Risk Reasoning from Factor Correlation of Maritime Traffic under Arctic Sea Ice Status Association with a Bayesian Belief Network
Abstract
1. Introduction
2. Materials and Methods
2.1. Risk Definition of Maritime Traffic under Status Association
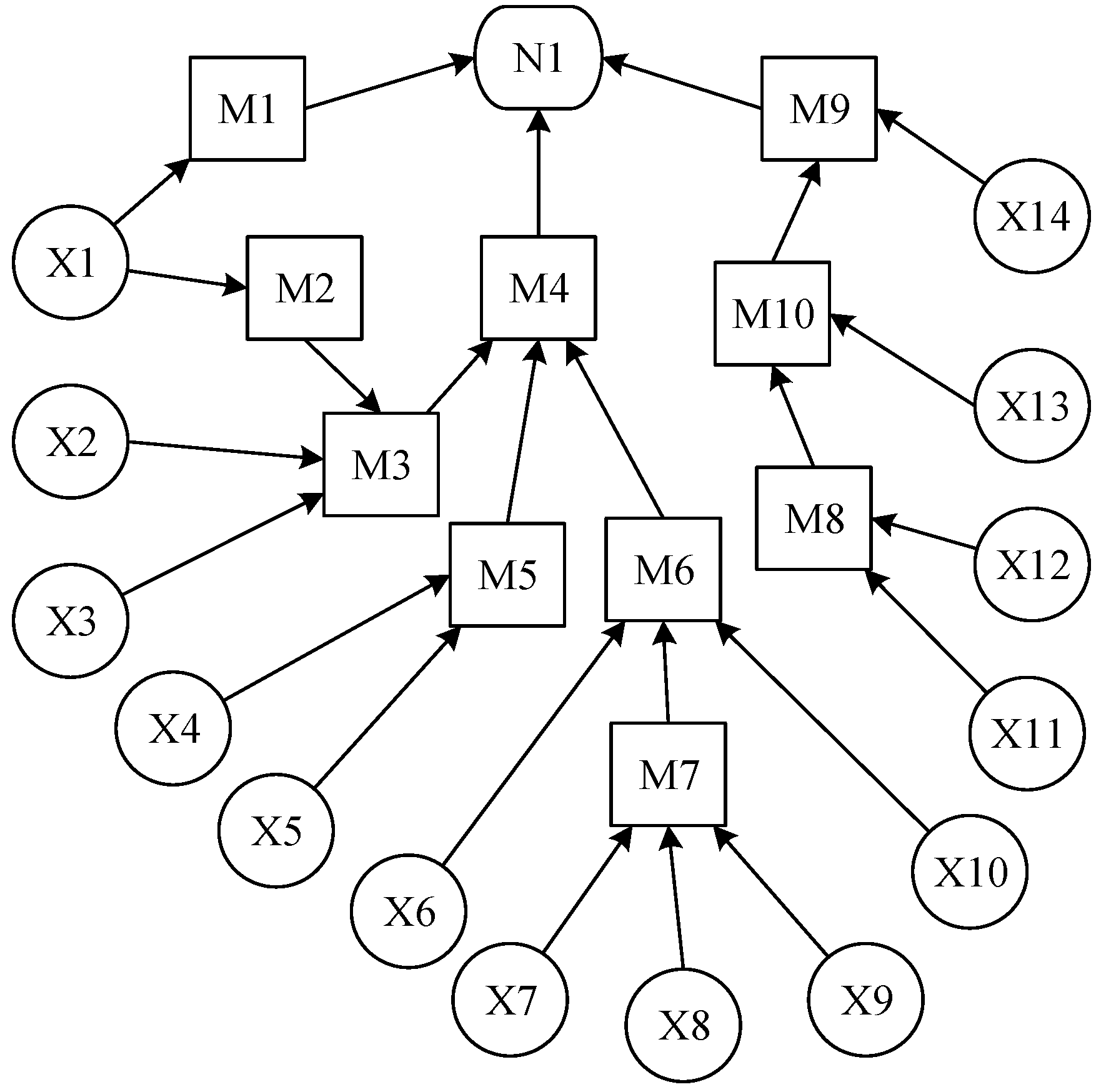
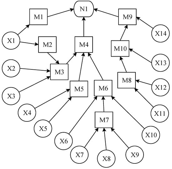
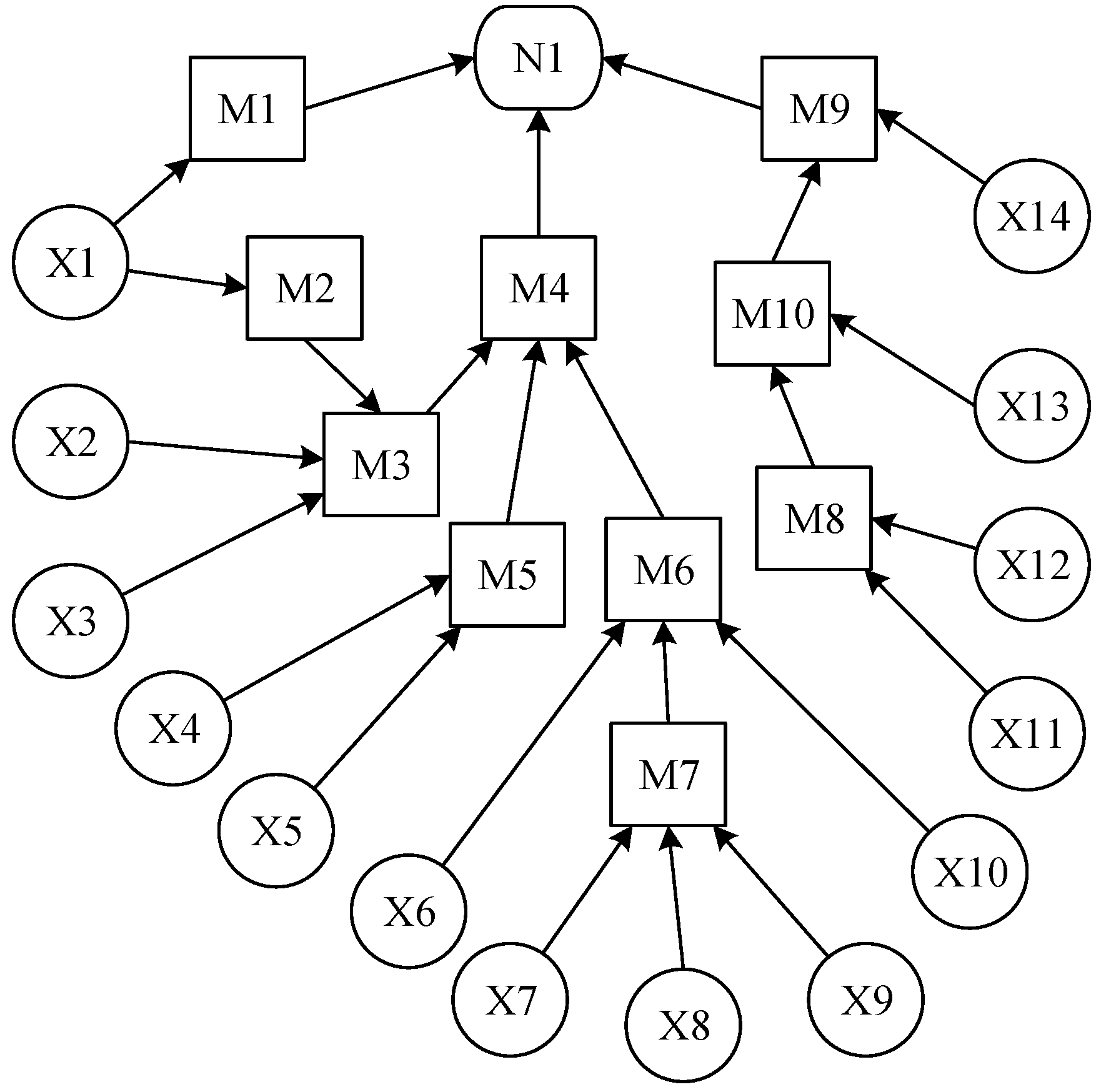
2.2. Risk Factors Network Structure on Ship-Ice Collision
2.3. Status Dynamic Association on Ship-Ice Collision
2.4. Reasoning Method of Node Parameter in Factors Correlation Network
2.4.1. Bayesian Inference Method of Ship-Ice Collision Risk
2.4.2. Bayesian Method of Risk Inference under Evidence Information
2.4.3. The Calculation Approach of Factors Network Parameters
2.5. Data Collection
2.5.1. Prior Probability Distribution of Factors Network Parameters
2.5.2. Conditional Probability Distribution of Factors Network Parameters
3. Result
3.1. Comparative Analysis of Maritime Traffic Risk
3.2. The Impact of Ice Condition on Maritime Traffic Risk
- (a)
- When the evidence information in AM and CM are P(NAI-NAI) = 1 and P(NAI) = 1, the risk assessment results are basically the same, and the risk assessment result in the AM is slightly higher than those in the CM.
- (b)
- When the evidence information in AM and CM are P(NAI-HAI) = 1 and P(HAI) = 1, the risk assessment result in the AM is significantly higher than that in the CM.
- (c)
- When the evidence information in AM and CM are P(HAI-NAI) = 1 and P(NAI) = 1, P(HAI-HAI) = 1 and P(HAI) = 1 respectively, the risk assessment results in the AM are lower than those in the CM.
- When the ship at station A, the state with a higher probability of SDA is NAI-HAI, which is close to the state of scenario b), so the risk assessment result of the AM is significantly higher than that of the CM.
- When the ship is at station B, C, D, and E respectively, the state with a higher probability of SDA is HAI-HAI, which is close to the state of scenario c), so the risk assessment result in the CM is higher than AM.
3.3. Model Validation
4. Discussion
5. Conclusions
Author Contributions
Funding
Institutional Review Board Statement
Informed Consent Statement
Data Availability Statement
Acknowledgments
Conflicts of Interest
References
- Burgherr, P. In-depth analysis of accidental oil spills from tankers in the context of global spill trends from all sources. J. Hazard. Mater. 2007, 140, 245–256. [Google Scholar] [CrossRef] [PubMed]
- Hansen, H.L.; Jepsen, J.R.; Hermansen, K. Factors influencing survival in case of shipwreck and other maritime disasters in the Danish merchant fleet since 1970. Saf. Sci. 2012, 50, 1589–1593. [Google Scholar] [CrossRef]
- Annual Overview of Marine Casualties and Incidents 2019. Available online: http://www.emsa.europa.eu/ (accessed on 11 July 2019).
- Chen, Y.M.; Huang, W.R.; Xu, S.D. Frequency Analysis of Extreme Water Levels Affected by Sea-Level Rise in East and Southeast Coasts of China. J. Coast. Res. 2014, 68, 105–112. [Google Scholar] [CrossRef]
- Eyring, V.; Isaksen, I.S.A.; Berntsen, T. Transport impacts on atmosphere and climate: Shipping. Atmos. Environ. 2010, 44, 4735–4771. [Google Scholar] [CrossRef]
- Borja, N.A. Growth in the docks: Ports, metabolic flows and socio-environmental impacts. Sustain. Sci. 2020, 15, 11–30. [Google Scholar]
- Chen, X.Q.; Wang, S.Z.; Shi, C.J.; Wu, H.; Zhao, J.; Fu, J. Robust Ship Tracking via Multi-view Learning and Sparse Representation. J. Navig. 2019, 72, 176–192. [Google Scholar] [CrossRef]
- Chen, X.Q.; XU, X.Q.; Yang, Y.S.; Wu, H.; Tang, J.; Zhao, J. Augmented Ship Tracking Under Occlusion Conditions from Maritime Surveillance Videos. IEEE Access 2020, 8, 42884–42897. [Google Scholar] [CrossRef]
- Smith, L.C.; Stephenson, S.R. New Trans-Arctic shipping routes navigable by midcentury. Proc. Natl. Acad. Sci. USA 2013, 110, 1191–1195. [Google Scholar] [CrossRef]
- De Silva, L.W.A.; Yamaguchi, H.; Ono, J. Ice-ocean coupled computations for sea-ice prediction to support ice navigation in Arctic sea routes. Polar Res. 2015, 34, 25008. [Google Scholar] [CrossRef]
- Eddy, B.; Francois, J.F.; Hugo, R.R. Melting Ice Caps and the Economic Impact of Opening the Northern Sea Route. Econ. J. 2018, 1307, 1–45. [Google Scholar]
- Silber, G.K.; Adams, J.D. Vessel Operations in the Arctic, 2015–2017. Front. Mar. Sci. 2019, 6, 573. [Google Scholar] [CrossRef]
- Wei, T.; Yan, Q.; Qi, W.; Ding, M.; Wang, C. Projections of Arctic sea ice conditions and shipping routes in the twenty-first century using CMIP6 forcing scenarios. Environ. Res. Lett. 2020, 15, 10. [Google Scholar] [CrossRef]
- Melia, N.; Haines, K.; Hawkins, E. Sea ice decline and 21st century trans-Arctic shipping routes. Geophys. Res. Lett. 2016, 43, 9720–9728. [Google Scholar] [CrossRef]
- Zhang, Z.; Huisingh, D.; Song, M. Exploitation of trans-Arctic maritime transportation. J. Clean. Prod. 2019, 212, 960–973. [Google Scholar] [CrossRef]
- Marchenko, N.; Andreassen, N.; Borch, O.J.; Kuznetsova, S.; Jakobsen, U. Arctic Shipping and Risks: Emergency Categories and Response Capacities. TransNav Int. J. Mar. Navig. Saf. Sea Transp. 2018, 12, 107–114. [Google Scholar] [CrossRef]
- Kum, S.; Sahin, B. A root cause analysis for Arctic Marine accidents from 1993 to 2011. Saf. Sci. 2015, 74, 206–220. [Google Scholar] [CrossRef]
- Huang, L.; Tuhkuri, J.; Igrec, B.; Li, M.; Thomas, G. Ship resistance when operating in floating ice floes: A combined CFD&DEM approach. Mar. Struct. 2020, 74, 102817. [Google Scholar]
- Li, F.; Kõrgesaar, M.; Kujala, P.; Goerlandt, F. Finite element based meta-modeling of ship-ice interaction at shoulder and midship areas for ship performance simulation. Mar. Struct. 2020, 71, 102736. [Google Scholar] [CrossRef]
- Chai, W.; Leira, B.J.; Naess, A.; Høyland, K.; Ehlers, S. Development of environmental contours for first-year ice ridge statistics. Struct. Saf. 2020, 87, 101996. [Google Scholar] [CrossRef]
- Chai, W.; Leira, B.J.; Høyland, K.V.; Sinsabvarodom, C.; Yu, Z. Statistics of thickness and strength of first-year ice along the Northern Sea Route. J. Mar. Sci. Technol. 2020. [Google Scholar] [CrossRef]
- Valdez Banda, O.A.; Goerlandt, F.; Montewka, J.; Kujala, P. A risk analysis of winter navigation in Finnish sea areas. Accid. Anal. Prev. 2015, 79, 100–116. [Google Scholar] [CrossRef] [PubMed]
- Montewka, J.; Goerlandt, F.; Kujala, P.; Lensu, M. Towards probabilistic models for the prediction of a ship performance in dynamic ice. Cold Reg. Sci. Technol. 2015, 112, 14–28. [Google Scholar] [CrossRef]
- Afenyo, M.; Khan, F.; Veitch, B.; Yang, M. Arctic shipping accident scenario analysis using Bayesian Network approach. Ocean Eng. 2017, 133, 224–230. [Google Scholar] [CrossRef]
- Zhang, M.; Zhang, D.; Fu, S.; Yan, X.; Goncharov, V. Safety distance modeling for ship escort operations in Arctic ice-covered waters. Ocean Eng. 2017, 146, 202–216. [Google Scholar] [CrossRef]
- Fu, S.; Zhang, D.; Montewka, J.; Zio, E.; Yan, X. A quantitative approach for risk assessment of a ship stuck in ice in Arctic waters. Saf. Sci. 2018, 107, 145–154. [Google Scholar] [CrossRef]
- Goerlandt, F.; Montewka, J.; Zhang, W.; Kujala, P. An analysis of ship escort and convoy operations in ice conditions. Saf. Sci. 2017, 95, 198–209. [Google Scholar] [CrossRef]
- Eguíluz, V.M.; Fernández-Gracia, J.; Irigoien, X.; Duarte, C.M. A quantitative assessment of arctic shipping in 2010–2014. Sci. Rep. 2016, 6, 30682. [Google Scholar]
- Fedi, L.; Faury, O.; Etienne, L. Mapping and analysis of maritime accidents in the Russian Arctic through the lens of the Polar Code and POLARIS system. Mar. Policy 2020, 118, 103984. [Google Scholar] [CrossRef]
- Sarhadi, A.; Burn, D.H.; Concepción, A.M.; Wiper, M.P. Time-varying nonstationary multivariate risk analysis using a dynamic bayesian copula. Water Resour. Res. 2016, 52, 2327–2349. [Google Scholar] [CrossRef]
- Aziz, A.; Ahmed, S.; Khan, F.; Stack, C.; Lind, A. Operational risk assessment model for marine vessels. Reliab. Eng. Syst. Saf. 2019, 185, 348–361. [Google Scholar] [CrossRef]
- Ung, S.T. Evaluation of human error contribution to oil tanker collision using fault tree analysis and modified fuzzy Bayesian Network based CREAM. Ocean Eng. 2019, 179, 159–172. [Google Scholar] [CrossRef]
- Chai, T.; Weng, J.X.; Xiong, D.Q. Development of a quantitative risk assessment model for ship collisions in fairways. Saf. Sci. 2017, 91, 71–83. [Google Scholar] [CrossRef]
- Endrina, N.; Rasero, J.C.; Konovessis, D. Risk analysis for RoPax vessels: A case of study for the Strait of Gibraltar. Ocean Eng. 2018, 151, 141–151. [Google Scholar] [CrossRef]
- Sahin, B. Risk Assessment of Arctic Navigation by Using Improved Fuzzy-AHP. Int. J. Marit. Eng. 2015, 157, 241–250. [Google Scholar]
- Karahalios, H. A Risk Assessment of Ships Groundings in Rivers: The Case of Parana River. J. Navig. 2019, 73, 833–845. [Google Scholar] [CrossRef]
- Zhang, J.; Teixeira, N.P.; Guedes, S.C.; Yan, X.P. Quantitative assessment of collision risk influence factors in the Tianjin port. Saf. Sci. 2018, 110, 363–371. [Google Scholar] [CrossRef]
- Mazaheri, A.; Montewka, J.; Kujala, P. Towards an evidence-based probabilistic risk model for ship-grounding accidents. Saf. Sci. 2016, 86, 195–210. [Google Scholar] [CrossRef]
- Fu, S.; Zhang, D.; Montewka, J.; Yan, X.P.; Zio, E. Towards a probabilistic model for predicting ship besetting in ice in Arctic waters. Reliab. Eng. Syst. Saf. 2016, 155, 124–136. [Google Scholar] [CrossRef]
- Baksh, A.A.; Abbassi, R.; Garaniya, V.; Khan, F. Marine transportation risk assessment using Bayesian Network: Application to Arctic waters. Ocean Eng. 2018, 159, 422–436. [Google Scholar] [CrossRef]
- Khan, B.; Khan, F.; Veitch, B.; Yang, M. An operational risk analysis tool to analyze marine transportation in arctic waters. Reliab. Eng. Syst. Saf. 2018, 169, 485–502. [Google Scholar] [CrossRef]
- Khan, B.; Khan, F.; Veitch, B. A Dynamic Bayesian Network model for ship-ice collision risk in the Arctic waters. Saf. Sci. 2020, 130, 104858. [Google Scholar] [CrossRef]
- Aven, T. The risk concept—historical and recent development trends. Reliab. Eng. Syst. Saf. 2012, 99, 33–44. [Google Scholar] [CrossRef]
- Hu, S.P.; Li, Z.; Xi, Y.T.; Gu, X.Y.; Zhang, X.X. Path Analysis of Causal Factors Influencing Marine Traffic Accident via Structural Equation Numerical Modeling. J. Mar. Sci. Eng. 2019, 7, 96. [Google Scholar] [CrossRef]
- Kujala, P.; Hänninen, M.; Arola, T.; Ylitalo, J. Analysis of the marine traffic safety in the Gulf of Finland. Reliab. Eng. Syst. Saf. 2009, 94, 1349–1357. [Google Scholar] [CrossRef]
- Eliopoulou, E.; Papanikolaou, A.; Voulgarellis, M. Statistical analysis of ship accidents and review of safety level. Saf. Sci. 2016, 85, 282–292. [Google Scholar] [CrossRef]
- Sotiralis, P.; Ventikos, N.P.; Hamann, R.; Golyshev, P.; Teixeira, A.P. Incorporation of human factors into ship collision risk models focusing on human centred design aspects. Reliab. Eng. Syst. Saf. 2016, 156, 210–227. [Google Scholar] [CrossRef]
- Kontovas, C.A.; Psaraftis, H.N. Formal safety assessment: A critical review. Mar. Technol. 2009, 46, 45–59. [Google Scholar]
- International Code for Ships Operating in Polar Waters. Available online: http://www.imo.org/ (accessed on 2 February 2016).
- Wang, Z.J.; Silberman, J.A.; Corbett, J.J. Container vessels diversion pattern to trans-Arctic shipping routes and GHG emission abatement potential. Marit. Policy Manag. 2020. [Google Scholar] [CrossRef]
- Stevenson, T.C.; Davies, J.; Huntington, H.P.; Sheard, W. An examination of trans-Arctic vessel routing in the Central Arctic Ocean. Mar. Policy 2019, 100, 83–89. [Google Scholar] [CrossRef]
- Zhang, X.; Zhang, Q.; Yang, J.; Cong, Z.; Chen, H. Safety risk analysis of unmanned ships in inland rivers based on a fuzzy Bayesian network. J. Adv. Transp. 2019. [Google Scholar] [CrossRef]
- Wang, T.; Wu, Q.; Diaconeasa, M.A.; Yan, X.; Mosleh, A. On the use of the hybrid causal logic methodology in ship collision risk assessment. J. Mar. Sci. Eng. 2020, 8, 485. [Google Scholar] [CrossRef]
- Peng, Y.; Boyle, L.N. Driver’s adaptive glance behavior to in-vehicle information systems. Accid. Anal. Prev. 2015, 85, 93–101. [Google Scholar] [CrossRef] [PubMed]
- Dotzauer, M.; Waard, D.D.; Caljouw, S.R.; Gloria, P.; Brouwer, W.H. Behavioral adaptation of young and older drivers to an intersection crossing advisory system. Accid. Anal. Prev. 2015, 74, 24–32. [Google Scholar] [CrossRef] [PubMed]
- Ding, J.F.; Shyu, W.H. Key Factors Influencing the Building of Arctic Shipping Routes. J. Navig. 2016, 69, 1261–1277. [Google Scholar]






| No | Symbol | Description |
|---|---|---|
| 1 | X1 | ice condition |
| 2 | X2 | radar failure |
| 3 | X3 | environmental obstruction |
| 4 | X4 | wind speed effect |
| 5 | X5 | wave height effect |
| 6 | X6 | process failure |
| 7 | X7 | navigation function failure |
| 8 | X8 | electronic chart error |
| 9 | X9 | the insufficient chart not been updated |
| 10 | X11 | the inappropriate route selection |
| 11 | X12 | the fuel measurement system failure |
| 12 | X13 | engine failure |
| 13 | X14 | propeller failure |
| 14 | M1 | serious ice condition |
| 15 | M2 | human error |
| 16 | M3 | Restricted visibility |
| 17 | M4 | operation failure |
| 18 | M5 | wind and wave effects |
| 19 | M6 | navigation failure |
| 20 | M7 | navigation system failure |
| 21 | M8 | the engine’s fuel supply is contaminated |
| 22 | M9 | power failure |
| 23 | M10 | engine shutdown |
| 24 | N1 | ship-ice collision accident |
| Data Source | Content | Usability | Format | Value Range | Data Processing Tool |
|---|---|---|---|---|---|
| https://nsidc.org/data | Daily SIC change data | Open access | bin | [0, 1] | Python (NumPy, pyproj) |
| State | PPD | ||||
|---|---|---|---|---|---|
| A | B | C | D | E | |
| NAI-NAI | 0 | 0 | 0.232 | 0 | 0 |
| NAI-HAI | 0.931 | 0 | 0 | 0.299 | 0 |
| HAI-NAI | 0 | 0.232 | 0.079 | 0 | 0 |
| HAI-HAI | 0.069 | 0.768 | 0.689 | 0.701 | 1 |
| Nodes | |||||||||||||
|---|---|---|---|---|---|---|---|---|---|---|---|---|---|
| X2 | X3 | X4 | X5 | X6 | X7 | X8 | X9 | X10 | X11 | X12 | X13 | X14 | |
| yes | 0.036 | 0.03 | 0.053 | 0.056 | 0.029 | 0.004 | 0.038 | 0.025 | 0.024 | 0.032 | 0.022 | 0.004 | 0.029 |
| no | 0.964 | 0.97 | 0.947 | 0.944 | 0.971 | 0.996 | 0.962 | 0.975 | 0.976 | 0.968 | 0.988 | 0.996 | 0.971 |
| Data source | OL | OL | EJ | EJ | OL | OL | OL | OL | OL | EJ | EJ | OL | EJ |
| State | expert1 | expert2 | expert3 | expert4 | expert5 |
|---|---|---|---|---|---|
| increase | 0.69 | 0.64 | 0.72 | 0.85 | 0.91 |
| constant | 0.28 | 0.33 | 0.28 | 0.13 | 0.08 |
| decrease | 0.03 | 0.03 | 0.04 | 0.02 | 0.01 |
| State | NAI-NAI | NAI-HAI | HAI-NAI | HAI-HAI |
|---|---|---|---|---|
| increase | 0 | 0.999 | 0 | 0.348 |
| constant | 0.982 | 0.001 | 0.017 | 0.652 |
| decrease | 0.018 | 0 | 0.983 | 0 |
Publisher’s Note: MDPI stays neutral with regard to jurisdictional claims in published maps and institutional affiliations. |
© 2020 by the authors. Licensee MDPI, Basel, Switzerland. This article is an open access article distributed under the terms and conditions of the Creative Commons Attribution (CC BY) license (http://creativecommons.org/licenses/by/4.0/).
Share and Cite
Li, Z.; Hu, S.; Gao, G.; Xi, Y.; Fu, S.; Yao, C. Risk Reasoning from Factor Correlation of Maritime Traffic under Arctic Sea Ice Status Association with a Bayesian Belief Network. Sustainability 2021, 13, 147. https://doi.org/10.3390/su13010147
Li Z, Hu S, Gao G, Xi Y, Fu S, Yao C. Risk Reasoning from Factor Correlation of Maritime Traffic under Arctic Sea Ice Status Association with a Bayesian Belief Network. Sustainability. 2021; 13(1):147. https://doi.org/10.3390/su13010147
Chicago/Turabian StyleLi, Zhuang, Shenping Hu, Guoping Gao, Yongtao Xi, Shanshan Fu, and Chenyang Yao. 2021. "Risk Reasoning from Factor Correlation of Maritime Traffic under Arctic Sea Ice Status Association with a Bayesian Belief Network" Sustainability 13, no. 1: 147. https://doi.org/10.3390/su13010147
APA StyleLi, Z., Hu, S., Gao, G., Xi, Y., Fu, S., & Yao, C. (2021). Risk Reasoning from Factor Correlation of Maritime Traffic under Arctic Sea Ice Status Association with a Bayesian Belief Network. Sustainability, 13(1), 147. https://doi.org/10.3390/su13010147

