-edible biodiesel feedstock. Study of biodiesel production, properties, fatty acid composition, blending and engine performance. Renew. Sustain. Energy Rev. 2014, 37, 644–655. [Google Scholar] [CrossRef]
- Hegde, A.K.; Rao, K.S. Performance and emission study of 4S CI engine using calophyllum inophyllum biodiesel with additives. Int. J. Appl. Res. Mech. Eng. 2012, 1, 2319–3182. [Google Scholar]
- Hwang, J.; Qi, D.; Jung, Y.; Bae, C. Effect of injection parameters on the combustion and emission characteristics in a common-rail direct injection diesel engine fueled with waste cooking oil biodiesel. Renew. Energy 2014, 63, 9–17. [Google Scholar] [CrossRef]
- Kulkarni, B.; Pujar, B.; Shanmukhappa, S. Investigation of Acid Oil as a Source of Biodiesel. 2008. Available online: http://nopr.niscair.res.in/bitstream/123456789/2858/1/IJCT%2015%285%29%20467-471.pdf (accessed on 1 July 2021).
- Sureshkumar, K.; Velraj, R.; Ganesan, R. Performance and exhaust emission characteristics of a CI engine fueled with Pongamia pinnata methyl ester (PPME) and its blends with diesel. Renew. Energy 2008, 33, 2294–2302. [Google Scholar] [CrossRef]
- Bojan, S.; Durairaj, S. Producing biodiesel from high free fatty acid Jatropha curcas oil by a two step method-an Indian case study. J. Sustain. Energy Environ. 2012, 3, 63–66. [Google Scholar]
- Christensen, E.; McCormick, R.L. Long-term storage stability of biodiesel and biodiesel blends. Fuel Process. Technol. 2014, 128, 339–348. [Google Scholar] [CrossRef] [Green Version]
- Rajesh, S.; Kulkarni, B.; Banapurmath, N.; Kumarappa, S. Effect of injection parameters on performance and emission characteristics of a CRDi diesel engine fuelled with acid oil biodiesel–ethanol blended fuels. Biofuels 2018, 9, 353–367. [Google Scholar] [CrossRef]
- Al-Hartomy, O.A.; Mujtaba, M.; Al-Ghamdi, A.; Iqbal, J.; Wageh, S. Combined effect of Phoenix dactylifera biodiesel and multiwalled carbon nanotube–titanium dioxide nanoparticles for modified diesel engines. Int. J. Environ. Sci. Technol. 2021. [Google Scholar] [CrossRef]
- Popovicheva, O.B.; Kireeva, E.D.; Steiner, S.; Rothen-Rutishauser, B.; Persiantseva, N.M.; Timofeev, M.A.; Shonija, N.K.; Comte, P.; Czerwinski, J. Microstructure and chemical composition of diesel and biodiesel particle exhaust. Aerosol Air Qual. Res. 2014, 14, 1392–1401. [Google Scholar] [CrossRef]
- O’Donnell, S.; Demshemino, I.; Yahaya, M.; Nwandike, I.; Okoro, L. A review on the spectroscopic analyses of biodiesel. Eur. Int. J. Sci. Technol. 2013, 2, 137–146. [Google Scholar]
- Belagur, V.K.; Reddy, V. Performance, emission and combustion characteristics of direct injection diesel engine running on calophyllum inophyllum linn oil (honne oil). Int. J. Agric. Biol. Eng. 2011, 4, 26–34. [Google Scholar]
- Banapurmath, N.; Tewari, P.; Hosmath, R. Performance and emission characteristics of a DI compression ignition engine operated on Honge, Jatropha and sesame oil methyl esters. Renew. Energy 2008, 33, 1982–1988. [Google Scholar] [CrossRef]
- Akshatha, D.; Manavendra, G.; Kumarappa, S. Performance evaluation of Neem biodiesel on CI engine with diethyl ether as additive. Int. J. Innov. Res. Sci. Eng. Technol. 2013, 2, 3729–3736. [Google Scholar]
- Habibullah, M.; Masjuki, H.H.; Kalam, M.; Fattah, I.R.; Ashraful, A.; Mobarak, H. Biodiesel production and performance evaluation of coconut, palm and their combined blend with diesel in a single-cylinder diesel engine. Energy Convers. Manag. 2014, 87, 250–257. [Google Scholar] [CrossRef]
- Belagur, V.K.; Venkataramana, R. Injection timing impact on calophyllum inophyllum linn oil (Honne Oil)/diesel fuelled diesel engine. Int. Energy J. 2011, 11, 145–152. [Google Scholar]
- Monirul, I.; Masjuki, H.; Kalam, M.; Mosarof, M.; Zulkifli, N.; Teoh, Y.; How, H. Assessment of performance, emission and combustion characteristics of palm, Jatropha and Calophyllum inophyllum biodiesel blends. Fuel 2016, 181, 985–995. [Google Scholar] [CrossRef]
- Mosarof, M.; Kalam, M.; Masjuki, H.; Alabdulkarem, A.; Ashraful, A.; Arslan, A.; Rashedul, H.; Monirul, I. Optimization of performance, emission, friction and wear characteristics of palm and Calophyllum inophyllum biodiesel blends. Energy Convers. Manag. 2016, 118, 119–134. [Google Scholar] [CrossRef]
- Wategave, S.P.; Banapurmath, N.R.; Sawant, M.S.; Soudagar, M.E.M.; Mujtaba, M.A.; Afzal, A.; Basha, J.S.; Alazwari, M.A.; Safaei, M.R.; Elfasakhany, A.; et al. Clean combustion and emissions strategy using reactivity controlled compression ignition (RCCI) mode engine powered with CNG-Karanja biodiesel. J. Taiwan Inst. Chem. Eng. 2021, in press. [Google Scholar] [CrossRef]
- Mujtaba, M.A.; Cho, H.M.; Masjuki, H.H.; Kalam, M.A.; Farooq, M.; Soudagar, M.E.M.; Gul, M.; Ahmed, W.; Afzal, A.; Bashir, S.; et al. Effect of alcoholic and nano-particles additives on tribological properties of diesel–palm–sesame–biodiesel blends. Energy Rep. 2021, 7, 1162–1171. [Google Scholar] [CrossRef]

















| Parameter | Specifications |
|---|---|
| Engine type | Kirloskar TV-1, 4-stroke single-cylinder, water-cooled |
| Bore | 87.5 mm |
| Stroke | 110 mm |
| Compression ratio | 17.5:1 |
| Speed | 1500 rpm |
| Power | 5.2 kW |
| Fuel injection | Mechanical injection with injection timing 23° BTDC, 210 bar injection pressure. |
| Properties | Raw Acid Oil from Rice Bran | Raw Acid Oil from Sunflower | CI Oil | PP Oil | WCO |
|---|---|---|---|---|---|
| Density kg/m3 | 875 | 882 | 895 | 890 | 875 |
| Flash point °C | 156 | 192 | 220 | 215 | 198 |
| Fire point °C | 208 | 199 | 228 | 220 | 205 |
| Calorific value MJ/kg | 30.1542 | 34.96007 | 37.25436 | 30.400 | 35.00729 |
| Kinematic viscosity (cSt) | 38 | 36 | 48 | 39 | 6 |
| Biodiesel | Blends | Density kg/m3 | Calorific Value kJ/kg | Viscosity cSt | Flash Point °C | Fire Point °C |
|---|---|---|---|---|---|---|
| PP (Honge) | B50:D50 | 852 | 39,443.6 | 5.81 | 58 | 66 |
| B65:D35 | 860 | 38,526.6 | 6.82 | 74 | 78 | |
| B80:D20 | 873 | 37,609.8 | 7.11 | 86 | 90 | |
| B100 | 885 | 36,708.7 | 8.08 | 98 | 103 | |
| Acid oil | B50:D50 | 848 | 39,341.4 | 4.40 | 58 | 62 |
| B65:D35 | 856 | 38,393.8 | 4.88 | 54 | 62 | |
| B80:D20 | 874 | 37,446.3 | 5.46 | 64 | 70 | |
| B100 | 887 | 36,501.8 | 5.91 | 78 | 86 | |
| CI | B50:D50 | 844 | 40,806.3 | 4.71 | 60 | 68 |
| B65:D35 | 856 | 40,298.2 | 5.24 | 72 | 90 | |
| B80:D20 | 868 | 39,790.1 | 6.27 | 90 | 98 | |
| B100 | 881 | 39,059.6 | 7.02 | 105 | 115 | |
| WCO | B50:D50 | 836 | 41,818.4 | 3.79 | 62 | 70 |
| B65:D35 | 856 | 41,613.9 | 3.83 | 78 | 84 | |
| B80:D20 | 868 | 41,409.5 | 4.68 | 92 | 102 | |
| B100 | 879 | 41,298.2 | 4.98 | 112 | 124 | |
| Diesel | D100 | 845 | 42,500.3 | 3.45 | 53 | 64 |
Publisher’s Note: MDPI stays neutral with regard to jurisdictional claims in published maps and institutional affiliations. |
© 2021 by the authors. Licensee MDPI, Basel, Switzerland. This article is an open access article distributed under the terms and conditions of the Creative Commons Attribution (CC BY) license (https://creativecommons.org/licenses/by/4.0/).
Share and Cite
Afzal, A.; Soudagar, M.E.M.; Belhocine, A.; Kareemullah, M.; Hossain, N.; Alshahrani, S.; Saleel C., A.; Subbiah, R.; Qureshi, F.; Mujtaba, M.A. Thermal Performance of Compression Ignition Engine Using High Content Biodiesels: A Comparative Study with Diesel Fuel. Sustainability 2021, 13, 7688. https://doi.org/10.3390/su13147688
Afzal A, Soudagar MEM, Belhocine A, Kareemullah M, Hossain N, Alshahrani S, Saleel C. A, Subbiah R, Qureshi F, Mujtaba MA. Thermal Performance of Compression Ignition Engine Using High Content Biodiesels: A Comparative Study with Diesel Fuel. Sustainability. 2021; 13(14):7688. https://doi.org/10.3390/su13147688
Chicago/Turabian StyleAfzal, Asif, Manzoore Elahi M. Soudagar, Ali Belhocine, Mohammed Kareemullah, Nazia Hossain, Saad Alshahrani, Ahamed Saleel C., Ram Subbiah, Fazil Qureshi, and M. A. Mujtaba. 2021. "Thermal Performance of Compression Ignition Engine Using High Content Biodiesels: A Comparative Study with Diesel Fuel" Sustainability 13, no. 14: 7688. https://doi.org/10.3390/su13147688
APA StyleAfzal, A., Soudagar, M. E. M., Belhocine, A., Kareemullah, M., Hossain, N., Alshahrani, S., Saleel C., A., Subbiah, R., Qureshi, F., & Mujtaba, M. A. (2021). Thermal Performance of Compression Ignition Engine Using High Content Biodiesels: A Comparative Study with Diesel Fuel. Sustainability, 13(14), 7688. https://doi.org/10.3390/su13147688

