Next Article in Journal
Application of the Taguchi Method for Optimizing the Process Parameters of Producing Controlled Low-Strength Materials by Using Dimension Stone Sludge and Lightweight Aggregates
Previous Article in Journal
Decision-Making Process for Demand Response Public Transportation Service Design—A Case Study in Incheon, Korea
 
 
Font Type:
Arial Georgia Verdana
Font Size:
Aa Aa Aa
Line Spacing:
Column Width:
Background:
Article

The Climate Change Dilemma: How Cooperation Beliefs Influence Energy Conservation Behavior

by
Christiane Lübke
Institute of Sociology, University of Duisburg-Essen, 47057 Duisburg, Germany
Sustainability 2021, 13(10), 5575; https://doi.org/10.3390/su13105575
Submission received: 8 April 2021 / Revised: 8 May 2021 / Accepted: 11 May 2021 / Published: 17 May 2021

Abstract

Despite widespread belief in anthropogenic climate change and high levels of concern about its consequences, behavioral changes necessary to adequately address climate change appear difficult to achieve. This concern–behavior gap is often explained by the public goods character of climate change mitigation, which is associated with a high individual incentive to take a free ride when possible. This paper examines cooperation beliefs and their impact on individuals’ energy conservation behavior. Analyzing data from the European Social Survey, it appears that cooperation beliefs are rather low in Europe and that most people do not expect others to limit their energy use to help mitigate climate change. This low trust contrasts with individuals’ reported level of energy conservation behavior and the general high level of energy conservation in most European countries. This trust gap has important implications for pro-environmental behavior as high trust in others’ pro-environmental behavior fosters individuals’ attempts to save energy.

1. Introduction

Mitigating climate change is an urgent issue that demands far-reaching changes in people’s behavior across various fields of life [1,2]. Especially important are measures to reduce energy consumption as around a quarter of the total direct greenhouse gas emissions produced in the EU stem from private households’ energy use and transport [3]. Energy could be saved by, for example, switching off appliances that are not being used, walking or biking for short trips, and only using heating or air conditioning when really needed, as well as by investing in new, more efficient home appliances. However, despite widespread belief in anthropogenic climate change and high levels of individual concern about its consequences, necessary environmental behavior changes appear to be difficult to achieve. This concern–behavior gap has been widely studied, and findings highlight a range of individual and structural barriers to pro-environmental behavior, see [4,5] for a recent literature review. However, most of these studies ignore the public goods character of climate change mitigation that constitutes a social dilemma in which cooperation is required. Less is thus known about social influences shaping pro-environmental behavior in such situations. This paper presents an examination of cooperation beliefs and their impact on individuals’ energy conservation behavior to address this gap.
Cooperation beliefs refer to the level of trust a person has in others’ willingness to engage in climate change actions. The so defined cooperation beliefs are also known as (perceived) descriptive norms or social expectations in the literature [6,7]. In contrast to other studies using social trust, cooperation beliefs are measured in a more direct way by capturing a person’s perception of how likely many people will actually limit their energy use to reduce climate change. Pro-environmental behavior describes behaviors that individuals consciously choose to minimize or at least reduce the negative impact of their actions on the environment [4,8,9]. Energy conservation behavior, as an important type of pro-environmental behavior, encompasses a wide range of specific behaviors, which can be categorized as curtailment and efficiency behavior [8,9,10]. Curtailment behavior refers to habitual activities to reduce energy use, such as switching off appliances that are not being used, walking for short journeys, or only using the heating or air conditioning when really needed. Efficiency behavior refers to investments in new, more efficient technologies such as energy-efficient home appliances (e.g., refrigerators or washing machine) or investments in home energy retrofits (e.g., better heat insulation for home). Although curtailment behaviors primary require permanent change in daily behaviors and thus demand changing existing routines, efficiency behavior is an occasional act and requires financial investment in new technologies [11].
It is often assumed that a lack of such trust makes people less willing to engage in climate change mitigation as they might fear being exploited by others who will not contribute but profit from successful climate change mitigation [12,13,14,15]. Distrust in others’ cooperation might also hinder pro-environmental behavior as people might believe their effort will not make a change without the cooperation of others. Analyzing interview data, Lorenzoni et al. [16] identified these worries about a free-rider effect as a primary barrier to pro-environmental behavior. Pro-environmental behavior, as defined here, encompasses a variety of activities undertaken to protect the environment [17]. Cooperation beliefs have so far received too little attention in the empirical literature studying pro-environmental behavior from a cross-national perspective. Existing studies on the role of social influences on pro-environmental behavior mostly rely on data from field experiments in which individuals are confronted with information about others’ behavior [6,7]. There are only a few studies using survey data, which, however, use generalized social trust as proxy of cooperation beliefs, assuming that those who generally trust others also expect them to engage in climate change mitigation [15,18]. There is, however, a lack of studies using quantitative data from representative surveys measuring cooperation beliefs directly. Thus, little is known about how people actually think about others’ engagement in mitigation climate change, what shapes these beliefs, and whether and under what conditions such cooperation beliefs affect their pro-environmental behavior.
The aim of this paper is two-fold: First, I attempt to explore how likely individuals across Europe think it is that others will participate in climate change mitigation. Drawing on data from the 8th Round of the European Social Survey, it is examined how these cooperation beliefs differ between European countries and along socio-economic characteristics. Second, it is determined whether and how cooperation beliefs affect an individual’s actions to address climate change, and if they can narrow the gap between environmental concern and pro-environmental behavior. In particular, the focus is on their impact on an individual’s self-reported energy conservation behavior aimed at helping mitigating climate change.
In presenting these analyses, the paper contributes to a better understanding of the motivations and barriers of pro-environmental behavior aimed at mitigating climate change and thus provides important insights necessary for the development of more effective and widely accepted climate change mitigation measures. Up to now, climate change policy has mostly relied on regulatory instruments, fiscal measures, and public information campaigns to enhance pro-environmental behavior. These measures aim to increase public awareness of the urgent need to mitigate climate change and provide economic incentives to foster pro-environmental behavior. However, this may not be sufficient if it is confirmed that an individual’s pro-environmental behavior is influenced not only by intrinsic motivation and external economic incentives but also by how people perceive the likelihood of others’ actions. It might also be necessary to enhance individuals’ trust in others’ cooperative efforts [19].

2. Theoretical Considerations and State of Research

The importance of cooperation beliefs for pro-environmental behavior derives theoretically from the public goods character of climate change mitigation [20,21]. The provision of public goods requires cooperation as no single individual or small group can accomplish such tasks on their own. In the case of climate change mitigation, a huge number of people must reduce their greenhouse gas emissions, and the actions of only a few people will not make any significant difference in tackling climate change. However, the necessary actions are often time-consuming, expensive, or inconvenient for the cooperating individual, but the resultant benefits are shared by everyone (including those who did not cooperate). This non-excludability of public goods creates an incentive to free-ride as rational, self-interested actors would do best by letting others pay the costs while enjoying the benefits. Free-ride behavior describes the attempt of individuals to benefit from a collective good without paying the costs of its production. In the case of climate change, those who do not participate in pro-environmental behavior aimed at mitigating climate change but will profit from others’ efforts are free-rider. Frequent free-ride behavior can then demotivate others who initially may have agreed to cooperate but may feel exploited and thus stop cooperation. As a result of this dynamic, the provision of the public good fails, with detrimental consequences for all. This is often called the tragedy of the commons or public good dilemma [20,21,22].

2.1. The Role of Cooperation Beliefs

Research from different disciplines such as behavioral economics and social psychology shows that cooperation in such situations is possible and not even uncommon, although it requires interventions to manage free-riding and maintain trust in cooperation. Cooperation can be accomplished by regulations and economic instruments that sanction free-rider behavior and reward cooperation. Cooperation can also be established and maintained by fostering trust in each other. People are more likely to (voluntarily) contribute their time, money, or effort when they expect others to do the same [23]. Such cooperation beliefs reduce the fear of being exploited by others. It also reduced the uncertainty that the public good is not achieved due to insufficient cooperation. The importance of trust for cooperation has been proven in many studies from different disciplines [24,25], and it is logical to assume that trust also influences whether individuals act according to their pro-environmental beliefs.
Little research has empirically examined the importance of cooperation beliefs for pro-environmental behavior. Instead, research acknowledging the social dilemma character of climate change mitigation has mostly focused on how to manage free-riding by changing the costs and benefits of pro-environmental behavior [10,26]. It has indeed been shown that the behavior gap appears to be especially high when the changes towards pro-environmental behavior are perceived to be very costly, the so-called low-cost hypothesis of environmental behavior [26]. The expected individual costs hindering pro-environmental behavior can be multifaceted, including monetary and non-monetary costs in terms of time, effort, and some loss of amenities and comfort. The importance of economic factors is indicated by the impact of energy prices on household energy conservation revealed in studies using cross-sectional and longitudinal data [27,28]. When energy becomes more expensive, in particular, higher-income households reduce their energy demand by both changing energy use habits and investing in more energy efficiency [27].
There is also evidence that individuals themselves are well aware of the social dilemma nature of climate change. Capstick [13], for example, examined the public understanding of climate change mitigation and found that many people are well aware of the conflict between collective and individual interests. In another qualitative study conducted by Lorenzoni et al. [16], participants themselves reported “worries about free-rider effect” (refraining from taking action because others will not cooperate) as a primary barrier to engaging with climate change. This would suggest that cooperation beliefs should indeed increase an individual’s willingness to act in ways that are more environmentally friendly.
Despite this, there is a lack of studies that empirically examine the role of cooperation beliefs. Evidence comes from studies relying on laboratory or field experiments [6]. One important field experiment was conducted by Schultz et al. [7] on household energy consumption in California. They provided households with information on their neighborhood’s average energy consumption and observed that households subsequently converged their energy consumption toward their neighbors’ level. This clearly suggests that individuals’ beliefs about others’ behavior influence their behavior. However, results from this and other intervention studies are only partly applicable to understanding an individual’s behavior in climate change dilemma insofar as they study an individual’s response to information provided, for a literature review see [6]. They do not reveal how people in the absence of information perceive others’ behavior and how this subjective perception guides their behavior. Studying these cooperation beliefs requires large-scale representative data containing questions of how people judge relevant others’ behavior.
There are only a few studies using representative survey data, but they mostly fail to capture cooperation beliefs directly. Instead, most of them rely on generalized trust as a proxy of cooperation beliefs [17,19,29,30]. Generalized social trust refers to a person’s perception that others seek to be fair, trustworthy, and generous [31]. It is assumed that people who generally trust others also expect that others will cooperate in social dilemma situations and exhibit more cooperative behavior. Results show that social trust is indeed associated with willingness to pay for environmental goods [30,31] and support for environmental policies [32]. Social trust also seems to influence personal pro-environmental behavior. Göckeritz et al. [33], for example, found a significant positive correlation between beliefs about the conservation behavior of others and one’s own conservation actions. In addition, Gür [18] showed that trust is significantly positively associated with environmental behaviors that are mostly time-consuming such as separating waste for recycling, but he found no significant relationship with environmental actions that impose monetary costs such as installing equipment that generates renewable energy at home. Bohr [34] and Doran et al. [35], however, do not find significant social trust effects on pro-environmental behavior.
Based on theoretical assumptions outlined above, it is assumed that cooperation beliefs encourage individuals’ own pro-environmental behavior aimed at mitigating climate change. It can be expected that the belief others actually limit their energy use to address climate change increases one’s own attempts to save energy in everyday life. The investigation tested the hypotheses for both curtailment and efficiency behavior, which differ regarding the efforts needed. Although curtailment behavior requires a change in energy use habits, efficiency behavior requires an economic investment [11]. Recent results from Gür [18] suggested that cooperation beliefs are more important for time-consuming actions than for those actions that impose monetary costs. I thus expected cooperation beliefs to be a more powerful influence for curtailment than for efficiency behavior.

2.2. The Role of Environmental Awarness

An established result of environmental research is the considerable inconsistency between environmental awareness and actual behavior [5,8,17,18,27]. Studies show that most people are aware of climate change and its anthropogenic causes and are also at least somehow concerned about its potential consequences [36,37]. Nevertheless, such environmental concern is only weakly predictive of the corresponding pro-environmental behavior. This concern–behavior gap is also apparent in energy-saving behavior [10,38]. Against this background, Tam and Chan [15] have suggested that trust in others’ willingness to cooperate is especially important for those who are highly concerned about climate change and are thus generally willing to change their behavior but refrain from action because of free-rider worries. Their results confirm this assumption as they have shown that trust both at the individual and societal level narrows the concern–behavior gap. Results from the a field experiment conducted by Schultz et al. [7], however, suggested that cooperation beliefs operate as a kind of social norm that affects many people regardless of their initial level of environmental concern. Thus, in the following research interaction effects are calculated between cooperation beliefs and environmental behavior to test whether or not the encouraging effect of cooperation beliefs is stronger when people are more concerned about climate change.

3. Data, Measures, and Methods

3.1. Data

This paper makes use of the data from Round 8 of the European Social Survey (ESS), a population-representative cross-national survey that has been conducted every two years across Europe since 2002. Round 8 was collected in 2016/2017 and included questions designed to assess people’s perceptions of and reaction to global warming, including indicators of cooperation beliefs, pro-environmental awareness, and behavior [37]. The following analysis includes 34,181 individuals living in 20 European countries, specifically Austria (AT), Belgium (BE), Czechia (CZ), Germany (DE), Estonia (EE), Spain (ES), Finland (FI), France (FR), United Kingdom (GB), Hungary (HU), Ireland (IE), Iceland (IS), Italy (IT), Lithuania (LT), Netherlands (NL), Norway (NO), Poland (PL), Portugal (PT), Sweden (SE), and Slovenia (SI). The Russian Federation and Israel were excluded as this research focuses on Europe, and Switzerland was excluded due to missing data.

3.2. Measures

As already introduced above, it is distinguished between curtailment and efficiency behavior as two different dimensions of energy conservation behavior. Curtailment behavior is captured by an item addressing individuals’ self-reported frequency of taking actions to reduce energy use by, for example, switching off appliances that are not being used, walking for short journeys, or only using the heating or air conditioning when really needed. The frequency of such curtailment behavior was measured on a six-point scale ranging from 1 “never” to 6 “always”. Efficiency behavior is captured by an item measuring individuals’ stated likelihood that they would buy one of the most energy-efficient electrical appliances for their home if they need a new one. Responses were recorded on an 11-point scale, where 0 means “not at all likely” and 10 “extremely likely”. This question is intentionally limited to electrical home appliances and excludes measures of home energy retrofits as the latter is often not the choice of tenants [2].
The main objective in the analyses presented here is to examine the effect of cooperation beliefs on pro-environmental behavior. Cooperation beliefs are measured by the perceived likelihood that large numbers of people will actually limit their energy use to try to reduce climate change. Responses were collected on an 11-point scale, where 0 means “not at all likely” and 10 “extremely likely”.
As control variables, socio-demographic characteristics (gender, age, age squared, living with partner/children in the household, level of education) as well as characteristics of the individual’s socio-economic situation (work situation, feeling about household’s income) are introduced. Gender is introduced as a dummy variable coded as 0 (female) and 1 (male). It is further introduced age and an age squared term to account for the potential non-linear effect of age. As an indicator of household type, it is controlled whether individuals live with a partner and/or with at least one child in the same household or not. Highest attained level of education is recorded into a variable with three categories, based on the International Standard Classification of Education (ISCED): no or only primary education (1), secondary education (2), and tertiary education (3). The work situation is categorized by being employed (1), being unemployed (2), being currently enrolled in education (3), and being in another status (4). A four-point measure for people’s self-assessed financial household situation is used to capture income deprivation, distinguishing among individuals’ reporting living comfortably on present income (1), coping (2), having difficulty (3), and having a very difficult time on present income (4).
Furthermore, individual’s climate change awareness is considered, which was assessed by asking respondents how worried they were about climate change on a five-point scale ranging from 1 “not at all worried” to 5 “extremely worried”. Generalized social trust was measured by the item “Most people can be trusted, or you can’t be too careful”, with possible responses ranging from 0 “you can’t be too careful” to 10 “most people can be trusted”. In the analysis of energy conservation behavior, it is further considered average electricity prices for household consumers in each country (Euro in PPP per kWh in 2016, including all taxes and levies in EURO) retrieved from EUROSTAT. Electricity prices are a used as a rough proxy for economic factors well-known to affect individual energy-saving behavior independent of other considerations. Descriptive statistics of all control variables included in the data analysis are displayed in Table 1.

3.3. Methods

The empirical analyses were conducted in two steps with different outcome variables. In the first step, the level and determinants of cooperation beliefs were examined. In the second step, the behavioral consequences of these cooperation beliefs were studied. In both steps, multilevel regression analyses were applied to take account of the hierarchical structure of the ESS data (individuals nested within countries). Therefore only random effects from random intercept models are presented and discussed as this paper is interested in the average effects of covariates on the response across countries rather than how these effects might differ from country to country [39]. Although curtailment behavior was only measured on a six-point answer scale (all other outcome variables were measured on an 11-point scale), all outcome variables are treated as continuous, and multilevel linear regressions were estimated. This provides much more easily interpretable results, in particular when it comes to the interaction effects, but provides results that are substantially the same as from commonly used ordinal models (results not shown). All analysis are conducted using Stata SE 15.

4. Results

4.1. Exploring Individuals’ Beliefs in Others’ Willingness to Take Actions to Mitigate Climate Change

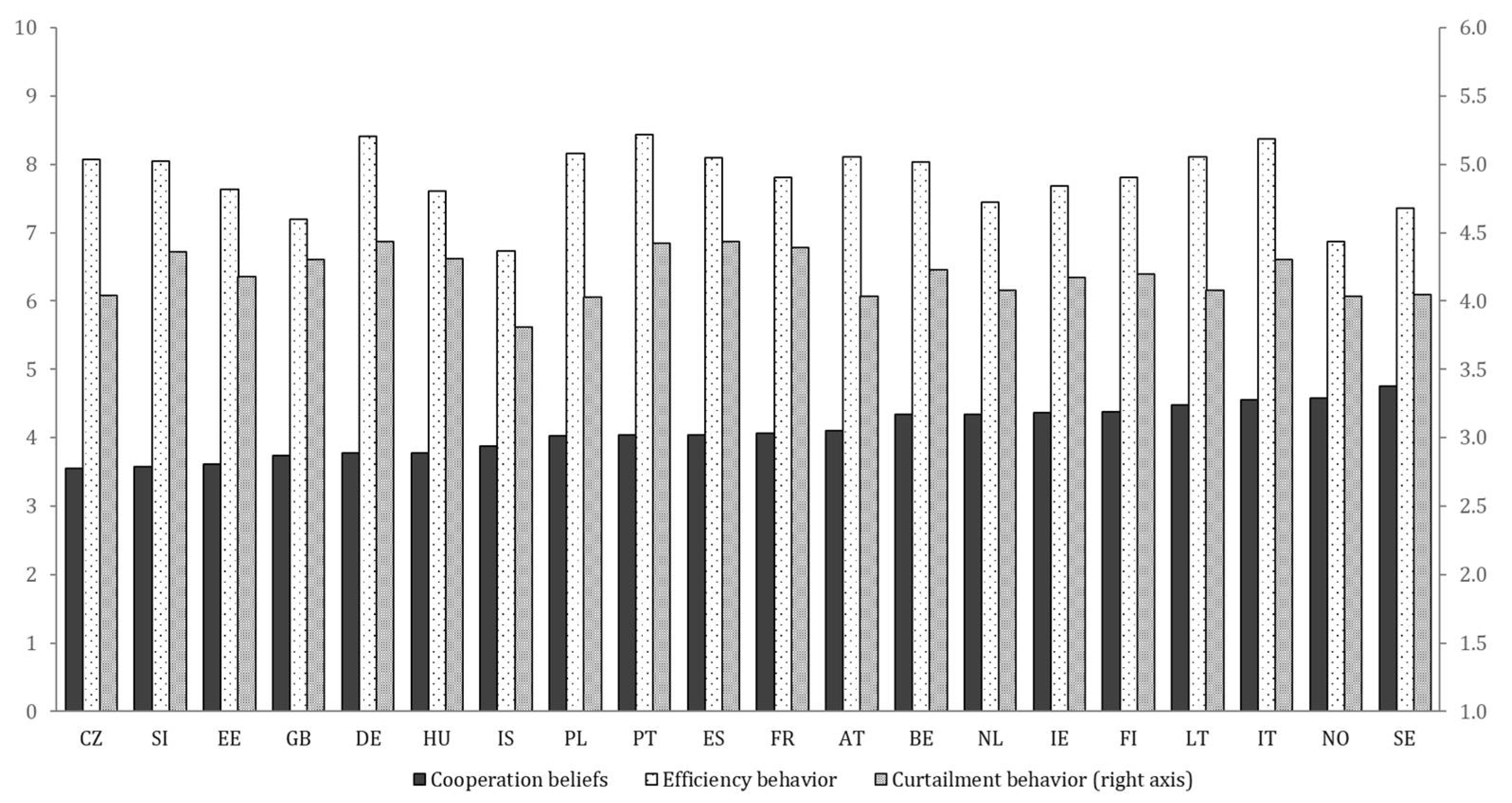
As can be seen in Figure 1, individuals across Europe do not have a strong belief that others will take actions to mitigate climate change. In all 20 European countries covered by the present analysis, the mean level of cooperation beliefs (dark-colored columns) was far below the midpoint of 5.5, suggesting that many people consider it unlikely that large numbers of people will actually limit their energy use to try to reduce climate change. Country differences appear to be rather small; however, cooperation beliefs are particularly low in Czechia and Slovenia and comparatively high in Norway and Sweden.
Do low cooperation beliefs reflect a generally low level of pro-environmental behavior in Europe? In addition to cooperation beliefs, Figure 1 also displays the level of reported energy conservation behavior across European countries studied here. Energy conservation behavior is divided into curtailment and efficiency behavior. Both variables are highly skewed towards a high stated frequency of likelihood of energy conservation. Curtailment behavior was recorded on a six-point scale ranging from “never” (1) to “always” (6) taking actions to decrease energy consumption, for example, by switching off appliances not being used, walking for short journeys, or only using the heating or air conditioning when really needed in everyday life to reduce energy use. The mean reported level of curtailment behavior across all countries studied was about 3.5, in most countries even above 4 (“often”). Similarly, respondents in all countries reported that they were on average more likely to buy one of the most energy-efficient appliances, with a mean above 7 in most countries on an 11-point scale ranging from “not at all likely” (0) to “extremely likely” (10). Reported curtailment behavior was especially common in Spain and Germany; higher levels of reported efficiency behavior were observed in Germany and Portugal. The country differences are, however, again rather small.
Comparing cooperation beliefs and reported energy conservation behavior revealed a considerable trust gap among the European population. As much as people reported trying to reduce energy use in their own everyday life, the belief that others will do the same to address climate change was much lower. This gap was also apparent in the missing correlation between the mean level of cooperation beliefs and reported energy conservation behaviors across countries. One might have expected that a higher level of aggregated self-reported energy conservation behavior would increase peoples’ trust in others’ willingness to engage in climate change mitigation. However, such a connection could not be recognized at first glance in Figure 1. Instead, individuals tended to underestimate others’ attempts to engage in climate change mitigation.
Does a low level of cooperation beliefs reflect a general tendency to mistrust others? As shown in Figure 2, cooperation beliefs were indeed observed to be positively linked with generalized social trust. In countries with a general higher level of trust, individuals were on average also more likely to believe that others are willing to save energy to help mitigate climate change. This correlation, however, is rather weak (Pearson’s r = 0.15, p < 0.001). At the individual level, further correlation analysis revealed that trust and cooperation beliefs were only very weakly related (Pearson’s r = 0.10, p < 0.001). It is also noticeable that the level of cooperation beliefs was much lower than the level of generalized social trust.
Results from multilevel linear regression analysis displayed in Table 2 confirmed the impressions from the descriptive analysis. The variance components and the intraclass correlation coefficients (ICC) confirmed that cooperation beliefs did not vary greatly between countries. The ICC indicates the size of variance that is explained by differences between context levels [39]. It here indicates that only around 3% of the variation in cooperation beliefs must be attributed to differences at the country level. This is a significant but very small variation that still justifies a multilevel approach.
Results from Table 2 further confirmed that an individual’s trust in others’ willingness to cooperate does not initially mirror the actual behavior of others. There was no significant relationship between cooperation beliefs and the country’s aggregated level of curtailment, or of efficiency behavior. Cooperation beliefs were, however, significantly positively linked with an individual’s general trust. That means that those who reported generally higher trust in others were also more likely to believe that others are willing to cooperate in fighting climate change. This relationship, however, was rather weak, suggesting that cooperation beliefs are somehow linked with generalized trust but need to be seen as a distinct feature.
Looking at the individual-level determinants, it becomes apparent that cooperation beliefs differed along socio-demographic and socio-economic characteristics. Men were significantly less likely to believe that others are willing to reduce their energy use, and cooperation beliefs increased with age (at least up to a certain age, as age squared was also significant). Living with a partner or children, however, was not significantly associated with cooperation beliefs. It is, however, interesting to note that education was significantly associated with cooperation beliefs. Those with higher education were more pessimistic about others becoming engaged in energy conservation behavior. Individuals’ work situation was not significantly linked with cooperation beliefs. People who reported difficulties living on their present income were, however, more pessimistic about the cooperation of others. There was also a significant positive relationship with climate change awareness. Those who were more worried about climate change were much more likely to believe in others’ willingness to contribute to climate change mitigation.

4.2. Trust in Others’ Willingness to Mitigate Climate Change and Individuals’ Energy Conservation Behavior

In the next step, it is analyzed how cooperation beliefs were associated with individuals’ energy conservation behavior. Table 3 presents results from multilevel linear regression analysis separated for the two dimensions of energy conservation behavior, namely curtailment behavior (Models 2a/2b) and efficiency behavior (Models 3a/3b). The variance components and the intraclass correlation coefficients of the null models showed that both dimensions of energy conservation behavior hardly varied between countries. The ICC indicates that only around 2% of the variation in curtailment behavior and 4% of variation in efficiency behavior must be attributed to differences at the country level. After introducing individual-level control variables and national-level energy prices, the ICCs reduced to 1% for both curtailment and efficiency behavior. These are very small but significant cross-national variations, justifying a multilevel approach.
As shown in Table 3, energy conservation behavior was significant positively linked with individuals’ cooperation beliefs. That means that people—as expected—with a higher trust in others’ willingness to cooperate were more likely to report that they would reduce their energy use by, for example, switching off appliances that are not being used, walking for short journeys, or buying one of the most energy-efficient appliances. This effect was significant for both curtailment as well as efficiency behavior and thus seemed to be independent of the kind of energy conservation behavior studied. This effect also appeared to be distinct from a general trust effect as it remained significant under control of generalized social trust.
Results in Table 3 show that individuals’ energy conservation behavior also depended on other factors, including foremost economic factors. Men were less likely than women to report saving energy, and older people (up to a certain age) were more likely to report engaging in energy-saving behavior. Living with a partner was associated with a significantly higher likelihood of curtailment and with children in addition was associated with an increase in efficiency behavior as well. There was also a positive relationship between education and energy-saving. Confirming the results of the study conducted by Umit et al. [10], my results showed that subjective income difficulties were positively associated with curtailment but negatively with efficiency behavior. Individuals with limited economic resources were thus more likely to save energy but less likely to invest in more efficient home appliances. Furthermore, it becomes apparent that high energy prices are associated with differences in both curtailment and efficiency behavior but that this effect is greater for efficiency than for curtailment behavior.
Does the impact of cooperation beliefs on energy conservation behavior depend on individuals’ level of environmental concern? It could be expected that cooperation beliefs foster in particular pro-environmental behavior in individuals who are very concerned about climate change, but who for any reason do not act according to their climate change awareness. To test this hypothesis, interaction effects between cooperation beliefs and environmental awareness as measured by individuals’ worries about climate change are calculated (see Table 4). The interaction effect was only weakly significant for curtailment (p < 0.05) and was not significant for efficiency behavior. This suggests cooperation beliefs indeed had a stronger effect on curtailment behaviors such as frequency to save energy by switching off appliances that are not being used, walking for short journeys, or only using the heating or air conditioning when really needed. Cooperation beliefs, however, did not affect individuals’ likelihood to invest in new, more efficient home appliances. Instead, cooperation beliefs impact efficiency behavior of all individuals, irrespective of their level of environmental awareness.
Figure 3 illustrates the significant interaction for curtailment behavior and shows the marginal effect for each level of climate change worries on curtailment behavior. It appears that as expected, the marginal effects were stronger for individuals who reported greater worry about climate change and even equal zero for those who did not report being worried about climate change at all. This result suggests that lacking trust in others’ cooperation is an important barrier of pro-environmental behavior for those generally willing to help protect the environment, while it (alone) does not help to motivate those not very worried about climate change.

5. Conclusions

In this study, I investigated cooperation beliefs and their relationship with individuals’ energy conservation behavior aimed at mitigating climate change. Results based on data from the European Social Survey revealed that most people doubt that many other people will limit their energy use to help mitigate climate change. This high level of distrust in others’ climate change engagement contrasts with the generally high level of self-reported energy conservation behavior across Europe, indicating that individuals tend to underestimate other’s attempts to help mitigate climate change. This trust gap has important consequences for an individual’s likelihood to engage in climate change mitigation as my results also showed that cooperation beliefs can encourage or, in the case that they are low or lacking, discourage pro-environmental behavior. Individuals in this study who were more optimistic about others’ pro-environmental behavior were also more likely to report saving energy by, for example, switching off appliances not being used, walking for short journeys, or only using the heating or air conditioning when really needed in everyday life to reduce energy (curtailment behavior) or buying one of the most energy-efficient appliances (efficiency behavior). This impact of trust in others was small but robust and was observed to affect individuals irrespective of their level of environmental awareness.
Results contribute to the literature by confirming the great importance of social influences on pro-environmental behavior. Climate change mitigation needs to be understood as a social dilemma situation that requires cooperation from many but also creates an incentive to free-ride. Individuals’ engagement thus also depends on their trust in others to cooperate and not to take a free ride. As it appears that most people are quite pessimistic about others’ engagement in this situation, this can help to explain the considerable inconsistency between environmental awareness and actual behavior [5,8,17,18,39]. The real dilemma in climate change mitigation, however, does not primarily arise from an individual’s unwillingness to take mitigation actions against their narrow individual interests. It rather arises from the widespread perceived lack of cooperation from others that hinders environmental behavior change. This study has shown that most people do not trust others’ engagement in climate change. This contrasts with both a generally high level of trust in these countries and a high level of self-reported energy conservation behavior. In practice, this means that a generally high level of trust in a country is not enough to encourage pro-environmental behavior. People need to perceive very concretely that their fellow human beings are making efforts to improve climate protection in their everyday lives. Future research should thus focus more on cooperation beliefs and their determinants and therefore not only rely on generalized social trust as proxy of cooperation beliefs. It would also be worth investigating how individuals perceive the cooperation of other actors such as governments and companies.
There are some limitations to this study that need to be addressed in future research. First, this study was limited to the analysis of self-reported energy conservation behavior. This, of course, covers only a part of a pro-environmental behavior aimed at mitigating climate change, which encompasses a wide range of specific behaviors [17]. These different types, however, might have different determinants [11], where the findings of this study might not be transferable to other types of pro-environmental behaviors. Self-reported behavior may also not necessarily reflect actual behavior nor the actual environmental impact [40], but nevertheless studying self-reports of pro-environmental behavior is important as it helps us to understand what motivates or hinders people from acting according to their highest levels of climate change awareness and concern about its consequences. Another limitation of this study arises from the use of cross-sectional data to investigate the determinants of energy conservation behavior. Although there are good reasons to assume that cooperation beliefs indeed influence pro-environmental behavior, such cross-sectional analyses are not sufficient to test this assumed causal relationship. Future research should thus use panel data to prove these assumptions.
Despite these limitations, this study provides important insights into the social-psychological motivations of and barriers to pro-environmental behavior aimed at mitigating climate change. Without diminishing the role of intrinsic motivations and economic incentives, this study emphasizes that the social dilemma character of climate change mitigation also influences people’s decisions to take pro-environmental measures in their daily life. Pro-environmental behavior appears to be contingent on one’s perception that a large number of people take climate change seriously and are willing to make an effort to help mitigate climate change. However, it should not be forgotten that individual behavior change is always embedded in a broader social context, which is strongly shaped by structural and individual context. These factors strongly determine the costs and benefits of pro-environmental behavior, but they also set the conditions of the climate change dilemma and can shape people’s cooperation beliefs. Climate change mitigation policy should thus not only aim at increasing public awareness of the urgent need to mitigate climate change and provide economic incentives to foster climate change behavior, but should also strive to increase trust in others’ cooperative efforts. Learning about others’ engagement may boost pro-environmental behavior.

Funding

This research received no external funding.

Institutional Review Board Statement

Not applicable.

Informed Consent Statement

Informed consent was obtained from all subjects involved in the study.

Data Availability Statement

ESS data are available at https://www.europeansocialsurvey.org/.

Acknowledgments

The author would like to thank the three anonymous reviewers for their helpful comments.

Conflicts of Interest

The author declares no conflict of interest.

References

  1. IPCC Global Warming of 1.5 °C; An IPCC Special Report on the Impacts of Global Warming of 1.5 °C above Pre-Industrial Levels and Related Global Greenhouse Gas Emission Pathways, in the Context of Strengthening the Global Response to the Threat of Climate Change, Sustainable Development, and Efforts to Eradicate Poverty; Summary for Policymakers; World Meteorological Organization: Geneva, Sitzerland, 2018.
  2. Dubois, G.; Sovacool, B.; Aall, C.; Nilsson, M.; Barbier, C.; Herrmann, A.; Bruyère, S.; Andersson, C.; Skold, B.; Nadaud, F.; et al. It Starts at Home? Climate Policies Targeting Household Consumption and Behavioral Decisions Are Key to Low-Carbon Futures. Energy Res. Soc. Sci. 2019, 52, 144–158. [Google Scholar] [CrossRef]
  3. Eurostat. Air Emissions Accounts by NACE Rev. 2 Activity. 2020. Available online: https://appsso.eurostat.ec.europa.eu/nui/show.do?dataset=env_ac_ainah_r2&lang=en (accessed on 10 October 2020).
  4. Blankenberg, A.-K.; Alhusen, H. On the Determinants of Pro-Environmental Behavior: A Literature Review and Guide for the Empirical Economist. 2019. Available online: http://hdl.handle.net/10419/204821 (accessed on 18 October 2020).
  5. Kollmuss, A.; Agyeman, J. Mind the Gap: Why Do People Act Environmentally and What Are the Barriers to Pro-Environmental Behavior? Environ. Educ. Res. 2002, 8, 239–260. [Google Scholar] [CrossRef]
  6. Farrow, K.; Grolleau, G.; Ibanez, L. Social Norms and Pro-Environmental Behavior: A Review of the Evidence. Ecol. Econ. 2017, 140, 1–13. [Google Scholar] [CrossRef]
  7. Schultz, P.W.; Nolan, J.M.; Cialdini, R.B.; Goldstein, N.J.; Griskevicius, V. The Constructive, Destructive, and Reconstructive Power of Social Norms. Psychol. Sci. 2007, 18, 429–434. [Google Scholar] [CrossRef] [PubMed]
  8. Bruderer Enzler, H.; Diekmann, A. All Talk and No Action? An Analysis of Environmental Concern, Income and Greenhouse Gas Emissions in Switzerland. Energy Res. Soc. Sci. 2019, 51, 12–19. [Google Scholar] [CrossRef]
  9. Stern, P.C. New Environmental Theories: Toward a Coherent Theory of Environmentally Significant Behavior. J. Soc. Issues 2000, 56, 407–424. [Google Scholar] [CrossRef]
  10. Abrahamse, W.; Steg, L.; Vlek, C.; Rothengatter, T. A Review of Intervention Studies Aimed at Household Energy Conservation. J. Environ. Psychol. 2005, 25, 273–291. [Google Scholar] [CrossRef]
  11. Karlin, B.; Davis, N.; Sanguinetti, A.; Gamble, K.; Kirkby, D.; Stokols, D. Dimensions of Conservation: Exploring Differences Among Energy Behaviors. Environ. Behav. 2012, 46. [Google Scholar] [CrossRef]
  12. Umit, R.; Poortinga, W.; Jokinen, P.; Pohjolainen, P. The Role of Income in Energy Efficiency and Curtailment Behaviours: Findings from 22 European Countries. Energy Res. Soc. Sci. 2019, 53, 206–214. [Google Scholar] [CrossRef]
  13. Lavelle, M.J.; Rau, H.; Fahy, F. Different Shades of Green? Unpacking Habitual and Occasional pro-Environmental Behavior. Glob. Environ. Chang. 2015, 35, 368–378. [Google Scholar] [CrossRef]
  14. Aitken, C.; Chapman, R.; McClure, J. Climate Change, Powerlessness and the Commons Dilemma: Assessing New Zealanders’ Preparedness to Act. Glob. Environ. Chang. 2011, 21, 752–760. [Google Scholar] [CrossRef]
  15. Capstick, S.B. Public Understanding of Climate Change as a Social Dilemma. Sustainability 2013, 5, 3484–3501. [Google Scholar] [CrossRef]
  16. Carattini, S.; Levin, S.; Tavoni, A. Cooperation in the Climate Commons. Rev. Environ. Econ. Policy 2019, 13, 227–247. [Google Scholar] [CrossRef]
  17. Tam, K.-P.; Chan, H.-W. Generalized Trust Narrows the Gap between Environmental Concern and Pro-Environmental Behavior: Multilevel Evidence. Glob. Environ. Chang. 2018, 48, 182–194. [Google Scholar] [CrossRef]
  18. Lorenzoni, I.; Nicholson-Cole, S.; Whitmarsh, L. Barriers Perceived to Engaging with Climate Change among the UK Public and Their Policy Implications. Glob. Environ. Chang. 2007, 17, 445–459. [Google Scholar] [CrossRef]
  19. Gür, N. Does Social Trust Promote Behaviour Aimed at Mitigating Climate Change? Econ. Aff. 2020, 40, 36–49. [Google Scholar] [CrossRef]
  20. Nyborg, K.; Anderies, J.M.; Dannenberg, A.; Lindahl, T.; Schill, C.; Schlüter, M.; Adger, W.N.; Arrow, K.J.; Barrett, S.; Carpenter, S.; et al. Social Norms as Solutions. Science 2016, 354, 42–43. [Google Scholar] [CrossRef]
  21. Hardin, G. The Tragedy of the Commons. Science 1968, 162, 1243–1248. [Google Scholar] [CrossRef]
  22. Kollock, P. Social Dilemmas: The Anatomy of Cooperation. Annu. Rev. Sociol. 1998, 24, 183–214. [Google Scholar] [CrossRef]
  23. Olson, M. The Logic of Collective Action: Public Goods and the Theory of Groups, Second Printing with a New Preface and Appendix; Harvard University Press: Cambridge, MA, USA, 2009; Volume 124. [Google Scholar]
  24. Ostrom, E. Collective Action and the Evolution of Social Norms. J. Econ. Perspect. 2000, 14, 137–158. [Google Scholar] [CrossRef]
  25. Gächter, S.; Herrmann, B.; Thöni, C. Trust, Voluntary Cooperation, and Socio-Economic Background: Survey and Experimental Evidence. J. Econ. Behav. Organ. 2004, 55, 505–531. [Google Scholar] [CrossRef]
  26. Kocher, M.G.; Martinsson, P.; Matzat, D.; Wollbrant, C. The Role of Beliefs, Trust, and Risk in Contributions to a Public Good. J. Econ. Psychol. 2015, 51, 236–244. [Google Scholar] [CrossRef]
  27. Diekmann, A.; Preisendörfer, P. Green and Greenback: The Behavioral Effects of Environmental Attitudes in Low-Cost and High-Cost Situations. Ration. Soc. 2003, 15, 441–472. [Google Scholar] [CrossRef]
  28. Hansen, A.R. Heating Homes: Understanding the Impact of Prices. Energy Policy 2018, 121, 138–151. [Google Scholar] [CrossRef]
  29. Doran, R.; Hanss, D.; Larsen, S. Attitudes, Efficacy Beliefs, and Willingness to Pay for Environmental Protection When Travelling. Tour. Hosp. Res. 2015, 15, 281–292. [Google Scholar] [CrossRef]
  30. Göckeritz, S.; Schultz, P.W.; Rendón, T.; Cialdini, R.B.; Goldstein, N.J.; Griskevicius, V. Descriptive Normative Beliefs and Conservation Behavior: The Moderating Roles of Personal Involvement and Injunctive Normative Beliefs. Eur. J. Soc. Psychol. 2010, 40, 514–523. [Google Scholar] [CrossRef]
  31. Reiss, P.C.; White, M.W. What Changes Energy Consumption? Prices and Public Pressures. RAND J. Econ. 2008, 39, 636–663. [Google Scholar] [CrossRef]
  32. Delhey, J.; Newton, K. Predicting Cross-National Levels of Social Trust: Global Pattern or Nordic Exceptionalism? Eur. Sociol. Rev. 2005, 21, 311–327. [Google Scholar] [CrossRef]
  33. Meyer, R.; Liebe, U. Are the Affluent Prepared to Pay for the Planet? Explaining Willingness to Pay for Public and Quasi-Private Environmental Goods in Switzerland. Popul. Environ. 2010, 32, 42–65. [Google Scholar] [CrossRef]
  34. Smith, E.K.; Mayer, A. A Social Trap for the Climate? Collective Action, Trust and Climate Change Risk Perception in 35 Countries. Glob. Environ. Chang. 2018, 49, 140–153. [Google Scholar] [CrossRef]
  35. Fairbrother, M. Trust and Public Support for Environmental Protection in Diverse National Contexts. Sociol. Sci. 2016, 3, 359–382. [Google Scholar] [CrossRef]
  36. Bohr, J. Barriers to Environmental Sacrifice: The Interaction of Free Rider Fears with Education, Income, and Ideology. Sociol. Spectr. 2014, 34, 362–379. [Google Scholar] [CrossRef]
  37. Franzen, A.; Meyer, R. Environmental Attitudes in Cross-National Perspective: A Multilevel Analysis of the ISSP 1993 and 2000. Eur. Sociol. Rev. 2010, 26, 219–234. [Google Scholar] [CrossRef]
  38. Poortinga, W.; Fisher, S.; Böhm, G.; Steg, L.; Whitmarsh, L.; Ogunbode, C. European Attitudes to Climate Change and Energy: Topline Results from Round 8 of the European Social Survey; ESS Topline Results Series; European Social Survey: London, UK, 2018. [Google Scholar]
  39. Diekmann, A.; Preisendörfer, P. Environmental Behavior: Discrepancies between Aspirations and Reality. Ration. Soc. 1998, 10, 79–102. [Google Scholar] [CrossRef]
  40. Snijders, T.A.B.; Bosker, R.J. Multilevel Analysis: An Introduction to Basic and Advanced Multilevel Modeling, 2nd ed.; SAGE: Los Angeles, CA, USA, 2012; ISBN 978-1-84920-201-5. [Google Scholar]
Figure 1. Mean level of cooperation beliefs and energy conservation behavior in 20 European countries. Source: ESS Round 8, own calculations (weighted).
Figure 1. Mean level of cooperation beliefs and energy conservation behavior in 20 European countries. Source: ESS Round 8, own calculations (weighted).
Sustainability 13 05575 g001
Figure 2. Relationship between mean level of cooperation beliefs and generalized social trust in 20 European countries. Source: ESS Round 8, own calculations (weighted).
Figure 2. Relationship between mean level of cooperation beliefs and generalized social trust in 20 European countries. Source: ESS Round 8, own calculations (weighted).
Sustainability 13 05575 g002
Figure 3. Marginal effects of cooperation beliefs on curtailment behavior, moderated by climate change concern. Source: ESS Round 8, own calculations.
Figure 3. Marginal effects of cooperation beliefs on curtailment behavior, moderated by climate change concern. Source: ESS Round 8, own calculations.
Sustainability 13 05575 g003
Table 1. Descriptive statistics of variables (N = 34,181).
Table 1. Descriptive statistics of variables (N = 34,181).
Prop.MeanSDMin.Max.
Cooperation beliefs 4.102.13010
Curtailment behavior 4.231.1516
Efficiency behavior 7.882.18010
Gender: male0.48
Age of respondent (in years) 49.0818.1515100
Age squared 2738182422510,000
Household situation
Living with a partner0.60
Living with children0.35
Level of education
None or primary education0.23
Secondary education0.46
Tertiary education0.31
Work situation
Employed0.54
Unemployed0.05
Enrolled in education0.08
Other0.34
Feeling about the household’s income
Living comfortably0.34
Coping on present income0.48
Difficult on present income0.14
Very difficult on present income0.04
Climate change concern 3.060.9115
Generalized social trust 5.352.32010
National level of electricity prices (EURO per kWh, unstandardized) 0.200.050.100.30
Source: ESS Round 8, own calculations (unweighted).
Table 2. Results of multilevel linear regression analysis on cooperation beliefs.
Table 2. Results of multilevel linear regression analysis on cooperation beliefs.
Cooperation Beliefs
Model 1aModel 1b
Gender: male (ref.: female) –0.06 * (0.02)
Age of respondent (in years) 0.01 *** (0.00)
Age squared –0.00 * (0.00)
Household situation
Living with a partner 0.02 (0.03)
Living with (a) child(ren) 0.00 (0.03)
Level of education (ref.: none or primary education)
Secondary education –0.18 *** (0.03)
Tertiary education –0.33 *** (0.04)
Work situation (ref.: employed)
Unemployed 0.03 (0.06)
Enrolled in education –0.08 (0.06)
Other –0.00 (0.03)
Feeling about the household’s income
(ref.: living comfortably)
Coping on present income 0.07 (0.03)
Difficult on present income –0.05 (0.04)
Very difficult on present income –0.15 *** (0.07)
Climate change concern 0.27 *** (0.01)
Generalized social trust 0.09 *** (0.01)
Countries’ aggregated level of curtailment behavior –0.67 (0.48)
Countries’ aggregated level of efficiency behavior 0.04 (0.19)
Constant4.11 *** (0.08)5.06 *** (0.79)
Level 1 variance2.10 *** (0.01)2.07 *** (0.01)
Level 2 variance0.35 *** (0.06)0.32 *** (0.06)
ICC0.030.02
N Individuals (countries)34,181 (20)
Note: Average marginal effects (AME) from multilevel models on cooperation beliefs, standard error in parentheses. * p < 0.05; ** p < 0.01; *** p < 0.001.
Table 3. Results of multilevel linear regression analysis on energy conservation behavior.
Table 3. Results of multilevel linear regression analysis on energy conservation behavior.
Curtailment BehaviorEfficiency Behavior
Model 2aModel 2bModel 3aModel 3b
Cooperation beliefs 0.02 *** (0.00) 0.02 *** (0.01)
Climate change concern 0.23 *** (0.01) 0.37 *** (0.01)
Control variables
Gender: male (ref.: female) –0.09 *** (0.01) –0.19 *** (0.02)
Age of respondent (in years) 0.03 *** (0.00) 0.06 *** (0.00)
Age squared –0.00 *** (0.00) –0.00 *** (0.00)
Household situation
Living with a partner 0.03 * (0.01) 0.24 *** (0.03)
Living with (a) child(ren) 0.02 (0.01) 0.08 ** (0.03)
Level of education (ref.: none or primary education)
Secondary education 0.07 *** (0.02) 0.29 *** (0.03)
Tertiary education 0.17 *** (0.02) 0.38 *** (0.03)
Work situation (ref.: employed)
Unemployed 0.02 (0.03) –0.12 * (0.05)
Enrolled in education 0.08 ** (0.03) 0.00 (0.06)
Other 0.05 ** (0.02) 0.04 (0.03)
Feeling about the household’s income (ref.: living comfortably)
Coping on present income 0.01 (0.01) –0.04 (0.03)
Difficult on present income 0.11 *** (0.02) –0.17 *** (0.04)
Very difficult on present income 0.25 *** (0.03) –0.37 *** (0.06)
Generalized social trust 0.00 (0.00) 0.04 *** (0.01)
National level of electricity prices
(in Euro in PPP, standardized)
0.06 * (0.03) 0.36 *** (0.05)
Constant4.22 *** (0.04)2.44 *** (0.06)7.84 *** (0.10)4.40 *** (0.12)
Level 1 variance1.14 *** (0.00)1.10 *** (0.00)2.14 *** (0.01)2.06 *** (0.01)
Level 2 variance0.17 *** (0.03)0.12 *** (0.02)0.43 *** (0.01)0.25 *** (0.04)
ICC0.020.010.040.01
N Individuals (countries)34,181 (20)34,181 (20)
Note: Average marginal effects (AME) from multilevel models on energy conservation behavior, standard error in parentheses. * p < 0.05; ** p < 0.01; *** p < 0.001.
Table 4. Results of multilevel linear regression analysis on energy conservation behavior, including interaction effects.
Table 4. Results of multilevel linear regression analysis on energy conservation behavior, including interaction effects.
Curtailment
Behavior
Efficiency
Behavior
Model 5Model 7
Cooperation beliefs –0.00 (0.01)0.05 ** (0.02)
Cooperation beliefs x climate change worries0.01 * (0.00)–0.01 (0.01)
Control variables
Gender: male (ref.: female)–0.09 *** (0.01)–0.19 *** (0.02)
Age of respondent (in years)0.03 *** (0.00)0.06 *** (0.00)
Age squared–0.00 *** (0.00)–0.00 *** (0.00)
Household situation
Living with a partner 0.03 * (0.01)0.24 *** (0.03)
Living with (a) child(ren)0.02 (0.01)0.08 ** (0.03)
Level of education (ref.: none or primary education)
Secondary education0.07 *** (0.02)0.29 *** (0.03)
Tertiary education0.17 *** (0.02)0.38 *** (0.03)
Work situation
(ref.: employed)
Unemployed0.02 (0.03)–0.12 * (0.05)
Enrolled in education0.08 ** (0.03)0.00 (0.06)
Other0.05 ** (0.02)0.04 (0.03)
Feeling about the household’s income
(ref.: living comfortably)
Coping on present income0.01 (0.01)–0.04 (0.03)
Difficult on present income0.11 *** (0.02)–0.17 *** (0.04)
Very difficult on present income0.26 *** (0.03)–0.37 *** (0.06)
Climate change concern 0.21 *** (0.01)0.40 *** (0.02)
Generalized social trust 0.00 (0.00)0.04 *** (0.01)
National level of electricity prices
(in Euro in PPP, standardized)
0.06 * (0.03)0.36 *** (0.06)
Constant2.50 *** (0.07)4.33 *** (0.14)
Level 1 variance1.10 *** (0.00)2.06 *** (0.14)
Level 2 variance0.12 *** (0.02)0.25 *** (0.04)
N Individuals (countries)34,181 (20)34,181 (20)
Note: Coefficients from multilevel models on energy conservation behavior, standard error in parentheses. * p < 0.05; ** p < 0.01; *** p < 0.001.
Publisher’s Note: MDPI stays neutral with regard to jurisdictional claims in published maps and institutional affiliations.

Share and Cite

MDPI and ACS Style

Lübke, C. The Climate Change Dilemma: How Cooperation Beliefs Influence Energy Conservation Behavior. Sustainability 2021, 13, 5575. https://doi.org/10.3390/su13105575

AMA Style

Lübke C. The Climate Change Dilemma: How Cooperation Beliefs Influence Energy Conservation Behavior. Sustainability. 2021; 13(10):5575. https://doi.org/10.3390/su13105575

Chicago/Turabian Style

Lübke, Christiane. 2021. "The Climate Change Dilemma: How Cooperation Beliefs Influence Energy Conservation Behavior" Sustainability 13, no. 10: 5575. https://doi.org/10.3390/su13105575

APA Style

Lübke, C. (2021). The Climate Change Dilemma: How Cooperation Beliefs Influence Energy Conservation Behavior. Sustainability, 13(10), 5575. https://doi.org/10.3390/su13105575

Note that from the first issue of 2016, this journal uses article numbers instead of page numbers. See further details here.

Article Metrics

Back to TopTop