The Dependence Between Shear Strength Parameters and Microstructure of Subgrade Soil in Seasonal Permafrost Area
Abstract
1. Introduction
2. Materials and Methods
2.1. Materials
2.2. Test Program
2.2.1. Preparing and FT of Test Samples
2.2.2. Test Procedures of Shear Strength Parameters
2.2.3. Preparation and Test Procedures of Microstructure Sample
2.2.4. Image Processing and Data Acquisition
3. Results and Discussion
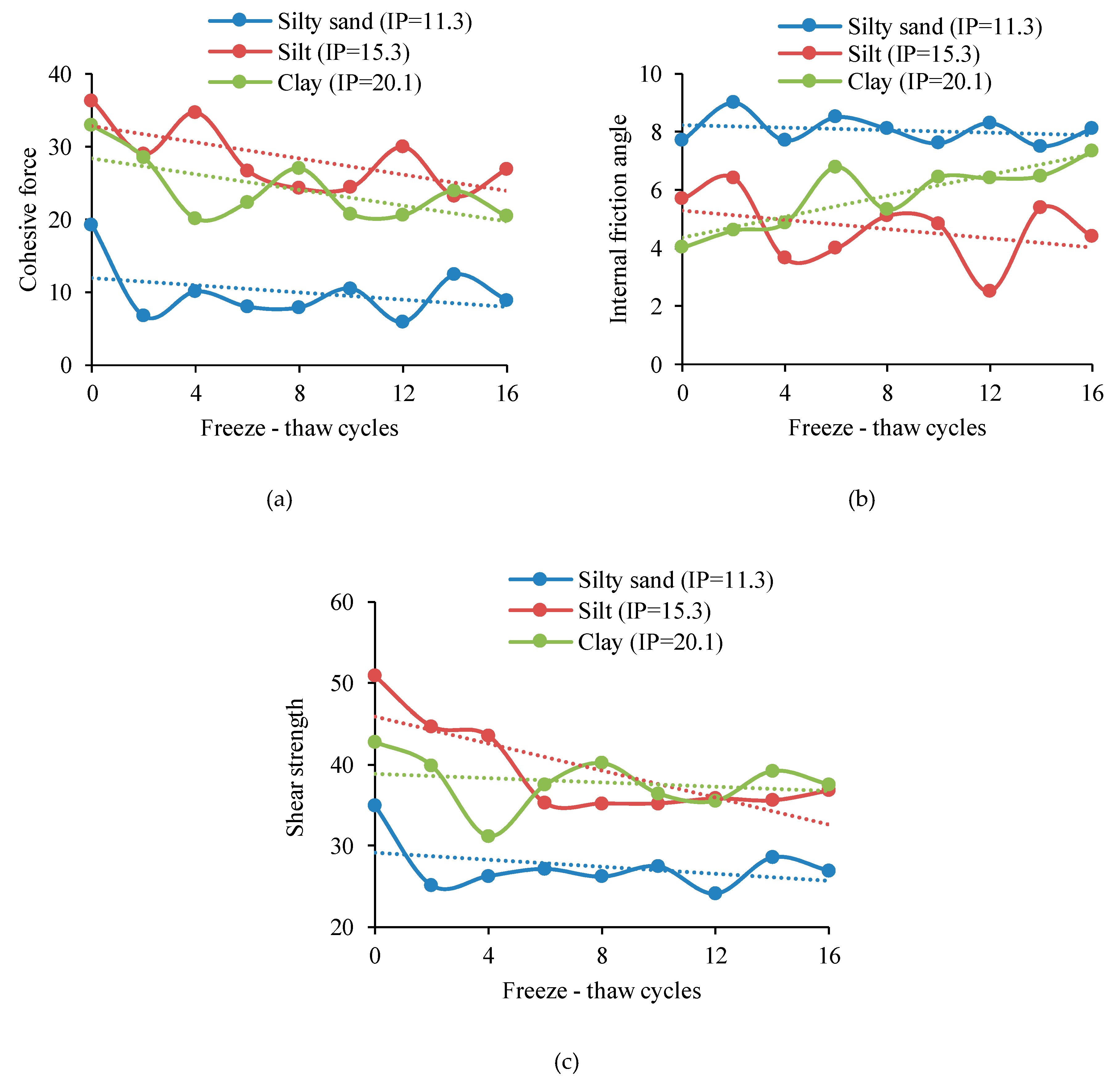
3.1. Shear Strength Parameters
3.2. Microstructure Parameters
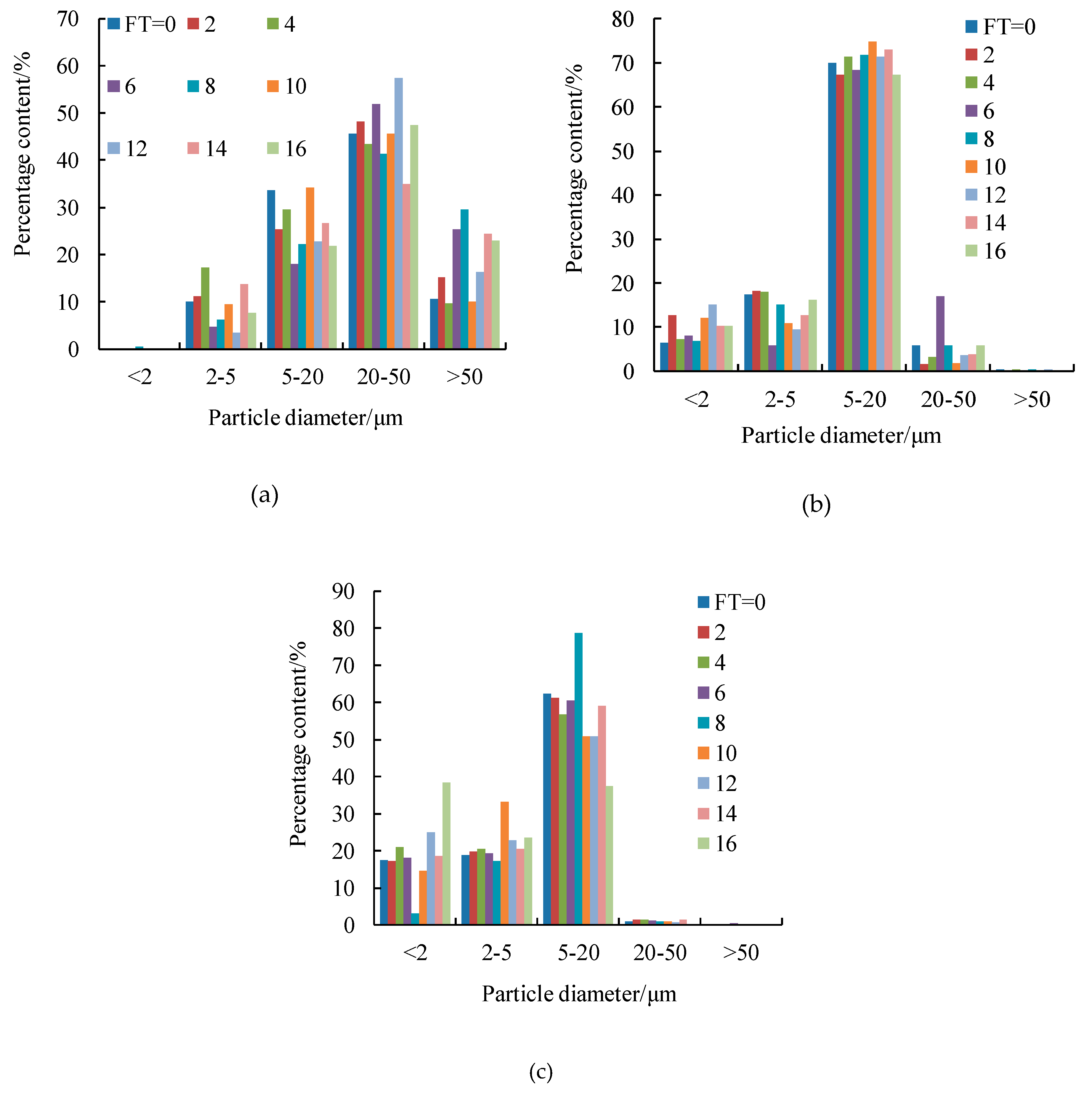
3.2.1. Particle Diameter Distribution
3.2.2. Particle Diameter
3.2.3. Particle Number
3.2.4. Particle Roundness
3.2.5. Particle Fractal Dimension
3.2.6. Particle Directional Probability Entropy
3.2.7. Particle Direction Simulation
3.2.8. Pore Diameter Distribution
3.2.9. Pore Diameter
3.2.10. Pore Number
4. Spearman’s Rank Correlation Coefficient Method (SRCCM)
5. Conclusions
- (1)
- The cohesion and shear strength of three types of subgrade soils are gradually reduced with the increase of the number of FT cycles. After FT, the shear strength of soil samples is reduced by about 30%.
- (2)
- During FT, soil particles will reunite and split many times, resulting in changes in soil particles and pore properties. With an increment of the number of FT cycles, the diameter and number of soil particles and pores tend to increase, while the roundness, fractal dimension and directional probabilistic entropy of particles all decrease.
- (3)
- With the increase of the plasticity index, the particle and pore diameter decreases, but the particle and pore number increases. In addition, subgrade soils with higher plasticity index have higher cohesion and lower angle of internal friction.
- (4)
- Regardless of the autocorrelation effect of microstructure parameters, particle roundness has the greatest influence on the cohesion and angle of internal friction of shear strength parameters.
Author Contributions
Funding
Acknowledgments
Conflicts of Interest
References
- Lininger, K.B.; Wohl, E. Floodplain dynamics in North American permafrost regions under a warming climate and implications for organic carbon stocks: A review and synthesis. Earth-Sci. Rev. 2019, 193, 24–44. [Google Scholar] [CrossRef]
- Watanabe, T.; Tateno, R.; Imada, S.; Fukuzawa, K.; Isobe, K.; Urakawa, R.; Oda, T.; Hosokawa, N.; Sasai, T.; Inagaki, Y.; et al. The effect of a freeze-thaw cycle on dissolved nitrogen dynamics and its relation to dissolved organic matter and soil microbial biomass in the soil of a northern hardwood forest. Biogeochemistry 2019, 142, 319–338. [Google Scholar] [CrossRef]
- Mahedi, M.; Cetin, B.; Cetin, K.S. Freeze-thaw performance of phase change material (PCM) incorporated pavement subgrade soil. Constr. Build. Mater. 2019, 202, 449–464. [Google Scholar] [CrossRef]
- Hazirbaba, K. Effects of freeze-thaw on settlement of fine grained soil subjected to cyclic loading. Cold Reg. Sci. Technol. 2019, 160, 222–229. [Google Scholar] [CrossRef]
- Kraatz, S.; Miller, H.J.; Jacobs, J.M. Remotely Sensed Freeze-Thaw from the Soil Moisture Active Passive Instrument to Inform the Timing of Seasonal Load Restrictions in Alaska. Transp. Res. Rec. 2019, 2673, 410–418. [Google Scholar] [CrossRef]
- Garzon, E.; Sanchez-Soto, P.J.; Romero, E. Physical and geotechnical properties of clay phyllites. Appl. Clay Sci. 2010, 48, 307–318. [Google Scholar] [CrossRef]
- Han, C.P.; Cheng, P.F. Micropore variation and particle fractal representation of lime-stabilised subgrade soil under freeze-thaw cycles. Road Mater. Pavement 2015, 16, 19–30. [Google Scholar] [CrossRef]
- Meng, T.; Qiang, Y.; Hu, A.; Xu, C.; Lin, L. Effect of compound nano-CaCO 3 addition on strength development and microstructure of cement-stabilized soil in the marine environment. Constr. Build. Mater. 2017, 151, 775–781. [Google Scholar] [CrossRef]
- Wei, H.B.; Zhang, Y.P.; Wang, F.Y.; Che, G.F.; Li, Q.L. Experimental Research on Resilient Modulus of Silty Clay Modified by Oil Shale Ash and Fly Ash after Freeze-Thaw Cycles. Appl. Sci. 2018, 8, 1298. [Google Scholar] [CrossRef]
- Wang, D.Y.; Ma, W.; Niu, Y.H.; Chang, X.X.; Wen, Z. Effects of cyclic freezing and thawing on mechanical properties of Qinghai–Tibet clay. Cold Reg. Sci. Technol. 2007, 48, 34–43. [Google Scholar] [CrossRef]
- Liu, J.K.; Chang, D.; Yu, Q.M. Influence of freeze-thaw cycles on mechanical properties of a silty sand. Eng. Geol. 2016, 210, 23–32. [Google Scholar] [CrossRef]
- Orakoglu, M.E.; Liu, J.; Lin, R.; Tian, Y. Performance of Clay Soil Reinforced with Fly Ash and Lignin Fiber Subjected to Freeze-Thaw Cycles. J. Cold Reg. Eng. 2017, 31, 04017013. [Google Scholar] [CrossRef]
- Zhou, Z.; Ma, W.; Zhang, S.; Mu, Y.; Li, G. Effect of freeze-thaw cycles in mechanical behaviors of frozen loess. Cold Reg. Sci. Technol. 2018, 146, 9–18. [Google Scholar] [CrossRef]
- Zhou, J.; Tang, Y. Experimental inference on dual-porosity aggravation of soft clay after freeze-thaw by fractal and probability analysis. Cold Reg. Sci. Technol. 2018, 153, 181–196. [Google Scholar] [CrossRef]
- Di Sante, M.; Fratalocchi, E.; Mazzieri, F.; Pasqualini, E. Time of reactions in a lime treated clayey soil and influence of curing conditions on its microstructure and behaviour. Appl. Clay Sci. 2014, 99, 100–109. [Google Scholar] [CrossRef]
- Bahloul, O.; Abbeche, K.; Bahloul, A.; Cui, Y.J.; Ghabezloo, S.; Pereira, J.M.; Tang, A.M. Study of the microstructure of a collapsible soil flooded with NaCl saline. In Proceedings of the E3S Web of Conferences, Paris, France, 12–14 September 2016; Volume 9. [Google Scholar]
- Tang, Y.Q.; Zhou, J.; Hong, J.; Yang, P.; Wang, J.X. Quantitative analysis of the microstructure of Shanghai muddy clay before and after freezing. B Eng. Geol. Environ. 2011, 71, 309–316. [Google Scholar] [CrossRef]
- Tang, Y.; Li, J. Test method and application for microstructures of undisturbed silty sand and sandy silt. Environ. Earth Sci. 2018, 77, 657. [Google Scholar] [CrossRef]
- Zhang, Z.-L.; Cui, Z.-D. Analysis of microscopic pore structures of the silty clay before and after freezing–thawing under the subway vibration loading. Environ. Earth Sci. 2017, 76, 528. [Google Scholar] [CrossRef]
- Neto, M.P.C.; Hernandez, O.; Reinaldo, R.L.; Borges, C.; Caicedo, B. Study of the relationship between the hydromechanical soil behavior and microstructure of a structured soil. Earth Sci. Res. J. 2018, 22, 91–101. [Google Scholar] [CrossRef]
- Voltoini, M.; Tas, N.; Wang, S.; Brodie, E.L.; Ajo-Franklin, J.B. Quantitative characterization of soil micro-aggregates: New opportunities from sub-micron resolution synchrotron X-ray microtomography. Geoderma 2017, 305, 382–393. [Google Scholar] [CrossRef]
- Trzcinski, J.; Wojcik, E. Application of microstructure classification for the assessment of the variability of geological-engineering and pore space properties in clay soils. Open Geosci. 2019, 11, 236–248. [Google Scholar] [CrossRef]
- Hazirbaba, K.; Zhang, Y.; Hulsey, J.L. Evaluation of temperature and freeze-thaw effects on excess pore pressure generation of fine-grained soils. Soil Dyn. Earthq. Eng. 2011, 31, 372–384. [Google Scholar] [CrossRef]
- Otalvaro, I.F.; Neto, M.P.C.; Caicedo, B. Compressibility and microstructure of compacted laterites. Transp. Geotech. 2015, 5, 20–34. [Google Scholar] [CrossRef]
- James, J.; Kasinatha Pandian, P. Strength and microstructure of micro ceramic dust admixed lime stabilized soil. Rev. Constr. 2018, 17, 5–22. [Google Scholar] [CrossRef]
- Wasim, M.; Li, C.Q.; Mahmoodian, M.; Robert, D. Quantitative Study of Coupled Effect of Soil Acidity and Saturation on Corrosion and Microstructure of Buried Cast Iron. J. Mater. Civil Eng. 2019, 31, 04019206. [Google Scholar] [CrossRef]
- Valdez, A.S.; Bosch-Serra, A.D.; Yague, M.R.; Poch, R.M.; Puigpinos, E. Earthworm community and soil microstructure changes with long-term organic fertilization. Arch. Agron. Soil. Sci. 2019. [Google Scholar] [CrossRef]
- Sukmak, P.; Kunchariyakun, K.; Sukmak, G.; Horpibulsuk, S.; Kassawat, S.; Arulrajah, A. Strength and Microstructure of Palm Oil Fuel Ash-Fly Ash-Soft Soil Geopolymer Masonry Units. J. Mater. Civil Eng. 2019, 31, 04019164. [Google Scholar] [CrossRef]
- Oliveira, C.F.; Pires, P.J.M.; Teixeira, J.E.S.L. Physical, mechanical, and microstructure investigation of tropical clayey soils stabilised with desulfurisation slag for pavement application. Road Mater. Pavement 2019. [Google Scholar] [CrossRef]
- El Howayek, M.; Bobet, A.; Santagata, M. Microstructure and cementation of two carbonatic fine-grained soils. Can. Geotech. J. 2019, 56, 320–334. [Google Scholar] [CrossRef]
- Gao, Y.; Sun, D.a.; Zhou, A. Hydromechanical behaviour of unsaturated soil with different specimen preparations. Can. Geotech. J. 2016, 53, 909–917. [Google Scholar] [CrossRef]
- Rosone, M.; Celauro, C.; Ferrari, A. Microstructure and shear strength evolution of a lime-treated clay for use in road construction. Int. J. Pavement Eng. 2018. [Google Scholar] [CrossRef]
- Rosone, M.; Megna, B.; Celauro, C. Analysis of the chemical and microstructural modifications effects on the hydro-mechanical behaviour of a lime-treated clay. Int. J. Geotec. Eng. 2019. [Google Scholar] [CrossRef]
- Chen, B.; Sun, D.a.; Yun-shi, H.U. Experimental study on strength characteristics and microscopic mechanism of marine soft clays. Mar. Georesour. Geotec. 2019. [Google Scholar] [CrossRef]
- Yu, C.; Wang, H.; Zhou, A.; Cai, X.; Wu, Z. Experimental Study on Strength and Microstructure of Cemented Soil with Different Suctions. J. Mater. Civil Eng. 2019, 31, 04019082. [Google Scholar] [CrossRef]
- Ministry of Transport of the People’s Republic of China. Test Methods of Soils for Highway Engineering (JTG E40-2007); China Communications Press: Beijing, China, 2007; Volume 18, pp. 223–226. (In Chinese) [Google Scholar]
- Li, G.X. Advanced Soil Mechanics; Tsinghua university press: Beijing, China, 2004; pp. 154–196. [Google Scholar]
- Shi, B. Quantitative assessment of changes of Microstructure for clayey soil in the process of compaction. Chin. J. Geotech. Eng. 1996, 18, 57–62. (In Chinese) [Google Scholar]



















| Sample | Liquid Limit (%) | Plastic Limit (%) | Plasticity Index (%) | Optimum Moisture (%) | Maximum Density (g/cm3) |
|---|---|---|---|---|---|
| Silty sand | 24.7 | 13.4 | 11.3 | 11.1 | 2.04 |
| Silt | 35.9 | 20.6 | 15.3 | 15.3 | 1.86 |
| Clay | 40.2 | 20.1 | 20.1 | 14.1 | 1.83 |
| Correlation | Particle Diameter | Particle Number | Roundness | Fractal Dimension | Particle Directional Probability Entropy | Pore Diameter | Pore Number |
|---|---|---|---|---|---|---|---|
| Cohesion | −0.537** | 0.481* | 0.802** | −0.060 | 0.456* | −0.532** | 0.575** |
| Angle of internal friction | 0.530** | −0.459* | −0.698** | 0.072 | −0.373 | 0.588** | −0.570** |
| Correlation | Particle Diameter | Particle Number | Roundness | Fractal Dimension | Particle Directional Probability Entropy | Pore Diameter | Pore Number |
|---|---|---|---|---|---|---|---|
| Particle diameter | 1.000 | −0.941** | −0.661** | 0.619** | −0.002 | 0.858** | −0.841** |
| Particle number | −0.941** | 1.000 | 0.626** | −0.538** | 0.098 | −0.869** | 0.905** |
| Roundness | −0.661** | 0.626** | 1.000 | −0.203 | 0.385* | −0.532** | 0.690** |
| Fractal dimension | 0.619** | −0.538** | −0.203 | 1.000 | 0.369 | 0.459* | −0.450* |
| Particle directional probability entropy | −0.002 | 0.098** | 0.385* | 0.369 | 1.000 | −0.007 | 0.193 |
| Pore diameter | 0.858** | −0.869** | −0.532** | 0.459* | −0.007 | 1.000 | −0.891** |
| Pore number | −0.841** | 0.905** | 0.690** | −0.450* | 0.193 | −0.891** | 1.000 |
© 2020 by the authors. Licensee MDPI, Basel, Switzerland. This article is an open access article distributed under the terms and conditions of the Creative Commons Attribution (CC BY) license (http://creativecommons.org/licenses/by/4.0/).
Share and Cite
Liu, H.; Lyu, X.; Wang, J.; He, X.; Zhang, Y. The Dependence Between Shear Strength Parameters and Microstructure of Subgrade Soil in Seasonal Permafrost Area. Sustainability 2020, 12, 1264. https://doi.org/10.3390/su12031264
Liu H, Lyu X, Wang J, He X, Zhang Y. The Dependence Between Shear Strength Parameters and Microstructure of Subgrade Soil in Seasonal Permafrost Area. Sustainability. 2020; 12(3):1264. https://doi.org/10.3390/su12031264
Chicago/Turabian StyleLiu, Hanbing, Xiang Lyu, Jing Wang, Xin He, and Yunlong Zhang. 2020. "The Dependence Between Shear Strength Parameters and Microstructure of Subgrade Soil in Seasonal Permafrost Area" Sustainability 12, no. 3: 1264. https://doi.org/10.3390/su12031264
APA StyleLiu, H., Lyu, X., Wang, J., He, X., & Zhang, Y. (2020). The Dependence Between Shear Strength Parameters and Microstructure of Subgrade Soil in Seasonal Permafrost Area. Sustainability, 12(3), 1264. https://doi.org/10.3390/su12031264

