Optimization of Traffic Detector Layout Based on Complex Network Theory
Abstract
1. Introduction
2. Literature Review
2.1. Optimization of Traffic Detector Layout
2.2. Network Centrality
3. Materials and Methods
3.1. Description of the Traffic Network
3.2. Centrality of Static Network
3.2.1. Link Centrality of an Unweighted Network
3.2.2. Link Centrality of Weighted Network
3.2.3. Path Centrality
3.3. Dynamic Network Centrality
3.4. Detector Failure Scenario
3.5. Traffic Network Centrality Model (TNCM)
- Stage 1: Traffic Network analysis. There are two scenarios for TNCM: static and dynamic. For the dynamic scenario, samples should be taken according to the requirements (P1-1) to construct a dynamic network diagram. Each sequence item is a static network. In particular, a static scenario is equivalent to a dynamic scenario where the number of items in the sequence is 1. When calculating the link centrality for a static network, the UE (Users Equilibrium) model (P1-3-1) performs the traffic assignment to generate the gain coefficient of each link, if the OD matrix is given. Finally, based on the observation weights, P1-4 fits a static network with link centrality to represent the dynamic network diagram. This static network is the key output of stage 1.
- Stage 2: Optimization problem. This stage deals with a single-target optimization problem (P2-1) with inputs, such as a static network with link centrality, and constraints, including specified links with a detector installed, detector number limit, and detector failure probabilities. By solving this problem with the genetic algorithm (P2-2), the optimal layout solution is obtained.
4. Data and Results
4.1. Analysis of Traffic Network
4.2. Case Study
4.2.1. Case Study of Static Network
- (a) The shortest k path coverage: with an increase in the number of detectors, coverage of the efficient paths between OD—that is, the shortest k paths—increased gradually. The coverage rate with k = 3 was the highest and that with k = 1 was the lowest. In the traffic network, the path centrality of the shortest path was the largest, as well as the coverage difficulty.
- (b) OD pair coverage: when the number of detectors increased between 8 and 15, the OD pair coverage increased rapidly, after which the growth flattened. When the number was 18 or more, the coverage rate was larger than 95%. For a static network with OD demand in all nodes, this coverage rate is effective in monitoring the traffic network.
- (c) Link coverage: A link is called a complete coverage link if all efficient paths passing through it are covered. The results show that, when the number of detectors was 20 or more, the proportion of complete coverage links in all links reached about 90%. When the number of detectors was 12 or more, the proportion of 60% coverage links was maintained at 100%. From another point of view, the layout solution can effectively observe the traffic network.
- (d) Average revenue: As the number of detectors increased, the average revenue obtained by a single detector gradually decreased, but was still larger than the minimum revenue of the whole network.
4.2.2. Case Study of Dynamic Network
- When T = 4, links 39, 71, and 76 needed to be observed, so the decision-maker preference weight of the link was increased.
- When T = {6, 8}, the traffic was in the morning peak period, and the traffic demand at links 2, 4, 10, 13, 16, 35, 38, 40, 43, 58, 52, and 60 increased. Due to different degrees of congestion, the average travel time of these links increased.
- When T = {10, 12, 14, 16, 20, 22}, the traffic conditions were relatively stable and the traffic demand of all sections fell back to an unsaturated state (i.e., without obvious congestion); thus, the links were passed smoothly.
- When T = 18, the traffic was in the evening peak period, and the traffic demand in links 5, 14, 31, 23, 19, 7, 37, 34, 28, 49, and 56 increased. Due to different degrees of congestion, the average travel time of these links increased.
- The observation weights of the dynamic network at different times are shown in Table 4. The morning peak and evening peak are the key observation periods and, so, the observation weights of these two periods were larger.
4.2.3. Case Study of Detector Failure
5. Discussion
- Based on complex network theory, traffic networks are abstracted as directed weighted networks. Link centrality is introduced to describe the importance of links, and path centrality is introduced to describe the importance of an effective path in traffic flow and to effectively reduce the impact of correlation between links. The link centrality in the weighted network comprehensively considers the factors of network topology, preference weight, traffic flow, and other factors, describing the traffic network more comprehensively.
- The network sequence diagram is used to describe the dynamic changes in a traffic network. Considering the network over a period of time truly reflects the traffic status at each sampled moment. According to the observation weight, the dynamic network is fitted to a static network, and the detector layout is based on the fitted network. The centrality distance can effectively indicate the difference between networks at different times. Adjusting the observation weight can dynamically adjust the similarity between the traffic networks at different times and the fitted network.
- In a static network, when the OD demand is known, the user equilibrium model is used to allocate traffic flow for links and paths. In this paper, the gain coefficient ρ is used to represent the influences of traffic flow, manager’s preference, traffic state, and other factors on link centrality. In addition, detector failure is considered, in order to optimize the layout solution and minimize the influence of failure on the detector layout.
6. Conclusions
Author Contributions
Funding
Acknowledgments
Conflicts of Interest
References
- Liu, Y.; Zhu, N. A multi-objective detector location optimization approach. In Proceedings of the 14th COTA International Conference of Transportation Professionals, Changsha, China, 4–7 July 2014. [Google Scholar]
- Hu, S.R.; Peeta, S.; Chu, C.H. Identification of vehicle sensor locations for link-based network traffic applications. Transp. Res. Part B 2009, 43, 873–894. [Google Scholar] [CrossRef]
- Danczyk, A.; Liu, H.X. A mixed-integer linear program for optimizing sensor locations along freeway corridors. Transp. Res. Part B 2011, 45, 208–217. [Google Scholar] [CrossRef]
- Gómez, P. Evaluation of trade-offs between two data sources for the accurate estimation of origin–destination matrices. Transp. B Transp. Dyn. 2015, 3, 222–245. [Google Scholar] [CrossRef]
- Li, H.; Qin, L.; Chang, X. Sensor layout strategy and sensitivity analysis for macroscopic traffic flow parameter acquisition. IET Intell. Transp. Syst. 2017, 11, 212–221. [Google Scholar] [CrossRef]
- Zhang, M.Y.; Cao, J.; Niu, J.Q. A new method of traffic detector layout based on graph theory and matrix theory. J. Highw. Transp. Res. Dev. 2012, 29, 130–134. (In Chinese) [Google Scholar]
- Bartin, B.; Ozbay, K. A clustering based methodology for determining the optimal roadway configuration of detectors for travel time estimation. In Proceedings of the 2007 IEEE Intelligent Vehicles Symposium, Istanbul, Turkey, 13–15 June 2007. [Google Scholar]
- Zheng, C.J.; Li, Y.; Wang, T. Optimization method of urban road traffic detector layout under abnormal state. J. China highw. 2011, 24, 100–106. (In Chinese) [Google Scholar]
- Zhang, M.M.; Yang, Y.; Wang, S.G. Research on expressway traffic detector layout scheme based on event detection benefit. J. Highw. 2013, 8, 219–224. (In Chinese) [Google Scholar]
- Wang, D.H.; Xu, C.; Qi, H.S.; Jin, S. Optimization of detector layout based on road flow correlation. J. South China Uni. Technol. (Nat. Sci. Ed.) 2011, 39, 107–113. (In Chinese) [Google Scholar]
- Yim, P.K.N.; Lam, W.H.K. Evaluation of count location selection methods for estimation of OD matrices. J. Transp. Eng. 1998, 124, 376–383. [Google Scholar] [CrossRef]
- Yang, H.; Zhou, J. Optimal traffic counting locations for origin-destination matrix estimation. Transp. Res. Part B 1998, 32, 109–126. [Google Scholar] [CrossRef]
- Bianco, L.; Confessore, G.; Reverberi, P. A network based model for traffic sensor location with implications on O/D matrix estimates. Transp. Sci. 2001, 35, 50–60. [Google Scholar] [CrossRef]
- Chootinan, P.; Chen, A.; Yang, H. A bi-objective traffic counting location for origin-destination trip table estimation. Transportmetrica 2005, 1, 65–80. [Google Scholar] [CrossRef]
- Ehlert, A.; Bell, M.G.H.; Grosso, S. The optimisation of traffic count locations in road networks. Transp. Res. Part B 2006, 40, 460–479. [Google Scholar] [CrossRef]
- Fei, X.; Mahmassani, H.S.; Eisenman, S.M. Sensor coverage and location for real-time traffic prediction in large-scale networks. Transp. Res. Rec. 2007, 2039, 1–15. [Google Scholar] [CrossRef]
- Bertini, R.; Lovell, D. Impacts of Sensor Spacing on Accurate Freeway Travel Time Estimation for Traveler Information. J. Intell. Transp. Syst. 2009, 13, 97–110. [Google Scholar] [CrossRef]
- Mínguez, R.; Sánchez-Cambronero, S.; Castillo, E.; Jiménez, P. Optimal traffic plate scanning location for OD trip matrix and route estimation in road networks. Transp. Res. Part B 2010, 44, 282–298. [Google Scholar] [CrossRef]
- Zhou, X.S.; List, G.F. An Information-Theoretic Sensor Location Model for Traffic Origin-Destination Demands Estimation Applications. Transp. Sci. 2010, 44, 254–273. [Google Scholar] [CrossRef]
- Xing, T.; Zhou, X.; Taylor, J. Designing heterogeneous sensor networks for estimating and predicting path travel time dynamics: An information-theoretic modeling approach. Transp. Res. Part B Methodlog. 2013, 57, 66–90. [Google Scholar] [CrossRef]
- Ban, X.; Herring, R.; Margulici, J.D.; Bayen, A.M. Optimal sensor placement for freeway travel time estimation. Transp. Traffic Theory 2009, 55, 697–722. [Google Scholar]
- Zhang, J.S.; Jin, M.J. Optimal sensor density for freeway travel time estimation with multi-class traffic flow. In Proceedings of the 2nd International Conference on Transportation Information and Safety, Wuhan, China, 28–30 June 2013. [Google Scholar]
- Castillo, E.; Conejo, A.J.; Menendez, J.M.; Jimenez, P. The observability problem in traffic network models. Comput.-Aided Civ, Infrastruct. Eng. 2008, 23, 208–222. [Google Scholar] [CrossRef]
- Gholami, A.; Tian, Z.; Andalibian, R. Innovative detector layout for automated traffic turning volume counting. J. Adv. Transp. 2016, 50, 1958–1971. [Google Scholar] [CrossRef]
- Xie, G.T.; Zhang, X.Y.; Gao, H.B.; Qian, L.J.; Wang, J.Q.; Umit, O. Situational Assessments Based on Uncertainty-Risk Awareness in Complex Traffic Scenarios. Sustainability 2017, 9, 1582. [Google Scholar] [CrossRef]
- Fei, X.; Mahmassani, H.S. Structural analysis of near-optimal sensor locations for a stochastic large-scale network. Transp. Res. Part C 2011, 19, 440–453. [Google Scholar] [CrossRef]
- Li, X.P.; Ouyang, Y.F. A continuum approximation approach to reliable facility location design under correlated probabilistic disruptions. Transp. Res. Part B Methodol. 2010, 44, 535–548. [Google Scholar] [CrossRef]
- Li, X.P.; Ouyang, Y.F. Reliable sensor deployment for network traffic surveillance. Transp. Res. Part B Methodol. 2011, 45, 218–231. [Google Scholar] [CrossRef]
- Li, X.P.; Ouyang, Y.F. Reliable Traffic Sensor Deployment Under Probabilistic Disruptions and Generalized Surveillance Effectiveness Measures. Oper. Res. 2012, 60, 1183–1198. [Google Scholar] [CrossRef]
- Zhu, N.; Ma, S.F.; Jia, N. Research on Layout Optimization of traffic detector considering failure factors. J. Syst. Eng. Theory Pract. 2014, 34, 997–1002. (In Chinese) [Google Scholar]
- Freeman, L.C. Centrality in social networks conceptual clarification. Soc. Netw. 2012, 1, 215–239. [Google Scholar]
- Chang, S.C.; Zhang, Q.Y.; Wang, W.T. Analysis of centralities of links. J. Academ. Mil. Transp. 2011, 13, 4–7. (In Chinese) [Google Scholar]
- Yang, H.; Xu, W.; He, B.S.; Meng, Q. Road pricing for congestion control with unknown demand and cost functions. Transp. Res. Part C 2010, 18, 157–175. [Google Scholar] [CrossRef]














| Link travel time: 10 |
| Link capacity: 7800 |
| O: [3,5] |
| D: [9,10] |
| OD demand: (3,9,7500), (3,10,7300), (5,9,1000), (5,10,1200) |
| Number of Detectors | Selected Links | Covered Path Centrality |
|---|---|---|
| 8 | 9,11,16,19,34,53,56,75 | 47.351126 |
| 9 | 9,11,16,19,34,40,53,56,75 | 51.004284 |
| 10 | 9,11,16,19,34,40,53,58,60,74 | 54.251402 |
| 11 | 9,11,16,19,34,39,40,53,56,58,60 | 57.317377 |
| 12 | 9,11,16,19,34,39,40,53,56,58,60,74 | 60.372557 |
| 13 | 9,11,16,19,25,34,39,40,53,56,58,60,74 | 62.877637 |
| 14 | 9,11,16,19,25,26,34,39,40,53,56,58,60,74 | 65.37485 |
| 15 | 8,9,16,19,25,26,33,34,53,56,58,60,74,75,76 | 66.905466 |
| 16 | 8,9,16,19,25,26,32,33,34,53,56,58,60,74,75,76 | 68.365451 |
| 17 | 8,9,16,19,25,26,32,33,34,53,54,55,56,58,74,75,76 | 69.597724 |
| 18 | 7,9,11,16,19,25,26,34,40,46,53,54,55,56,58,72,74,75 | 70.61362 |
| 19 | 6,11,16,19,25,26,27,36,39,40,46,53,54,55,56,58,72,74,75 | 71.731315 |
| 20 | 7,9,11,16,19,25,26,33,34,38,40,46,53,54,55,56,58,66,72, 75 | 72.668434 |
| 21 | 5,6,11,12,19,20,22,25,26,27,36,39,40,46,53,56,58,60,66, 67,73 | 73.534726 |
| 22 | 6,9,11,16,17,24,25,26,27,35,36,39,40,46,47,53,56,58,60, 66,67,73 | 74.195816 |
| 23 | 2,8,9,15,19,20,21,22,25,26,32,33,34,35,39,52,53,56,60, 66,67,70,75 | 74.643593 |
| 24 | 6,7,11,14,16,17,24,25,26,27,29,36,40,41,46,52,53,55,56, 64,67,72,74,75 | 75.065995 |
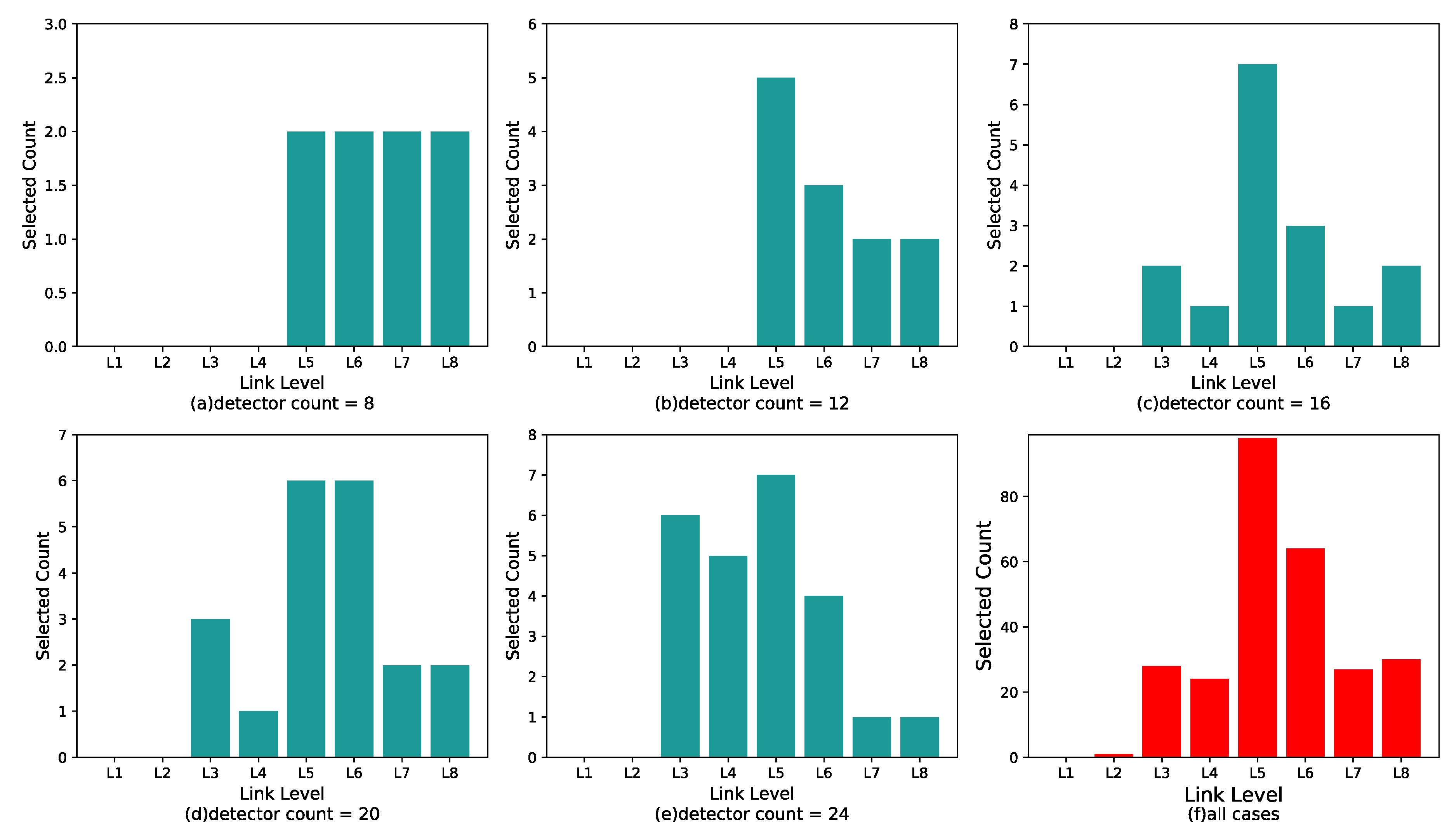
| Level | L8 | L7 | L6 | L5 | L4 | L3 | L2 | L1 |
|---|---|---|---|---|---|---|---|---|
| Selected Ratio | 88.23% | 79.41% | 28.59% | 44.34% | 10.08% | 7.16% | 0.84% | 0 |
| Total | 2 | 2 | 13 | 13 | 14 | 23 | 7 | 2 |
| Time | Uniform Weight | Observation Weight |
|---|---|---|
| 0 | 1/12 | 0.03 |
| 2 | 1/12 | 0.03 |
| 4 | 1/12 | 0.04 |
| 6 | 1/12 | 0.14 |
| 8 | 1/12 | 0.14 |
| 10 | 1/12 | 0.07 |
| 12 | 1/12 | 0.07 |
| 14 | 1/12 | 0.08 |
| 16 | 1/12 | 0.08 |
| 18 | 1/12 | 0.18 |
| 20 | 1/12 | 0.08 |
| 22 | 1/12 | 0.06 |
| Number of Detectors | Selected Links | Layout Revenue | Coverage Ratio |
|---|---|---|---|
| 10 | 11, 16, 19, 25, 38, 40, 53, 56, 60, 75 | 61.875303 | 66.58% |
| Failure Probability | Detector Layout Solution | Total Covered Path Centrality |
|---|---|---|
| p = 0 | 9,11,16,19,34,39,40,53,56,58,60 | 57.317377 |
| p = 0.25 | 9,11,16,18,19,25,34,40,58,60,74 | 46.070461 |
© 2020 by the authors. Licensee MDPI, Basel, Switzerland. This article is an open access article distributed under the terms and conditions of the Creative Commons Attribution (CC BY) license (http://creativecommons.org/licenses/by/4.0/).
Share and Cite
An, S.; Ma, L.; Wang, J. Optimization of Traffic Detector Layout Based on Complex Network Theory. Sustainability 2020, 12, 2048. https://doi.org/10.3390/su12052048
An S, Ma L, Wang J. Optimization of Traffic Detector Layout Based on Complex Network Theory. Sustainability. 2020; 12(5):2048. https://doi.org/10.3390/su12052048
Chicago/Turabian StyleAn, Shi, Lina Ma, and Jian Wang. 2020. "Optimization of Traffic Detector Layout Based on Complex Network Theory" Sustainability 12, no. 5: 2048. https://doi.org/10.3390/su12052048
APA StyleAn, S., Ma, L., & Wang, J. (2020). Optimization of Traffic Detector Layout Based on Complex Network Theory. Sustainability, 12(5), 2048. https://doi.org/10.3390/su12052048
