Optimization of Food Waste and Biochar In-Vessel Co-Composting
Abstract
1. Introduction
2. Materials and Methods
2.1. Feedstock Characterization
2.2. Experimental Setup
- BC0: FW (50%) + WS (25%) + Mc (25%)
- BC10: FW (50%) + WS (20%) + Mc (20%) + BC (10%)
- BC20: FW (50%) + WS (15%) + Mc (15%) + BC (20%)
2.3. Sampling and Analysis
3. Results
3.1. Characteristics of Raw Materials and Initial Blends
3.2. Effect of Biochar on the Temperature and Moisture Content Evolution
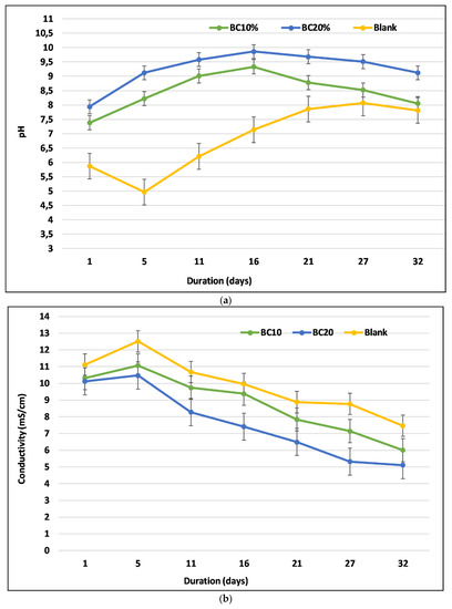
3.3. Effect of Biochar on pH and Electrical Conductivity (EC)
3.4. Biochar Effect on TOC and TN
3.5. Impact of Biochar on Compost Mineralization
3.6. Discussion
3.6.1. pH and Temperature
3.6.2. C:N Ratio
3.6.3. Nitrification Index
3.6.4. Respiration Activity (AT4)
3.6.5. Heavy Metal Contents vs. Compost Quality
3.6.6. Evaluation of Biochar Effect on FW Composting
4. Conclusions
Author Contributions
Funding
Acknowledgments
Conflicts of Interest
References
- Slorach, P.C.; Jeswani, H.K.; Cuéllar-Franca, R.; Azapagic, A. Environmental sustainability of anaerobic digestion of household food waste. J. Environ. Manag. 2019, 236, 798–814. [Google Scholar] [CrossRef] [PubMed]
- FAO. 2014. Available online: http://www.fao.org/news/archive/newsbydate/2014/fr/ (accessed on 27 April 2019).
- FAOSTAT. 2017. Available online: http://www.fao.org/faostat/en/#data/EMN/visualize (accessed on 3 July 2019).
- Kalus, K.; Koziel, J.A.; Opaliński, S. A Review of Biochar Properties and Their Utilization in Crop Agriculture and Livestock Production. Appl. Sci. 2019, 9, 3494. [Google Scholar] [CrossRef]
- Wu, D.; Li, L.; Zhao, X.; Peng, Y.; Yang, P.; Peng, X. Anaerobic digestion: A review on process monitoring. Renew. Sustain. Energy Rev. 2019, 103, 1–12. [Google Scholar] [CrossRef]
- Corrado, S.; Caldeira, C.; Eriksson, M.; Hanssen, O.J.; Hauser, H.E.; van Holsteijn, F.; Liu, G.; Östergren, K.; Parry, A.; Secondi, L.; et al. Food waste accounting methodologies: Challenges, opportunities, and further advancements. Glob. Food Secur. 2019, 20, 93–100. [Google Scholar] [CrossRef] [PubMed]
- Azim, K. Composting parameters and compost quality: A literature review. Org. Agric. 2017, 8, 1–18. [Google Scholar] [CrossRef]
- Barthod, J.; Rumpel, C.; Dignac, M.F. Composting with additives to improve organic amendments. A review. Agron. Sustain. Dev. 2018, 38, 17. [Google Scholar] [CrossRef]
- Fan, H.; Liao, J.; Abass, O.K.; Liu, L.; Huang, X.; Wei, L.; Li, J.; Xie, W.; Liu, C. Effects of compost characteristics on nutrient retention and simultaneous pollutant immobilization and degradation during co-composting process. Bioresour. Technol. 2019, 275, 61–69. [Google Scholar] [CrossRef] [PubMed]
- Calabi-Floody, M.; Medina, J.; Suazo, J.; Ordiqueo, M.; Aponte, H.; Mora, M.D.; Rumpel, C. Optimization of wheat straw co-composting for carrier material development. Waste Manag. 2019, 98, 37–49. [Google Scholar] [CrossRef] [PubMed]
- Chen, Y.-T. A Cost Analysis of Food Waste Composting in Taiwan. Sustainability 2016, 8, 1210. [Google Scholar] [CrossRef]
- Yang, F.; Li, G.X.; Yang, Q.Y.; Luo, W.H. Effect of bulking agents on maturity and gaseous emissions during kitchen waste composting. Chemosphere 2013, 93, 1393–1399. [Google Scholar] [CrossRef]
- Reyes-Torres, M.; Oviedo-Ocaña, E.R.; Dominguez, I.; Komilis, D.; Sánchez, A. A systematic review on the composting of green waste: Feedstock quality and optimization strategies. Waste Manag. 2018, 77, 486–499. [Google Scholar] [CrossRef] [PubMed]
- Karnchanawong, S.; Nissaikla, S. Effects of microbial inoculation on composting of household organic waste using passive aeration bin. Int. J. Recycl. Org. Waste Agric. 2014, 3, 113–119. [Google Scholar] [CrossRef]
- Adhikari, B.K.; Barrington, S.; Martinez, J.; King, S. Characterization of food waste and bulking agents for composting. Waste Manag. 2008, 28, 795–804. [Google Scholar] [CrossRef] [PubMed]
- Guidoni, L.L.; Marques, R.V.; Moncks, R.B.; Botelho, F.T.; da Paz, M.F.; Corrêa, L.B.; Corrêa, É.K. Home composting using different ratios of bulking agent to food waste. J. Environ. Manag. 2018, 207, 141–150. [Google Scholar] [CrossRef] [PubMed]
- Vargas-Garcı, M.C.; Suárez-Estrella, F.; López, M.J.; Moreno, J. Effect of inoculation in composting processes: Modifications in lignocellulosic fraction. Waste Manag. 2007, 27, 1099–1107. [Google Scholar] [CrossRef]
- Kato, K.; Miura, N. Effect of matured compost as a bulking and inoculating agent on the microbial community and maturity of cattle manure compost. Bioresour. Technol. 2008, 99, 3372–3380. [Google Scholar] [CrossRef]
- Waqas, M.; Nizami, A.S.; Aburiazaiza, A.S.; Barakat, M.A.; Ismail, I.M.I.; Rashid, M.I. Optimization of food waste compost with the use of biochar. J. Environ. Manag. 2018, 216, 70–81. [Google Scholar] [CrossRef]
- Du, C.; Abdullah, J.J.; Greetham, D.; Fu, D.; Yu, M.; Ren, L.; Li, S.; Lu, D. Valorization of food waste into biofertiliser and its field application. J. Clean. Prod. 2018, 187, 273–284. [Google Scholar] [CrossRef]
- Glaser, B.; Haumaier, L.; Guggenberger, G.; Zech, W. The ‘Terra Preta’ phenomenon: A model for sustainable agriculture in the humid tropics. Naturwissenschaften 2001, 88, 37–41. [Google Scholar] [CrossRef]
- Agegnehu, G.; Bass, A.M.; Nelson, P.N.; Bird, M.I. Benefits of biochar, compost and biochar–compost for soil quality, maize yield and greenhouse gas emissions in a tropical agricultural soil. Sci. Total Environ. 2016, 543, 295–306. [Google Scholar] [CrossRef]
- Malinowski, M.; Wolny-Koładka, K.; Vaverková, M.D. Effect of biochar addition on the OFMSW composting process under real conditions. Waste Manag. 2019, 84, 364–372. [Google Scholar] [CrossRef] [PubMed]
- Sanchez-Monedero, M.A.; Cayuela, M.L.; Roig, A.; Jindo, K.; Mondini, C.; Bolan, N. Role of biochar as an additive in organic waste composting. Bioresour. Technol. 2018, 247, 1155–1164. [Google Scholar] [CrossRef] [PubMed]
- Adhikari, B.K.; Barrington, S.; Martinez, J.; King, S. Effectiveness of three bulking agents for food waste composting. Waste Manag. 2009, 29, 197–203. [Google Scholar] [CrossRef] [PubMed]
- Jolanun, B.; Towprayoon, S. Novel bulking agent from clay residue for food waste composting. Bioresour. Technol. 2010, 101, 4484–4490. [Google Scholar] [CrossRef] [PubMed]
- Makan, A.; Assobhei, O.; Mountadar, M. Effect of initial moisture content on the in-vessel composting under air pressure of organic fraction of municipal solid waste in Morocco. Iran. J. Environ. Health Sci. Eng. 2013, 10, 3. [Google Scholar] [CrossRef] [PubMed]
- Kopeć, M.; Baran, A.; Mierzwa-Hersztek, M.; Gondek, K.; Chmiel, M.J. Effect of the Addition of Biochar and Coffee Grounds on the Biological Properties and Ecotoxicity of Composts. Waste Biomass Valor 2018, 9, 1389–1398. [Google Scholar] [CrossRef]
- Zhang, J.; Lü, F.; Shao, L.; He, P. The use of biochar-amended composting to improve the humification and degradation of sewage sludge. Bioresour. Technol. 2014, 168, 252–258. [Google Scholar] [CrossRef]
- Franke-Whittle, I.H.; Confalonieri, A.; Insam, H.; Schlegelmilch, M.; Körner, I. Changes in the microbial communities during co-composting of digestates. Waste Manag. 2014, 34, 632–641. [Google Scholar] [CrossRef]
- Zhang, J.; Chen, G.; Sun, H.; Zhou, S.; Zou, G. Straw biochar hastens organic matter degradation and produces nutrient-rich compost. Bioresour. Technol. 2016, 200, 876–883. [Google Scholar] [CrossRef]
- Lasaridi, K.; Protopapa, I.; Kotsou, M.; Pilidis, G.; Manios, T.; Kyriacou, A. Quality assessment of composts in the Greek market: The need for standards and quality assurance. J. Environ. Manag. 2006, 80, 58–65. [Google Scholar] [CrossRef]
- Prost, K.; Borchard, N.; Siemens, J.; Kautz, T.; Séquaris, J.M.; Möller, A.; Amelung, W. Biochar Affected by Composting with Farmyard Manure. J. Environ. Qual. 2013, 42, 164–172. [Google Scholar] [CrossRef] [PubMed]
- Awasthi, M.K.; Wang, Q.; Chen, H.; Wang, M.; Awasthi, S.K.; Ren, X.; Cai, H.; Li, R.; Zhang, Z. In-vessel co-composting of biosolid: Focusing on mitigation of greenhouse gases emissions and nutrients conservation. Renew. Energy 2018, 129, 814–823. [Google Scholar] [CrossRef]
- Yang, F.; Li, Y.; Han, Y.; Qian, W.; Li, G.; Luo, W. Performance of mature compost to control gaseous emissions in kitchen waste composting. Sci. Total Environ. 2019, 657, 262–269. [Google Scholar] [CrossRef] [PubMed]
- Agyarko-Mintah, E.; Cowie, A.; Van Zwieten, L.; Singh, B.P.; Smillie, R.; Harden, S.; Fornasier, F. Biochar lowers ammonia emission and improves nitrogen retention in poultry litter composting. Waste Manag. 2017, 61, 129–137. [Google Scholar] [CrossRef] [PubMed]
- Jain, M.S.; Jambhulkar, R.; Kalamdhad, A.S. Biochar amendment for batch composting of nitrogen rich organic waste: Effect on degradation kinetics, composting physics and nutritional properties. Bioresour. Technol. 2018, 253, 204–213. [Google Scholar] [CrossRef] [PubMed]
- Xu, Z.; Zhao, B.; Wang, Y.; Xiao, J.; Wang, X. Composting process and odor emission varied in windrow and trough composting system under different air humidity conditions. Bioresour. Technol. 2020, 297, 122482. [Google Scholar] [CrossRef] [PubMed]
- Dias, B.O.; Silva, C.A.; Higashikawa, F.S.; Roig, A.; Sánchez-Monedero, M.A. Use of biochar as bulking agent for the composting of poultry manure: Effect on organic matter degradation and humification. Bioresour. Technol. 2010, 101, 1239–1246. [Google Scholar] [CrossRef]
- Liu, W.; Huo, R.; Xu, J.; Liang, S.; Li, J.; Zhao, T.; Wang, S. Effects of biochar on nitrogen transformation and heavy metals in sludge composting. Bioresour. Technol. 2017, 235, 43–49. [Google Scholar] [CrossRef]
- Liu, N.; Zhou, J.; Han, L.; Ma, S.; Sun, X.; Huang, G. Role and multi-scale characterization of bamboo biochar during poultry manure aerobic composting. Bioresour. Technol. 2017, 241, 190–199. [Google Scholar] [CrossRef]
- Al-Bataina, B.B.; Young, T.M.; Ranieri, E. Effects of compost age on the release of nutrients. Int. Soil Water Conserv. Res. 2016, 4, 230–236. [Google Scholar] [CrossRef]
- Domingues, R.R.; Trugilho, P.F.; Silva, C.A.; de Melo, I.C.; Melo, L.C.; Magriotis, Z.M.; Sanchez-Monedero, M.A. Properties of biochar derived from wood and high-nutrient biomasses with the aim of agronomic and environmental benefits. PLoS ONE 2017, 12, e0176884. [Google Scholar] [CrossRef] [PubMed]
- Yu, H.; Xie, B.; Khan, R.; Shen, G. The changes in carbon, nitrogen components and humic substances during organic-inorganic aerobic co-composting. Bioresour. Technol. 2019, 271, 228–235. [Google Scholar] [CrossRef] [PubMed]
- Fidel, R.B.; Laird, D.A.; Thompson, M.L.; Lawrinenko, M. Characterization and quantification of biochar alkalinity. Chemosphere 2017, 167, 367–373. [Google Scholar] [CrossRef] [PubMed]
- Cáceres, R.; Malińska, K.; Marfà, O. Nitrification within composting: A review. Waste Manag. 2018, 72, 119–137. [Google Scholar] [CrossRef] [PubMed]
- Yin, Y.; Yang, C.; Gu, J.; Wang, X.; Zheng, W.; Wang, R.; Wang, X.; Chen, R. Roles of nxrA-like oxidizers and nirS-like reducers in nitrite conversion during swine manure composting. Bioresour. Technol. 2020, 297, 122426. [Google Scholar] [CrossRef] [PubMed]
- Awasthi, M.K.; Wang, Q.; Chen, H.; Wang, M.; Ren, X.; Zhao, J.; Li, J.; Guo, D.; Li, D.S.; Awasthi, S.K.; et al. Evaluation of biochar amended biosolids co-composting to improve the nutrient transformation and its correlation as a function for the production of nutrient-rich compost. Bioresour. Technol. 2017, 237, 156–166. [Google Scholar] [CrossRef] [PubMed]
- Godlewska, P.; Schmidt, H.P.; Ok, Y.S.; Oleszczuk, P. Biochar for composting improvement and contaminants reduction. A review. Bioresour. Technol. 2017, 246, 193–202. [Google Scholar] [CrossRef]
- Bożym, M.; Siemiątkowski, G. Assessment of Composition Changes, Stability Degree and the Potential of Biogas Formation of Sewage Sludge Composts During Maturation Process. Waste Biomass Valor 2019. [Google Scholar] [CrossRef]
- Hemidat, S.; Jaar, M.; Nassour, A.; Nelles, M. Monitoring of Composting Process Parameters: A Case Study in Jordan. Waste Biomass Valor 2018, 9, 2257–2274. [Google Scholar] [CrossRef]
- Bian, B.; Hu, X.; Zhang, S.; Lv, C.; Yang, Z.; Yang, W.; Zhang, L. Pilot-scale composting of typical multiple agricultural wastes: Parameter optimization and mechanisms. Bioresour. Technol. 2019, 287, 121482. [Google Scholar] [CrossRef]
- Jien, S.-H. Chapter 2—Physical Characteristics of Biochars and Their Effects on Soil Physical Properties. In Biochar from Biomass and Waste; Ok, Y.S., Tsang, D.C.W., Bolan, N., Novak, J.M., Eds.; Elsevier: Amsterdam, The Netherlands, 2019; pp. 21–35. [Google Scholar]
- Meng, L.; Li, W.; Zhang, S.; Wu, C.; Lv, L. Feasibility of co-composting of sewage sludge, spent mushroom substrate and wheat straw. Bioresour. Technol. 2017, 226, 39–45. [Google Scholar] [CrossRef] [PubMed]
- Lin, L.; Xu, F.; Ge, X.; Li, Y. Chapter Four—Biological treatment of organic materials for energy and nutrients production—Anaerobic digestion and composting. In Advances in Bioenergy; Li, Y., Ge, X., Eds.; Elsevier: Amsterdam, The Netherlands, 2019; Volume 4, pp. 121–181. [Google Scholar]
- Vázquez, M.A.; Soto, M. The efficiency of home composting programmes and compost quality. Waste Manag. 2017, 64, 39–50. [Google Scholar] [CrossRef] [PubMed]









| Parameter | Unit | Food Waste | Wheat Straw | Mature Compost | Biochar | BC0 | BC10 | BC20 |
|---|---|---|---|---|---|---|---|---|
| pH | - | 4.22 | - | 7.80 | 10.21 | 5.87 | 7.38 | 7.94 |
| Conductivity (EC) | (mS/cm) | 5.71 | - | 3.29 | 12.73 | 11.12 | 10.32 | 10.12 |
| Water content | % of FM 1 | 77.40 | 6.50 | 53.30 | 2.40 | 67.4 | 67.4 | 67.4 |
| Total solids | % of FM | 22.60 | 93.50 | 46.70 | 97.60 | 32.6 | 32.6 | 32.6 |
| Volatile solids | % of TS 2 | 94.60 | 95.00 | 43.20 | 83.00 | 89.1 | 82.6 | 79.6 |
| Carbon (C) | % of TS | 47.10 | 45.00 | 22.50 | 52.47 | 40.43 | 49.78 | 54.12 |
| Nitrogen (N) | % of TS | 2.80 | 0.60 | 1.60 | - | 1.95 | 1.84 | 1.73 |
| Phosphors (P) | % of TS | 0.48 | 0.06 | 0.52 | 0.07 | 0.38 | 0.36 | 0.31 |
| Potassium (K) | % of TS | 0.91 | 1.74 | 1.12 | 5.21 | 1.17 | 1.55 | 1.78 |
| Magnesium (Mg) | % of TS | 0.09 | 0.25 | 1.22 | 2.29 | 0.41 | 0.57 | 0.72 |
| Lead (Pb) | mg/kg TS | 0.91 | 0.21 | 20.63 | 1.10 | - | - | - |
| Copper (Cu) | mg/kg TS | 6.82 | 1.78 | 23.30 | 9.86 | - | - | - |
| Zinc (Zn) | mg/kg TS | 16.33 | 16.60 | 143 | 8.10 | - | - | - |
| Nickel (Ni) | mg/kg TS | 0.95 | 5.78 | 9.34 | 9.34 | - | - | - |
| Cadmium (Cd) | mg/kg TS | 0.07 | 0.08 | 0.26 | <0.01 | - | - | - |
| Chrome (Cr) | mg/kg TS | 2.31 | 10.5 | 24.7 | 67.80 | - | - | - |
| Arsenic (As) | mg/kg TS | 0.57 | 0.07 | 3.10 | 0.41 | - | - | - |
| Mercury (Hg) | mg/kg TS | 0.03 | <0.01 | <0.05 | 0.03 | - | - | - |
| The Class of Compost | AT4 (mg O2/g TS) | Product Description |
|---|---|---|
| I | >40 | Compost raw materials |
| II | 28–40 | Fresh compost |
| III | 16–28 | Fresh compost |
| IV | 6–16 | Finished compost |
| V | <6 | Finished compost |
| Metal | Actual Experiments | Compost Quality | ||||||||
|---|---|---|---|---|---|---|---|---|---|---|
| BC0 | BC10 | BC20 | UK | France | Canada | USA | Poland | Germany | ||
| Class A | Class B | |||||||||
| Lead (Pb) | 13.93 | 9.7 | 6.96 | 200 | 180 | 150 | 300 | 350 | 150 | 100 |
| Copper (Cu) | 28.50 | 17.30 | 12.30 | 200 | 300 | 400 | 1500 | 300 | 100 | 70 |
| Zinc (Zn) | 159.20 | 79.94 | 61.04 | 400 | 600 | 700 | 2800 | 1500 | 400 | 300 |
| Nickel (Ni) | 32.50 | 13.30 | 10.30 | 50 | 60 | 62 | 420 | 100 | 50 | 35 |
| Cadmium (Cd) | 0.16 | 0.23 | 0.21 | 1.5 | 3 | 3 | 39 | 5 | 1.5 | 1.0 |
| Chrome (Cr) | 8.13 | 10.90 | 17.30 | 100 | 120 | 210 | - | 300 | 100 | 70 |
| Mercury (Hg) | 0.06 | <0.04 | <0.04 | - | - | - | - | - | 1.0 | 0.7 |
| Trial | Thermophilic Phase Duration (days) | Tmax (°C) | MC (%) | pH | NI | C:N Ratio | AT4 (mg O2/g TS) | Classification vs. “German Standards“ | Color |
|---|---|---|---|---|---|---|---|---|---|
| BC0 | 9 days | 61 °C | 56.2% | 7.81 | 2.21 | 11.60 | 4.84 | Class B | Brown |
| BC10 | 14 days | 66 °C | 49.7% | 8.05 | 2.61 | 14.97 | 4.36 | Class B | Dark |
| BC20 | 11 days | 72 °C | 43.7% | 9.12 | 3.29 | 19.26 | 7.32 | Class B | Dark |
© 2020 by the authors. Licensee MDPI, Basel, Switzerland. This article is an open access article distributed under the terms and conditions of the Creative Commons Attribution (CC BY) license (http://creativecommons.org/licenses/by/4.0/).
Share and Cite
Chaher, N.E.H.; Chakchouk, M.; Engler, N.; Nassour, A.; Nelles, M.; Hamdi, M. Optimization of Food Waste and Biochar In-Vessel Co-Composting. Sustainability 2020, 12, 1356. https://doi.org/10.3390/su12041356
Chaher NEH, Chakchouk M, Engler N, Nassour A, Nelles M, Hamdi M. Optimization of Food Waste and Biochar In-Vessel Co-Composting. Sustainability. 2020; 12(4):1356. https://doi.org/10.3390/su12041356
Chicago/Turabian StyleChaher, Nour El Houda, Mehrez Chakchouk, Nils Engler, Abdallah Nassour, Michael Nelles, and Moktar Hamdi. 2020. "Optimization of Food Waste and Biochar In-Vessel Co-Composting" Sustainability 12, no. 4: 1356. https://doi.org/10.3390/su12041356
APA StyleChaher, N. E. H., Chakchouk, M., Engler, N., Nassour, A., Nelles, M., & Hamdi, M. (2020). Optimization of Food Waste and Biochar In-Vessel Co-Composting. Sustainability, 12(4), 1356. https://doi.org/10.3390/su12041356

