Efficiency Assessment of an Amended Oscillating Water Column Using OpenFOAM
Abstract
1. Introduction
2. Material and Methods
2.1. Governing Equations
2.2. Model Geometry and Boundary Conditions
2.3. Wave Generation Scheme
2.4. Mesh Convergence Analysis
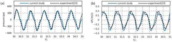
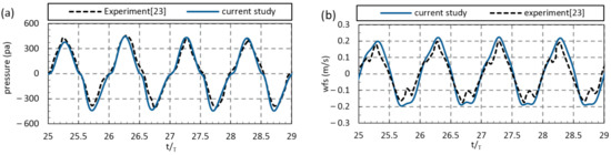
2.5. Validation of the Numerical Model
3. Results and Discussion
3.1. Amended OWC by Considering Added Vertical Plates
3.2. Total Efficiency Assessment
3.2.1. Free Surface Velocity Evaluation
3.2.2. Output Pressure Evaluation
3.2.3. Phase Difference Evaluation
3.2.4. Total Efficiency Evaluation
3.3. Structural Force
4. Conclusions
Author Contributions
Funding
Institutional Review Board Statement
Informed Consent Statement
Data Availability Statement
Acknowledgments
Conflicts of Interest
Nomenclature
| Latin Letters | |||
| a | Chamber lip height (m) | dx | Plate’s thickness (m) |
| B | Chamber breadth (m) | wfs | Free surface velocity (m.s−1) |
| C | OWC thickness (m) | Kd | Wave-number (-) |
| d | Water depth (m) | dB | Orifice width (m) |
| H | OWC height (m) | P* | Pseudo-dynamic pressure (Pa) |
| Z | Height of plates (m) | Pc | Air pressure (Pa) |
| b | Sub-chamber width (m) | Pin | Power of the incident wave (W) |
| k | Angular wave-number (m−1) | Pout | Power available at air outlet (W) |
| F | Force (N) | Air volume flow rate at turbine (m3.s−1) | |
| g | Acceleration of gravity (m.s−2) | Deviatoric stress tensor | |
| h | Wave height (m) | Face area vector | |
| Velocity vector (m.s−1) | E | error (%) | |
| T | Wave period (s) | e | efficiency value (%) |
| X | Position vector (m) | EL | Free surface elevation |
| V | Turbulent viscosity | ||
| Greek Letters | |||
| λ | Wave length (m) | ε | Kinetic energy dissapation rate |
| Fluid kinematic viscosity | ω | Angular frequency | |
| Reynolds stress term | θ | Phase difference | |
| κ | Turbulent kinetic energy | η | efficiency symbol |
| Density (kg.m−3) | ξ | Wave steepness (-) | |
| Fluid turbulent kinematic viscosity | Constant (in two-equations model) | ||
| ,, , Constant (in modeled dissipation rate transport equation) | |||
References
- Shalby, M.; Dorrell, D.G.; Walker, P. Multi–chamber oscillating water column wave energy converters and air turbines: A review. Int. J. Energy Res. 2019, 43, 681–696. [Google Scholar] [CrossRef]
- Rezanejad, K.; Souto-Iglesias, A.; Soares, C.G. Experimental investigation on the hydrodynamic performance of an L-shaped duct oscillating water column wave energy converter. Ocean Eng. 2019, 173, 388–398. [Google Scholar] [CrossRef]
- Maeda, H.; Kinoshita, T.; Masuda, K.; Kato, W. Fundamental research on oscillating water column wave power absorbers. J. Energy Resour. Technol. 1985, 107, 81–86. [Google Scholar] [CrossRef]
- Takahashi, S.; Nakada, H.; Ohneda, H.; Shikamori, M. Wave power conversion by a prototype wave power extracting caisson in Sakata port. In Coastal Engineering 1992; American Society of Civil Engineers (ASCE): Reston, VA, USA, 1993; pp. 3440–3453. [Google Scholar]
- Howe, D.; Nader, J.-R. OWC WEC integrated within a breakwater versus isolated: Experimental and numerical theoretical study. Int. J. Mar. Energy 2017, 20, 165–182. [Google Scholar] [CrossRef]
- Rezanejad, K.; Bhattacharjee, J.; Soares, C.G. Stepped sea bottom effects on the efficiency of near-shore oscillating water column device. Ocean Eng. 2013, 70, 25–38. [Google Scholar] [CrossRef]
- Ashlin, S.J.; Sannasiraj, S.; Sundar, V. Performance of an array of oscillating water column devices integrated with an offshore detached breakwater. Ocean Eng. 2018, 163, 518–532. [Google Scholar] [CrossRef]
- He, F.; Huang, Z. Hydrodynamic performance of pile-supported OWC-type structures as breakwaters: An experimental study. Ocean Eng. 2014, 88, 618–626. [Google Scholar] [CrossRef]
- Elhanafi, A.; Macfarlane, G.; Fleming, A.; Leong, Z. Experimental and numerical measurements of wave forces on a 3D offshore stationary OWC wave energy converter. Ocean Eng. 2017, 144, 98–117. [Google Scholar] [CrossRef]
- Xu, C.; Huang, Z. Three-dimensional CFD simulation of a circular OWC with a non-linear power-takeoff: Model validation and a discussion on resonant sloshing inside the pneumatic chamber. Ocean Eng. 2019, 176, 184–198. [Google Scholar] [CrossRef]
- Ning, D.; Zhou, Y.; Zhang, C. Hydrodynamic modeling of a novel dual-chamber OWC wave energy converter. Appl. Ocean Res. 2018, 78, 180–191. [Google Scholar] [CrossRef]
- Elhanafi, A.; Macfarlane, G.; Ning, D. Hydrodynamic performance of single–chamber and dual–chamber offshore–stationary Oscillating Water Column devices using CFD. Appl. Energy 2018, 228, 82–96. [Google Scholar] [CrossRef]
- Simonetti, I.; Cappietti, L.; Oumeraci, H. An empirical model as a supporting tool to optimize the main design parameters of a stationary oscillating water column wave energy converter. Appl. Energy 2018, 231, 1205–1215. [Google Scholar] [CrossRef]
- Teixeira, P.R.; Davyt, D.P.; Didier, E.; Ramalhais, R. Numerical simulation of an oscillating water column device using a code based on Navier–Stokes equations. Energy 2013, 61, 513–530. [Google Scholar] [CrossRef]
- Pawitan, K.A.; Dimakopoulos, A.S.; Vicinanza, D.; Allsop, W.; Bruce, T. A loading model for an OWC caisson based upon large-scale measurements. Coast. Eng. 2019, 145, 1–20. [Google Scholar] [CrossRef]
- Di Lauro, E.; Lara, J.L.; Maza, M.; Losada, I.J.; Contestabile, P.; Vicinanza, D. Stability analysis of a non-conventional breakwater for wave energy conversion. Coast. Eng. 2019, 145, 36–52. [Google Scholar] [CrossRef]
- Luo, Y.; Naderet, J.-R.; Cooper, P.; Zhu, S.-P. Non-linear 2D analysis of the efficiency of fixed oscillating water column wave energy converters. Renew. Energy 2014, 64, 255–265. [Google Scholar] [CrossRef]
- Ashlin, S.J.; Sundar, V.; Sannasiraj, S. Effects of bottom profile of an oscillating water column device on its hydrodynamic characteristics. Renew. Energy 2016, 96, 341–353. [Google Scholar]
- Connell, K.O.; Thiebaut, F.; Kelly, G.; Cashman, A. Development of a free heaving OWC model with non-linear PTO interaction. Renew. Energy 2018, 117, 108–115. [Google Scholar]
- Raj, D.D.; Sundar, V.; Sannasiraj, S. Enhancement of hydrodynamic performance of an Oscillating Water Column with harbour walls. Renew. Energy 2019, 132, 142–156. [Google Scholar]
- Rezanejad, K.; Gadelho, J.; Soares, C.G. Hydrodynamic analysis of an oscillating water column wave energy converter in the stepped bottom condition using CFD. Renew. Energy 2019, 135, 1241–1259. [Google Scholar]
- Elhanafi, A. Prediction of regular wave loads on a fixed offshore oscillating water column-wave energy converter using CFD. J. Ocean Eng. Sci. 2016, 1, 268–283. [Google Scholar] [CrossRef]
- Kamath, A.; Bihs, H.; Arntsen, Ø.A. Numerical investigations of the hydrodynamics of an oscillating water column device. Ocean Eng. 2015, 102, 40–50. [Google Scholar] [CrossRef]
- Morris-Thomas, M.T.; Irvin, R.J.; Thiagarajan, K.P. An investigation into the hydrodynamic efficiency of an oscillating water column. J. Offshore Mech. Arct. Eng. 2007, 129, 273–278. [Google Scholar] [CrossRef]
- Devolder, B.; Rauwoens, P.; Troch, P. Application of a buoyancy-modified k-ω SST turbulence model to simulate wave run-up around a monopile subjected to regular waves using OpenFOAM®. Coast. Eng. 2017, 125, 81–94. [Google Scholar] [CrossRef]
- Hu, Z.Z.; Greaves, D.; Raby, A. Numerical wave tank study of extreme waves and wave-structure interaction using OpenFoam®. Ocean Eng. 2016, 126, 329–342. [Google Scholar] [CrossRef]
- Chen, L.; Zang, J.; Hillis, A.; Morgan, G.; Plummer, A. Numerical investigation of wave–structure interaction using OpenFOAM. Ocean Eng. 2014, 88, 91–109. [Google Scholar] [CrossRef]
- Iturrioz, A.; Guanche, R.; Lara, J.; Vidal, C.; Losada, I. Validation of OpenFOAM® for oscillating water column three-dimensional modeling. Ocean Eng. 2015, 107, 222–236. [Google Scholar] [CrossRef]
- Deng, Z.; Wang, C.; Wang, P.; Higuera, P.; Wang, R. Hydrodynamic performance of an offshore-stationary OWC device with a horizontal bottom plate: Experimental and numerical study. Energy 2019, 187, 115941. [Google Scholar] [CrossRef]
- Simonetti, I.; Cappietti, L.; Elsafti, H.; Oumeraci, H. Evaluation of air compressibility effects on the performance of fixed OWC wave energy converters using CFD modelling. Renew. Energy 2018, 119, 741–753. [Google Scholar]
- Tennekes, H.; Lumley, J. A First Course in Turbulence; MIT Press: Cambridge, MA, USA, 1972; pp. 113–124. [Google Scholar]
- Hinze, J. Turbulence; McGraw-Hill Publishing Co.: New York, NY, USA, 1975. [Google Scholar]
- Hirt, C.; Nichols, B. Volume of fluid (VOF) method for the dynamics of free boundaries. J. Comput. Phys. 1981, 39, 201–225. [Google Scholar] [CrossRef]
- Versteeg, H.K.; Malalasekera, W. An Introduction to Computational Fluid Dynamics: The Finite Volume Method; Pearson education: London, UK, 2007. [Google Scholar]
- Zhai, Z.J.; Zhang, Z.; Zhang, W.; Chen, Q.Y. Evaluation of various turbulence models in predicting airflow and turbulence in enclosed environments by CFD: Part 1—Summary of prevalent turbulence models. HVAC&R Res. 2007, 13, 853–870. [Google Scholar]
- Zhang, Z.; Zhang, W.; Zhai, Z.J.; Chen, Q.Y. Evaluation of various turbulence models in predicting airflow and turbulence in enclosed environments by CFD: Part 2—Comparison with experimental data from literature. HVAC&R Res. 2007, 13, 871–886. [Google Scholar]
- Launder, B.E.; Spalding, D.B. The Numerical Computation of Turbulent Flows. In Numerical Prediction of Flow, Heat Transfer, Turbulence and Combustion; Elsevier: Amsterdam, The Netherlands, 1983; pp. 96–116. [Google Scholar]
- Patel, V.C.; Rodi, W.; Scheuerer, G. Turbulence models for near-wall and low Reynolds number flows—A review. AIAA J. 1985, 23, 1308–1319. [Google Scholar] [CrossRef]
- Launder, B.; Morse, A.; Rodi, W.; Spalding, D.B. Prediction of free shear flows: A comparison of the performance of six turbulence models. Imp. Coll. Sci. Technol. 1973, 68, 537–566. [Google Scholar]
- Higuera, P.; Lara, J.L.; Losada, I.J. Three-dimensional interaction of waves and porous coastal structures using OpenFOAM®. Part II: Application. Coast. Eng. 2014, 83, 259–270. [Google Scholar] [CrossRef]
- Higuera, P.; Lara, J.L.; Losada, I.J. Realistic wave generation and active wave absorption for Navier–Stokes models: Application to OpenFOAM®. Coast. Eng. 2013, 71, 102–118. [Google Scholar] [CrossRef]
- Higuera, P.; Lara, J.L.; Losada, I.J. Simulating coastal engineering processes with OpenFOAM®. Coast. Eng. 2013, 71, 119–134. [Google Scholar] [CrossRef]
- Lee, K.-H.; Bae, J.-H.; An, S.-W.; Kim, D.-S.; Bae, K.S. Numerical analysis on wave characteristics around submerged breakwater in wave and current coexisting field by OLAFOAM. J. Korean Soc. Coast. Ocean Eng. 2016, 28, 332–349. [Google Scholar] [CrossRef]
- Lee, K.-H.; Bae, J.-H.; Kim, S.-G.; Kim, D.-S. Three-dimensional simulation of wave reflection and pressure acting on circular perforated caisson breakwater by OLAFOAM. J. Korean Soc. Coast. Ocean Eng. 2017, 29, 286–304. [Google Scholar] [CrossRef]
- Jacobsen, N.G.; Van Gent, M.R.; Wolters, G. Numerical analysis of the interaction of irregular waves with two dimensional permeable coastal structures. Coast. Eng. 2015, 10, 13–29. [Google Scholar] [CrossRef]
- Lin, Z.; Pokrajac, D.; Guo, Y.; Jeng, D.; Tang, T.; Rey, N.; Zheng, J.; Zhang, J. Investigation of non-linear wave-induced seabed response around mono-pile foundation. Coast. Eng. 2017, 121, 197–211. [Google Scholar] [CrossRef]
- Wu, Y.-T.; Hsiao, S.-C. Generation of stable and accurate solitary waves in a viscous numerical wave tank. Ocean Eng. 2018, 167, 102–113. [Google Scholar] [CrossRef]
- Kuai, Y.; Qi, M.; Li, J. Numerical study on the propagation of solitary waves in the near-shore. Ocean Eng. 2018, 165, 155–163. [Google Scholar] [CrossRef]
- Chakrabarti, S. Handbook of Offshore Engineering (2-Volume Set); Elsevier: London, UK, 2005. [Google Scholar]
- Chakrabarti, S.K. Hydrodynamics of Offshore Structures; WIT Press: Southampton, UK, 1987. [Google Scholar]
- Evans, D.; Porter, R. Hydrodynamic characteristics of an oscillating water column device. Appl. Ocean Res. 1995, 17, 155–164. [Google Scholar] [CrossRef]
- O’Boyle, L.; Elsäßer, B.; Whittaker, T. Experimental measurement of wave field variations around wave energy converter arrays. Sustainability 2017, 9, 70. [Google Scholar] [CrossRef]
- Nader, J.-R.; Zhu, S.-P.; Cooper, P.; Stappenbelt, B. A finite-element study of the efficiency of arrays of oscillating water column wave energy converters. Ocean Eng. 2012, 43, 72–81. [Google Scholar] [CrossRef]
- Rezanejad, K.; Bhattacharjee, J.; Soares, C.G. Analytical and numerical study of dual-chamber oscillating water columns on stepped bottom. Renew. Energy 2015, 75, 272–282. [Google Scholar] [CrossRef]
- Wang, R.; Ning, D.; Zhang, C. Numerical Investigation of the Hydrodynamic Performance of the Dual-Chamber Oscillating Water Columns. In Proceedings of the the 27th International Ocean and Polar Engineering Conference, San Francisco, CA, USA, 25–30 June 2017. [Google Scholar]
- Ferguson, T.M.; Penesis, I.; Macfarlane, G.; Fleming, A. A PIV investigation of OWC operation in regular, polychromatic and irregular waves. Renew. Energy 2017, 103, 143–155. [Google Scholar] [CrossRef]
- Kuo, Y.-S.; Chung, C.-Y.; Hsiao, S.-C.; Wang, Y.-K. Hydrodynamic characteristics of Oscillating Water Column caisson breakwaters. Renew. Energy 2017, 103, 439–447. [Google Scholar] [CrossRef]
- Gouaud, F.; Rey, V.; Piazzola, J.; Van Hooff, R. Experimental study of the hydrodynamic performance of an onshore wave power device in the presence of an underwater mound. Coast. Eng. 2010, 57, 996–1005. [Google Scholar] [CrossRef]
- Ning, D.; Wang, R.; Zhang, C. Numerical simulation of a dual-chamber oscillating water column wave energy converter. Sustainability 2017, 9, 1599. [Google Scholar] [CrossRef]
- Jayakumar, V. Wave Force on Oscillating Water Column Type Wave Energy Caisson: An Experiment Study. Ph.D. Thesis, Department of Ocean Engineering, Indian Institute of Technology, Delhi, India, 1994. [Google Scholar]
- Didier, E.; Neves, D.R.; Teixeira, P.R.; Dias, J.; Neves, M.D.G. Smoothed particle hydrodynamics numerical model for modeling an oscillating water chamber. Ocean Eng. 2016, 123, 397–410. [Google Scholar] [CrossRef]
- Ashlin, S.J.; Sannasiraj, S.; Sundar, V. Wave forces on an oscillating water column device. Procedia Eng. 2015, 116, 1019–1026. [Google Scholar] [CrossRef]
- Viviano, A.; Naty, S.; Foti, E.; Bruce, T.; Allsop, W.; Vicinanza, D. Large-scale experiments on the behaviour of a generalised Oscillating Water Column under random waves. Renew. Energy 2016, 99, 875–887. [Google Scholar] [CrossRef]
- Ning, D.-Z.; Wang, R.-Q.; Gou, Y.; Zhao, M.; Teng, B. Numerical and experimental investigation of wave dynamics on a land-fixed OWC device. Energy 2016, 115, 326–337. [Google Scholar] [CrossRef]
- Ning, D.-Z.; Wang, R.-Q.; Chen, L.-F.; Sun, K. Experimental investigation of a land-based dual-chamber OWC wave energy converter. Renew. Sustain. Energy Rev. 2019, 105, 48–60. [Google Scholar] [CrossRef]
- Wang, R.-Q.; Ning, D.-Z. Dynamic analysis of wave action on an OWC wave energy converter under the influence of viscosity. Renew. Energy 2020, 150, 578–588. [Google Scholar] [CrossRef]






















| Main Dimensions | Symbol | Model | Real | Unit |
|---|---|---|---|---|
| OWC height | H | 1.275 | 15.93 | [m] |
| Chamber breadth | B | 0.64 | 8 | [m] |
| OWC thickness | C | 0.05 | 0.625 | [m] |
| Chamber lip height | a | 0.15 | 1.875 | [m] |
| Water depth | d | 0.92 | 11.5 | [m] |
| Orifice width | dB | 0.005 | - | [m] |
| Kd [–] | Unit | 0.52 | 0.7 | 1.26 | 1.8 | 2.5 | 3.5 |
|---|---|---|---|---|---|---|---|
| Wave length | [m] | 7.36 | 6.1 | 4.07 | 3.0 | 2.29 | 1.5 |
| Wave height | [m] | 0.12 | 0.12 | 0.12 | 0.12 | 0.12 | 0.12 |
| Wave period | [s] | 2.73 | 2.3 | 1.71 | 1.43 | 1.21 | 1.0 |
| Case Study | Symbol | I | II | III | IIII | Unit |
|---|---|---|---|---|---|---|
| Number of plates | - | 1 | 2 | 3 | 4 | [–] |
| Height of plate | z | 0.3 | 0.3 | 0.3 | 0.3 | [m] |
| thickness of plate | dx | 0.02 | 0.2 | 0.02 | 0.2 | [m] |
| Sub-chamber width | b | 0.31 | 0.2 | 0.145 | 0.112 | [m] |
Publisher’s Note: MDPI stays neutral with regard to jurisdictional claims in published maps and institutional affiliations. |
© 2021 by the authors. Licensee MDPI, Basel, Switzerland. This article is an open access article distributed under the terms and conditions of the Creative Commons Attribution (CC BY) license (https://creativecommons.org/licenses/by/4.0/).
Share and Cite
Masoomi, M.; Yousefifard, M.; Mosavi, A. Efficiency Assessment of an Amended Oscillating Water Column Using OpenFOAM. Sustainability 2021, 13, 5633. https://doi.org/10.3390/su13105633
Masoomi M, Yousefifard M, Mosavi A. Efficiency Assessment of an Amended Oscillating Water Column Using OpenFOAM. Sustainability. 2021; 13(10):5633. https://doi.org/10.3390/su13105633
Chicago/Turabian StyleMasoomi, Mobin, Mahdi Yousefifard, and Amir Mosavi. 2021. "Efficiency Assessment of an Amended Oscillating Water Column Using OpenFOAM" Sustainability 13, no. 10: 5633. https://doi.org/10.3390/su13105633
APA StyleMasoomi, M., Yousefifard, M., & Mosavi, A. (2021). Efficiency Assessment of an Amended Oscillating Water Column Using OpenFOAM. Sustainability, 13(10), 5633. https://doi.org/10.3390/su13105633

