The Effect of Agricultural Environmental Total Factor Productivity on Urban-Rural Income Gap: Integrated View from China
Abstract
1. Introduction
2. China’s Agricultural ETFP Measurement and Evolution Trend
2.1. Measurement Methods, Indicators and Data
2.2. Evolution Trend
3. Measurement Model, Variable Definition and Data Description
3.1. Basic Model and Estimation Methods
3.2. Construction of Spatial Weighting Matrix
3.3. Variable Definition
3.3.1. Interpreted Variables
3.3.2. Core Explanatory Variable
3.3.3. Control Variables
3.4. Data Source
4. Empirical Test and Result and Discussion
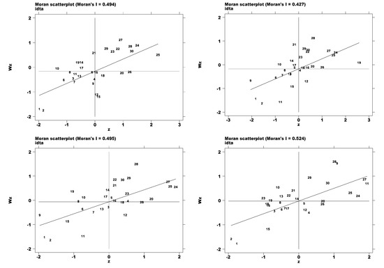
4.1. Spatial Correlation Analysis of Urban-Rural Income Gap
4.2. Model Estimation and Results Analysis
4.3. Analysis of Regional Estimation Results
4.4. Robustness Test
5. Conclusions
Author Contributions
Funding
Conflicts of Interest
References
- Xu, M.; Jiang, Y. Can the China’s industrial structure upgrading narrow the gap between urban and rural consumption. J. Quant. Tech. Econ. 2015, 32, 3–21. [Google Scholar]
- Chen, M.; Zhang, J. Internet popularization and urban-rural income gap: A theoretical and empirical analysis. Chin. Rural Econ. 2019, 2, 19–41. [Google Scholar]
- Li, J.; Xu, J. Analysis of inter-provincial green total factor productivity application of a non-parametric method. J. Beijing For. Univ. (Soc. Sci.) 2009, 8, 139–146. [Google Scholar] [CrossRef]
- Cai, F. How to improve TFP. Bus. News 2018, 4, 89–90. [Google Scholar]
- Kawai, H. International comparative analysis of economic growth: Trade liberalization and productivity. Dev. Econ. 1994, 32, 373–397. [Google Scholar] [CrossRef]
- Prescott, E.; Lawrence, R. Klein lecture 1997: Needed: A theory of total factor productivity. Int. Econ. Rev. 1998, 39, 525–551. [Google Scholar] [CrossRef]
- Hall, R.E.; Jones, C.I. Why do some countries produce so much more output per worker than others. Q. J. Econ. 1999, 114, 83–116. [Google Scholar] [CrossRef]
- Easterly, W.; Levine, R. It’ s not factor accumulation: Stylized facts and growth models. World Bank Econ. Rev. 2001, 15, 221–224. [Google Scholar] [CrossRef]
- Klenow, P.J.; Rodríguez-Clare, A. The neoclassical revival in growth economics: Has it gone too far. Nber Macroecon. Annu. 1997, 12, 73–103. [Google Scholar] [CrossRef]
- Kögel, T. Youth dependency and total factor productivity. J. Dev. Econ. 2001, 76, 147–173. [Google Scholar] [CrossRef]
- Peng, G. The disparity of income, TFP and the convergence hypothesis in Chinese Provinces. Econ. Res. J. 2005, 9, 19–29. [Google Scholar]
- Li, J.; Meng, L.; Wu, F. Re-testing of development differences in China: Factor accumulation or TFP. J. World Econ. 2006, 1, 12–22. [Google Scholar]
- Lu, Y.; Zhang, D. The cause of the difference in inter-provincial income in China: Factor accumulation or productivity. Contemp. Financ. Econ. 2007, 4, 22–28. [Google Scholar] [CrossRef]
- Tian, M. Looking at China’s Regional Income Gap from Total Factor Productivity. Master’s Thesis, Tianjin University of Finance and Economics, Tianjin, China, 2007. [Google Scholar]
- Xu, H.; Wang, Y. Urban-rural income gap and total factor productivity in China—Spatial econometric analysis based on provincial data. J. Financ. Res. 2010, 10, 54–67. [Google Scholar]
- Liu, Y.; Li, J. TFP, FDI and urban-rural income gap—Based on empirical analysis of provincial panel data. Econ. Surv. 2013, 3, 119–124. [Google Scholar] [CrossRef]
- Ma, L. The influence of human capital structure and TFP on urban-rural income inequality. Res. Econ. Manag. 2016, 37, 52–58. [Google Scholar] [CrossRef]
- Li, B.; Zhang, J.; Li, H. Empirical study on China’s agriculture carbon emissions and economic development. J. Arid Land Resour. Environ. 2011, 25, 8–13. [Google Scholar] [CrossRef]
- Tian, Y.; Zhang, J.; Li, B. Agricultural carbon emissions in china: Calculation, spatial-temporal comparison and decoupling effect. Resour. Sci. 2012, 34, 2097–2105. [Google Scholar]
- West, T.O.; Marland, G. A synthesis of carbon sequestration, carbon emissions, and net carbon flux in agriculture: Comparing tillage practices in the United States. Agric. Ecosyst. Environ. 2002, 91, 217–232. [Google Scholar] [CrossRef]
- Duan, H.; Zhang, Y.; Zhao, J.; Bian, X. Carbon footprint analysis of farmland ecosystems in China. J. Soil Water Conserv. 2011, 25, 203–208. [Google Scholar] [CrossRef]
- Wu, F.; Li, L.; Zhang, H.; Chen, F. Effects of conservation tillage on net carbon emission from farmland ecosystem. Chin. J. Ecol. 2007, 12, 2035–2039. [Google Scholar] [CrossRef]
- Anselin, L. A test for spatial autocorrelation in seemingly unrelated regressions. Econ. Lett. 1988, 28, 335–341. [Google Scholar] [CrossRef]
- Wang, J.; Jia, C. A spatial econometric study of the differences between urbanization and regional economic growth in China. Econ. Sci. 2009, 3, 94–102. [Google Scholar] [CrossRef]
- Zhang, K.; Wang, Y.; Wang, J. Research on the specification methods of spatial weight matrix. Reg. Econ. Rev. 2017, 1, 19–25. [Google Scholar] [CrossRef]
- Ping, Z.; Wu, X.; Wu, X. The impact of economic growth on industrial pollution along Yangtze river economic zone: A spatial Durbin model based on geographical distance matrix. Ecol. Econ. 2019, 35, 161–167. [Google Scholar]
- Moran, P.A.P. Notes on continuous stochastic phenomena. Biometrika 1950, 37, 17–23. [Google Scholar] [CrossRef]
- Wang, S.; Ouyang, Z. The threshold effect of the urban-rural income disparity on real economic growth in China. Soc. Sci. China 2008, 2, 54–66. [Google Scholar] [CrossRef]
- Wang, T.; Xie, L. Equitable distribution and residents’ welfare: Study on impact of income gap on China’s engel coefficient. Stat. Inf. Forum. 2013, 28, 56–62. [Google Scholar] [CrossRef]
- Lu, M.; Chen, Z. Urbanization, urban-oriented economic policies and urban-rural income gap. Econ. Res. J. 2004, 4, 50–58. [Google Scholar] [CrossRef]
- Zheng, L.; Wang, X. Does foreign direct investment inflows increase the urban-rural income gap in China: An analysis based on a spatial perspective. Macroeconomics 2018, 3, 62–80. [Google Scholar]
- Lv, W.; Chu, Y. Nonlinear effects of fiscal policy on private consumption demand: An empirical analysis based on OECD multinational panel data. Comp. Econ. Soc. Syst. 2011, 19, 79–87. [Google Scholar]
- Wang, Y.; Yang, H.; Tang, S. Mechanism and dynamic analysis of urbanization and industrial structure adjustment on urban-rural income gap. Contemp. Econ. Manag. 2015, 37, 56–63. [Google Scholar]
- Mu, H.; Wu, P. Urbanization, industrial structure optimization and urban-rural income gap. Economist 2016, 5, 37–44. [Google Scholar]
- Hu, J. The measurement of the impact of income gap between urban and rural residents on economic efficiency in China: An empirical analysis based on provincial panel data. Theory Study Explor. 2013, 7, 86–89. [Google Scholar] [CrossRef]
- Ouyang, Z. Has the advancement of China’s urban-rural economic integration hindered the widening of the urban-rural income gap. J. World Econ. 2014, 37, 116–135. [Google Scholar]


| Carbon Source | Carbon Emission Coefficient | Reference Source |
|---|---|---|
| Pesticide | 4.9341 kg/kg | Oak Ridge National Laboratory (Li Bo et al. 2011) [18] |
| Fertilizer | 0.8956 kg/k | Oak Ridge National Laboratory (West TO et al. 2002) [20] |
| Diesel | 0.5927 kg/kg | IPCC (Li Bo et al. 2011, Tian Yun et al. 2012) [18,19] |
| Agricultural film | 5.18 kg/kg | Institute of Resource, Ecosystem and Environment of Agriculture, Nanjing Agricultural University (Tian Yun et al. 2012) [19] |
| Irrigation | 266.48 kg/hm2 | (Duan Huaping et al. 2011) [21] |
| Tillage | 312.6 kg/hm2 | (Wu Fenlin et al. 2007) [22] |
| Time Year | ETFP Growth Index ETFP | Technical Efficiency Index TE | Technology Progress Index TP |
|---|---|---|---|
| 2001 | 1.045 | 1.160 | 1.002 |
| 2002 | 1.015 | 1.032 | 1.008 |
| 2003 | 1.039 | 1.071 | 1.024 |
| 2004 | 1.033 | 1.115 | 1.059 |
| 2005 | 1.034 | 1.101 | 1.013 |
| 2006 | 1.013 | 1.067 | 0.976 |
| 2007 | 1.080 | 1.084 | 1.049 |
| 2008 | 1.076 | 1.041 | 1.084 |
| 2009 | 1.020 | 1.036 | 1.001 |
| 2010 | 1.067 | 1.030 | 1.064 |
| 2011 | 1.078 | 1.043 | 1.079 |
| 2012 | 1.052 | 1.011 | 1.063 |
| 2013 | 1.039 | 1.049 | 1.048 |
| 2014 | 1.024 | 1.027 | 1.048 |
| 2015 | 1.030 | 1.040 | 1.012 |
| 2016 | 1.037 | 1.024 | 1.056 |
| 2017 | 1.045 | 1.072 | 1.028 |
| Mean | 1.043 | 1.059 | 1.036 |
| Province | ETFP | TE | TP |
|---|---|---|---|
| Beijing | 1.006 | 1.011 | 1.004 |
| Tianjin | 1.034 | 1.043 | 1.030 |
| Hebei | 1.044 | 1.057 | 1.055 |
| Shanxi | 1.023 | 1.110 | 1.036 |
| Inner Mongolia | 1.002 | 1.032 | 1.012 |
| Liaoning | 1.058 | 1.056 | 1.049 |
| Jilin | 1.058 | 1.032 | 1.044 |
| Heilongjiang | 1.075 | 1.062 | 1.056 |
| Shanghai | 1.013 | 1.011 | 1.008 |
| Jiangsu | 1.036 | 1.045 | 1.033 |
| Zhejiang | 1.011 | 1.011 | 1.008 |
| Anhui | 1.076 | 1.066 | 1.069 |
| Fujian | 1.034 | 1.033 | 1.017 |
| Jiangxi | 1.065 | 1.063 | 1.057 |
| Shandong | 1.077 | 1.085 | 1.054 |
| Henan | 1.069 | 1.059 | 1.069 |
| Hubei | 1.051 | 1.128 | 1.025 |
| Hunan | 1.060 | 1.101 | 1.029 |
| Guangdong | 1.025 | 1.033 | 1.022 |
| Guangxi | 1.051 | 1.095 | 1.030 |
| Hainan | 1.009 | 1.000 | 1.006 |
| Chongqing | 1.031 | 1.080 | 1.017 |
| Sichuan | 1.038 | 1.021 | 1.042 |
| Guizhou | 1.060 | 1.081 | 1.046 |
| Yunnan | 1.062 | 1.086 | 1.062 |
| Shaanxi | 1.050 | 1.054 | 1.040 |
| Gansu | 1.036 | 1.131 | 1.080 |
| Qinghai | 1.008 | 1.000 | 1.002 |
| Ningxia | 1.090 | 1.109 | 1.045 |
| Xinjiang | 1.035 | 1.081 | 1.032 |
| Eastern | 1.032 | 1.035 | 1.026 |
| Central | 1.060 | 1.078 | 1.048 |
| Western | 1.042 | 1.070 | 1.037 |
| Variable Name | Code | Unit | Data Sources |
|---|---|---|---|
| Theil index | Idta | - | Calculated based on the Theil index formula |
| ETFP | ETFP | - | Estimation based on DEA-SBM model by using MaxDEA8.0 software (Beijing Realworld Software Company Ltd, Beijing, China) |
| Financial expenditure | Fe | % | EPS Global Statistics Database: China Macro Economy Database |
| Foreign direct investment | Fdi | % | EPS Global Statistics Database: China Macro Economy Database |
| Per capita growth domestic product | Pgdp | Ten thousand yuan | State Statistics Bureau, China Rural Statistical Yearbook |
| Industrial structure | Is | % | EPS Global Statistics Database: China Macro Economy Database |
| Development level of finance | Df | % | EPS Global Statistics Database: China Macro Economy Database |
| Urbanization | Urban | % | ACMR: Raw Data Calculation of China Marketing Research Co., Ltd. |
| Resources of human | Rh | % | EPS Global Statistics Database: China Macro Economy Database |
| Structure of market demand | Smd | - | China Price Statistical Yearbook, ACMR: China Marketing Research Co., Ltd. |
| Variable | Observed Value | Mean | Standard Deviation | Minimum | Maximum |
|---|---|---|---|---|---|
| Idta | 510 | 0.220553 | 0.0924765 | 0.0412032 | 0.6589745 |
| ETFP | 510 | 10.42808 | 0.5730714 | 8.704646 | 12.17567 |
| Fe | 510 | 0.1905308 | 0.0699507 | 0.0771547 | 0.382328 |
| Fdi | 510 | 2.40 × 1034 | 5.41 × 1035 | 0.0473156 | 1.22 × 1037 |
| Pgdp | 510 | 10.08818 | 0.8089443 | 7.97074 | 11.76752 |
| Is | 510 | 2.944218 | 1.53733 | 0.0522756 | 6.902618 |
| Df | 510 | 0.6984351 | 0.1249298 | 0.3468718 | 1.057184 |
| Urban | 510 | 46.79403 | 11.06308 | 23.95992 | 79.55037 |
| Rh | 510 | 2.785053 | 1.723822 | 0.426197 | 7.41982 |
| Smd | 510 | 37.9501 | 6.519761 | 12.24 | 55.44647 |
| Year | Moran’s I | Standard Deviation | Z Value | P Value |
|---|---|---|---|---|
| 2001 | 0.494 | 0.141 | 3.743 | 0.000 |
| 2002 | 0.518 | 0.141 | 3.929 | 0.000 |
| 2003 | 0.379 | 0.137 | 3.010 | 0.003 |
| 2004 | 0.343 | 0.138 | 2.727 | 0.006 |
| 2005 | 0.409 | 0.138 | 3.205 | 0.001 |
| 2006 | 0.427 | 0.139 | 3.318 | 0.001 |
| 2007 | 0.439 | 0.138 | 3.418 | 0.001 |
| 2008 | 0.429 | 0.138 | 3.359 | 0.001 |
| 2009 | 0.478 | 0.141 | 3.638 | 0.000 |
| 2010 | 0.478 | 0.141 | 3.638 | 0.000 |
| 2011 | 0.475 | 0.141 | 3.616 | 0.000 |
| 2012 | 0.495 | 0.141 | 3.749 | 0.000 |
| 2013 | 0.462 | 0.141 | 3.520 | 0.000 |
| 2014 | 0.459 | 0.141 | 3.498 | 0.000 |
| 2015 | 0.494 | 0.140 | 3.762 | 0.000 |
| 2016 | 0.156 | 0.104 | 1.833 | 0.067 |
| 2017 | 0.524 | 0.142 | 3.941 | 0.000 |
| Variable | OLS Model 1 OLS | FE Model 2 FE | RE Model 3 RE | Spatial SAR model Model 4 |
|---|---|---|---|---|
| ETFP | 0.0261 *** (5.63) | 0.0082 * (1.91) | 0.0093 ** (2.16) | 0.014 *** (3.50) |
| Fe | 0.2294 *** (5.09) | −0.0266 (−0.40) | 0.1201 ** (2.05) | −0.007 (−0.12) |
| Fdi | −0.0000 (−1.61) | −0.0000 (−0.94) | −0.0000 (−1.05) | −0.0013 (−1.23) |
| Pgdp | −0.0148 *** (−3.37) | −0.0434 *** (−5.63) | −0.0498 *** (−6.76) | −0.008 * (−1.96) |
| Is | 0.0034 (1.14) | 0.0035 (0.77) | 0.0025 (0.61) | 0.011 *** (3.00) |
| Df | 0.1004 *** (4.04) | −0.1020 *** (−3.40) | −0.0647 ** (−2.24) | −0.004 (−0.16) |
| Urban | −0.0020 *** (−5.16) | 0.0005 (1.44) | 0.0000 (0.07) | 0.0010 (0.73) |
| Rh | −0.0126 *** (−6.09) | −0.0102 * (−1.76) | −0.0115 *** (−3.14) | −0.009 ** (−2.14) |
| Smd | 0.0027 *** (4.71) | 0.0001 (0.11) | −0.0001 (−0.17) | 0.002 *** (2.46) |
| Constant | No | 0.6377 *** (6.09) | 0.6767 *** (6.59) | No |
| R2 (R-squared) | 0.924 | No | No | 0.433 |
| P-value | No | No | No | 0.352 *** (6.56) |
| LM test (Lagrange Multiplier test) | No | No | No | 4.6375 ** |
| Observed value | 510 | 510 | 510 | 510 |
| Variable | Eastern Region | Central Region | Western Region |
|---|---|---|---|
| ETFP | 0.0029 ** (2.31) | 0.0003 (1.23) | 0.0003 (1.08) |
| Is | −0.0000 (−0.74) | 0.0001 (1.39) | −0.0020 *** (−7.12) |
| Urban | 0.0001 (1.18) | −0.0002 ** (−2.14) | −0.0028 *** (−4.13) |
| Pgdp | −0.0057 (−1.33) | −0.0020 *** (−5.08) | −0.0005 ** (−2.08) |
| Df | 0.0001 (1.46) | −0.0000 (−0.98) | −0.0001 *** (−3.18) |
| Fdi | −0.0000 (−0.55) | −0.0000 (−0.66) | −0.0000 (−0.81) |
| Rh | −0.0333 *** (−7.12) | 0.0014 (0.29) | −0.0037 (−1.24) |
| Smd | −0.0004 ** (−2.52) | −0.0003 *** (−4.10) | 0.0194 *** (4.13) |
| Fe | 0.0003 * (1.73) | 0.0002 * (1.81) | −0.0000 (−0.87) |
| P-Value | 0.1152 * (1.72) | 0.4340 *** (6.40) | 0.4073 *** (6.86) |
| R2 (R-squared) | 0.336 | 0.468 | 0.687 |
| Observed Value | 187 | 136 | 187 |
| Explanatory Variables | 0−1 Adjacency Weight Matrix | Economic Distance Weight Matrix | Nested Distance Weight Matrix |
|---|---|---|---|
| ETFP | 0.0131 *** (3.25) | 0.013 *** (3.17) | 0.0220 *** (3.38) |
| Is | 0.0100 *** (2.64) | 0.009 ** (2.38) | 0.0172 *** (3.03) |
| Urban | 0.0003 (0.83) | 0.000 (0.63) | 0.0005 (0.85) |
| Pgdp | −0.0076 * (−1.84) | −0.006 (−1.54) | −0.0130 ** (−2.03) |
| Df | −0.0000 (−0.04) | −0.000 (−0.34) | −0.0070 (−0.18) |
| Fdi | −0.0000 (−1.34) | −0.000 (−1.38) | −0.0000 (−1.17) |
| Rh | −0.0101 ** (−2.50) | −0.010 ** (−2.44) | −0.0137 ** (−2.06) |
| Smd | 0.0016 ** (2.50) | 0.001 (1.46) | 0.0025 ** (2.46) |
| Fe | 0.0000 (0.05) | 0.000 (0.13) | −0.0042 (−0.05) |
| P | 0.3612 *** (6.76) | 0.478 *** (7.40) | 0.3515 *** (6.56) |
| R2 | 0.429 | 0.426 | 0.5978 |
| Observed value | 510 | 510 | 510 |
© 2020 by the authors. Licensee MDPI, Basel, Switzerland. This article is an open access article distributed under the terms and conditions of the Creative Commons Attribution (CC BY) license (http://creativecommons.org/licenses/by/4.0/).
Share and Cite
Li, Q.; Wu, X.; Zhang, Y.; Wang, Y. The Effect of Agricultural Environmental Total Factor Productivity on Urban-Rural Income Gap: Integrated View from China. Sustainability 2020, 12, 3327. https://doi.org/10.3390/su12083327
Li Q, Wu X, Zhang Y, Wang Y. The Effect of Agricultural Environmental Total Factor Productivity on Urban-Rural Income Gap: Integrated View from China. Sustainability. 2020; 12(8):3327. https://doi.org/10.3390/su12083327
Chicago/Turabian StyleLi, Qiang, Xiaohang Wu, Yi Zhang, and Yafei Wang. 2020. "The Effect of Agricultural Environmental Total Factor Productivity on Urban-Rural Income Gap: Integrated View from China" Sustainability 12, no. 8: 3327. https://doi.org/10.3390/su12083327
APA StyleLi, Q., Wu, X., Zhang, Y., & Wang, Y. (2020). The Effect of Agricultural Environmental Total Factor Productivity on Urban-Rural Income Gap: Integrated View from China. Sustainability, 12(8), 3327. https://doi.org/10.3390/su12083327
