Pricing Policies in a Retailer Stackelberg O2O Green Supply Chain
Abstract
1. Introduction
2. Model Formulation
3. Model Solution
3.1. Centralized Setting
- (1)
- ,
- (2)
- ,
- (3)
- , and
- (4)
- ,.
- (5)
- . (Appendix C).
3.2. Decentralized Setting
- (1)
- ,
- (2)
- ,
- (3)
- , and
- (4)
- ,. (Appendix G).
3.3. Channel Coordination
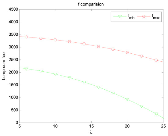
4. Numerical Experiments
5. Implication
6. Conclusions
Author Contributions
Funding
Acknowledgments
Conflicts of Interest
Appendix A
Appendix B
- , and
Appendix C
Appendix D
Appendix E
Appendix F
Appendix G
- (1).
- .
- (2).
- .
- (3).
- .
- (4).
- , .
Appendix H
References
- Rao, P.; Holt, D. Do green supply chains lead to competitiveness and economic performance? Int. J. Oper. Prod. Manag. 2005, 25, 898–916. [Google Scholar] [CrossRef]
- Fahimnia, B.; Sarkis, J.; Davarzani, H. Green supply chain management: A review and bibliometric analysis. Int. J. Prod. Econ. 2015, 162, 101–114. [Google Scholar] [CrossRef]
- Jayaram, J.; Avittathur, B. Green supply chains: A perspective from an emerging economy. Int. J. Prod. Econ. 2015, 164, 234–244. [Google Scholar] [CrossRef]
- Gunasekaran, A.; Subramanian, N.; Rahman, S. Green supply chain collaboration and incentives: Current trends and future directions. Transp. Res. Part E 2015, 74, 1–10. [Google Scholar] [CrossRef]
- Agi, M.A.; Hazır, Ö. Game theory-based research in green supply chain management: A review. IFAC-PapersOnLine 2019, 52, 2267–2272. [Google Scholar] [CrossRef]
- Chen, Y.J.; Shed, J.-B. Environmental-regulation pricing strategies for green supply chain management. Transp. Res. Part E Logist. Transp. Rev. 2009, 45, 667–677. [Google Scholar] [CrossRef]
- Sheu, J.B. Bargaining framework for competitive green supply chains under governmental financial intervention. Transp. Res. Part E Logist. Transp. Rev. 2011, 47, 573–592. [Google Scholar] [CrossRef]
- Shed, J.-B.; Chen, Y.J. Impact of government financial intervention on competition among green supply chains. Int. J. Prod. Econ. 2012, 138, 201–213. [Google Scholar]
- Zhu, W.; He, Y. Green product design in supply chains under competition. Eur. J. Oper. Res. 2017, 258, 165–180. [Google Scholar] [CrossRef]
- Swami, S.; Shah, J. Channel coordination in green supply chain management. J. Oper. Res. Soc. 2013, 64, 336–351. [Google Scholar] [CrossRef]
- Ghosh, D.; Shah, J. A comparative analysis of greening policies across supply chain structures. Int. J. Prod. Econ. 2012, 135, 568–583. [Google Scholar] [CrossRef]
- Ghosh, D.; Shah, J. Supply chain analysis under green sensitive consumer demand and cost sharing contract. Int. J. Prod. Econ. 2015, 164, 319–329. [Google Scholar] [CrossRef]
- Xiao, Y.; Yang, S.; Zhang, L.; Kuo, Y.-H. Supply chain cooperation with price-sensitive demand and environmental impacts. Sustainability 2016, 8, 716. [Google Scholar] [CrossRef]
- Wei, J.; Wang, W.; Tsai, S.-B.; Yang, X. To cooperate or not? An analysis of complementary product pricing in green supply chain. Sustainability 2018, 10, 1392. [Google Scholar] [CrossRef]
- Agi, M.A.; Yan, X. Greening products in a supply chain under market segmentation and different channel power structures. Int. J. Prod. Econ. 2019. [Google Scholar] [CrossRef]
- Chen, X.; Luo, Z.; Wang, X. Impact of efficiency, investment, and competition on low carbon manufacturing. J. Clean. Prod. 2017, 143, 388–400. [Google Scholar] [CrossRef]
- Cohen, M.C.; Lobel, R.; Perakis, G. The impact of demand uncertainty on consumer subsidies for green technology adoption. Manag. Sci. 2016, 62, 1235–1258. [Google Scholar] [CrossRef]
- Chen, S.; Wang, X.; Wu, Y.; Zhou, F. Pricing policies of a dual-channel supply chain considering channel environmental sustainability. Sustainability 2017, 9, 382. [Google Scholar] [CrossRef]
- Chen, J.; Wu, D.; Li, P. Research on the pricing model of the dual-channel reverse supply chain considering logistics costs and consumers’ awareness of sustainability based on regional differences. Sustainability 2018, 10, 2229. [Google Scholar] [CrossRef]
- Ma, W.; Cheng, Z.; Xu, S. A game theoretic approach for improving environmental and economic performance in a dual-channel green supply chain. Sustainability 2018, 10, 1918. [Google Scholar] [CrossRef]
- Qi, Q.; Wang, J.; Xu, J. A dual-channel supply chain coordination under carbon cap-and-trade regulation. Int. J. Environ. Res. Public Health 2018, 15, 1316. [Google Scholar] [CrossRef] [PubMed]
- Li, B.; Zhu, M.; Jiang, Y.; Li, Z. Pricing policies of a competitive dual-channel green supply chain. J. Clean. Prod. 2016, 112, 2029–2042. [Google Scholar] [CrossRef]
- Li, B.; Chen, W.; Xu, C.; Hou, P. Impacts of government subsidies for environmental-friendly products in a dual-channel supply chain. J. Clean. Prod. 2018, 171, 1558–1576. [Google Scholar] [CrossRef]
- Basiri, Z.; Heydari, J. A mathematical model for green supply chain coordination with substitutable products. J. Clean. Prod. 2017, 145, 232–249. [Google Scholar] [CrossRef]
- Ranjan, A.; Jha, J. Pricing and coordination strategies of a dual-channel supply chain considering green quality and sales effort. J. Clean. Prod. 2019, 218, 409–424. [Google Scholar] [CrossRef]
- Heydari, J.; Govindan, K.; Aslani, A. Pricing and greening decisions in a three-tier dual channel supply chain. Int. J. Prod. Econ. 2018, 217, 185–196. [Google Scholar] [CrossRef]
- Tsay, A.A.; Agrawal, N. Channel dynamics under price and service com-petition. Manuf. Serv. Oper. Manag. 2000, 2, 372–391. [Google Scholar] [CrossRef]
- Tsay, A.; Agrawal, N. Channel conflict and coordination in the e-commerce age. Prod. Oper. Manag. 2004, 13, 93–110. [Google Scholar] [CrossRef]
- Tsay, A.; Agrawal, N. Modeling conflict and coordination in multi-channel distribution systems: A Review. In Handbook of Quantitative Supply Chain Analysis; Springer: Berlin/Heidelberg, Germany, 2004; pp. 557–606. [Google Scholar]
- Dan, B.; Xu, G.; Liu, C. Pricing policies in a dual-channel supply chain with retail services. Int. J. Prod. Econ. 2012, 139, 312–320. [Google Scholar] [CrossRef]
- Huang, S.; Yang, C.; Zhang, X. Pricing and production decisions in dual-channel supply chains with demand disruptions. Comput. Ind. Eng. 2012, 62, 70–83. [Google Scholar] [CrossRef]
- Lu, Q.; Liu, N. Effects of e-commerce channel entry in a two-echelon supply chain: A comparative analysis of single- and dual-channel distribution systems. Int. J. Prod. Econ. 2015, 165, 100–111. [Google Scholar] [CrossRef]
- Jian, X.; Bin, D. Service cooperation pricing strategy between manufacturers and retailers in dual-channel supply chain. Syst. Eng. Theory Pract. 2010, 30, 2203–2211. [Google Scholar]
- Xumei, Z. A compensation strategy for coordinating dual-channel supply chains in e-commerce. Ind. Eng. Eng. Manag. 2012, 26, 1. [Google Scholar]
- Zhao, F.; Wu, D.; Liang, L.; Dolgui, A. Lateral inventory transshipment problem in online-to-offline supply chain. Int. J. Prod. Res. 2016, 54, 1951–1963. [Google Scholar] [CrossRef]
- Yu, D.Z.; Cheong, T.; Sun, D. Impact of supply chain power and drop-shipping on a manufacturer’s optimal distribution channel strategy. Eur. J. Oper. Res. 2017, 259, 554–563. [Google Scholar] [CrossRef]
- Ji, J.; Zhang, Z.; Yang, L. Comparisons of initial carbon allowance allocation rules in an O2O retail supply chain with the cap-and-trade regulation. Int. J. Prod. Econ. 2017, 187, 68–84. [Google Scholar] [CrossRef]
- He, Y.; Zhang, J.; Gou, Q.; Bi, G. Supply chain decisions with reference quality effect under the O2O environment. Ann. Oper. Res. 2018, 268, 273–292. [Google Scholar] [CrossRef]






| Model Parameters | |
|---|---|
| Demands in the offline channel. | |
| Demands in the online channel. | |
| Potential market size. | |
| Customer loyalty to the offline channel. | |
| Self-price demand elasticity. | |
| The cross-price elasticity. | |
| Product green degree. | |
| Expansion effectiveness coefficients in the offline channel. | |
| Expansion effectiveness coefficients in the online channel. | |
| The per-unit manufacturing cost. | |
| Offline channel price. | |
| Online channel price. | |
| Wholesale price. | |
| Service compensation of the offline channel. | |
| Logistics cost of delivery service without touch. | |
| Proportion of self-delivery service without touch. | |
| Marginal profit. | |
| The cost coefficient of the manufacturer’s green degree. | |
| Manufacturer’s profit. | |
| Retailer’s profit. | |
| The total profit of the system. |
| Parameter | ||||||||||
|---|---|---|---|---|---|---|---|---|---|---|
| Data |
© 2020 by the authors. Licensee MDPI, Basel, Switzerland. This article is an open access article distributed under the terms and conditions of the Creative Commons Attribution (CC BY) license (http://creativecommons.org/licenses/by/4.0/).
Share and Cite
Wan, G.; Kou, G.; Li, T.; Xiao, F.; Chen, Y. Pricing Policies in a Retailer Stackelberg O2O Green Supply Chain. Sustainability 2020, 12, 3236. https://doi.org/10.3390/su12083236
Wan G, Kou G, Li T, Xiao F, Chen Y. Pricing Policies in a Retailer Stackelberg O2O Green Supply Chain. Sustainability. 2020; 12(8):3236. https://doi.org/10.3390/su12083236
Chicago/Turabian StyleWan, Gan, Gang Kou, Tie Li, Feng Xiao, and Yang Chen. 2020. "Pricing Policies in a Retailer Stackelberg O2O Green Supply Chain" Sustainability 12, no. 8: 3236. https://doi.org/10.3390/su12083236
APA StyleWan, G., Kou, G., Li, T., Xiao, F., & Chen, Y. (2020). Pricing Policies in a Retailer Stackelberg O2O Green Supply Chain. Sustainability, 12(8), 3236. https://doi.org/10.3390/su12083236

