Relevance of Skills in Total Quality Management in Engineering Studies as a Tool for Performing Their Jobs
Abstract
1. Introduction
2. Theoretical Background
3. Research Methodology
3.1. Sample
3.2. Method
4. Results and Discussion
4.1. Importance of Training, Learning, and Knowledge for Total Quality Management (TQM)
4.1.1. Importance of Training and Knowledge of TQM Per Business Sector
4.1.2. Training Actions and TQM Knowledge Regarding Employment
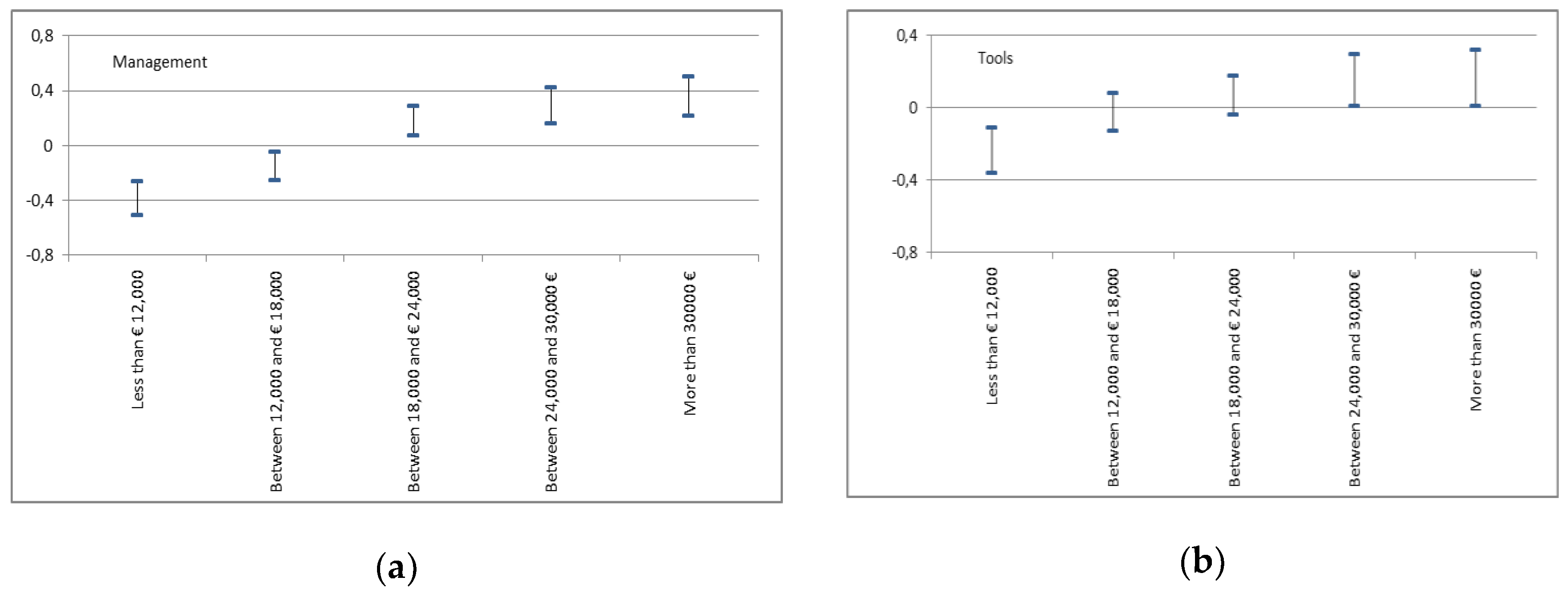
4.1.3. Importance of Training and Knowledge of TQM Based on Salary
4.1.4. TQM Knowledge Required According to the Number of Supervised Workers
4.1.5. Predominant Professional Profile as Regards TQM Training and Knowledge
4.1.6. Relationship Between TQM Training Actions and Different Areas of Knowledge
5. Conclusions
Author Contributions
Funding
Conflicts of Interest
References
- Becker, G. Human Capital: A Theoretical and Empirical Analysis, with Special Reference to Education, 2nd ed.; National Bureau of Economic Research: New York, NY, USA, 1991. [Google Scholar]
- Kanji, G.K.; Malek, A.; Tambi, B.A. Total quality management in UK higher education institutions. Total Q. Manag. 1999, 10, 129–153. [Google Scholar] [CrossRef]
- Allen, J.; Ramaekers, G.; van der Velden, R. La Medición de las Competencias de los Titulados Superiores. In Métodos de AnáLisis de la Inserción Laboral de los Universitarios Consejo de Coordinación Universitaria; Vidal, J., Ed.; Ministerio de Educación, Cultura y Deporte: Madrid, España, 2003. [Google Scholar]
- Heijke, H.; Meng, C.; Ramaekers, G. An investigation into the role of human capital competences and their pay-off. Int. J. Manpow. 2003, 24, 750–773. [Google Scholar] [CrossRef][Green Version]
- Jiménez Aguilera, J.D.; Sánchez Campillo, J.; Montero Granados, R. Educación Superior y Empleo: La Situación de los Jóvenes Titulados en Europa. La Encuesta CHEERS; Universidad de Granada: Granada, Spain, 2003. [Google Scholar]
- Tejada Artigas, C.M.; Tobón Tobón, S.; Martínez Comeche, J.A.; Mendo Carmona, C.; Moreiro González, J.A.; Ramos Simón, L.F. El Diseño del Plan Docente en Información y Documentación Acorde con el Espacio Europeo de Educación Superior: Un Enfoque por Competencias; Facultad de Ciencias de la Documentación, Universidad Complutense de Madrid: Madrid, Spain, 2006. [Google Scholar]
- Jaca, C.; Psomas, E. Total quality management practices and performance outcomes in Spanish service companies. Total Q. Manag. Bus. Excell. 2015, 26, 958–970. [Google Scholar] [CrossRef]
- Chen, R.; Lee, Y.; Wang, C. Total quality management and sustainable competitive advantage: Serial mediation of transformational leadership and executive ability. Total Q. Manag. Bus. Excell. 2018, 1–18. [Google Scholar] [CrossRef]
- Hartog, J. Capabilities, Allocation and Earnings; Kluwer: Boston, MA, USA, 1992. [Google Scholar]
- Weil, S. Re-Creating Universities for ‘Beyond the Stable State’: From ‘Dearingesque’ Systematic Control to Post-Dearing Systematic Learning and Inquiry. Syst. Res. Behav. Sci. 1999, 16, 171–190. [Google Scholar] [CrossRef]
- Sleezer, C.M.; Gularte, M.A.; Waldner, L.; Cook, J. Business and Higher Education Partner to Develop a High-skilled Workforce: A Case-Study. Perform. Improv. Q. 2004, 17, 65–82. [Google Scholar] [CrossRef]
- Possa, G. Europe’s Universities Response to Europe’s Challenges. High. Educ. Eur. 2006, 31, 355–357. [Google Scholar] [CrossRef]
- Andrews, J.; Higson, H. Graduate Employability, ‘Soft Skills’ Versus ‘Hard’ Business Knowledge: A European Study. High. Educ. Eur. 2008, 33, 411–422. [Google Scholar] [CrossRef]
- King, Z. New or Traditional Careers? A Study of UK Graduates’ Preferences. Hum. Resour. Manag. 2003, 13, 5–27. [Google Scholar] [CrossRef]
- Yunus, K.; Li, S. Matching Job Skills with Needs. Business Times, 1 October 2005. [Google Scholar]
- Yusof, S.R.M.; Aspinwall, E. Total quality management implementation frameworks: Comparison and review. Total Q. Manag. 2000, 11, 281–294. [Google Scholar] [CrossRef]
- Dean, J.W., Jr.; Bowen, D.E. Management theory and total quality: Improving research and practice through theory development. Acad. Manag. Rev. 1994, 19, 392–418. [Google Scholar]
- Hellsten, U.; Klefsj€o, B. TQM as a management system consisting of values, techniques and tools. Total Q. Manag. Mag. 2000, 12, 238–244. [Google Scholar] [CrossRef]
- Siva, V.; Gremyr, I.; Bergquist, B.; Garvare, R.; Zobel, T.; Isaksson, R. The support of Quality Management to sustainable development: A literature review. J. Clean. Prod. 2016, 138, 148–157. [Google Scholar] [CrossRef]
- Sallis, E. Total Quality Management in Education; Routledge: London, UK, 1996. [Google Scholar]
- Berry, T.H. Managing the Total Quality Transformation; McGraw-Hill: New York, NY, USA, 1991. [Google Scholar]
- Curry, A.; Kadasah, N. Focusing on key elements of TQM—evaluation for sustainability. TQM Mag. 2002, 14, 207–216. [Google Scholar] [CrossRef]
- Demirbag, M.; Tatoglu, E.; Tekinkus, M.; Zaim, S. An analysis of the relationship between TQM implementation and organizational performance: Evidence from Turkish SMEs. J. Manuf. Technol. Manag. 2006, 17, 829–847. [Google Scholar] [CrossRef]
- Powell, C. Total quality management as competitive advantage: A review and empirical Study. Strateg. Manag. J. 1995, 16, 15–37. [Google Scholar] [CrossRef]
- Hackman, R.J.; Wageman, R. Total quality management: Empirical, conceptual and practical issues. Adm. Sci. Q. 1995, 40, 309–342. [Google Scholar]
- Douglas, T.J.; Judge, W.Q. Total quality management implementation and competitive advantage: The role of structural control and exploration. Acad. Manag. J. 2001, 44, 158–169. [Google Scholar]
- Singh, P.J.; Smith, A.J.R. Relationship between TQM and innovation: An empirical Study. J. Manuf. Technol. Manag. 2004, 15, 394–401. [Google Scholar] [CrossRef]
- Asif, M.; Searcy, C.; Garvare, R.; Ahmad, N. Including sustainability in business excellence models. Total Q. Manag. 2011, 22, 773–786. [Google Scholar] [CrossRef]
- Rocha-Lona, L.; Garza-Reyes, J.; Kumar, V. Corporate Sustainability and Business Excellence. In Proceedings of the International Conference on Industrial Engineering Operations Management (IEOM), Dubai, UAE, 3–5 March 2015. [Google Scholar] [CrossRef]
- Zink, K.J. From total quality management to corporate sustainability based on a stakeholder management. J. Manag. Hist. 2007, 13, 394–401. [Google Scholar] [CrossRef]
- Isaksson, R. Total Quality Management for Sustainable Development e Focus on Processes. Ph.D. Thesis, Luleå University of Technology, Lulea, Sweden, 2004. [Google Scholar]
- Lagrosen, Y.; Lagrosen, S. Creating a culture for sustainability and quality—A lean-inspired way of working. Total Q. Manag. Bus. Excell. 2019. [Google Scholar] [CrossRef]
- Motwani, J. Critical factors and performance measures of TQM. TQM Mag. 2001, 13, 292–300. [Google Scholar] [CrossRef]
- Rahman, S. A comparative study of TQM practice and organisational performance of SMEs with and without ISO 9000 certification. Int. J. Q. Reliab. J. 2001, 18, 35–49. [Google Scholar] [CrossRef]
- Petroni, A. Critical factors of MRP implementation in small and medium-sized firms. Int. J. Oper. Prod. Manag. 2002, 22, 329–348. [Google Scholar] [CrossRef]
- Seth, D.; Tripathi, D. Relationship between TQM and TPM implementation factors and business performance of manufacturing industry in an Indian context. Int. J. Q. Reliab. Manag. 2005, 22, 256–277. [Google Scholar] [CrossRef]
- Brah, S.; Lim, H. The effects of technology and TQM on the performance of logistics Companies. Int. J. Phys. Distrib. Logist. Manag. 2006, 36, 192–209. [Google Scholar] [CrossRef]
- Kapuge, A.; Smith, M. Management practices and performance reporting in the Sri Lankan apparel sector. Manag. Audit. J. 2007, 22, 303–318. [Google Scholar] [CrossRef]
- Sashkin, M.; Kiser, K.J. Putting Total Quality Management to Work: What TQM Means, How to Use It, & How to Sustain It over the Long Run; Berrett-Koehler: San Francisco, CA, USA, 1993. [Google Scholar]
- Hradesky, J. Total Quality Management Handbook; McGraw-Hill: New York, NY, USA, 1995. [Google Scholar]
- Besterfield, D.H.; Besterfield-Michna, C.; Besterfield, G.H.; Besterfield-Sacre, M. Total Quality Management; Pearson Education, Inc., 2006; Available online: http://rmkec.ac.in/tmp/mech/Contents/totalqualitymanagement.pdf (accessed on 6 March 2020).
- Hervás, A.; Ayats, J.-C.; Desantes, R.Y.; Juliá, J.-F. Las prácticas en empresa como uno de los ejes vertebradores de la empleabilidad. Rev. Iberoam. Educ. Super. 2012, 3, 3–33. [Google Scholar] [CrossRef]
- Hair, J.F.; Anderson, R.E.; Tatham, R.L.; Black, W.C. Multivariate Analysis; Prentice Hall, 2007; Available online: https://www.skillsyouneed.com/num/multivariate-analysis.html (accessed on 6 March 2020).
- Kass, G.V. An exploratory technique for investigating large quantities of categorical data. Appl. Stat. 1980, 29, 119–127. [Google Scholar] [CrossRef]
- Peña, D. Análisis de Datos Multivariantes; McGraw Hill: Madrid, Spain, 2002. [Google Scholar]
- Kaiser, H.F. The varimax criterion for analytic rotation in factor analysis. Psychometrika 1958, 23, 187–200. [Google Scholar] [CrossRef]










| Name of the Survey | Employability Survey C Conducted by the Polytechnic University of Valencia. |
|---|---|
| Objectives | To determine the employment status of graduates and learn the skills and knowledge they needed to perform their jobs. To determine if TQM training and knowledge was required to perform these jobs. |
| Population | Company employees who began their university studies in 2006 and 2007, meaning that they had been in the labour market for more than two or three years. |
| Study size. Sampling error | 1340 graduates. The maximum error with 95% confidence was 2.6%. Location of the company: 1. Province of Valencia (639) 2. Rest of the Valencian region (243) 3. Madrid (128) 4. Barcelona (93) 5. Rest of Spain (134) 6. Rest of Europe (83) 7. Rest of the World (20) |
| Variable | Do you need to have TQM training and knowledge in your current job? |
| Variable | Category (Number of Surveys) |
|---|---|
| Company activity | 1. Education (60) 2. Consultancy and Engineering (197) 3. Services (127) 4. Telecommunications (103) 5. Computers (158) 6. Industrial (170) 7. Architecture (115) 8. Construction (133) 9. Agrifood (86) 10. Other (161) |
| Title or Position | 1. Director (89) 2. Middle management (243) 3. Technical (706) 4. Administrative (52) 5. Operator (109) 6. Others (141) |
| Annual Salary | 1. Less than €12,000 (274) 2. Between €12,000 and €18,000 (406) 3. Between €18,000 and €24,000 (315) 4. Between €24,000 and €30,000 (213) 5. More than €30,000 (132) |
| People Management | 1. Did not manage any people (817) 2. Managed fewer than 10 people (355) 3. Managed more than 10 people (168) |
| Training and Knowledge in: | Mean Value | Standard Deviation |
|---|---|---|
| TQM | 5.50 | 1.44 |
| ICT | 5.70 | 1.41 |
| Languages | 4.53 | 1.86 |
| Project Management | 5.53 | 1.59 |
| Scientific Knowledge | 4.88 | 1.55 |
| Corporate Culture | 4.95 | 1.49 |
| Economic Knowledge | 4.33 | 1.68 |
| Training and Knowledge in: | Mean Value | Typical Deviation |
|---|---|---|
| TQM | 5.50 | 1.44 |
| ICT | 5.70 | 1.41 |
| Languages | 4.53 | 1.86 |
| Project Management | 5.53 | 1.59 |
| Scientific Knowledge | 4.88 | 1.55 |
| Corporate Culture | 4.95 | 1.49 |
| Economic Knowledge | 4.33 | 1.68 |
| TQM | ICT | Languages | Projects | Scientific Knowledge | Corporate Culture | Economic | |
|---|---|---|---|---|---|---|---|
| Pearson Correlation | 1.000 | 0.376 ** | 0.296 ** | 0.568 ** | 0.404 ** | 0.519 ** | 0.413 ** |
| p-value | 0.000 | 0.000 | 0.000 | 0.000 | 0.000 | 0.000 |
© 2020 by the authors. Licensee MDPI, Basel, Switzerland. This article is an open access article distributed under the terms and conditions of the Creative Commons Attribution (CC BY) license (http://creativecommons.org/licenses/by/4.0/).
Share and Cite
Martínez-Gómez, M.; Jabaloyes Vivas, J.M.; Carrión García, A. Relevance of Skills in Total Quality Management in Engineering Studies as a Tool for Performing Their Jobs. Sustainability 2020, 12, 2065. https://doi.org/10.3390/su12052065
Martínez-Gómez M, Jabaloyes Vivas JM, Carrión García A. Relevance of Skills in Total Quality Management in Engineering Studies as a Tool for Performing Their Jobs. Sustainability. 2020; 12(5):2065. https://doi.org/10.3390/su12052065
Chicago/Turabian StyleMartínez-Gómez, Mónica, José Manuel Jabaloyes Vivas, and Andrés Carrión García. 2020. "Relevance of Skills in Total Quality Management in Engineering Studies as a Tool for Performing Their Jobs" Sustainability 12, no. 5: 2065. https://doi.org/10.3390/su12052065
APA StyleMartínez-Gómez, M., Jabaloyes Vivas, J. M., & Carrión García, A. (2020). Relevance of Skills in Total Quality Management in Engineering Studies as a Tool for Performing Their Jobs. Sustainability, 12(5), 2065. https://doi.org/10.3390/su12052065

