Effects of Crop and Grass Intercropping on the Soil Environment in the Karst Area
Abstract
1. Introduction
2. Materials and Methods
2.1. Basic Information
2.2. Soil Sampling and Analysis
3. Results
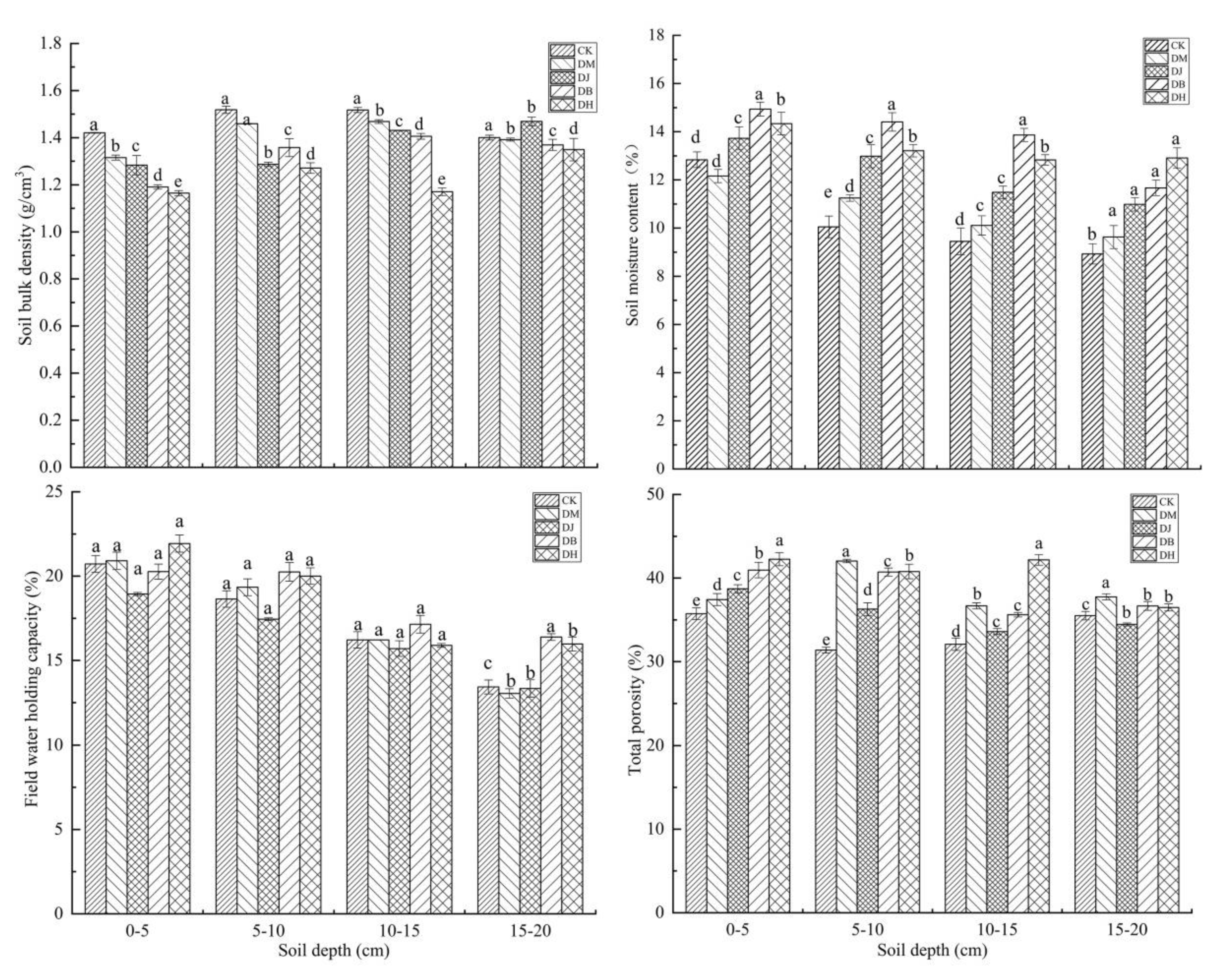
3.1. Effects of Different Intercropping Patterns on Soil Physical Properties
3.2. Characteristics of Soil Chemical Properties in Different Intercropping Modes
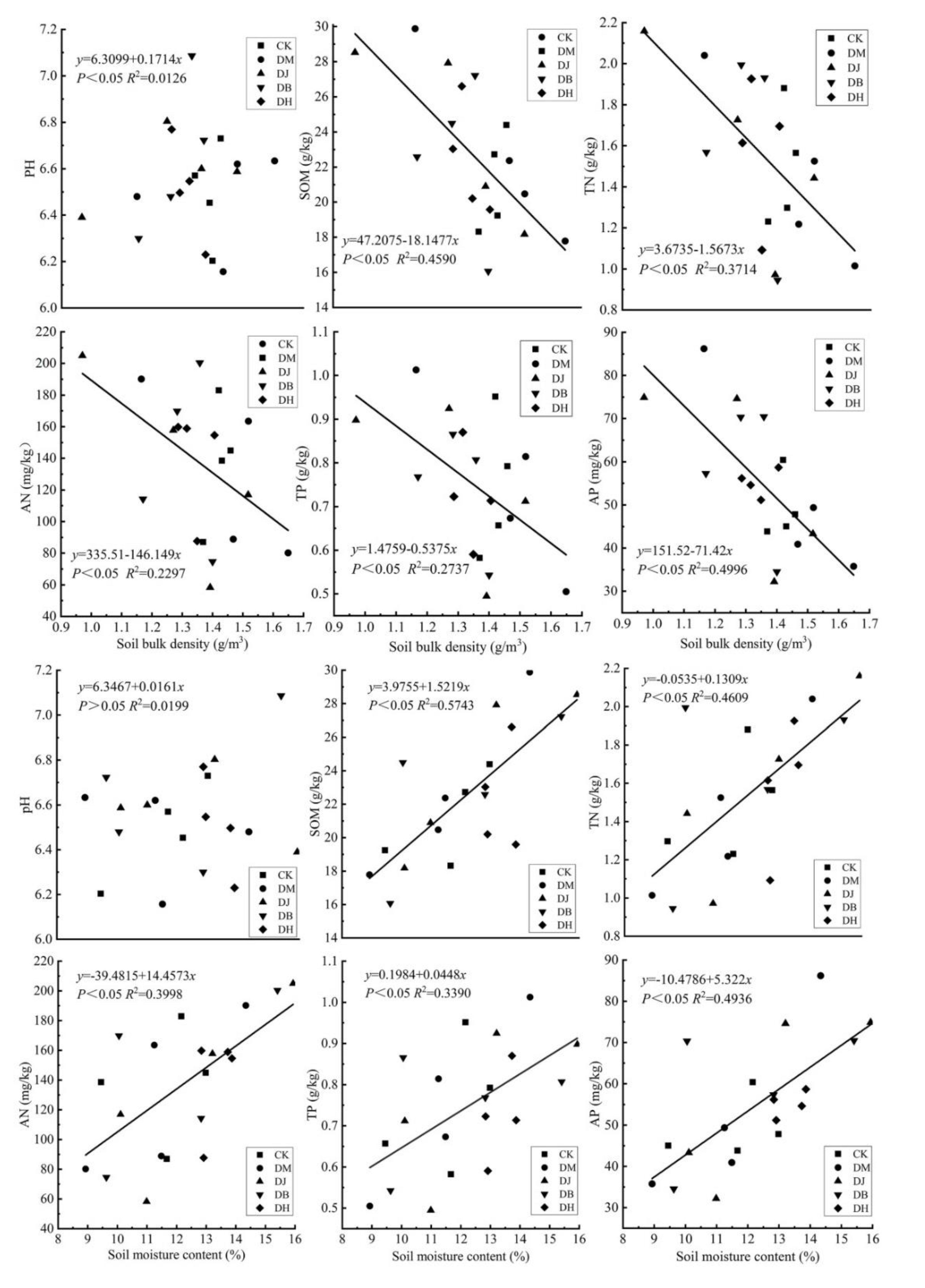
3.3. Soil Physical and Chemical Characteristics with Different Treatments
3.4. Principal Component Analysis of Soil Physical and Chemical Properties
4. Discussion
4.1. Effects of Intercropping on Soil Physical Properties
4.2. Effects of Intercropping on Soil Chemical Properties
4.3. Correlative Effects of Soil Physical and Chemical Properties in Different Intercropping Patterns
5. Conclusions
Author Contributions
Funding
Institutional Review Board Statement
Informed Consent Statement
Data Availability Statement
Conflicts of Interest
References
- Brooker, R.W.; Bennett, A.E.; Cong, W.F.; Daniell, T.J.; George, T.S.; Hallett, P.D.; Hawes, C.; Iannetta, P.P.M.; Jones, H.G.; Karley, A.J.; et al. Improving intercropping: A synthesis of research in agronomy, plant physiology and ecology. New Phytol. 2015, 206, 107–117. [Google Scholar] [CrossRef]
- Celette, F.; Findeling, A.; Gary, C. Competition for nitrogen in an unfertilized intercropping system: The case of an association of grapevine and grass cover in a Mediterranean climate. Eur. J. Agron. 2009, 30, 41–51. [Google Scholar] [CrossRef]
- Madembo, C.; Mhlanga, B.; Thierfelder, C. Productivity or stability? Exploring maize-legume intercropping strategies for smallholder Conservation Agriculture farmers in Zimbabwe. Agric. Syst. 2020, 185, 102921. [Google Scholar] [CrossRef]
- Wang, Y.; Yang, B.B.; Wang, H.; Yang, C.; Zhang, J.; Zhu, M.; Yang, R.Y. Variation in microbial community structure in the rhizosphere soil of Salvia miltiorrhiza Bunge under three cropping modes. Acta Ecol. Sin. 2019, 39, 4832–4843. [Google Scholar]
- Tueche, J.R.; Hauser, S. Maize (Zea mays L.) yield and soil physical properties as affected by the previous plantain cropping systems, tillage and nitrogen application. Soil Tillage Res. 2011, 115, 88–93. [Google Scholar] [CrossRef]
- Tetteh, E.N.; Abunyewa, A.A.; Tuffour, H.O.; Berchie, J.N.; Acheampong, P.P.; Twum-Ampofo, K.; Dawoe, E. Rubber and plantain intercropping: Effects of different planting densities on soil characteristics. PLoS ONE 2019, 14, e0209260. [Google Scholar] [CrossRef] [PubMed]
- Mutsamba, E.F.; Nyagumbo, I.; Mupangwa, W. Forage and maize yields in mixed crop-livestock farming systems. NJAS-Wagening. J. Life Sci. 2019, 92, 100317. [Google Scholar] [CrossRef]
- Lai, R.; Zhu, C.; Bai, J.; Wu, X.; Lin, T. Intercropping garlic at different planting times and densities for insect pest or crop yield and value management in tobacco fields. Entomol. Res. 2020, 50, 146–154. [Google Scholar] [CrossRef]
- Pariz, C.M.; Costa, C.; Crusciol, A.C.; Meirelles, P.R.L.; Castilhos, A.M.; Andreotti, M.; Costa, N.R.; Martello, J.M.; Souza, D.M.; Sarto, J.R.W.; et al. Production and Soil Responses to Intercropping of Forage Grasses with Corn and Soybean Silage. Agron. J. 2016, 108, 2541–2553. [Google Scholar] [CrossRef]
- Huang, K.W.; Lin, L.J.; Liao, M.A.; Liu, J.; Liang, D.; Xia, H.; Wang, X.; Wang, J.; Deng, H.H. Effects of intercropping with different Solanum plants on the physiological characteristics and cadmium accumulation of Solanum nigrum. Int. J. Environ. Anal. Chem. 2020. [Google Scholar] [CrossRef]
- Gustavo, D.S.; Moitinho, M.R.; Silva, B.D.O. Effects of long-term no-tillage systems with different succession cropping strategies on the variation of soil CO2 emission. Sci. Total Environ. 2019, 686, 413–424. [Google Scholar]
- Fu, B.J.; Wang, J.; Chen, L.D.; Qiu, Y. The effects of land use on soil moisture variation in the Danangou catchment of the Loess Plateau, China. CATENA 2003, 54, 197–213. [Google Scholar] [CrossRef]
- Zhong, Z.K.; Wu, S.J.; Han, X.H. Organic carbon, nitrogen accumulation, and soil aggregate dynamics as affected by vegetation restoration patterns in the Loess Plateau of China—Science Direct. CATENA 2021, 196, 1004–1013. [Google Scholar] [CrossRef]
- Wu, J.S.; Lin, H.P.; Meng, C.F.; Jiang, P.K.; Fu, W.J. Effects of intercropping grasses on soil organic carbon and microbial community functional diversity under Chinese hickory (Carya cathayensis) stands. Eur. J. Soil Res. 2014, 52, 575–583. [Google Scholar] [CrossRef]
- Sun, C.X.; Wang, S.J.; Zhou, D.Q.; Li, Y.L. Differential Weathering and Pedogenetic Characteristics of Carbonate Rocksand Their Effect on the Development of Rock Desertification in Karst Regions. Acta Min. Sin. 2002, 22, 308–314. [Google Scholar]
- Jiang, Z.C.; Lian, Y.Q.; Qin, X.Q. Rocky desertification in Southwest China: Impacts, causes, and restoration. Earth Sci. Rev. 2014, 132, 1–12. [Google Scholar] [CrossRef]
- Liu, Q.; Gu, Z.F.; Lu, Y.Y.; Liu, Z.K. The Experimental Study of Dolomite Dissolution and Pore Characteristics in Shibing, Guizhou. Acta Geosci. Sin. 2015, 26, 413–418. [Google Scholar]
- Xing, X.G.; Peng, T.; Wang, S.J.; Cai, X.L.; Ouyang, Z.Y.; Zhang, X.B.; Meng, F.D.; Zhang, L. Agent and Activated Carbon as Soil Amendments on Dolomite Slopes—A Case Study of Perennial Ryegrass. Earth Environ. 2017, 45, 229–235. [Google Scholar]
- Tan, C.J.; Cao, X.; Yuan, S.; Wang, W.Y.; Feng, Y.Z.; Qiao, B. Effects of Long-term Conservation Tillage on Soil Nutrients in Sloping Fields in Regions Characterized by Water and Wind Erosion. Sci. Rep. 2015, 10, 175–187. [Google Scholar] [CrossRef]
- N’Dayegamiye, A.; Nyiraneza, J.; Grenier, M.; Bipfubusa, M.; Drapeau, A. The Benefits of Crop Rotation Including Cereals and Green Manures on Potato Yield and Nitrogen Nutrition and Soil Properties. Adv. Crop Sci. Technol. 2017, 279, 172–185. [Google Scholar]
- Somasundaram, J.; Salikgram, M.; Sinha, N.K. Conservation agriculture effects on soil properties and crop productivity in a semiarid region of India. Soil Res. 2019, 57, 187–199. [Google Scholar] [CrossRef]
- Cai, Y.; Luo, X.J.; Wang, X.S.; Wang, Y.Q.; Wang, S.; Liu, Y.L. Evolution Characteristics of Plant Communities in the Karst Area of Dolomites, Southeastern Guizhou Province. Acta Bot. Boreali Occident. Sin. 2019, 39, 2064–2071. [Google Scholar]
- He, C.; Zeng, C.; Xiao, S.Z.; He, J.H.; Di, Y.N.; Gong, X.Y.; Xiao, H. Preliminary Study on Hydrological and Hydrochemical Regime of a Typical Humid Subtropical Dolomite Catchment, a Case Study in the Huangzhou River Basin, Shibing County, Guizhou Province. Earth Environ. 2020, 48, 279–293. [Google Scholar]
- Yang, R.Y.; Weiner, J.; Shi, X.J.; Wang, Y.; Zhang, R.R.; Zhu, M. Effect of reductive soil disinfestation on the chemical and microbial characteristics of rhizosphere soils associated with Salvia miltiorrhiza production in three cropping systems. Appl. Soil Ecol. 2021, 160, 103865. [Google Scholar] [CrossRef]
- Van Der Heijden, M.G.A.; Bardgett, R.D.; Van Straalen, N.M. The unseen majority: Soil microbes as drivers of plant diversity and productivity in terrestrial ecosystems. Ecol. Lett. 2008, 11, 296–310. [Google Scholar] [CrossRef]
- Gong, X.W.; Liu, C.J.; Li, J.; Luo, Y.; Yang, Q.H.; Zhang, W.L.; Yang, P.; Feng, B.L. Responses of rhizosphere soil properties, enzyme activities and microbial diversity to intercropping patterns on the Loess Plateau of China. Soil Tillage Res. 2019, 195, 104355. [Google Scholar] [CrossRef]
- Lu, R.K. Soil and Agro-Chemical Analysis Methods; Agricultural Science and Technology Press: Beijing, China, 1999; pp. 255–266. (In Chinese) [Google Scholar]
- Bremner, J.; Mulvaney, C. Total nitrogen. In Methods of Soil Analysis, 2nd ed.; Wiley Online Library: Hoboken, NJ, USA, 1983. [Google Scholar]
- Sommers, L.E.; Nelson, D.W. Determination of total phosphorus in soils: A rapid perchloric acid digestion procedure. Soil Sci. Soc. Am. J. 1972, 36, 902–904. [Google Scholar] [CrossRef]
- Bray, R.H.; Kurtz, L.T. Determination of total, organic, and available forms of phosphorus in soils. Soil Sci. 1945, 59, 39–46. [Google Scholar] [CrossRef]
- Sheng, M.Y.; Li, Y.; Xiong, K.N. Response of soil physical and chemical properties to Rocky desertification succession in South China Karst. Acta Ecol. Sin. 2013, 33, 6303–6313. [Google Scholar] [CrossRef]
- Ding, Y.F.; Cao, Y.Q.; Yao, X.H.; Fu, S.L.; Zhang, P.A.; Lou, X.L. Effects of Intercropping with Different Green Manures on Soil Nutrient Loss in Camellia oleifera Field. J. Soil Water Conserv. 2018, 32, 179–183. [Google Scholar]
- Zhang, D.Y.; Wang, J.; Yang, S.P. Influence of Scrophularia ningpoensis-tobacco intercropping on bacterial community structure in soil. Acta Pratacult. Sin. 2017, 26, 120–130. [Google Scholar]
- Yin, W.; Chai, Q.; Zhao, C. Water utilization in intercropping: A review. Agric. Water Manag. 2020, 241, 335–348. [Google Scholar] [CrossRef]
- Zhao, Y.J.; Liu, X.J.; Wu, Y.; Tong, C.C.; Lin, F. Effects of Medicago sativa-Triticale wittmack intercropping system on rhizosphere soil nutrients and bacterial community in semi-arid region of Northwest China. Chin. J. Appl. Ecol. 2020, 31, 223–230. [Google Scholar]
- Liu, Y.S.; Chen, Z.Y.; Liu, F.; Pu, T.D. Impacts of Different Forage Species and Biochar Application on Soil Moisture. Bull. J. Soil Water Conserv. 2019, 39, 175–179. [Google Scholar]
- Tian, S.Z.; Wang, Y.; Ning, T.Y.; Li, N.; Zhao, H.X.; Wang, B.W.; Li, Z.J.; Chi, S.Y. Continued no-till and subsoiling improved soil organic carbon and soil aggregation levels. Agron. J. 2014, 10, 212–218. [Google Scholar] [CrossRef]
- Mahapatra, S.C. Study of Grass-Legume Intercropping System in Terms of Competition Indices and Monetary Advantage Index under Acid Lateritic Soil of India. Am. J. Exp. Agric. 2011, 1, 683–693. [Google Scholar] [CrossRef]
- Song, T.Q.; Xiao, R.L.; Peng, W.X.; Wang, J.R.; Li, S.H.; Liu, X.F. Effects of intercropping white clover in tea plantation on soil environment in subtropical hilly region. Chin. J. Ecol. 2006, 25, 281–285. [Google Scholar]
- Zhang, Y.D.; Li, T.C.; Zhang, D.Y.; Jia, M.L.; Guo, H.; Li, J.K.; Cao, W.D. Effects of Interplanting White Clover on Soil Total Organic Carbon and Light Organic Carbon Fraction in Apple Orchard. J. Agric. Environ. Sci. 2014, 25, 810–818. [Google Scholar]
- Jian, Z.L.; Zhao, L.L.; Wang, J.H.; Wang, F.; Huang, J.X. Effect of intercrop of maize||white clover on maize photosynthesis, yield, and soil respiration with different row spacing in a Karst area. Pratacult Sci. 2019, 36, 480–489. [Google Scholar]
- Zhang, L.H.; Li, Q.X.; Wang, X.Q.; Jia, Z.Q.; Chen, X.J. Root Distribution and Soil Properties under Caragana intermedia Plantations in Alpine Sandy Land. Chin. J. Soil Sci. 2019, 50, 840–846. [Google Scholar]
- Li, P.; Wang, D.M.; Ding, C.; Liu, R.S.; Zhang, P.; Zhang, L.L. Soil infiltration characteristics and its influencing factors of typical vegetation type in Loess Alpine region. Acta Ecol. Sin. 2020, 40, 110–120. [Google Scholar]
- Walkup, J.; Freedman, Z.; Kotcon, J.; Morrissey, E.M. Pasture in crop rotations influences microbial biodiversity and function reducing the potential for nitrogen loss from compost. Agric. Ecosyst. Environ. 2020, 304, 107122. [Google Scholar] [CrossRef]







| Treatment | Longitude(E) | Latitude (N) | Altitude (m) | Aspect | Slope | Coverage % |
|---|---|---|---|---|---|---|
| Salvia miltiorrhiza (CK) | 108°1′55″ | 27°12′59″ | 1105.31 | Sunny slope | 11 | 69 ± 3 |
| Salvia miltiorrhiza— D. glomerata (DM) | 108°1′55″ | 27°12′59″ | 1105.11 | Sunny slope | 9 | 85 ± 6 |
| Salvia miltiorrhiza— C. intybus (DJ) | 108°1′55″ | 27°12′59″ | 1105.16 | Sunny slope | 7 | 77 ± 5 |
| Salvia miltiorrhiza— T. repens (DB) | 108°1′55″ | 27°12′58″ | 1105.20 | Sunny slope | 7 | 79 ± 4 |
| Salvia miltiorrhiza— L. perenne (DH) | 108°1′54″ | 27°12′58″ | 1105.19 | Sunny slope | 5 | 89 ± 5 |
| RZ | KXD | CSL | HSL | pH | SOM | TN | TP | AN | AP | |
|---|---|---|---|---|---|---|---|---|---|---|
| RZ | 1.00 | |||||||||
| KXD | −0.75 | 1.00 | ||||||||
| CSL | −0.40 | 0.45 | 1.00 | |||||||
| HSL | −0.72 | 0.59 | 0.66 | 1.00 | ||||||
| pH | 0.05 | 0.15 | 0.13 | 0.00 | 1.00 | |||||
| SOM | −0.66 | 0.75 | 0.83 | 0.70 | 0.16 | 1.00 | ||||
| TN | −0.54 | 0.48 | 0.91 | 0.77 | 0.02 | 0.81 | 1.00 | |||
| TP | −0.47 | 0.45 | 0.94 | 0.62 | 0.00 | 0.81 | 0.92 | 1.00 | ||
| AN | −0.38 | 0.33 | 0.89 | 0.73 | 0.12 | 0.74 | 0.94 | 0.88 | 1.00 | |
| AP | −0.71 | 0.60 | 0.83 | 0.88 | 0.08 | 0.84 | 0.89 | 0.86 | 0.84 | 1.00 |
Publisher’s Note: MDPI stays neutral with regard to jurisdictional claims in published maps and institutional affiliations. |
© 2021 by the authors. Licensee MDPI, Basel, Switzerland. This article is an open access article distributed under the terms and conditions of the Creative Commons Attribution (CC BY) license (https://creativecommons.org/licenses/by/4.0/).
Share and Cite
Xu, Q.; Xiong, K.; Chi, Y.; Song, S. Effects of Crop and Grass Intercropping on the Soil Environment in the Karst Area. Sustainability 2021, 13, 5484. https://doi.org/10.3390/su13105484
Xu Q, Xiong K, Chi Y, Song S. Effects of Crop and Grass Intercropping on the Soil Environment in the Karst Area. Sustainability. 2021; 13(10):5484. https://doi.org/10.3390/su13105484
Chicago/Turabian StyleXu, Qinqin, Kangning Xiong, Yongkuan Chi, and Shuzhen Song. 2021. "Effects of Crop and Grass Intercropping on the Soil Environment in the Karst Area" Sustainability 13, no. 10: 5484. https://doi.org/10.3390/su13105484
APA StyleXu, Q., Xiong, K., Chi, Y., & Song, S. (2021). Effects of Crop and Grass Intercropping on the Soil Environment in the Karst Area. Sustainability, 13(10), 5484. https://doi.org/10.3390/su13105484
