The Climate Change Dilemma: How Cooperation Beliefs Influence Energy Conservation Behavior
Abstract
1. Introduction
2. Theoretical Considerations and State of Research
2.1. The Role of Cooperation Beliefs
2.2. The Role of Environmental Awarness
3. Data, Measures, and Methods
3.1. Data
3.2. Measures
3.3. Methods
4. Results
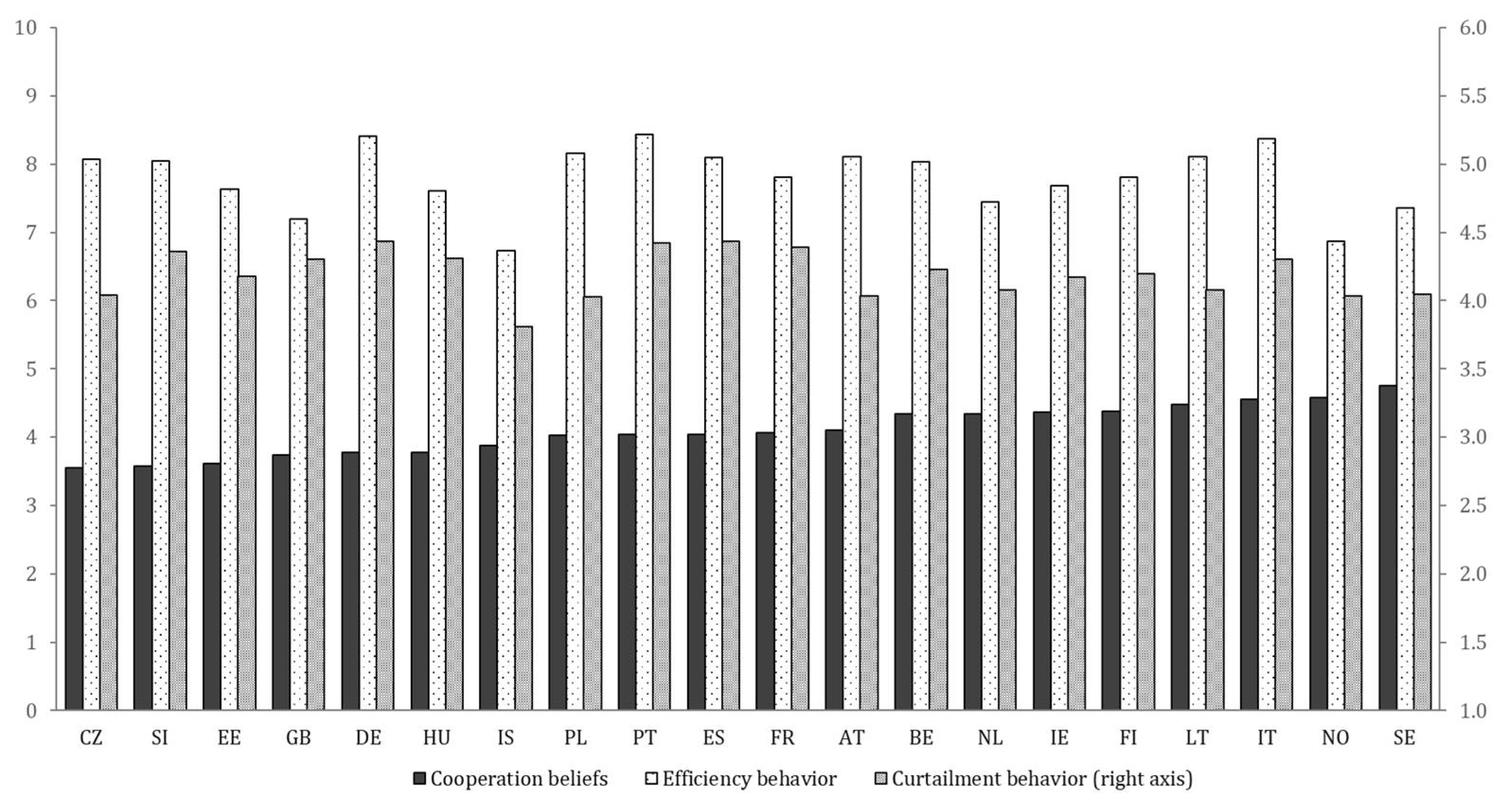
4.1. Exploring Individuals’ Beliefs in Others’ Willingness to Take Actions to Mitigate Climate Change
4.2. Trust in Others’ Willingness to Mitigate Climate Change and Individuals’ Energy Conservation Behavior
5. Conclusions
Funding
Institutional Review Board Statement
Informed Consent Statement
Data Availability Statement
Acknowledgments
Conflicts of Interest
References
- IPCC Global Warming of 1.5 °C; An IPCC Special Report on the Impacts of Global Warming of 1.5 °C above Pre-Industrial Levels and Related Global Greenhouse Gas Emission Pathways, in the Context of Strengthening the Global Response to the Threat of Climate Change, Sustainable Development, and Efforts to Eradicate Poverty; Summary for Policymakers; World Meteorological Organization: Geneva, Sitzerland, 2018.
- Dubois, G.; Sovacool, B.; Aall, C.; Nilsson, M.; Barbier, C.; Herrmann, A.; Bruyère, S.; Andersson, C.; Skold, B.; Nadaud, F.; et al. It Starts at Home? Climate Policies Targeting Household Consumption and Behavioral Decisions Are Key to Low-Carbon Futures. Energy Res. Soc. Sci. 2019, 52, 144–158. [Google Scholar] [CrossRef]
- Eurostat. Air Emissions Accounts by NACE Rev. 2 Activity. 2020. Available online: https://appsso.eurostat.ec.europa.eu/nui/show.do?dataset=env_ac_ainah_r2&lang=en (accessed on 10 October 2020).
- Blankenberg, A.-K.; Alhusen, H. On the Determinants of Pro-Environmental Behavior: A Literature Review and Guide for the Empirical Economist. 2019. Available online: http://hdl.handle.net/10419/204821 (accessed on 18 October 2020).
- Kollmuss, A.; Agyeman, J. Mind the Gap: Why Do People Act Environmentally and What Are the Barriers to Pro-Environmental Behavior? Environ. Educ. Res. 2002, 8, 239–260. [Google Scholar] [CrossRef]
- Farrow, K.; Grolleau, G.; Ibanez, L. Social Norms and Pro-Environmental Behavior: A Review of the Evidence. Ecol. Econ. 2017, 140, 1–13. [Google Scholar] [CrossRef]
- Schultz, P.W.; Nolan, J.M.; Cialdini, R.B.; Goldstein, N.J.; Griskevicius, V. The Constructive, Destructive, and Reconstructive Power of Social Norms. Psychol. Sci. 2007, 18, 429–434. [Google Scholar] [CrossRef] [PubMed]
- Bruderer Enzler, H.; Diekmann, A. All Talk and No Action? An Analysis of Environmental Concern, Income and Greenhouse Gas Emissions in Switzerland. Energy Res. Soc. Sci. 2019, 51, 12–19. [Google Scholar] [CrossRef]
- Stern, P.C. New Environmental Theories: Toward a Coherent Theory of Environmentally Significant Behavior. J. Soc. Issues 2000, 56, 407–424. [Google Scholar] [CrossRef]
- Abrahamse, W.; Steg, L.; Vlek, C.; Rothengatter, T. A Review of Intervention Studies Aimed at Household Energy Conservation. J. Environ. Psychol. 2005, 25, 273–291. [Google Scholar] [CrossRef]
- Karlin, B.; Davis, N.; Sanguinetti, A.; Gamble, K.; Kirkby, D.; Stokols, D. Dimensions of Conservation: Exploring Differences Among Energy Behaviors. Environ. Behav. 2012, 46. [Google Scholar] [CrossRef]
- Umit, R.; Poortinga, W.; Jokinen, P.; Pohjolainen, P. The Role of Income in Energy Efficiency and Curtailment Behaviours: Findings from 22 European Countries. Energy Res. Soc. Sci. 2019, 53, 206–214. [Google Scholar] [CrossRef]
- Lavelle, M.J.; Rau, H.; Fahy, F. Different Shades of Green? Unpacking Habitual and Occasional pro-Environmental Behavior. Glob. Environ. Chang. 2015, 35, 368–378. [Google Scholar] [CrossRef]
- Aitken, C.; Chapman, R.; McClure, J. Climate Change, Powerlessness and the Commons Dilemma: Assessing New Zealanders’ Preparedness to Act. Glob. Environ. Chang. 2011, 21, 752–760. [Google Scholar] [CrossRef]
- Capstick, S.B. Public Understanding of Climate Change as a Social Dilemma. Sustainability 2013, 5, 3484–3501. [Google Scholar] [CrossRef]
- Carattini, S.; Levin, S.; Tavoni, A. Cooperation in the Climate Commons. Rev. Environ. Econ. Policy 2019, 13, 227–247. [Google Scholar] [CrossRef]
- Tam, K.-P.; Chan, H.-W. Generalized Trust Narrows the Gap between Environmental Concern and Pro-Environmental Behavior: Multilevel Evidence. Glob. Environ. Chang. 2018, 48, 182–194. [Google Scholar] [CrossRef]
- Lorenzoni, I.; Nicholson-Cole, S.; Whitmarsh, L. Barriers Perceived to Engaging with Climate Change among the UK Public and Their Policy Implications. Glob. Environ. Chang. 2007, 17, 445–459. [Google Scholar] [CrossRef]
- Gür, N. Does Social Trust Promote Behaviour Aimed at Mitigating Climate Change? Econ. Aff. 2020, 40, 36–49. [Google Scholar] [CrossRef]
- Nyborg, K.; Anderies, J.M.; Dannenberg, A.; Lindahl, T.; Schill, C.; Schlüter, M.; Adger, W.N.; Arrow, K.J.; Barrett, S.; Carpenter, S.; et al. Social Norms as Solutions. Science 2016, 354, 42–43. [Google Scholar] [CrossRef]
- Hardin, G. The Tragedy of the Commons. Science 1968, 162, 1243–1248. [Google Scholar] [CrossRef]
- Kollock, P. Social Dilemmas: The Anatomy of Cooperation. Annu. Rev. Sociol. 1998, 24, 183–214. [Google Scholar] [CrossRef]
- Olson, M. The Logic of Collective Action: Public Goods and the Theory of Groups, Second Printing with a New Preface and Appendix; Harvard University Press: Cambridge, MA, USA, 2009; Volume 124. [Google Scholar]
- Ostrom, E. Collective Action and the Evolution of Social Norms. J. Econ. Perspect. 2000, 14, 137–158. [Google Scholar] [CrossRef]
- Gächter, S.; Herrmann, B.; Thöni, C. Trust, Voluntary Cooperation, and Socio-Economic Background: Survey and Experimental Evidence. J. Econ. Behav. Organ. 2004, 55, 505–531. [Google Scholar] [CrossRef]
- Kocher, M.G.; Martinsson, P.; Matzat, D.; Wollbrant, C. The Role of Beliefs, Trust, and Risk in Contributions to a Public Good. J. Econ. Psychol. 2015, 51, 236–244. [Google Scholar] [CrossRef]
- Diekmann, A.; Preisendörfer, P. Green and Greenback: The Behavioral Effects of Environmental Attitudes in Low-Cost and High-Cost Situations. Ration. Soc. 2003, 15, 441–472. [Google Scholar] [CrossRef]
- Hansen, A.R. Heating Homes: Understanding the Impact of Prices. Energy Policy 2018, 121, 138–151. [Google Scholar] [CrossRef]
- Doran, R.; Hanss, D.; Larsen, S. Attitudes, Efficacy Beliefs, and Willingness to Pay for Environmental Protection When Travelling. Tour. Hosp. Res. 2015, 15, 281–292. [Google Scholar] [CrossRef]
- Göckeritz, S.; Schultz, P.W.; Rendón, T.; Cialdini, R.B.; Goldstein, N.J.; Griskevicius, V. Descriptive Normative Beliefs and Conservation Behavior: The Moderating Roles of Personal Involvement and Injunctive Normative Beliefs. Eur. J. Soc. Psychol. 2010, 40, 514–523. [Google Scholar] [CrossRef]
- Reiss, P.C.; White, M.W. What Changes Energy Consumption? Prices and Public Pressures. RAND J. Econ. 2008, 39, 636–663. [Google Scholar] [CrossRef]
- Delhey, J.; Newton, K. Predicting Cross-National Levels of Social Trust: Global Pattern or Nordic Exceptionalism? Eur. Sociol. Rev. 2005, 21, 311–327. [Google Scholar] [CrossRef]
- Meyer, R.; Liebe, U. Are the Affluent Prepared to Pay for the Planet? Explaining Willingness to Pay for Public and Quasi-Private Environmental Goods in Switzerland. Popul. Environ. 2010, 32, 42–65. [Google Scholar] [CrossRef]
- Smith, E.K.; Mayer, A. A Social Trap for the Climate? Collective Action, Trust and Climate Change Risk Perception in 35 Countries. Glob. Environ. Chang. 2018, 49, 140–153. [Google Scholar] [CrossRef]
- Fairbrother, M. Trust and Public Support for Environmental Protection in Diverse National Contexts. Sociol. Sci. 2016, 3, 359–382. [Google Scholar] [CrossRef]
- Bohr, J. Barriers to Environmental Sacrifice: The Interaction of Free Rider Fears with Education, Income, and Ideology. Sociol. Spectr. 2014, 34, 362–379. [Google Scholar] [CrossRef]
- Franzen, A.; Meyer, R. Environmental Attitudes in Cross-National Perspective: A Multilevel Analysis of the ISSP 1993 and 2000. Eur. Sociol. Rev. 2010, 26, 219–234. [Google Scholar] [CrossRef]
- Poortinga, W.; Fisher, S.; Böhm, G.; Steg, L.; Whitmarsh, L.; Ogunbode, C. European Attitudes to Climate Change and Energy: Topline Results from Round 8 of the European Social Survey; ESS Topline Results Series; European Social Survey: London, UK, 2018. [Google Scholar]
- Diekmann, A.; Preisendörfer, P. Environmental Behavior: Discrepancies between Aspirations and Reality. Ration. Soc. 1998, 10, 79–102. [Google Scholar] [CrossRef]
- Snijders, T.A.B.; Bosker, R.J. Multilevel Analysis: An Introduction to Basic and Advanced Multilevel Modeling, 2nd ed.; SAGE: Los Angeles, CA, USA, 2012; ISBN 978-1-84920-201-5. [Google Scholar]



| Prop. | Mean | SD | Min. | Max. | |
|---|---|---|---|---|---|
| Cooperation beliefs | 4.10 | 2.13 | 0 | 10 | |
| Curtailment behavior | 4.23 | 1.15 | 1 | 6 | |
| Efficiency behavior | 7.88 | 2.18 | 0 | 10 | |
| Gender: male | 0.48 | ||||
| Age of respondent (in years) | 49.08 | 18.15 | 15 | 100 | |
| Age squared | 2738 | 1824 | 225 | 10,000 | |
| Household situation | |||||
| Living with a partner | 0.60 | ||||
| Living with children | 0.35 | ||||
| Level of education | |||||
| None or primary education | 0.23 | ||||
| Secondary education | 0.46 | ||||
| Tertiary education | 0.31 | ||||
| Work situation | |||||
| Employed | 0.54 | ||||
| Unemployed | 0.05 | ||||
| Enrolled in education | 0.08 | ||||
| Other | 0.34 | ||||
| Feeling about the household’s income | |||||
| Living comfortably | 0.34 | ||||
| Coping on present income | 0.48 | ||||
| Difficult on present income | 0.14 | ||||
| Very difficult on present income | 0.04 | ||||
| Climate change concern | 3.06 | 0.91 | 1 | 5 | |
| Generalized social trust | 5.35 | 2.32 | 0 | 10 | |
| National level of electricity prices (EURO per kWh, unstandardized) | 0.20 | 0.05 | 0.10 | 0.30 |
| Cooperation Beliefs | ||
|---|---|---|
| Model 1a | Model 1b | |
| Gender: male (ref.: female) | –0.06 * (0.02) | |
| Age of respondent (in years) | 0.01 *** (0.00) | |
| Age squared | –0.00 * (0.00) | |
| Household situation | ||
| Living with a partner | 0.02 (0.03) | |
| Living with (a) child(ren) | 0.00 (0.03) | |
| Level of education (ref.: none or primary education) | ||
| Secondary education | –0.18 *** (0.03) | |
| Tertiary education | –0.33 *** (0.04) | |
| Work situation (ref.: employed) | ||
| Unemployed | 0.03 (0.06) | |
| Enrolled in education | –0.08 (0.06) | |
| Other | –0.00 (0.03) | |
| Feeling about the household’s income (ref.: living comfortably) | ||
| Coping on present income | 0.07 (0.03) | |
| Difficult on present income | –0.05 (0.04) | |
| Very difficult on present income | –0.15 *** (0.07) | |
| Climate change concern | 0.27 *** (0.01) | |
| Generalized social trust | 0.09 *** (0.01) | |
| Countries’ aggregated level of curtailment behavior | –0.67 (0.48) | |
| Countries’ aggregated level of efficiency behavior | 0.04 (0.19) | |
| Constant | 4.11 *** (0.08) | 5.06 *** (0.79) |
| Level 1 variance | 2.10 *** (0.01) | 2.07 *** (0.01) |
| Level 2 variance | 0.35 *** (0.06) | 0.32 *** (0.06) |
| ICC | 0.03 | 0.02 |
| N Individuals (countries) | 34,181 (20) | |
| Curtailment Behavior | Efficiency Behavior | |||
|---|---|---|---|---|
| Model 2a | Model 2b | Model 3a | Model 3b | |
| Cooperation beliefs | 0.02 *** (0.00) | 0.02 *** (0.01) | ||
| Climate change concern | 0.23 *** (0.01) | 0.37 *** (0.01) | ||
| Control variables | ||||
| Gender: male (ref.: female) | –0.09 *** (0.01) | –0.19 *** (0.02) | ||
| Age of respondent (in years) | 0.03 *** (0.00) | 0.06 *** (0.00) | ||
| Age squared | –0.00 *** (0.00) | –0.00 *** (0.00) | ||
| Household situation | ||||
| Living with a partner | 0.03 * (0.01) | 0.24 *** (0.03) | ||
| Living with (a) child(ren) | 0.02 (0.01) | 0.08 ** (0.03) | ||
| Level of education (ref.: none or primary education) | ||||
| Secondary education | 0.07 *** (0.02) | 0.29 *** (0.03) | ||
| Tertiary education | 0.17 *** (0.02) | 0.38 *** (0.03) | ||
| Work situation (ref.: employed) | ||||
| Unemployed | 0.02 (0.03) | –0.12 * (0.05) | ||
| Enrolled in education | 0.08 ** (0.03) | 0.00 (0.06) | ||
| Other | 0.05 ** (0.02) | 0.04 (0.03) | ||
| Feeling about the household’s income (ref.: living comfortably) | ||||
| Coping on present income | 0.01 (0.01) | –0.04 (0.03) | ||
| Difficult on present income | 0.11 *** (0.02) | –0.17 *** (0.04) | ||
| Very difficult on present income | 0.25 *** (0.03) | –0.37 *** (0.06) | ||
| Generalized social trust | 0.00 (0.00) | 0.04 *** (0.01) | ||
| National level of electricity prices (in Euro in PPP, standardized) | 0.06 * (0.03) | 0.36 *** (0.05) | ||
| Constant | 4.22 *** (0.04) | 2.44 *** (0.06) | 7.84 *** (0.10) | 4.40 *** (0.12) |
| Level 1 variance | 1.14 *** (0.00) | 1.10 *** (0.00) | 2.14 *** (0.01) | 2.06 *** (0.01) |
| Level 2 variance | 0.17 *** (0.03) | 0.12 *** (0.02) | 0.43 *** (0.01) | 0.25 *** (0.04) |
| ICC | 0.02 | 0.01 | 0.04 | 0.01 |
| N Individuals (countries) | 34,181 (20) | 34,181 (20) | ||
| Curtailment Behavior | Efficiency Behavior | |
|---|---|---|
| Model 5 | Model 7 | |
| Cooperation beliefs | –0.00 (0.01) | 0.05 ** (0.02) |
| Cooperation beliefs x climate change worries | 0.01 * (0.00) | –0.01 (0.01) |
| Control variables | ||
| Gender: male (ref.: female) | –0.09 *** (0.01) | –0.19 *** (0.02) |
| Age of respondent (in years) | 0.03 *** (0.00) | 0.06 *** (0.00) |
| Age squared | –0.00 *** (0.00) | –0.00 *** (0.00) |
| Household situation | ||
| Living with a partner | 0.03 * (0.01) | 0.24 *** (0.03) |
| Living with (a) child(ren) | 0.02 (0.01) | 0.08 ** (0.03) |
| Level of education (ref.: none or primary education) | ||
| Secondary education | 0.07 *** (0.02) | 0.29 *** (0.03) |
| Tertiary education | 0.17 *** (0.02) | 0.38 *** (0.03) |
| Work situation (ref.: employed) | ||
| Unemployed | 0.02 (0.03) | –0.12 * (0.05) |
| Enrolled in education | 0.08 ** (0.03) | 0.00 (0.06) |
| Other | 0.05 ** (0.02) | 0.04 (0.03) |
| Feeling about the household’s income (ref.: living comfortably) | ||
| Coping on present income | 0.01 (0.01) | –0.04 (0.03) |
| Difficult on present income | 0.11 *** (0.02) | –0.17 *** (0.04) |
| Very difficult on present income | 0.26 *** (0.03) | –0.37 *** (0.06) |
| Climate change concern | 0.21 *** (0.01) | 0.40 *** (0.02) |
| Generalized social trust | 0.00 (0.00) | 0.04 *** (0.01) |
| National level of electricity prices (in Euro in PPP, standardized) | 0.06 * (0.03) | 0.36 *** (0.06) |
| Constant | 2.50 *** (0.07) | 4.33 *** (0.14) |
| Level 1 variance | 1.10 *** (0.00) | 2.06 *** (0.14) |
| Level 2 variance | 0.12 *** (0.02) | 0.25 *** (0.04) |
| N Individuals (countries) | 34,181 (20) | 34,181 (20) |
Publisher’s Note: MDPI stays neutral with regard to jurisdictional claims in published maps and institutional affiliations. |
© 2021 by the author. Licensee MDPI, Basel, Switzerland. This article is an open access article distributed under the terms and conditions of the Creative Commons Attribution (CC BY) license (https://creativecommons.org/licenses/by/4.0/).
Share and Cite
Lübke, C. The Climate Change Dilemma: How Cooperation Beliefs Influence Energy Conservation Behavior. Sustainability 2021, 13, 5575. https://doi.org/10.3390/su13105575
Lübke C. The Climate Change Dilemma: How Cooperation Beliefs Influence Energy Conservation Behavior. Sustainability. 2021; 13(10):5575. https://doi.org/10.3390/su13105575
Chicago/Turabian StyleLübke, Christiane. 2021. "The Climate Change Dilemma: How Cooperation Beliefs Influence Energy Conservation Behavior" Sustainability 13, no. 10: 5575. https://doi.org/10.3390/su13105575
APA StyleLübke, C. (2021). The Climate Change Dilemma: How Cooperation Beliefs Influence Energy Conservation Behavior. Sustainability, 13(10), 5575. https://doi.org/10.3390/su13105575
