Global Sensitivity Analysis of the Standardized Precipitation Evapotranspiration Index at Different Time Scales in Jilin Province, China
Abstract
1. Introduction
2. Materials and Methods
2.1. Description of Study Site
2.2. Meteorological Data
2.3. Reference Evapotranspiration
2.4. Trend Analysis
2.5. Standardized Precipitation Evapotranspiration Index (SPEI)
2.6. Extended Fourier Amplitude Sensitivity Test (EFAST)
3. Results
3.1. Meteorological Variable Trend Analysis
3.2. Sensitivity Analysis of the SPEI to Meteorological Variables
3.2.1. Monthly Scale SPEI Sensitivity Analysis
3.2.2. Spatial Analysis of SPEI Sensitivity
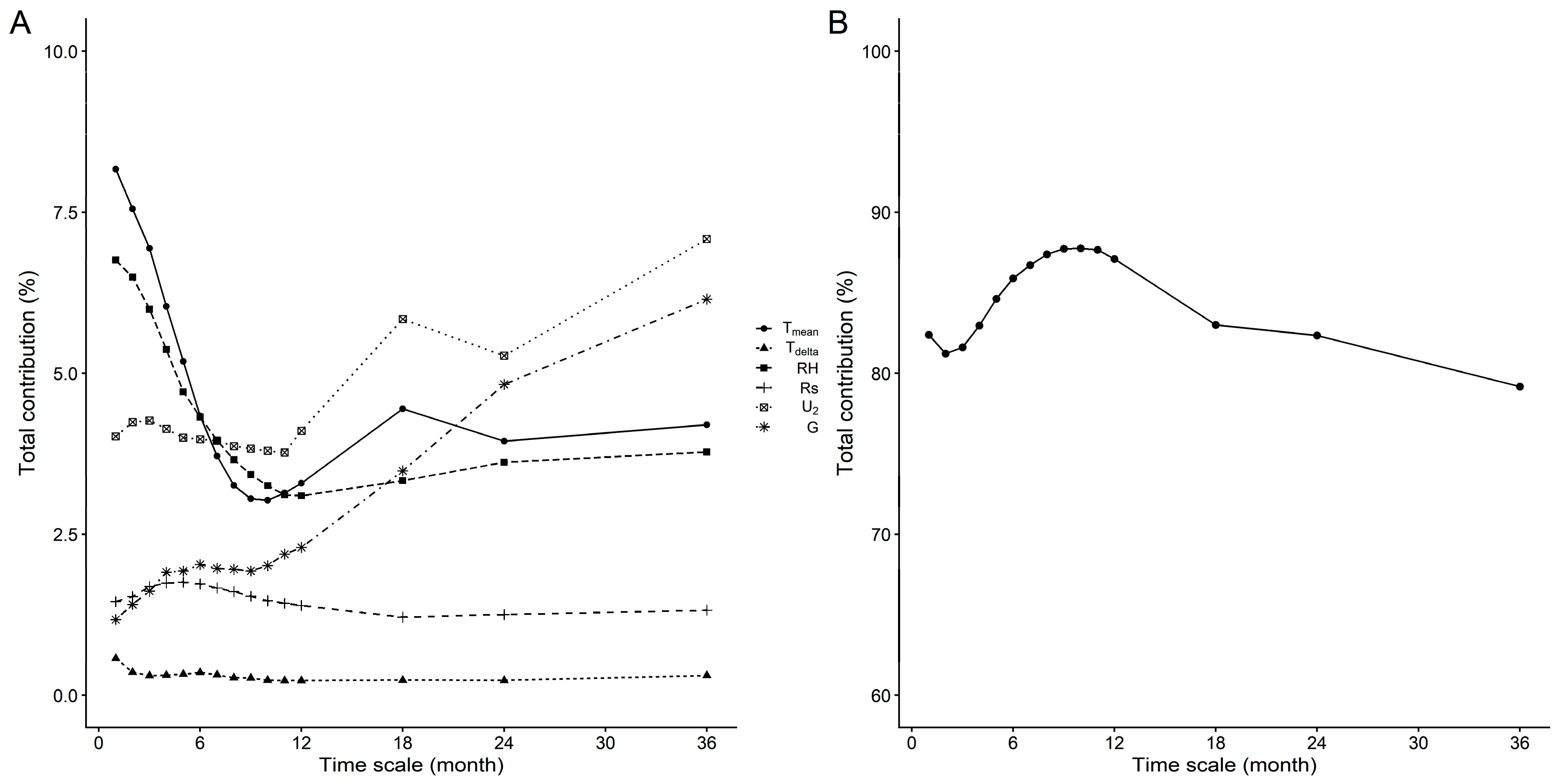
3.2.3. SPEI Sensitivity Analysis at Different Time Scales
4. Discussion
5. Conclusions
Author Contributions
Funding
Acknowledgments
Conflicts of Interest
References
- Stocker, T.F.; Qin, D.; Plattner, G.; Tignor, M.; Allen, S.K.; Boschung, J.; Nauels, A.; Xia, Y.; Bex, V.; Midgley, P.M.; et al. Climate Change 2013: The Physical Science Basis; Cambridge University Press: Cambridge, UK, 2013. [Google Scholar]
- Rojas, O.; Piersante, A.; Cumani, M.; Li, Y. Understanding the Drought Impact of El Niño/La Niña in the Grain Production Areas in Eastern Europe and Central Asia; FAO: Rome, Italy, 2019. [Google Scholar]
- Wang, Y.; Zhao, W.; Zhang, Q.; Yao, Y. Characteristics of drought vulnerability for maize in the eastern part of Northwest China. Sci. Rep. 2019, 9, 964–969. [Google Scholar] [CrossRef] [PubMed]
- Zhang, J.; Chen, H.; Zhang, Q. Extreme drought in the recent two decades in northern China resulting from Eurasian warming. Clim. Dyn. 2019, 52, 2885–2902. [Google Scholar] [CrossRef]
- Abiodun, B.J.; Makhanya, N.; Petja, B.; Abatan, A.A.; Oguntunde, P.G. Future projection of droughts over major river basins in Southern Africa at specific global warming levels. Theor. Appl. Climatol. 2019, 137, 1785–1799. [Google Scholar] [CrossRef]
- Ahmadalipour, A.; Moradkhani, H.; Castelletti, A.; Magliocca, N. Future drought risk in Africa: Integrating vulnerability, climate change, and population growth. Sci. Total Environ. 2019, 662, 672–686. [Google Scholar] [CrossRef]
- Vicente-Serrano, S.M.; Beguería, S.; López-Moreno, J.I. A Multiscalar Drought Index Sensitive to Global Warming: The Standardized Precipitation Evapotranspiration Index. J. Clim. 2010, 23, 1696–1718. [Google Scholar] [CrossRef]
- Chen, T.; Xia, G.; Liu, T.; Chen, W.; Chi, D. Assessment of Drought Impact on Main Cereal Crops Using a Standardized Precipitation Evapotranspiration Index in Liaoning Province, China. Sustainability 2016, 8, 1069. [Google Scholar] [CrossRef]
- Gao, X.; Zhao, Q.; Zhao, X.; Wu, P.; Pan, W.; Gao, X.; Sun, M. Temporal and spatial evolution of the standardized precipitation evapotranspiration index (SPEI) in the Loess Plateau under climate change from 2001 to 2050. Sci. Total Environ. 2017, 595, 191–200. [Google Scholar] [CrossRef]
- Miah, M.G.; Abdullah, H.M.; Jeong, C. Exploring standardized precipitation evapotranspiration index for drought assessment in Bangladesh. Environ. Monit. Assess. 2017, 189, 547. [Google Scholar] [CrossRef]
- Moorhead, J.E.; Marek, G.W.; Gowda, P.H.; Marek, T.H.; Porter, D.O.; Singh, V.P.; Brauer, D.K. Exceedance Probability of the Standardized Precipitation-Evapotranspiration Index in the Texas High Plains. Agric. Sci. 2017, 8, 783. [Google Scholar] [CrossRef][Green Version]
- Stagge, J.H.; Tallaksen, L.M.; Xu, C.Y.; Van Lanen, H.A. Standardized precipitation-evapotranspiration index (SPEI): Sensitivity to potential evapotranspiration model and parameters. Hydrol. Chang. World 2014, 363, 367–373. [Google Scholar]
- Wang, Q.; Shi, P.; Lei, T.; Geng, G.; Liu, J.; Mo, X.; Li, X.; Zhou, H.; Wu, J. The alleviating trend of drought in the Huang-Huai-Hai Plain of China based on the daily SPEI. Int. J. Climatol. 2015, 35, 3760–3769. [Google Scholar] [CrossRef]
- Wang, W.; Zhu, Y.; Xu, R.; Liu, J. Drought severity change in China during 19612-012 indicated by SPI and SPEI. Nat. Hazards 2015, 75, 2437–2451. [Google Scholar] [CrossRef]
- Tong, S.; Lai, Q.; Zhang, J.; Bao, Y.; Lusi, A.; Ma, Q.; Li, X.; Zhang, F. Spatiotemporal drought variability on the Mongolian Plateau from 1980--2014 based on the SPEI-PM, intensity analysis and Hurst exponent. Sci. Total Environ. 2018, 615, 1557–1565. [Google Scholar] [CrossRef] [PubMed]
- Drumond, A.; Stojanovic, M.; Nieto, R.; Vicente-Serrano, S.M.; Gimeno, L. Linking anomalous moisture transport and drought episodes in the IPCC reference regions. Bull. Am. Meteorol. Soc. 2019, 100, 1481–1498. [Google Scholar] [CrossRef]
- Zarei, A.R.; Moghimi, M.M. Modified version for SPEI to evaluate and modeling the agricultural drought severity. Int. J. Biometeorol. 2019, 63, 911–925. [Google Scholar] [CrossRef] [PubMed]
- Beguería, S.; Vicente-Serrano, S.M.; Reig, F.; Latorre, B. Standardized precipitation evapotranspiration index (SPEI) revisited: Parameter fitting, evapotranspiration models, tools, datasets and drought monitoring. Int. J. Climatol. 2014, 34, 3001–3023. [Google Scholar] [CrossRef]
- Peña-Gallardo, M.; Vicente-Serrano, S.M.; Quiring, S.; Svoboda, M.; Hannaford, J.; Tomas-Burguera, M.; Martín-Hernández, N.; Domínguez-Castro, F.; El Kenawy, A. Response of crop yield to different time-scales of drought in the United States: Spatio-temporal patterns and climatic and environmental drivers. Agric. Forest. Meteorol. 2019, 264, 40–55. [Google Scholar] [CrossRef]
- Hargreaves, G.H.; Samani, Z.A. Reference crop evapotranspiration from temperature. Appl. Eng. Agric. 1985, 1, 96–99. [Google Scholar] [CrossRef]
- Priestley, C.H.B.; Taylor, R.J. On the assessment of surface heat flux and evaporation using large-scale parameters. Mon. Weather Rev. 1972, 100, 81–92. [Google Scholar] [CrossRef]
- Allen, R.G.; Pereira, L.S.; Raes, D.; Smith, M. Others Crop evapotranspiration-Guidelines for computing crop water requirements-FAO Irrigation and drainage paper 56. Fao Rome 1998, 300, D5109. [Google Scholar]
- Chen, H.; Sun, J. Changes in Drought Characteristics over China Using the Standardized Precipitation Evapotranspiration Index. J. Clim. 2015, 28, 5430–5447. [Google Scholar] [CrossRef]
- Li, X.; Sha, J.; Wang, Z. Comparison of drought indices in the analysis of spatial and temporal changes of climatic drought events in a basin. Environ. Sci. Pollut. Res. 2019, 26, 10695–10707. [Google Scholar] [CrossRef] [PubMed]
- Trenberth, K.E.; Dai, A.; Van Der Schrier, G.; Jones, P.D.; Barichivich, J.; Briffa, K.R.; Sheffield, J. Global warming and changes in drought. Nat. Clim. Chang. 2014, 4, 17. [Google Scholar] [CrossRef]
- Wang, Z.; Li, J.; Lai, C.; Zeng, Z.; Zhong, R.; Chen, X.; Zhou, X.; Wang, M. Does drought in China show a significant decreasing trend from 1961 to 2009? Sci. Total Environ. 2017, 579, 314–324. [Google Scholar] [CrossRef] [PubMed]
- Reusser, D.E.; Buytaert, W.; Zehe, E. Temporal dynamics of model parameter sensitivity for computationally expensive models with the Fourier amplitude sensitivity test. Water Resour. Res. 2011, 47. [Google Scholar] [CrossRef]
- Saltelli, A.; Ratto, M.; Tarantola, S.; Campolongo, F.; Commission, E. Sensitivity analysis practices: Strategies for model-based inference. Reliab. Eng. Syst. Saf. 2006, 91, 1109–1125. [Google Scholar] [CrossRef]
- Enku, T.; Melesse, A.M. A simple temperature method for the estimation of evapotranspiration. Hydrol. Process. 2014, 28, 2945–2960. [Google Scholar] [CrossRef]
- Przybylak, R.; Oliński, P.; Koprowski, M.; Filipiak, J.; Pospieszyńska, A.; Chorążyczewski, W.; Puchałka, R.; Dąbrowski, H.P. Droughts in the area of Poland in recent centuries. Clim. Past. Discuss. 2019, 15–16. [Google Scholar] [CrossRef]
- Meijuan, Q.; Buchun, L.; Yuan, L.; Yueying, Z.; Xinyue, W.U.; Fuxiang, Y.; Dongni, W.; Chenying, M.U. Temporal-Spatial Variation Characteristics of Reference Crop Evapotranspiration and Its Influence Factors in Jilin Province. J. Arid Meteor. 2019, 37, 119–126. [Google Scholar]
- Wang, Z.; Ye, A.; Wang, L.; Liu, K.; Cheng, L. Spatial and temporal characteristics of reference evapotranspiration and its climatic driving factors over China from 19792-015. Agr. Water Manag. 2019, 213, 1096–1108. [Google Scholar] [CrossRef]
- Zhang, Y.; Li, G.; Ge, J.; Li, Y.; Yu, Z.; Niu, H. scPDSI is more sensitive to precipitation than to reference evapotranspiration in China during the time period 19512-015. Ecol. Indic. 2019, 96, 448–457. [Google Scholar] [CrossRef]
- Yao, J.; Zhao, Y.; Chen, Y.; Yu, X.; Zhang, R. Multi-scale assessments of droughts: A case study in Xinjiang, China. Sci. Total Environ. 2018, 630, 444–452. [Google Scholar] [CrossRef]
- Vicente-Serrano, S.M.; Van der Schrier, G.; Beguería, S.; Azorin-Molina, C.; Lopez-Moreno, J. Contribution of precipitation and reference evapotranspiration to drought indices under different climates. J. Hydrol. 2015, 526, 42–54. [Google Scholar] [CrossRef]
- Manzano, A.; Clemente, M.A.; Morata, A.; Luna, M.Y.; Beguería, S.; Vicente-Serrano, S.M.; Martín, M.L. Analysis of the atmospheric circulation pattern effects over SPEI drought index in Spain. Atmos. Res. 2019, 230, 104630. [Google Scholar] [CrossRef]
- Abbasi, A.; Khalili, K.; Behmanesh, J.; Shirzad, A. Drought monitoring and prediction using SPEI index and gene expression programming model in the west of Urmia Lake. Theor. Appl Climatol. 2019, 138, 553–567. [Google Scholar] [CrossRef]
- Saltelli, A.; Tarantola, S.; Chan, K. A quantitative model-independent method for global sensitivity analysis of model output. Technometrics 1999, 41, 39–56. [Google Scholar] [CrossRef]
- Wang, H.; Zhou, T.; Du, J.; Miao, Z. Application of Temperature-Vegetation Dryness Index in Monitoring Drought in the Jilin Province. Remote Sens. Technol. Appl. 2013, 28, 324–329. [Google Scholar]
- Liu, D.; Guo, S.; Chen, X.; Shao, Q. Analysis of trends of annual and seasonal precipitation from 1956 to 2000 in Guangdong Province, China. Hydrol. Sci. J. 2012, 57, 358–369. [Google Scholar] [CrossRef]
- Xu, Y.P.; Pan, S.; Fu, G.; Tian, Y.; Zhang, X. Future potential evapotranspiration changes and contribution analysis in Zhejiang Province, East China. J. Geophys. Res. Atmos. 2014, 119, 2174–2192. [Google Scholar] [CrossRef]
- Hamed, K.H.; Rao, A.R. A modified Mann-Kendall trend test for autocorrelated data. J. Hydrol. 1998, 204, 182–196. [Google Scholar] [CrossRef]
- Yue, S.; Pilon, P.; Phinney, B.; Cavadias, G. The influence of autocorrelation on the ability to detect trend in hydrological series. Hydrol. Process. 2002, 16, 1807–1829. [Google Scholar] [CrossRef]
- Sen, P.K. Estimates of the regression coefficient based on Kendall’s tau. J. Am. Stat. Assoc. 1968, 63, 1379–1389. [Google Scholar] [CrossRef]
- Marchetto, A. rkt: Mann-Kendall Test, Seasonal and Regional Kendall Tests. Available online: https://cran.r-project.org/web/packages/rkt/index.html (accessed on 12 February 2020).
- Polong, F.; Chen, H.; Sun, S.; Ongoma, V. Temporal and spatial evolution of the standard precipitation evapotranspiration index (SPEI) in the Tana River Basin, Kenya. Theor. Appl. Climatol. 2019, 138, 777–792. [Google Scholar] [CrossRef]
- Cukier, R.I.; Fortuin, C.M.; Shuler, K.E.; Petschek, A.G.; Schaibly, J.H. Study of the sensitivity of coupled reaction systems to uncertainties in rate coefficients. I Theory. J. Chem. Phys. 1973, 59, 3873–3878. [Google Scholar] [CrossRef]
- Cukier, R.I.; Schaibly, J.H.; Shuler, K.E. Study of the sensitivity of coupled reaction systems to uncertainties in rate coefficients. III. Analysis of the approximations. J. Chem. Phys. 1975, 63, 1140–1149. [Google Scholar] [CrossRef]
- Cukier, R.I.; Levine, H.B.; Shuler, K.E. Nonlinear sensitivity analysis of multiparameter model systems. J. Comput. Phys. 1978, 26, 1–42. [Google Scholar] [CrossRef]
- Mesgouez, A.; Buis, S.; Lefeuve-Mesgouez, G.; Micolau, G. Use of global sensitivity analysis to assess the soil poroelastic parameter influence. Wave Motion 2017, 72, 377–394. [Google Scholar] [CrossRef]
- Zhang, X.; Trame, M.N.; Lesko, L.J.; Schmidt, S. Sobol sensitivity analysis: A tool to guide the development and evaluation of systems pharmacology models. Cpt Pharmacomet. Syst. Pharmacol. 2015, 4, 69–79. [Google Scholar] [CrossRef]
- Sobol, I.M. Global sensitivity indices for nonlinear mathematical models and their Monte Carlo estimates. Math. Comput. Simulat. 2001, 55, 271–280. [Google Scholar] [CrossRef]
- Morris, M.D. Factorial sampling plans for preliminary computational experiments. Technometrics 1991, 33, 161–174. [Google Scholar] [CrossRef]
- Lu, Y.; Mohanty, S. Sensitivity analysis of a complex, proposed geologic waste disposal system using the Fourier amplitude sensitivity test method. Reliab. Eng. Syst. Saf. 2001, 72, 275–291. [Google Scholar] [CrossRef]
- Xu, C.; Gertner, G. Understanding and comparisons of different sampling approaches for the Fourier Amplitudes Sensitivity Test (FAST). Comput. Stat. Data Anal. 2011, 55, 184–198. [Google Scholar] [CrossRef]
- Iooss, B.; Janon, A.; Pujol, G.; Broto, W.C.F.B.; Boumhaout, K.; Veiga, S.D.; Delage, T.; Fruth, J.; Gilquin, L.; Guillaume, J.; et al. Sensitivity: Global Sensitivity Analysis of Model Outputs. Available online: https://CRAN.R-project.org/package=sensitivity (accessed on 23 January 2020).
- Wang, H.; Chen, Y.; Pan, Y.; Chen, Z.; Ren, Z. Assessment of candidate distributions for SPI/SPEI and sensitivity of drought to climatic variables in China. Int. J. Climatol. 2019, 39, 4392–4412. [Google Scholar] [CrossRef]
- Jiang, R.; Xie, J.; He, H.; Luo, J.; Zhu, J. Use of four drought indices for evaluating drought characteristics under climate change in Shaanxi, China: 1951–2012. Nat. Hazards 2015, 75, 2885–2903. [Google Scholar] [CrossRef]
- Zhao, H.; Gao, G.; An, W.; Zou, X.; Li, H.; Hou, M. Timescale differences between SC-PDSI and SPEI for drought monitoring in China. Phys. Chem. Earth Parts A/B/C 2017, 102, 48–58. [Google Scholar] [CrossRef]
- McCuen, R.H. A sensitivity and error analysis of procedures used for estimating evaporation. Jawra J. Am. Water Resour. Assoc. 1974, 10, 486–497. [Google Scholar] [CrossRef]
- Beven, K. A sensitivity analysis of the Penman-Monteith actual evapotranspiration estimates. J. Hydrol. 1979, 44, 169–190. [Google Scholar] [CrossRef]
- Li, S.; Yao, Z.; Liu, Z.; Wang, R.; Liu, M.; Adam, J.C. The spatio-temporal characteristics of drought across Tibet, China: Derived from meteorological and agricultural drought indexes. Theor. Appl. Climatol. 2019, 11–16. [Google Scholar] [CrossRef]
- Potop, V.; Ny, M.M.; Soukup, J. Drought evolution at various time scales in the lowland regions and their impact on vegetable crops in the Czech Republic. Agric. Forest. Meteorol. 2012, 156, 1211–1233. [Google Scholar] [CrossRef]







| Station ID | Tmean | Tdelta | RH | Rs | U2 | G | P |
|---|---|---|---|---|---|---|---|
| 50936 | −22.26~25.70 | 7.97~18.95 | 26.67~85.13 | 152.62~846.44 | 1.21~4.74 | −2.30~2.16 | 0.00~325.30 |
| 50945 | −22.98~25.85 | 6.79~16.79 | 32.23~84.03 | 151.49~795.14 | 1.24~9.11 | −2.36~2.21 | 0.00~333.40 |
| 50948 | −21.76~26.60 | 7.45~15.86 | 31.42~83.19 | 148.69~778.24 | 1.38~6.66 | −2.25~2.22 | 0.00~310.30 |
| 50949 | −23.05~26.32 | 5.83~16.52 | 31.13~84.52 | 142.16~850.84 | 0.67~4.62 | −2.30~2.28 | 0.00~262.30 |
| 54041 | −21.05~26.84 | 7.33~16.97 | 28.67~86.87 | 164.61~764.51 | 1.47~5.78 | −2.23~2.17 | 0.00~276.80 |
| 54049 | −20.89~26.10 | 7.05~16.05 | 29.63~83.71 | 157.83~2346.36 | 0.67~4.79 | −2.20~2.29 | 0.00~343.20 |
| 54063 | −23.26~24.75 | 7.70~16.15 | 33.10~87.77 | 139.79~836.92 | 0.90~5.41 | −2.38~2.31 | 0.00~379.40 |
| 54064 | −23.69~25.39 | −0.84~17.25 | 33.39~85.16 | 130.70~824.90 | 0.91~15.22 | −2.24~2.30 | 0.00~381.50 |
| 54142 | −20.29~25.94 | 7.60~16.73 | 32.97~87.35 | 185.49~844.10 | 0.70~4.96 | −2.15~2.11 | 0.00~316.30 |
| 54157 | −17.58~25.93 | 7.31~15.45 | 32.65~85.90 | 170.03~787.42 | 0.94~4.75 | −2.10~2.09 | 0.00~419.20 |
| 54161 | −20.44~25.39 | 6.87~15.67 | 32.77~87.03 | 160.82~760.03 | 1.18~6.78 | −2.25~2.22 | 0.00~443.60 |
| 54165 | −20.35~25.20 | 2.68~16.33 | 38.87~88.03 | 165.17~738.14 | 0.83~6.87 | −2.23~2.15 | 0.00~485.60 |
| 54171 | −21.50~25.01 | 6.10~19.13 | 41.03~86.90 | 134.31~755.30 | 0.64~5.48 | −2.31~2.35 | 0.09~677.20 |
| 54181 | −22.97~24.64 | 7.89~19.14 | 46.10~87.74 | 136.95~742.30 | 0.59~4.65 | −2.18~2.45 | 0.00~349.20 |
| 54186 | −21.43~23.36 | 7.45~18.08 | 37.50~88.52 | 153.69~741.64 | 0.88~4.26 | −2.09~2.26 | 0.10~395.70 |
| 54195 | −20.51~24.17 | 6.40~18.43 | 40.63~87.97 | 164.72~788.11 | 0.38~4.56 | −2.08~2.18 | 0.00~341.70 |
| 54260 | −20.16~25.41 | 7.65~17.00 | 39.13~87.77 | 153.35~755.02 | 0.17~11.70 | −2.32~2.24 | 0.00~398.70 |
| 54263 | −22.41~24.84 | −24.42~19.95 | 43.07~87.87 | 168.04~765.31 | 0.37~4.19 | −2.33~3.50 | 0.00~426.30 |
| 54266 | −20.66~25.25 | 7.27~21.85 | 40.87~88.10 | 166.90~763.23 | 0.77~5.02 | −2.41~2.22 | 0.00~423.70 |
| 54273 | −23.24~39.12 | 6.37~21.60 | 48.40~87.50 | 136.84~3374.77 | 0.73~3.31 | −3.39~2.46 | 0.00~494.70 |
| 54276 | −22.82~23.78 | 8.29~22.48 | 48.53~88.39 | 167.07~768.57 | 0.54~3.21 | −2.33~2.43 | 0.60~452.60 |
| 54284 | −21.19~28.43 | 7.47~27.74 | 42.03~89.84 | 164.07~748.64 | 0.90~5.66 | −2.19~2.36 | 1.90~363.00 |
| 54285 | −23.05~23.25 | 8.56~20.85 | 47.10~91.03 | 168.46~761.55 | 0.58~4.71 | −2.22~2.43 | 0.60~267.40 |
| 54286 | −16.93~23.89 | 4.22~17.13 | 34.57~95.42 | 148.16~754.63 | 0.64~4.16 | −2.15~2.06 | 0.00~322.60 |
| 54363 | −20.41~25.20 | 6.96~17.79 | 40.77~85.23 | 153.60~741.53 | 0.30~3.71 | −2.37~2.18 | 0.50~496.50 |
| 54374 | −19.54~25.96 | 7.59~18.02 | 44.77~88.87 | 160.49~947.62 | 0.05~2.06 | −2.39~2.27 | 0.50~416.10 |
| 54377 | −19.59~26.77 | 7.37~17.79 | 46.73~91.13 | 169.55~780.24 | 0.19~2.45 | −2.24~2.03 | 0.00~520.70 |
| 54386 | −21.30~22.29 | 7.89~18.16 | 45.23~88.77 | 176.10~717.90 | 0.31~3.61 | −2.17~2.35 | 0.00~320.40 |
© 2020 by the authors. Licensee MDPI, Basel, Switzerland. This article is an open access article distributed under the terms and conditions of the Creative Commons Attribution (CC BY) license (http://creativecommons.org/licenses/by/4.0/).
Share and Cite
Zhang, R.; Chen, T.; Chi, D. Global Sensitivity Analysis of the Standardized Precipitation Evapotranspiration Index at Different Time Scales in Jilin Province, China. Sustainability 2020, 12, 1713. https://doi.org/10.3390/su12051713
Zhang R, Chen T, Chi D. Global Sensitivity Analysis of the Standardized Precipitation Evapotranspiration Index at Different Time Scales in Jilin Province, China. Sustainability. 2020; 12(5):1713. https://doi.org/10.3390/su12051713
Chicago/Turabian StyleZhang, Rui, Taotao Chen, and Daocai Chi. 2020. "Global Sensitivity Analysis of the Standardized Precipitation Evapotranspiration Index at Different Time Scales in Jilin Province, China" Sustainability 12, no. 5: 1713. https://doi.org/10.3390/su12051713
APA StyleZhang, R., Chen, T., & Chi, D. (2020). Global Sensitivity Analysis of the Standardized Precipitation Evapotranspiration Index at Different Time Scales in Jilin Province, China. Sustainability, 12(5), 1713. https://doi.org/10.3390/su12051713
