Analysis of Enterprise Sustainable Crowdsourcing Incentive Mechanism Based on Principal-Agent Model
Abstract
1. Introduction
2. Literature Review
3. Model Formulation
3.1. Enterprise Crowdsourcing Single Motivation Incentive Model
3.2. Enterprise Crowdsourcing Multiple Motivations Incentive Model
4. Simulation and Discussion
4.1. Solver’s Work Quality Impact to Initiator Profit and Incentive Coefficient
4.2. How Does Uncertainty of Enterprise Operation Environment Affect the Incentive Coefficient?
4.3. The Monetary Incentive Plan When Considering Solver’s Effort Cost
5. Conclusions
- (1)
- The solver’s marginal output gain, which can be interpreted as the solver’s work quality, plays a key role in impacting enterprise profit and the incentive coefficient. On the one hand, the higher the work quality from the solver, the more benefits the initiator gets. This conclusion is common sense. On the other hand, the solver’s work quality will also influence the value of the incentive coefficient provided by the initiator. For rational participants, the solvers will determine the work effort and quality when they observe the initiator’s incentive plan, while the initiator will also estimate the expected profit from the crowdsourcing solver’s work effort, then decide the incentive for the solvers. The new findings in this paper provide managerial references for enterprise. From a sustainable crowdsourcing point of view, we recommend that the initiator can probably define a key performance index (KPI) to quantify and monitor the solver’s work quality, so that the QEP and QSP points are calculated, and enterprise can predict the expected profit and provide a proper incentive plan for the solver based on the results in this paper;
- (2)
- The incentive coefficient will be partially impacted by the external uncertainties that solvers are facing during enterprise sustainable crowdsourcing. The solvers will be expected to obtain less incentives when there are more uncertainties, such as uncertainties from enterprise research and development process. This conclusion is a good indication from an enterprise management point of view. In order to maintain a healthy sustainable crowdsourcing process, though the enterprise cannot control the external industry environment, we urge enterprise managers to try to take efforts to reduce the uncertainties of enterprise product research and development processes, such as identifying the purpose of the research, aligning internal sponsors and external material suppliers, stating product specifications, organizing regular meeting to review the schedule and discuss technical issues, etc. In fact, these actions not only benefit sustainable crowdsourcing, but also can strengthen the enterprise’s long term competitive edge;
- (3)
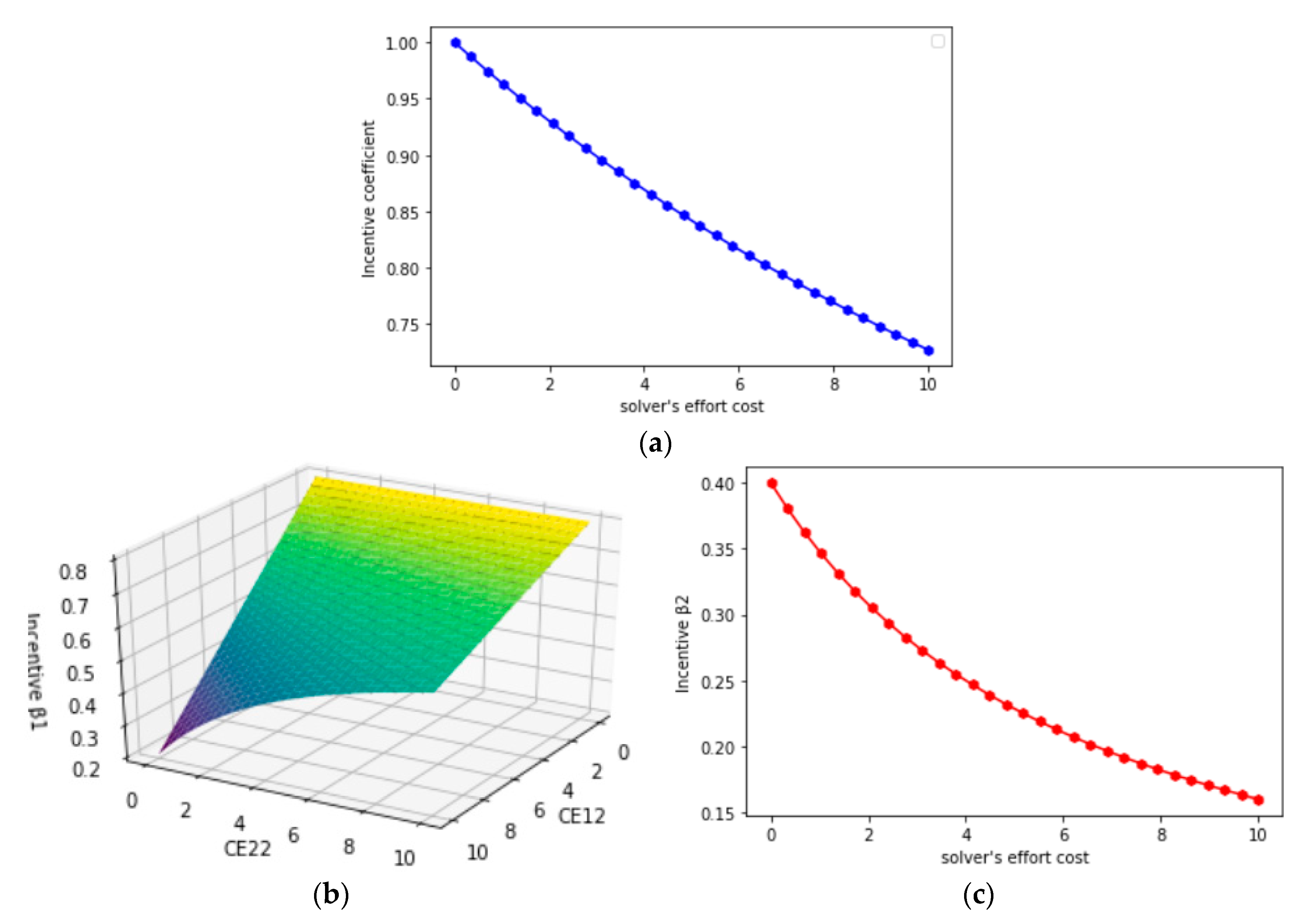
- When participating in different subtasks in sustainable crowdsourcing, no matter whether the solver is driven by single motivation or multiple motivations, the solver’s Effort Cost has a negative impact on the monetary incentive coefficient. The solver’s Effort Cost will influence the incentive plan, and the initiator tends to provide higher monetary incentive offerings to lower Effort Cost solvers. Furthermore, the solver is expected to obtain a higher incentive if the solver has a higher non-monetary incentive changing rate per the solver’s unit effort, which usually means the solver is a quicker learner, or an effective knowledge producer. This conclusion is especially useful for sustainable crowdsourcing in internal processes [31], in which the target crowd will be focused on junior and mid-level employees. Along this line of consideration, in order to reduce the solver’s Effort Cost, we recommend that the initiator to creates a good knowledge learning and sharing atmosphere when carrying out sustainable crowdsourcing processes in enterprise, which will inspire the solvers with multiple motivations to achieve great outputs. From the solver’s point of view, more attention should be paid to non-monetary output, such as gaining new knowledge, developing technical skills, etc. Therefore, the initiator should build a virtuous circle of solvers in enterprise sustainable crowdsourcing.
Author Contributions
Funding
Acknowledgments
Conflicts of Interest
Abbreviations
| PAM | Principal–Agent Model |
| IRC | Individual Rationality Constraint |
| ICC | Incentive Compatibility Constraint |
| EC | Effort Cost |
| OC | Opportunity Cost |
| QEP | Quality Equilibrium Point |
| QSP | Quality Saturation Point |
| KPI | Key Performance Index |
Appendix A
Appendix B
References
- Howe, J. The rise of crowdsourcing. Wired Mag. 2006, 14, 1–4. [Google Scholar]
- Afuah, A.; Tucci, C.L. Crowdsourcing as a solution to distant search. Acad. Manag. Rev. 2012, 37, 355–375. [Google Scholar] [CrossRef]
- Chesbrough, H.W. Business model innovation: Opportunities and barriers. Long Range Plan. 2010, 43, 354–363. [Google Scholar] [CrossRef]
- Henry, C. GE’s Ecomagination Challenge. Calif. Manag. Rev. 2012, 54, 140–154. [Google Scholar]
- Bayus, B. Crowdsourcing new product ideas over time: An analysis of the Dell Ideastorm community. Manag. Sci. 2013, 59, 226–244. [Google Scholar] [CrossRef]
- Anastasiou, D.; Gupta, R. Comparison of Crowdsourcing Translation with Machine Translation. J. Inf. Sci. 2011, 37, 637–659. [Google Scholar] [CrossRef]
- Edgeman, R.; Engell, T.; Jensen, N.G.; Vrtik, M.; Eskildsen, J.; Tambo, T. Structured Crowdsourcing: A B2B Innovation Roadmap. In Proceedings of the European Conference on Innovation Entrepreneurship, Genoa, Italy, 17 September 2015; pp. 165–174. [Google Scholar]
- Kärkkäinen, H.; Jussila, J.; Multasuo, J. Can crowdsourcing really be used in B2B innovation? In Proceedings of the 16th International Academic MindTrek Conference, Tampere, Finland, 3 October 2012; pp. 134–141. [Google Scholar]
- Bernhardt, J.; Helander, N.; Jussila, J.; Kärkkäinen, H. Crowdsourcing in Business-to-Business Markets: A Value Creation and Business Model Perspective. In Encyclopedia of E-Commerce Development, Implementation, and Management; IGI; Global: Macomb, IL, USA, 2016; Volume 66, pp. 933–943. [Google Scholar]
- Zahay, D.; Hajli, N.; Sihi, D. Managerial perspectives on crowdsourcing in the new product development. Ind. Mark. Manag. 2017, 71, 41–53. [Google Scholar] [CrossRef]
- Park, J.; Tran, A.; Hasan, S. Crowd Participation Pattern in the Phases of a Product Development Process that Utilizes Crowdsourcing. Ind. Eng. Manag. Syst. 2012, 11, 266–275. [Google Scholar]
- Pollok, P.; Lüttgens, D.; Piller, F.T. How firms develop capabilities for crowdsourcing to increase open innovation performance: The interplay between organizational roles and knowledge processes. J. Prod. Innov. Manag. 2018, 36, 412–441. [Google Scholar] [CrossRef]
- Poetz, M.K.; Schreier, M. The Value of Crowdsourcing: Can Users Really Compete with Professionals in Generating New Product Ideas? J. Prod. Innov. Manag. 2012, 29, 245–256. [Google Scholar] [CrossRef]
- Qin, S.; Van Der Velde, D.; Chatzakis, E.; McStea, T.; Smith, N. Exploring barriers and opportunities in adopting crowdsourcing based new product development in manufacturing SMEs. Chin. J. Mech. Eng. 2016, 29, 1052–1066. [Google Scholar] [CrossRef]
- Malhotra, A.; Majchrzak, A.; Kesebi, L.; Looram, S. Developing Innovative Solutions Through Internal Crowdsourcin. MIT Sloan Manag. Rev. 2017, 58, 73–79. [Google Scholar]
- Battistella, C.; Nonino, F. Open innovation web-based platforms: The impact of different forms of motivation on collaboration. Innov. Manag. Policy Pract. 2012, 14, 557–575. [Google Scholar] [CrossRef]
- Zhong, X.X.; Deng, Q.Z.; Sun, J.B.; Huang, X.B.; Xiao, X.J. The relationship between Crowdsourcing Fairness and Continued Participation of Solvers. Soft Sci. 2018, 32, 126–129. [Google Scholar]
- Jin, X.L.; Lee, M.K.; Cheung, C.M. Predicting Continuance in Online Communities: Model Development and Empirical Test. Behav. Inf. Technol. 2010, 29, 383–394. [Google Scholar] [CrossRef]
- Sun, Y.Q.; Fang, Y.L.; Lim, K.H. Understanding Sustained Participation in Transactional Virtual Communities. Decis. Support Syst. 2012, 53, 12–22. [Google Scholar] [CrossRef]
- Zheng, H.C.; Li, D.H.; Hou, W.H. Task Design, Motivation, and Participation in Crowdsourcing Contests. Int. J. Electron. Commer. 2011, 15, 57–88. [Google Scholar] [CrossRef]
- Feller, J.; Finnegan, P.; Hayes, J.; O’Reilly, P. ‘Orchestrating’ sustainable crowdsourcing: A characterisation of solver brokerages. J. Strateg. Inf. Syst. 2012, 21, 216–232. [Google Scholar] [CrossRef]
- Huang, Y.C. Research crowdsourcing innovative platform operation mechanism and sustainable development suggestion. Sci. Technol. Manag. Res. 2017, 23, 125–129. [Google Scholar]
- Acar, O.A. Motivations and solution appropriateness in crowdsourcing challenges for Innovation. Res. Policy 2018, 48, 103716. [Google Scholar] [CrossRef]
- Boudreau, K.J.; Lakhani, K.R. How to manage outside innovation. MIT Sloan Manag. Rev. 2009, 50, 69–76. [Google Scholar]
- Albors, J.; Ramos, J.C.; Hervas, J.L. New learning network paradigms: Communities of objectives, crowdsourcing, wikis and open source. Int. J. Inf. Manag. 2008, 28, 194–202. [Google Scholar] [CrossRef]
- Ebner, W.; Leimeister, J.M.; Krcmar, H. Community engineering for innovations: The ideas competition as a method to nurture a virtual community for innovations. R D Manag. 2009, 39, 342–356. [Google Scholar] [CrossRef]
- Horton, J.J.; Chilton, L.B. The labor economics of paid crowdsourcing. In Proceedings of the 11th ACM Conference on Electronic Commerce; Harvard University: Cambridge, MA, USA, 2010; pp. 209–218. [Google Scholar]
- Tausczik, Y.; Pennebaker, J.W. Participation in an online mathematics community: Differentiating motivations to add. In Proceedings of the CSCW’12 ACM 2012 Conference on Computer Supported Cooperative Work, Seattle, WA, USA, 11–15 February 2012; pp. 207–216. [Google Scholar]
- Schroer, J.; Hertel, G. Voluntary engagement in an open web -based encyclopedia: Wikipedians, and why they do it. Media Psychol. 2009, 12, 96–120. [Google Scholar] [CrossRef]
- Vallerand, R.J. Toward a hierarchical model of intrinsic and extrinsic motivation. Adv. Exp. Soc. Psychol. 1997, 29, 271–360. [Google Scholar]
- Vop, G.; Rieder, K. Under paid innovators: The commercial utilization of consumer work through crowdsourcing. Sci. Technol. Innov. Stud. 2008, 4, 5–26. [Google Scholar]
- Hossain, M. Users’ motivation to participate in online crowdsourcing platforms. In International Conference on Innovation, Management and Technology Research; IEEE: Malacca, Malaysia, 2012; Volume 5, pp. 310–315. [Google Scholar]
- Organisciak, P. Why Bother Examining the Motivations of Users in Large-Scale Crowd-Powered Online Initiatives; University of Alberta: Edmonton, AB, Canada, 2010. [Google Scholar]
- Liu, T.X.; Yang, J.; Lada, A. Crowdsourcing with all-pay auctions: A field experiment on task. Manag. Sci. 2014, 60, 2020–2037. [Google Scholar] [CrossRef]
- Han, Q.C. Study on Influence Mechanism of Participation Intention in Crowdsourcing for Innovation—An Analytic Framework Based on the Theory of Planned Behavior. Soft Sci. 2018, 32, 51–54, 76. [Google Scholar]
- Boudreau, K.J.; Lacetera, N.; Lakhani, K.R. The Effects of Increasing Competition and Uncertainty on Incentives and Extreme-Value Outcomes in Innovation Contests. SSRN Electron. J. 2010. [Google Scholar] [CrossRef]
- DiBona, C.; Stone, M.; Cooper, D. Open Sources 2.0: The Continuing Evolution; O’Reilly Press: Sebastopol, CA, USA, 2005; pp. 59–70. [Google Scholar]
- Zhong, Q.Y.; Wang, Y.J.; Qiu, J.N. Empirical Research on Users’ Continuance Participation Behavior in Crowdsourcing Community. J. Dalian Univ. Technol. 2011, 3, 1–6. [Google Scholar]
- Ye, W.W.; Zhu, L. Study on the characteristics and achieving pathes for crowdsourcing innovation. Stud. Sci. Sci. 2012, 30, 145–151. [Google Scholar]
- Ipeirotis, P.G. Analyzing the Amazon Mechanical Turk marketplace. XRDS: Crossroads. ACM Mag. Stud. 2010, 17, 16–21. [Google Scholar]
- Zhao, Y.; Zhu, Q. Evaluation on crowdsourcing research: Current status and future direction. Inf. Syst. Front. 2014, 16, 417–434. [Google Scholar] [CrossRef]
- Lu, X.Y.; Wang, K.T.; Hu, J.S.; Chen, Y. A Fuzzy-Dematel-based Analysis of the Factors that Influence Users’Participation Behaviors under the Crowdsourcing Model. Manag. Rev. 2017, 29, 101–109. [Google Scholar]
- Huang, J.P.; Cao, A.Q. Behavioral Motivation and Incentive Mechanism of the Public Participation in Knowledge Crowdsourcing. J. Beijing Inst. Technol. 2018, 20, 88–96. [Google Scholar]
- Liu, M.; Hao, L.N. Evolutionary Game Analysis of Various Participants in Crowdsourcing Competition. J. Tech. Econ. Manag. 2018, 4, 12–16. [Google Scholar]
- Kim, D.; Ko, J.; Park, Y. Factors Affecting Electric Vehicle Sharing Program Participants’ Attitude about Car Ownership and Program Participation. Transp. Res. Part D Transp. Environ. 2015, 36, 96–106. [Google Scholar] [CrossRef]
- Chen, X.H.; Yu, Z.M.; Li, J.L. Outsourcing contract for pollution abatement service with risk preference consideration. Control Decis. 2019, 34, 2690–2697. [Google Scholar]
- Deci, E.L.; Ryan, R.M. The “what” and “why” of goal pursuits: Human needs and the self-determination of behavior. Psychol. Inq. 2000, 11, 227–268. [Google Scholar] [CrossRef]
- Liang, H.G.; Wang, M.M.; Wang, J.J.; Xue, Y.J. How Intrinsic Motivation and Extrinsic Incentives Affect Task Effort in Crowdsourcing Contests: A Mediated Moderation Model. Comput. Hum. Behav. 2017, 81, 168–176. [Google Scholar] [CrossRef]
- Saijo, T. Incentive compatibility and individual rationality in public good economies. J. Econ. Theory 1991, 55, 203–212. [Google Scholar] [CrossRef]
- Holmström, B. Managerial Incentive Problems: A Dynamic Perspective. Rev. Econ. Stud. 1999, 66, 169–182. [Google Scholar]
- Rabin, M. Risk Aversion and Expected-Utility Theory: A Calibration Theorem Handbook of the Fundamentals of Financial Decision Making: Part I; New York University: New York, NY, USA, 2013; pp. 241–252. [Google Scholar]
- Liao, Z.; Zeng, Z.; Zhang, Y.; Fan, X. A Data-Driven Game Theoretic Strategy for Developers in Software Crowdsourcing: A Case Study. Appl. Sci. 2019, 9, 721. [Google Scholar] [CrossRef]
- Salaman, G.; Storey, J. Managers’ theories about the process of innovation. J. Manag. Stud. 2002, 39, 147–165. [Google Scholar] [CrossRef]
- Agafonovas, A. Value creation in innovations crowdsourcing example of creative agencies. Organ. Mark. Emerg. Econ. 2013, 4, 72–103. [Google Scholar] [CrossRef]
- Sharma, A. Crowdsourcing Critical Success Factor Model Strategies to Harness the Collective Intelligence of the Crowd, 2010; Unpublished Working Paper.
- Koh, S.C.L.; Saad, S.M. Development of a business model for diagnosing uncertainty in ERP environments. Int. J. Prod. Res. 2002, 40, 3015–3039. [Google Scholar] [CrossRef]
- Koh, S.C.L.; Gunasekaran, A.; Saad, S.M. A business model for uncertainty management. Benchmark. Int. J. 2005, 12, 383–400. [Google Scholar] [CrossRef]
- Daft, R.L.; Lengel, R.H. Organizational information requirements, media richness and structural design. Manag. Sci. 1986, 32, 554–571. [Google Scholar] [CrossRef]
- Li, J.Z.; Liu, C.L.; Zeng, X.Y.; Zhang, N. Optimization and Coordination of Crowdsourcing Supply Chain in Fast Fashion Industry. Math. Probl. Eng. 2018, 1–16. [Google Scholar] [CrossRef]
- Wang, G.; Yu, L. The Game Equilibrium of Scientific Crowdsourcing Solvers Based on the Hotelling Model. J. Open Innov. Technol. Mark. Complex. 2019, 5, 89. [Google Scholar] [CrossRef]
- Zynga, A.; Diener, K.; Ihl, C.; Lüttgens, D.; Piller, F.; Scherb, B. Making Open Innovation Stick: A Study of Open Innovation Implementation in 756 Global Organizations. Res. Technol. Manag. 2018, 61, 16–25. [Google Scholar] [CrossRef]
- Boudreau, K.J.; Lacetera, N.; Lakhani, K.R. Incentives and problem uncertainty in innovation contests: An empirical analysis. Manag. Sci. 2011, 57, 843–863. [Google Scholar] [CrossRef]
- Pang, L.S.; Li, G.Q.; Yao, X.C.; Lai, Y. An Incentive Mechanism Based on a Bayesian Game for Spatial Crowdsourcing. IEEE Access 2019, 7, 14340–14352. [Google Scholar] [CrossRef]
- Li, W.; Zhang, C.; Liu, Z.; Tanaka, Y. Incentive mechanism design for crowdsourcing-based indoor localization. IEEE Access 2018, 6, 54042–54051. [Google Scholar] [CrossRef]
- Cost, J.C. Applications of Principal-Agent Models to Government Contracting and Accountability Decision Making. Int. J. Public Adm. 2002, 25, 441–461. [Google Scholar]
- Miller, G.J. The Political Evolution of Principal-Agent Models. Annu. Rev. Political Sci. 2005, 8, 203–225. [Google Scholar] [CrossRef]
- Waterman, R.W.; Meier, K.J. Principal-Agent Models: An Expansion? J. Public Adm. Res. Theory 1998, 8, 173–202. [Google Scholar] [CrossRef]
- Feng, X.L.; Wu, J.Y.; Wang, D.W. On Crowdsourcing Mode and Its Bonus Strategy. J. Guangdong Univ. Financ. Econ. 2018, 159, 15–26. [Google Scholar]
- Kohler, T. Crowdsourcing-Based Business Models: How to Create and Capture Value. Calif. Manag. Rev. 2015, 57, 64–83. [Google Scholar] [CrossRef]



| NPD Phases | Crowdsourcing Characteristics | Solvers | Typical Subtasks |
|---|---|---|---|
| FFE | Mainly from enterprise internal users The target is to identify opportunities and concepts | Employees | Strategy planning, research, idea generation, idea evaluation, business analysis |
| Development | Inputs are mainly from partners or key clients The target is to develop a prototype | Partners, key clients | Prototype design, engineering, technical evaluation, prototype testing |
| Commercialization | Feedback is collected from a wide range of clients The target is to promote the production line, improve product quality and reduce cost | Wide range of clients | Production, commercialization |
| Motivation Type | Motivation Category | Typical Cases |
|---|---|---|
| Intrinsic | Obtaining social recognition and reputation | Thingivers, Wikipedia, SAP Community Network |
| Learning new knowledge and skill | Wikipedia, Google Translate platform | |
| Gaining joy, fun and attention | Dell IdeaStorm, Threadless, MI Community, LEGO Cuusoo platform | |
| Extrinsic | Monetary and financial rewards | Innocentive, MTurk, Threadless, Youtube, Flickr, CrowdANALYTIX, Planbox, Taskcn |
| Parameter | Description |
|---|---|
| β | Solver’s incentive coefficient |
| λ | Solver’s total output gain |
| µ | Solver’s marginal output gain, reflecting solver’s work quality |
| e | Solver’s effort level |
| δ | Exogenous random variables to solver, reflecting enterprise operation environment |
| σ2 | Uncertainty of exogenous random variables to solver |
| ε | Solver’s degree of risk aversion |
| t | Solver’s Effort Cost coefficient |
| M(λ) | Initiator’s payment to solver |
| Ein | Initiator’s expected income |
| Es | Solver’s certainty equivalence income |
| CE | Solver’s Effort Cost |
| CR | Solver’s risk cost |
| Co | Solver’s Opportunity Cost |
| Parameter | Description |
|---|---|
| β | Solver’s incentive coefficient vector provided by initiator, including extrinsic (β1) and intrinsic (β2). |
| G(e1,e2) | Solver’s output by two efforts |
| e(e1,e2) | Solver’s effort level |
| δ | Exogenous random variables to solver, reflecting enterprise operation environment |
| σ2 | Uncertainty of exogenous random variables in enterprise to solver |
| ε | Solver’s degree of risk aversion |
| Z | Observable information vector for solver’s effort |
| M(e1,e2) | Initiator’s payment to solver |
| Ein(e1,e2) | Initiator’s expected income |
| Es(e1,e2) | Solver’s certainty equivalence income |
| CE(e1,e2) | Solver’s Effort Cost |
| Co | Solver’s Opportunity Cost |
| Parameter | Description | Value |
|---|---|---|
| σ2 | Uncertainty of exogenous random variables to solver | 0.5 |
| ε | Solver’s degree of risk aversion | 0.3 |
| t | Solver’s Effort Cost coefficient | 0.8 |
| Co | Solver’s Opportunity Cost | 10 |
| Parameter | Description | Value |
|---|---|---|
| µ | Solver’s marginal output gain, reflecting solver’s work quality | 2 |
| ε | Solver’s degree of risk aversion | 0.3 |
| t | Solver’s Effort Cost coefficient | 0.8 |
| G1 | Marginal output gain by monetary incentive | 0.8 |
| G2 | Marginal output gain by non-monetary incentive | 0.4 |
| CE12 | Monetary incentive change per solver’s non-monetary unit effort | 0.5 |
| CE22 | Non-monetary incentive change per solver’s non-monetary unit effort | 0.5 |
| Parameter | Description | Value |
|---|---|---|
| µ | Solver’s marginal output gain, reflecting solver’s work quality | 2 |
| ε | Solver’s degree of risk aversion | 0.3 |
| σ2 | Uncertainty of exogenous random variables in enterprise | 0.5 |
| Co | Solver’s Opportunity Cost | 10 |
| G1 | Marginal output gain by monetary incentive | 0.8 |
| G2 | Marginal output gain by non-monetary incentive | 0.4 |
© 2020 by the authors. Licensee MDPI, Basel, Switzerland. This article is an open access article distributed under the terms and conditions of the Creative Commons Attribution (CC BY) license (http://creativecommons.org/licenses/by/4.0/).
Share and Cite
Wang, G.; Yu, L. Analysis of Enterprise Sustainable Crowdsourcing Incentive Mechanism Based on Principal-Agent Model. Sustainability 2020, 12, 3238. https://doi.org/10.3390/su12083238
Wang G, Yu L. Analysis of Enterprise Sustainable Crowdsourcing Incentive Mechanism Based on Principal-Agent Model. Sustainability. 2020; 12(8):3238. https://doi.org/10.3390/su12083238
Chicago/Turabian StyleWang, Guohao, and Liying Yu. 2020. "Analysis of Enterprise Sustainable Crowdsourcing Incentive Mechanism Based on Principal-Agent Model" Sustainability 12, no. 8: 3238. https://doi.org/10.3390/su12083238
APA StyleWang, G., & Yu, L. (2020). Analysis of Enterprise Sustainable Crowdsourcing Incentive Mechanism Based on Principal-Agent Model. Sustainability, 12(8), 3238. https://doi.org/10.3390/su12083238

