Effect of Protected Areas on Human Populations in the Context of Colombian Armed Conflict, 2005–2018
Abstract
1. Introduction
2. Materials and Methods
2.1. Study Area
2.1.1. Basic Data and Natural Regions
2.1.2. National Natural Parks (NNPs)
2.2. Context of Violence in Colombia
2.3. Quasi-Experimental Matching Method
2.4. Biodemographic and Socio-Economic Variables
2.5. Sources of Information
2.6. Statistical Analysis
3. Results
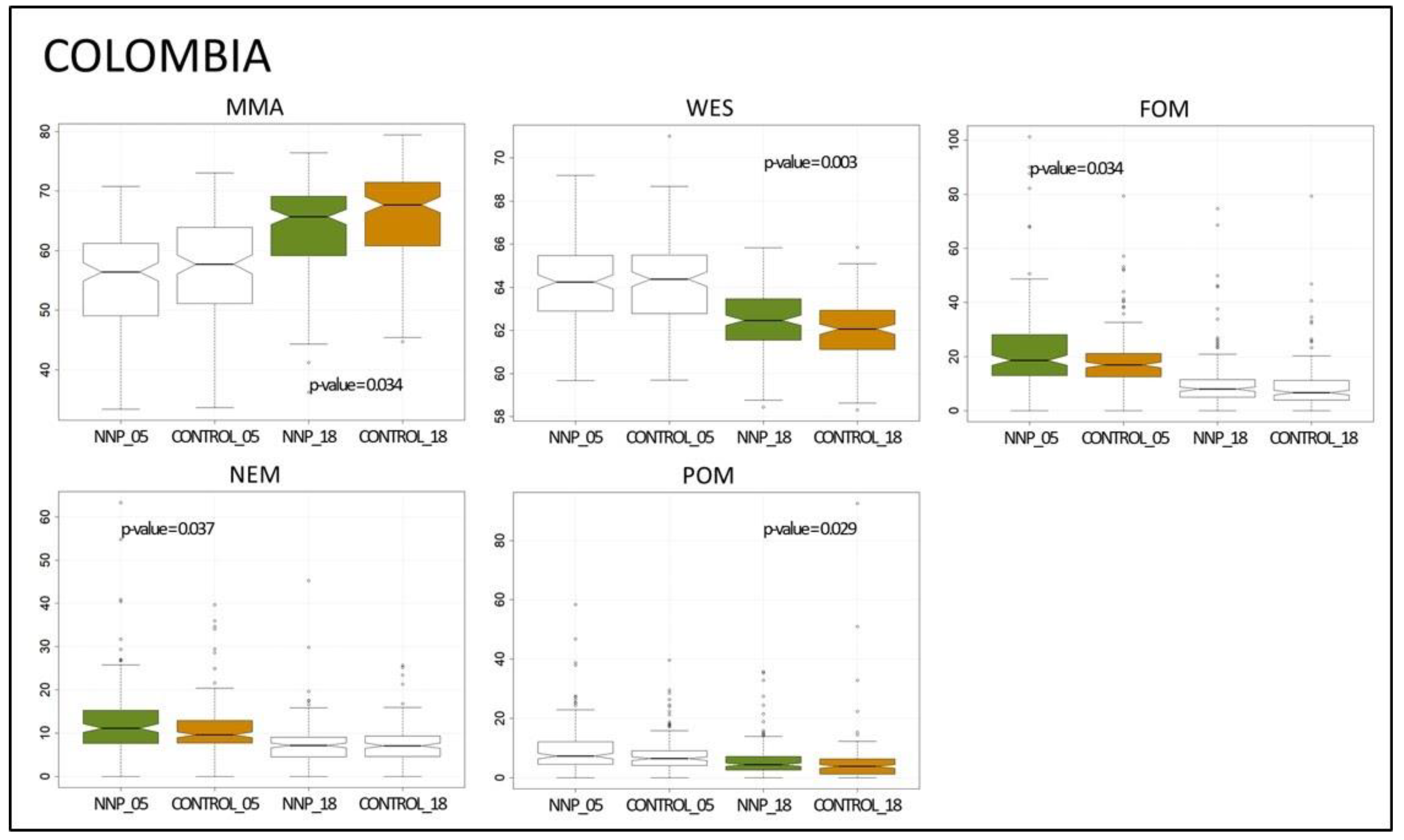
3.1. Differences between NNP and Control Municipalities for 2005 and 2018
3.2. Variation between 2005 and 2018
3.3. National Natural Parks and Level of Violence
4. Discussion
4.1. Differences between Municipalities in NNP and Control
4.2. NNP Municipalities and Armed Conflict
5. Conclusions
Author Contributions
Funding
Institutional Review Board Statement
Informed Consent Statement
Data Availability Statement
Acknowledgments
Conflicts of Interest
References
- IUCN; WCMC. Guidelines for Protected Area Management Categories; IUCN: Gland, Switzerland, 1994. [Google Scholar]
- Scherl, L.M.; Wilson, A.; Wild, R.; Blockhus, J.; Franks, P.; McNeely, J.A.; McShane, T. Can Protected Areas Contribute to Poverty Reduction? Opportunities and Limitations; The World Conservation Union: Gland, Switzerland; Cambridge, UK, 2004. [Google Scholar]
- Adams, W.M.; Hutton, J. People, parks, and poverty: Political ecology and biodiversity conservation. Conserv. Soc. 2007, 5, 147–183. [Google Scholar]
- Lele, S.; Wilshusen, P.; Brockington, D.; Seidler, R.; Bawa, K. Beyond exclusion: Alternative approaches to biodiversity conservation in the developing tropics. Curr. Opin. Environ. Sustain. 2010, 2, 94–100. [Google Scholar] [CrossRef]
- Unesco. World National Parks Congress; Unesco: Bali, Indonesia, 1982. [Google Scholar]
- Millennium Ecosystem Assessment. Ecosystems and Human Well-Being: Policy Responses; Millennium Ecosystem Assessment: Washington, DC, USA, 2005. [Google Scholar]
- Sanderson, S.E.; Redford, K.H. Contested relationships between biodiversity conservation and poverty alleviation. Oryx 2003, 37, 389–390. [Google Scholar] [CrossRef]
- Adams, W.M.; Aveling, R.; Brockington, D.; Dickson, B.; Elliot, J.; Hutton, J.; Roe, D.; Vira, B.; Wolmer, W. Biodiversity conservation and the eradication of poverty. Science 2004, 306, 1146–1149. [Google Scholar] [CrossRef] [PubMed]
- Roe, D. The origins and evolution of the conservation-poverty debate: A review of key literature, events, and policy processes. Oryx 2008, 42, 491–503. [Google Scholar] [CrossRef]
- Brockington, D.; Wilkie, D. Protected areas and poverty. Philos. Trans. R Soc. B 2015, 370, 20140271. [Google Scholar] [CrossRef]
- Naughton-Treves, L.; Alix-Garcia, J.; Chapman, C.A. Lessons about parks and poverty from a decade of forest loss and economic growth around Kibale National Park, Uganda. Proc. Natl. Acad. Sci. USA 2011, 108, 13919–13924. [Google Scholar] [CrossRef]
- Brockington, D.; Igoe, J.; Schmidt-Soltau, K.A. Conservation, human rights, and poverty reduction. Conserv. Biol. 2006, 20, 250–252. [Google Scholar] [CrossRef] [PubMed]
- West, P.; Igoe, J.; Brockington, D. Parks and peoples: The social impact of protected areas. Annu. Rev. Anthropol. 2006, 35, 251–277. [Google Scholar] [CrossRef]
- Norton-Griffiths, M.; Southey, C. The opportunity costs of biodiversity conservation in Kenya. Ecol. Econ. 1995, 12, 125–139. [Google Scholar] [CrossRef]
- Ferraro, P.J. The local costs of establishing protected areas in low-income nations: Ranomafana National Park, Madagascar. Ecol. Econ. 2002, 43, 261–275. [Google Scholar] [CrossRef]
- Andam, K.S.; Ferraro, P.J.; Sims, K.R.; Healy, A.; Holland, M.B. Protected areas reduced poverty in Costa Rica and Thailand. Proc. Natl. Acad. Sci. USA 2010, 107, 9996–10001. [Google Scholar] [CrossRef]
- Ferraro, P.J.; Hanauer, M.M. Quantifying causal mechanisms to determine how protected areas affect poverty through changes in ecosystem services and infrastructure. Proc. Natl. Acad. Sci. USA 2014, 111, 4332–4337. [Google Scholar] [CrossRef]
- Baird, T.D.; Leslie, P.W. Conservation as disturbance: Upheaval and livelihood diversification near Tarangire National Park, northern Tanzania. Glob. Environ. Change 2013, 23, 1131–1141. [Google Scholar] [CrossRef]
- Ezebilo, E.E.; Mattsson, L. Socio-economic benefits of protected areas as perceived by local people around Cross River National Park, Nigeria. For. Policy Econ. 2010, 12, 189–193. [Google Scholar] [CrossRef]
- Upton, C.; Ladle, R.; Hulme, D.; Jiang, T.; Brockington, D.; Adams, W.M. Are poverty and protected area establishment linked at a national scale? Oryx 2008, 42, 19–25. [Google Scholar] [CrossRef]
- Wittemyer, G.; Elsen, P.; Bean, W.T.; Burton, A.C.; Brashares, J.S. Accelerated human population growth at protected area edges. Science 2008, 321, 123–126. [Google Scholar] [CrossRef]
- Scholte, P.; De Groot, W.T. From debate to insight: Three models of immigration to protected areas. Conserv. Biol. 2009, 24, 630–632. [Google Scholar] [CrossRef]
- Joppa, L.N.; Loarie, S.R.; Pimm, S.L. On population growth near protected areas. PLoS ONE 2009, 4, e4279. [Google Scholar] [CrossRef]
- Castro-Prieto, J.; Martinuzzi, S.; Radeloff, V.C.; Helmers, D.P.; Quiñones, M.; Gould, W.A. Declining human population but increasing residential development around protected areas in Puerto Rico. Biol. Conserv. 2017, 209, 473–481. [Google Scholar] [CrossRef]
- Woodhouse, E.; Homewood, K.M.; Beauchamp, E.; Clements, T.; McCabe, J.T.; Wilkie, D.; Milner-Gulland, E.J. Guiding principles for evaluating the impacts of conservation interventions on human well-being. Phil. Trans. R Soc. B 2015, 370, 20150103. [Google Scholar] [CrossRef]
- Naidoo, R.; Gerkey, D.; Hole, D.; Pfaff, A.; Ellis, A.M.; Golden, C.D.; Herrera, D.; Johnson, K.; Mulligan, M.; Ricketts, T.H.; et al. Evaluating the impacts of protected areas on human well-being across the developing world. Sci. Adv. 2019, 5, eaav3006. [Google Scholar] [CrossRef] [PubMed]
- De Sherbinin, A. Is poverty more acute near parks? An assessment of infant mortality rates around protected areas in developing countries. Oryx 2008, 42, 26–35. [Google Scholar] [CrossRef]
- PNNC (Parques Nacionales Naturales de Colombia). Sistema Nacional de Áreas Protegidas-SINAP. Available online: http://www.parquesnacionales.gov.co/portal/es/sistema-nacional-de-areas-protegidas-sinap/mapa-sinap/ (accessed on 15 January 2020).
- Díaz, M. Conflicto de ocupación en áreas protegidas. Conservación versus derechos de comunidades. Opin. Juríd. 2008, 7, 53–69. [Google Scholar]
- Durán, C.A. Gobernanza en los Parques Nacionales Naturales Colombianos: Reflexiones a partir del caso de la comunidad Orika y su participación en la conservación del Parque Nacional Natural Corales del Rosario y San Bernardo. Rev. Estud. Soc. 2009, 32, 60–73. [Google Scholar]
- Rojas, Y. La historia de las áreas protegidas en Colombia, sus firmas de gobierno y las alternativas para la gobernanza. Soc. Econ. 2014, 27, 155–175. [Google Scholar]
- De Pourcq, K.; Thomas, E.; Van Damme, P.; Léon-Sicard, T. Análisis de los conflictos entre comunidades locales y autoridades de conservación en Colombia: Causas y recomendaciones. Gest. Ambiente 2017, 20, 122–139. [Google Scholar] [CrossRef]
- Canavire-Bacarreza, G.; Hanauer, M.M. Estimating the impacts of Bolivia’s protected areas on poverty. World Dev. 2013, 41, 265–285. [Google Scholar] [CrossRef]
- Ferguson, B.; Gardner, C.J.; Andriamarovololona, M.M.; Healy, T.; Muttenzer, F.; Smith, S.; Hockley, N.; Gingembre, M. Governing ancestral land in Madagascar: Have policy reforms contributed to social justice? In Governance for Justice and Environmental Sustainability: Lessons across Natural Resource Sectors in Sub-Saharan Africa; Sowman, M., Wynberg, R., Eds.; Routledge: London, UK, 2014; pp. 63–93. [Google Scholar]
- Stuart, A.E. Matching methods for causal inference: A review and a look forward. Stat. Sci. 2010, 25, 1–21. [Google Scholar] [CrossRef]
- Diamond, A.; Sekhon, J.S. Genetic matching for estimating causal effects: A general multivariate matching method for achieving balance in observational studies. Rev. Econ. Stat. 2013, 95, 932–945. [Google Scholar] [CrossRef]
- Hanauer, M.M.; Canavire-Bacarreza, G. Implications of heterogeneous impacts of protected areas on deforestation and poverty. Philos. Trans. R Soc. B 2015, 370, 20140272. [Google Scholar] [CrossRef] [PubMed]
- Hanauer, M.M.; Canavire-Bacarreza, G. Civil Conflict Reduced the Impact of Colombia’s Protected Areas; Sonoma State University: Rohnert Park, CA, USA; Inter-American Development Bank: Washington, DC, USA, 2018; 31p. [Google Scholar]
- Cancillería de Colombia. Símbolos Patrios y Otros Datos de Interés. Available online: https://www.cancilleria.gov.co/colombia/nuestro-pais/simbolos (accessed on 18 March 2020).
- DANE (Departamento Administrativo Nacional de Estadística). Available online: http://www.dane.gov.co (accessed on 15 January 2020).
- Ruiz-Linares, A.; Adhikari, K.; Acuña-Alonzo, V.; Quinto-Sanchez, M.; Jaramillo, C.; Arias, W.; Fuentes, M.; Pizarro, M.; Everardo, P.; de Avila, F.; et al. Admixture in Latin America: Geographic structure, phenotypic diversity and self-perception of ancestry based on 7,342 individuals. PLoS Genet. 2014, 10, e1004572. [Google Scholar] [CrossRef] [PubMed]
- Ibarra, A.; Restrepo, T.; Rojas, W.; Castillo, A.; Amorim, A.; Martínez, B.; Burgos, G.; Ostos, H.; Álvarez, K.; Camacho, M.; et al. Evaluating the X chromosome-specific diversity of Colombian populations using insertion/deletion polymorphisms. PloS Genet. 2014, 9, e87202. [Google Scholar] [CrossRef] [PubMed]
- Homburguer, J.R.; Moreno-Estrada, A.; Gignoux, C.R.; Nelson, D.; Sanchez, E.; Ortiz-Tello, P.; Pons-Estel, B.A.; Acevedo-Vasquez, E.; Miranda, P.; Langefeld, C.D.; et al. Genomic insights into the ancestry and demographic history of South America. PloS Genet. 2015, 11, e1005602. [Google Scholar] [CrossRef] [PubMed]
- Sistema de Información sobre Biodiversidad de Colombia. Biodiversidad en cifras. Available online: https://cifras.biodiversidad.co/ (accessed on 25 February 2020).
- Ayram, C.; Etter, A.; Díaz-Timoté, J.; Rodríguez Buriticá, S.; Ramírez, W.; Corzo, G. Spatiotemporal evaluation of the human footprint in Colombia: Four decades of anthropic impact in highly biodiverse ecosystems. Ecol. Indic. 2020, 117, 106630. [Google Scholar] [CrossRef]
- Suarez, A.; Arias-Arévalo, P.A.; Martínez-Mera, E. Environmental sustainability in post-conflict countries: Insights for rural Colombia. Environ. Dev. Sustain. 2018, 20, 997–1015. [Google Scholar] [CrossRef]
- PNGIBSE (Política Nacional para la Gestión Integral de la Biodiversidad y sus Servicios Ecosistémicos). Ministerio de Ambiente y Desarrollo Sostenible, Instituto Alexander Von Humboldt, Bogotá, Colombia. Available online: http://www.humboldt.org.co/images/documentos/pdf/documentos/pngibse-espaol-web.pdf (accessed on 12 March 2020).
- Sierra, C.A.; Mahecha, M.; Poveda, G.; Álvarez-Dávila, E.; Gutierrez-Velez, V.H.; Reu, B.; Feilhauer, H.; Anáya, J.; Armenteras, D.; Benavides, A.; et al. Monitoring ecological change during rapid socio-economic and political transitions: Colombian ecosystems in the post-conflict era. Environ. Sci. Policy 2017, 76, 40–49. [Google Scholar] [CrossRef]
- Forero-Medina, G.; Joppa, L. Representation of global and national conservation priorities by Colombia’s Protected Area Network. PLoS ONE 2010, 5, e13210. [Google Scholar] [CrossRef]
- Sánchez, F.; Palau, M.M. Conflict, decentralisation and local governance in Colombia, 1974–2004. In Households in Conflict Network; Working Paper 14; Universidad de los Andes: Bogotá, Colombia, 2006. [Google Scholar]
- Aguilar, M.; Sierra, J.; Ramírez, W.; Ragas, O.; Calle, Z.; Vargas, W.; Murcia, C.; Aronson, J.; Barrera Castaño, J.I. Toward a post-conflict Colombia: Restoring to the future. Restor. Ecol. 2015, 23, 4–6. [Google Scholar] [CrossRef]
- Canavire-Bacarreza, G.; Diaz-Gutierrez, J.E.; Hanauer, M.M. Unintended consequences of conservation: Estimating the impact of protected areas on violence in Colombia. J. Environ. Econ. Manag. 2018, 89, 46–70. [Google Scholar] [CrossRef]
- Hoffmann, C.; García Márquez, J.R.; Krueger, T. A local perspective on drivers and measures to slow deforestation in the Andean-Amazonian foothills of Colombia. Land Use Policy 2018, 77, 379–391. [Google Scholar] [CrossRef]
- Dávalos, L. The San Lucas mountain range in Colombia: How much conservation is owed to the violence? Biodivers. Conserv. 2001, 10, 69–78. [Google Scholar] [CrossRef]
- Alvarez, M. Forests in the time of violence: Conservation implications of the Colombian war. J. Sustain. For. 2003, 16, 47–68. [Google Scholar] [CrossRef]
- Enaruvbe, G.O.; Keculah, K.M.; Atedhor, G.O.; Osewole, A.O. Armed conflict and mining induced land-use transition in northern Nimba County, Liberia. Glob. Ecol. Conserv. 2019, 17, 2351–9894. [Google Scholar] [CrossRef]
- Murillo-Sandoval, P.J.; Van Dexter, K.; Van Den Hoek, J.; Wrathall, D.; Kennedy, R. The end of gunpoint conservation: Forest disturbance after the Colombian peace agreement. Environ. Res. Lett. 2020, 15, 034033. [Google Scholar] [CrossRef]
- Bonilla-Mejía, L.; Higuera-Mendieta, I. Protected areas under weak institutions: Evidence from Colombia. World Dev. 2019, 122, 585–596. [Google Scholar] [CrossRef]
- Clerici, N.; Salazar, C.; Pardo-Díaz, C.; Jiggins, C.D.; Richardson, J.E.; Linares, M. Peace in Colombia is a critical moment for Neotropical connectivity and conservation: Save the northern Andes-Amazon biodiversity bridge. Conserv. Lett. 2018, 12, 1–7. [Google Scholar] [CrossRef]
- Joppa, L.N.; Pfaff, A. High and far: Biases in the location of protected areas. PLoS ONE 2009, 4, e8273. [Google Scholar] [CrossRef]
- Baldi, G.; Texeira, M.; Martin, O.A.; Grau, H.R.; Jobbágy, E.G. Opportunities drive the global distribution of protected areas. PeerJ 2017, 5, e2989. [Google Scholar] [CrossRef]
- Restrepo, J.; Spagat, M.; Vargas, J. The dynamics of the Colombian civil conflict: A new data set. Homo Oecon. 2004, 21, 396–428. [Google Scholar]
- Restrepo, J.; Spagat, M.; Vargas, J. The severity of the Colombian conflict: Cross-country datasets versus new micro data. J. Peace Res. 2006, 43, 99–115. [Google Scholar] [CrossRef]
- CERAC (Centro de Recursos Para el Análisis de Conflictos). Typology of Colombian Municipalities According to the Internal Armed Conflict. 2014. Available online: http://www.cerac.org.co/es/l%C3%ADneas-de-investigaci%C3%B3n/analisis-conflicto/tipologia-por-municipios-del-conflicto-armado.html (accessed on 17 December 2020).
- Bauer, D.F. Constructing confidence sets using rank statistics. J. Am. Stat. Assoc. 1972, 67, 687–690. [Google Scholar] [CrossRef]
- Hollander, M.; Wolfe, D.A. Nonparametric Statistical Methods; John Wiley & Sons: New York, NY, USA, 1973; (or second edition 1999); pp. 27–33. [Google Scholar]
- Castro Torres, A.F.; Urdinola, B.P. Armed conflict and fertility in Colombia, 2000–2010. Popul. Res. Policy Rev. 2019, 38, 173–213. [Google Scholar] [CrossRef]
- Coad, L.; Campbell, A.; Miles, L.; Humphries, K. The Costs and Benefits of Protected Areas for Local Livelihoods: A Review of the Current Literature; United Nations Environment Programme: Nairobi, Kenya; World Conservation Monitoring Centre: Cambridge, UK, 2008. [Google Scholar]
- Pfaff, A.; Robalino, J.; Lima, E.; Sandoval, C.; Herrera, L.D. Governance, location and avoided deforestation from protected areas: Greater restrictions can have lower impact due to differences in location. World Dev. 2014, 55, 7–20. [Google Scholar] [CrossRef]
- Specht, M.J.; Santos, B.A.; Marshall, N.; Melo, F.P.; Leal, I.R.; Tabarelli, M.; Baldauf, C. Socio-economic differences among resident, users and neighbour populations of a protected area in the Brazilian dry forest. J. Environ. Econ. Manag. 2019, 232, 607–614. [Google Scholar]
- Creanza, N.; Kolodny, O.; Feldman, M.W. Cultural evolutionary theory: How culture evolves and why it matters. Proc. Natl. Acad. Sci. USA 2017, 114, 7782–7789. [Google Scholar] [CrossRef]
- Ferraro, P.J.; Hanauer, M.M. Protecting ecosystems and alleviating poverty with parks and reserves: ‘win-win’ or tradeoffs? Environ. Resour. Econ. 2011, 48, 269–286. [Google Scholar] [CrossRef]
- Murillo-Sandoval, P.J.; Hilker, T.; Krawchuk, M.A.; Van Den Hoek, J. Detecting and attributing drivers of forest disturbance in the Colombian Andes using landsat time-series. Forests 2018, 9, 269. [Google Scholar] [CrossRef]




| Cofounder | Indicator | Description |
|---|---|---|
| Size | Area | Municipal area in km2 |
| Population size | Number of inhabitants registered in the municipality | |
| Population composition | % Afro-descendants | Proportion of people according to ethnicity (African descendants) |
| % Indigenous | Proportion of people according to ethnicity (Indigenous) | |
| Rurality | Percentage of rural population | |
| Orography | Slope | Average slope of the terrain |
| Altitude | Average height above sea level | |
| Climatology | Rainfall | Average amount of rain collected over a year |
| Location | Distance to the departmental capital | Distance from the municipality to the capital of its Department |
| Armed conflict | % Displaced | Proportion of residents who had to leave the municipality because of the armed conflict |
| Armed conflict index | Presence of armed groups and number of events of the internal conflict (2000–2012). Grouped by intensity of the conflict from 1 (strongly affected municipalities and persistent conflict) to 7 (municipalities without conflict) |
| Type | Variable | Abbrev | Description | |
|---|---|---|---|---|
| Biodemographic variables | Population structure | Ageing Ratio | AGR | Ratio of the proportion of elderly people (65 years and over) and young people (under 15 years) multiplied by 100 |
| Mean Mortality Age | MMA | Average age of mortality excluding first-year mortality (calculated for the periods 2001–2005 and 2014–2018) | ||
| Intercensal Growth | ICG | Difference between the population size in the current census and that from the previous one | ||
| Fertility | Born Alive | BAL | Live births per woman (calculated for the periods 2001–2005 and 2014–2018) | |
| Weight/Size | WES | Birth weight divided by height in newborns (for the periods 2001–2005 and 2014–2018) | ||
| Duration of pregnancy | DPR | Average length of gestation (for 2001–2005 and 2014–2018) | ||
| Infant mortality | Foetal Mortality | FOM | Proportion of pregnancies not carried to term (for the periods 2001–2005 and 2014–2018) | |
| Neonatal Mortality | NEM | Proportion of stillbirths by pregnancy (for the periods 2001–2005 and 2014–2018) | ||
| Post neonatal Mortality | POM | Proportion of deaths before age 1 by birth (for the periods 2001–2005 and 2014–2018) | ||
| Socio-economic variables | Illiteracy | ILL | Proportion of the population over 15 years of age that is illiterate | |
| Unsatisfied Basic Needs | UBN | Proportion of the population unable to meet their basic needs | ||
| Insufficient income | INI | Proportion of households with insufficient income to cover basic expenses (2005 only) | ||
| Per Capita Income | PCI | Per capita income by municipality (for 2018 only) |
| COLOMBIA | ANDES | CARIBBEAN | AMAZON-ORINOQ | PACIFIC | LOW-INTENSITY | HIGH-INTENSITY | ||||||||||||||||||
|---|---|---|---|---|---|---|---|---|---|---|---|---|---|---|---|---|---|---|---|---|---|---|---|---|
| Variable | 2005 | 2018 | 2005 | 2018 | 2005 | 2018 | 2005 | 2018 | 2005 | 2018 | 2005 | 2018 | 2005 | 2018 | ||||||||||
| BIODEMOGRAPHIC | Population Structure | AGR | NNP | 0.066 (0.024) | 0.088 (0.035) | ⇑ | 0.075 (0.023) | 0.105 (0.032) | ⇑ | 0.048 (0.010) | 0.064 (0.015) | ⇑ | 0.045 (0.014) | 0.057 (0.017) | ⇑ | 0.049 (0.014) | 0.055 (0.010) | ⇑ | 0.066 (0.025) | 0.091 (0.036) | ⇑ | 0.056 (0.015) | 0.076 (0.026) | ⇑ |
| Control | 0.072 (0.029) | 0.098 (0.042) | ⇑ | 0.085 (0.029) | 0.117 (0.040) | ⇑ | 0.055 (0.011) | 0.076 (0.018) | ⇑ | 0.044 (0.010) | 0.056 (0.013) | ⇑ | 0.057 (0.014) | 0.059 (0.010) | ⇑ | 0.075 (0.031) | 0.103 (0.044) | ⇑ | 0.058 (0.015) | 0.077 (0.025) | ⇑ | |||
| MMA | NNP | 55.182 (8.537) | 63.750 (7.849) | ⇑ | 58.908 (6.947) | 67.177 (5.597) | ⇑ | 52.879 (6.665) | 61.218 (6.694) | ⇑ | 46.421 (6.152) | 58.355 (6.245) | ⇑ | 46.050 (7.011) | 50.372 (7.963) | ⇑ | 55.606 (8.971) | 64.096 (8.267) | ⇑ | 53.275 (5.977) | 62.195 (5.450) | ⇑ | ||
| Control | 56.932 (8.499) | 65.595 (7.600) | ⇑ | 60.826 (6.721) | 69.097 (5.360) | ⇑ | 56.162 (5.732) | 65.415 (5.114) | ⇑ | 45.898 (5.851) | 58.312 (5.425) | ⇑ | 49.036 (4.663) | 52.308 (5.712) | ⇑ | 57.943 (8.364) | 66.363 (7.673) | ⇑ | 52.906 (8.002) | 62.894 (6.163) | ⇑ | |||
| ICG | NNP | 0.031 (0.267) | 0.002 (0.245) | ⇓ | −0.017 (0.195) | −0.043 (0.228) | ⇓ | 0.042 (0.501) | 0.120 (0.165) | ⇓ | 0.182 (0.240) | 0.070 (0.333) | ⇓ | 0.132 (0.162) | 0.020 (0.206) | ⇓ | 0.018 (0.273) | −0.001 (0.259) | ⇓ | 0.089 (0.234) | 0.019 (0.176) | ⇓ | ||
| Control | −0.003 (0.269) | 0.023 (0.251) | ⇑ | −0.047 (0.242) | −0.020 (0.213) | ⇑ | 0.017 (0.338) | 0.174 (0.152) | ⇑ | 0.161 (0.201) | 0.064 (0.328) | ⇑ | −0.058 (0.449) | −0.020 (0.388) | ⇑ | −0.014 (0.254) | 0.010 (0.258) | ⇑ | 0.064 (0.310) | 0.075 (0.217) | ⇑ | |||
| Fertility | BAL | NNP | 0.038 (0.0185) | 0.030 (0.011) | ⇓ | 0.036 (0.010) | 0.027 (0.009) | ⇓ | 0.036 (0.012) | 0.038 (0.013) | ⇑ | 0.055 (0.034) | 0.034 (0.009) | ⇓ | 0.017 (0.011) | 0.027 (0.012) | ⇑ | 0.036 (0.015) | 0.028 (0.010) | ⇓ | 0.043 (0.029) | 0.036 (0.009) | ⇓ | |
| Control | 0.037 (0.0167) | 0.027 (0.008) | ⇓ | 0.036 (0.009) | 0.024 (0.007) | ⇓ | 0.037 (0.012) | 0.037 (0.005) | ⇒ | 0.054 (0.029) | 0.034 (0.006) | ⇓ | 0.014 (0.009) | 0.021 (0.008) | ⇑ | 0.036 (0.016) | 0.026 (0.008) | ⇓ | 0.043 (0.019) | 0.035 (0.007) | ⇓ | |||
| WES | NNP | 64.171 (1.811) | 62.474 (1.432) | ⇓ | 63.955 (1.988) | 62.383 (1.491) | ⇓ | 64.454 (1.073) | 62.642 (1.713) | ⇓ | 64.755 (1.400) | 62.966 (0.976) | ⇓ | 64.239 (1.964) | 61.868 (0.732) | ⇓ | 64.114 (1.869) | 62.505 (1.506) | ⇓ | 64.428 (1.529) | 62.333 (1.040) | ⇓ | ||
| Control | 64.212 (1.879) | 61.993 (1.407) | ⇓ | 63.961 (1.963) | 61.841 (1.504) | ⇓ | 64.492 (1.945) | 61.767 (1.484) | ⇓ | 65.119 (1.507) | 62.747 (0.935) | ⇓ | 63.996 (1.226) | 62.074 (0.740) | ⇓ | 64.109 (1.978) | 61.915 (1.427) | ⇓ | 64.741 (1.319) | 62.390 (1.287) | ⇓ | |||
| DPR | NNP | 250.754 (15.534) | 267.656 (1.926) | ⇑ | 256.290 (11.755) | 267.967 (1.700) | ⇑ | 248.358 (12.748) | 266.094 (1.613) | ⇑ | 229.700 (16.522) | 268.242 (2.218) | ⇑ | 252.659 (4.336) | 266.759 (2.140) | ⇑ | 250.609 (16.060) | 267.692 (1.942) | ⇑ | 251.405 (13.144) | 267.491 (1.881) | ⇑ | ||
| Control | 251.669 (13.698) | 267.554 (1.853) | ⇑ | 257.858 (9.373) | 267.785 (1.703) | ⇑ | 245.210 (11.402) | 265.950 (1.768) | ⇑ | 232.400 (13.470) | 268.946 (1.069) | ⇑ | 252.289 (4.226) | 266.020 (1.309) | ⇑ | 251.097 (13.925) | 267.626 (1.856) | ⇑ | 254.079 (13.081) | 267.330 (1.881) | ⇑ | |||
| Infant Mortality | FOM | NNP | 22.619 (15.698) | 10.743 (11.192) | ⇓ | 19.484 (13.155) | 6.706 (5.456) | ⇓ | 25.574 (9.487) | 18.465 (14.524) | ⇓ | 22.225 (14.409) | 13.656 (12.021) | ⇓ | 45.213 (27.682) | 20.054 (6.885) | ⇓ | 22.314 (16.956) | 10.557 (11.832) | ⇓ | 23.989 (7.940) | 11.570 (7.869) | ⇓ | |
| Control | 18.817 (10.837) | 9.062 (9.519) | ⇓ | 15.712 (7.436) | 6.036 (5.438) | ⇓ | 19.755 (7.044) | 12.746 (5.567) | ⇓ | 20.987 (9.662) | 10.350 (6.976) | ⇓ | 40.086 (19.251) | 29.039 (23.575) | ⇓ | 18.221 (11.129) | 8.648 (9.894) | ⇓ | 19.616 (6.484) | 9.727 (5.377) | ⇓ | |||
| NEM | NNP | 12.773 (8.582) | 7.376 (5.237) | ⇓ | 11.530 (7.127) | 6.623 (5.547) | ⇓ | 13.642 (4.634) | 9.206 (2.797) | ⇓ | 11.063 (6.679) | 6.590 (2.799) | ⇓ | 25.736 (16.823) | 12.546 (7.146) | ⇓ | 12.533 (9.248) | 7.042 (4.518) | ⇓ | 13.854 (4.464) | 8.871 (7.605) | ⇓ | ||
| Control | 10.911 (6.225) | 7.264 (4.776) | ⇓ | 9.516 (4.569) | 6.721 (5.116) | ⇓ | 12.454 (4.922) | 7.623 (3.614) | ⇓ | 10.255 (4.686) | 7.529 (4.004) | ⇓ | 21.689 (12.146) | 10.440 (4.721) | ⇓ | 10.525 (6.353) | 7.260 (5.104) | ⇓ | 11.725 (3.737) | 7.013 (2.763) | ⇓ | |||
| POM | NNP | 9.845 (8.585) | 6.107 (6.366) | ⇓ | 7.954 (7.711) | 5.081 (5.777) | ⇓ | 11.932 (6.483) | 6.708 (3.687) | ⇓ | 11.162 (8.307) | 7.137 (5.647) | ⇓ | 19.478 (12.620) | 12.258 (12.572) | ⇓ | 9.781 (9.251) | 6.322 (6.850) | ⇓ | 10.135 (4.621) | 5.144 (3.388) | ⇓ | ||
| Control | 7.906 (6.165) | 5.165 (9.064) | ⇓ | 6.196 (4.136) | 3.316 (3.074) | ⇓ | 7.302 (3.263) | 5.264 (1.790) | ⇓ | 10.732 (6.392) | 3.966 (3.780) | ⇓ | 18.397 (11.854) | 16.011 (14.374) | ⇓ | 7.700 (6.392) | 5.312 (10.051) | ⇓ | 7.891 (3.809) | 4.462 (1.881) | ⇓ | |||
| SOCIO-ECONOMIC | ILL | NNP | 0.166 (0.098) | 0.104 (0.061) | ⇓ | 0.146 (0.085) | 0.094 (0.055) | ⇓ | 0.248 (0.136) | 0.139 (0.079) | ⇓ | 0.135 (0.034) | 0.084 (0.026) | ⇓ | 0.242 (0.101) | 0.165 (0.070) | ⇓ | 0.163 (0.098) | 0.105 (0.063) | ⇓ | 0.180 (0.102) | 0.101 (0.050) | ⇓ | |
| Control | 0.163 (0.087) | 0.103 (0.054) | ⇓ | 0.135 (0.068) | 0.087 (0.039) | ⇓ | 0.235 (0.095) | 0.131 (0.057) | ⇓ | 0.143 (0.050) | 0.082 (0.024) | ⇓ | 0.302 (0.065) | 0.214 (0.052) | ⇓ | 0.159 (0.085) | 0.102 (0.054) | ⇓ | 0.174 (0.093) | 0.101 (0.053) | ⇓ | |||
| UBN | NNP | 35.791 (24.141) | 26.016 (18.158) | ⇓ | 25.718 (16.004) | 18.813 (12.127) | ⇓ | 44.429 (13.560) | 36.019 (18.497) | ⇓ | 54.342 (30.795) | 31.968 (16.187) | ⇓ | 66.876 (29.170) | 56.534 (21.877) | ⇓ | 35.420 (24.860) | 25.518 (18.516) | ⇓ | 37.462 (20.924) | 28.254 (16.574) | ⇓ | ||
| Control | 35.661 (22.535) | 25.213 (18.099) | ⇓ | 24.665 (11.460) | 16.534 (10.717) | ⇓ | 51.676 (19.476) | 37.586 (17.553) | ⇓ | 47.542 (25.321) | 31.678 (14.499) | ⇓ | 74.420 (24.111) | 59.907 (12.058) | ⇓ | 34.343 (21.814) | 24.184 (17.859) | ⇓ | 37.342 (20.811) | 26.606 (15.148) | ⇓ | |||
| INI | NNP | 0.827 (0.085) | 0.826 (0.090) | 0.815 (0.070) | 0.809 (0.067) | 0.896 (0.076) | 0.841 (0.081) | 0.763 (0.075) | ||||||||||||||||
| Control | 0.834 (0.099) | 0.833 (0.105) | 0.828 (0.075) | 0.791 (0.080) | 0.935 (0.038) | 0.843 (0.096) | 0.785 (0.097) | |||||||||||||||||
| PCI | NNP | 0.011 (0.008) | 0.011 (0.004) | 0.010 (0.006) | 0.015 (0.018) | 0.005 (0.003) | 0.011 (0.009) | 0.011 (0.004) | ||||||||||||||||
| Control | 0.019 (0.041) | 0.013 (0.007) | 0.012 (0.014) | 0.044 (0.090) | 0.005 (0.004) | 0.020 (0.045) | 0.015 (0.011) | |||||||||||||||||
| Variable | COLOMBIA | ANDES | CARIBBEAN | AMAZON-ORINOQUIA | PACIFIC | LOW INTENSITY | HIGH INTENSITY | ||
|---|---|---|---|---|---|---|---|---|---|
| Biodemographic | Population structure | AGR | ∅ | = | = | ∅ | ∅ | = | ∅ |
| MMA | − | = | − | ∅ | ∅ | = | ∅ | ||
| ICG | ∅ | ∅ | ∅ | ∅ | ∅ | ∅ | ∅ | ||
| Fertility | BAL | ∅ | ∅ | ∅ | ∅ | ∅ | ∅ | ∅ | |
| WES | + | + | + | ∅ | ∅ | + | ∅ | ||
| DPR | ∅ | ∅ | ∅ | ∅ | ∅ | ∅ | ∅ | ||
| Infant mortality | FOM | + | + | + | ∅ | ∅ | ∅ | + | |
| NEM | + | + | ∅ | ∅ | ∅ | ∅ | ∅ | ||
| POM | − | ∅ | + | − | ∅ | − | ∅ | ||
| Socio-economic | ILL | ∅ | ∅ | ∅ | ∅ | ∅ | ∅ | ∅ | |
| UBN | ∅ | ∅ | ∅ | ∅ | ∅ | ∅ | ∅ | ||
| INI * | |||||||||
| PCI * |
Publisher’s Note: MDPI stays neutral with regard to jurisdictional claims in published maps and institutional affiliations. |
© 2020 by the authors. Licensee MDPI, Basel, Switzerland. This article is an open access article distributed under the terms and conditions of the Creative Commons Attribution (CC BY) license (http://creativecommons.org/licenses/by/4.0/).
Share and Cite
Rodríguez-Díaz, R.; Colino-Rabanal, V.J.; Gutierrez-López, A.; Blanco-Villegas, M.J. Effect of Protected Areas on Human Populations in the Context of Colombian Armed Conflict, 2005–2018. Sustainability 2021, 13, 146. https://doi.org/10.3390/su13010146
Rodríguez-Díaz R, Colino-Rabanal VJ, Gutierrez-López A, Blanco-Villegas MJ. Effect of Protected Areas on Human Populations in the Context of Colombian Armed Conflict, 2005–2018. Sustainability. 2021; 13(1):146. https://doi.org/10.3390/su13010146
Chicago/Turabian StyleRodríguez-Díaz, Roberto, Víctor Javier Colino-Rabanal, Alejandra Gutierrez-López, and María José Blanco-Villegas. 2021. "Effect of Protected Areas on Human Populations in the Context of Colombian Armed Conflict, 2005–2018" Sustainability 13, no. 1: 146. https://doi.org/10.3390/su13010146
APA StyleRodríguez-Díaz, R., Colino-Rabanal, V. J., Gutierrez-López, A., & Blanco-Villegas, M. J. (2021). Effect of Protected Areas on Human Populations in the Context of Colombian Armed Conflict, 2005–2018. Sustainability, 13(1), 146. https://doi.org/10.3390/su13010146

