The Effect of Real and Virtual Construction Field Trips on Students’ Perception and Career Aspiration
Abstract
1. Introduction
2. Research Methodology
2.1. Participants and Field Trip Location
2.2. Real Field Trip (Pre-Test and Post-Test)
2.3. Data Analysis
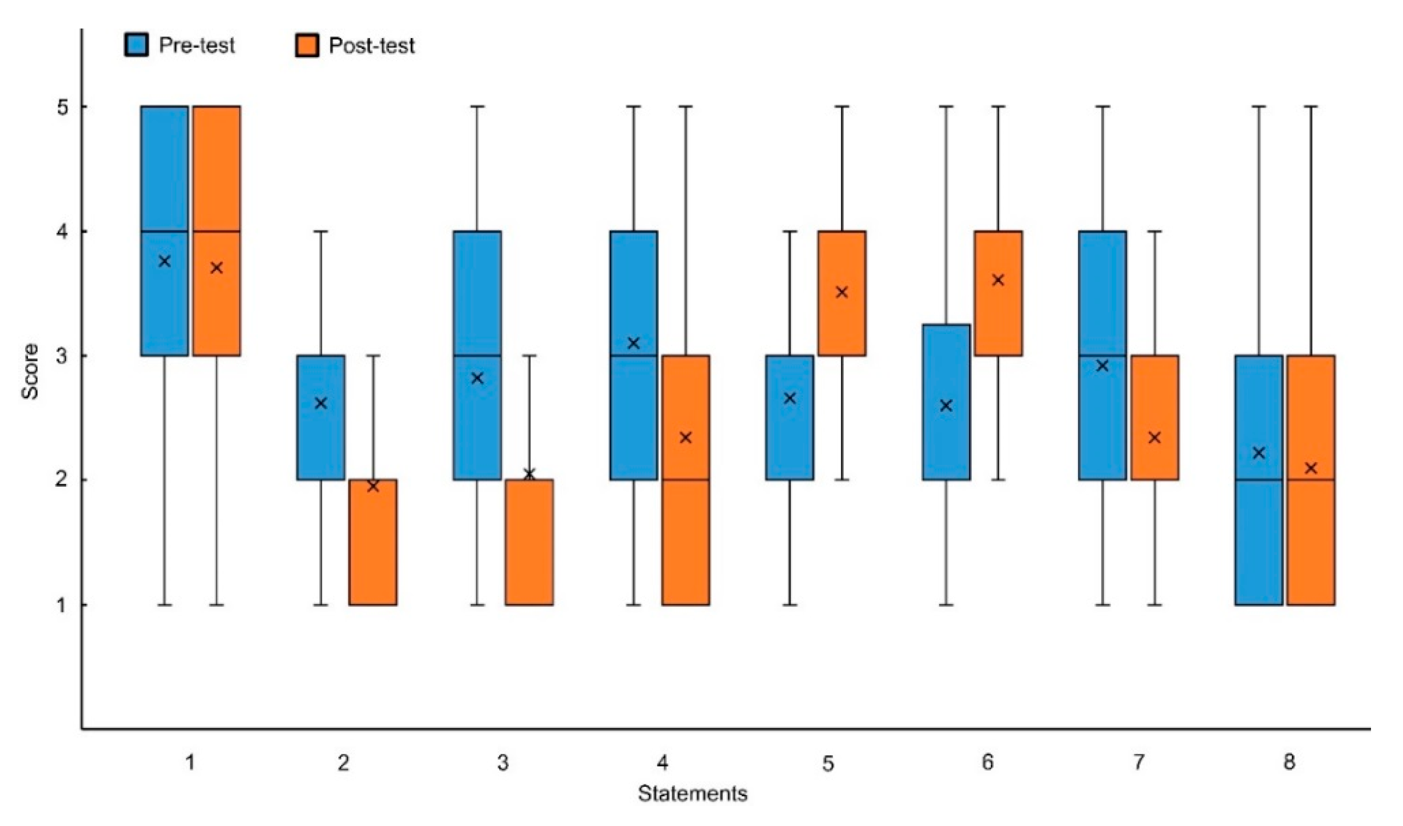
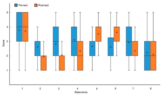
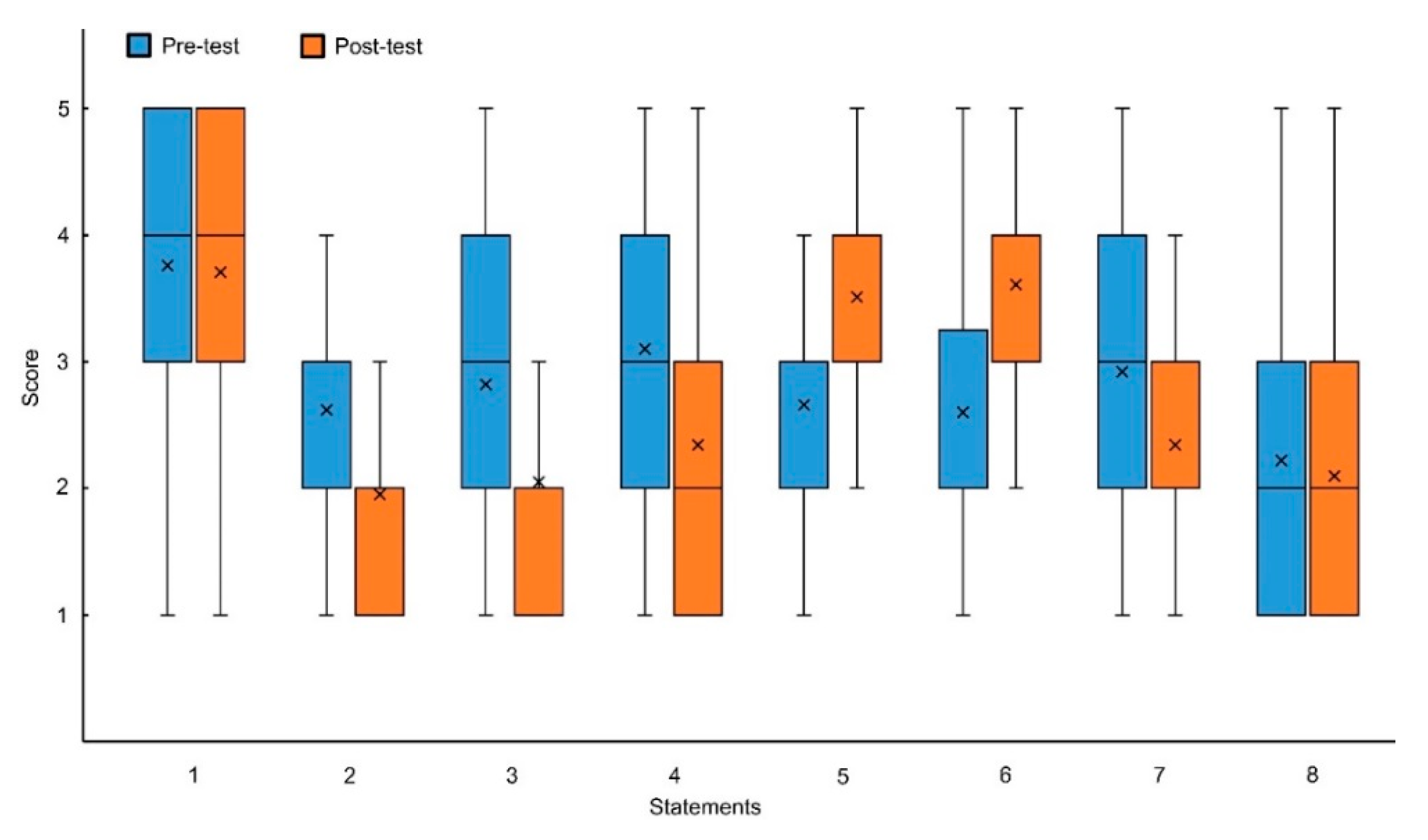
3. Results
3.1. Effect of Real Site Visit on Understanding Different Aspects of the Construction Process
3.2. The Effects of Virtual/Real Site Visit on Students’ Perception
3.3. The Effectiveness of Teaching Components
3.4. Effect of Construction Site Visit on Students’ Career Decision-Making
“Watching videos does not give me the full experience as I site visit would do.”(Student 3)
“You don’t a get a good sense of scale or proper experience from watching a video.”(Student 19)
“Exposure to construction site is critical to understand job-related challenge.”(Student 11)
“I am more likely to be motivated by hearing other people talk about their own experiences and their opinions of the field rather than a video.”(Student 17)
“Because a video won’t provide actual experience. Can’t know whether the person who made the video really has much experience in the field you want to study. Need actual interactions and a person in the industry to show you and explain. A video can’t answer questions.”(Student 14)
4. Discussion
5. Conclusions
Author Contributions
Funding
Acknowledgments
Conflicts of Interest
References
- Paez, D.; Rubio, L.A. The Use of Field Trips in the Context of Engineering Collaborative Teaching Experiences of Hands—On Geomatics Activities in Colombia. Available online: https://www.fig.net/resources/proceedings/fig_proceedings/fig2015/papers/ts04f/TS04F_paez_rubio_7484.pdf (accessed on 5 February 2020).
- Prince, M. Does active learning work? A review of the research. J. Eng. Educ. 2004, 93, 223–231. [Google Scholar] [CrossRef]
- Preszler, R.W. Replacing lecture with peer-led workshops improves student learning. CBE Life Sci. Educ. 2009, 8, 182–192. [Google Scholar] [CrossRef]
- Bligh, D.A. What’s the Use of Lectures? Intellect Books: England, UK, 1998. [Google Scholar]
- Bradbury, N.A. Attention span during lectures: 8 seconds, 10 minutes, or more? AJP Adv. Physiol. Educ. 2016, 40, 509–513. [Google Scholar] [CrossRef]
- Bray, C.J.E.E.R. Program evaluation of the sustainability of teaching methods. Environ. Educ. Res. 2008, 14, 655–666. [Google Scholar] [CrossRef]
- Walker, J.; Cotner, S.H.; Baepler, P.M.; Decker, M.D. A delicate balance: Integrating active learning into a large lecture course. CBE Life Sci. Educ. 2008, 7, 361–367. [Google Scholar] [CrossRef]
- Armstrong, N.; Chang, S.-M.; Brickman, M. Cooperative learning in industrial-sized biology classes. CBE Life Sci. Educ. 2007, 6, 163–171. [Google Scholar] [CrossRef]
- Friess, D.A.; Oliver, G.J.; Quak, M.S.; Lau, A.Y. Incorporating “virtual” and “real world” field trips into introductory geography modules. J. Geogr. High. Educ. 2016, 40, 546–564. [Google Scholar] [CrossRef]
- Day, T. Undergraduate teaching and learning in physical geography. Prog. Phys. Geogr. 2012, 36, 305–332. [Google Scholar] [CrossRef]
- Leydon, J.; Turner, S. The challenges and rewards of introducing field trips into a large introductory geography class. J. Geogr. 2013, 112, 248–261. [Google Scholar] [CrossRef]
- Eiris Pereira, R.; Gheisari, M. Site Visit Application in Construction Education: A Descriptive Study of Faculty Members. Int. J. Constr. Educ. Res. 2017. [Google Scholar] [CrossRef]
- Spicer, J.I.; Stratford, J. Student perceptions of a virtual field trip to replace a real field trip. J. Comput. Assist. Learn. 2001, 17, 345–354. [Google Scholar] [CrossRef]
- Mead, C.; Buxner, S.; Bruce, G.; Taylor, W.; Semken, S.; Anbar, A.D. Immersive, interactive virtual field trips promote science learning. J. Geosci. Educ. 2019, 67, 131–142. [Google Scholar] [CrossRef]
- Argles, T.; Burden, D.; Tilling, S.; Minocha, S. FieldscapesVR: Virtual World Field Trips to Extend and Enrich Field Teaching. Available online: https://www.americangeosciences.org/sites/default/files/igc/2109.pdf (accessed on 6 February 2020).
- Pham, H.C.; Dao, N.-N.; Pedro, A.; Le, Q.T.; Hussain, R.; Cho, S.; Park, C. Virtual field trip for mobile construction safety education using 360-degree panoramic virtual reality. Int. J. Eng. Educ. 2018, 34, 1174–1191. [Google Scholar]
- Jacobson, A.R.; Militello, R.; Baveye, P.C. Development of computer-assisted virtual field trips to support multidisciplinary learning. Comput. Educ. 2009, 52, 571–580. [Google Scholar] [CrossRef]
- Jolley, A.; Kennedy, B.; Reyna, N.; Stahl, T.; Hampton, S.; Sommerville, P.; Wilson, T.; Brogt, E.; Pedley, K.; Davidson, J. Virtual Field trips in tertiary science. 2018. [Google Scholar]
- Fung, F.M.; Choo, W.Y.; Ardisara, A.; Zimmermann, C.D.; Watts, S.; Koscielniak, T.; Blanc, E.; Coumoul, X.; Dumke, R. Applying A Virtual Reality Platform in Environmental Chemistry Education to Conduct A Field Trip to An Overseas Site; ACS Publications: Washington, DC, USA, 2019. [Google Scholar]
- Finger, M.; Serafimova, T. Internalising the external costs of transport. 2019. [Google Scholar]
- Salvucci, R.; Tattini, J. Global Outlook for the Transport Sector in Energy Scenarios. In DTU International Energy Report 2019: Transforming Urban Mobility; DTU: Lyngby, Denmark, 2019; pp. 21–27. [Google Scholar]
- Domínguez, J.C.; Miranda, R.; González, E.J.; Oliet, M.; Alonso, M.V. A virtual lab as a complement to traditional hands-on labs: Characterization of an alkaline electrolyzer for hydrogen production. Educ. Chem. Eng. 2018, 23, 7–17. [Google Scholar] [CrossRef]
- Seifan, M.; Dada, D.; Berenjian, A. The effect of virtual field trip as an introductory tool for an engineering real field trip. Educ. Chem. Eng. 2018. [Google Scholar] [CrossRef]
- Hehr, K.H. Virtual Field Trips as an Educational and Motivational Strategy to Teach Iowa History. Available online: https://lib.dr.iastate.edu/cgi/viewcontent.cgi?article=5185&context=etd (accessed on 6 February 2020).
- Placing, K.; Fernandez, A. Virtual experiences for secondary science teaching. Aust. Sci. Teach. J. 2002, 48, 40. [Google Scholar]
- Elleven, R.; Wircenski, M.; Wircenski, J.; Nimon, K. Curriculum-based Virtual Field Trips: Career Development Opportunities for Students with Disabilities. Available online: https://files.eric.ed.gov/fulltext/EJ854371.pdf (accessed on 6 February 2020).
- Beale, A.V. Elementary school career awareness: A visit to a hospital. J. Career Dev. 2000, 27, 65–72. [Google Scholar] [CrossRef]
- Bubany, S.T.; Krieshok, T.S.; Black, M.D.; McKay, R.A. College students’ perspectives on their career decision making. J. Career Assess. 2008, 16, 177–197. [Google Scholar] [CrossRef]
- Lichtenstein, G.; Loshbaugh, H.G.; Claar, B.; Chen, H.L.; Jackson, K.; Sheppard, S.D. An engineering major does not (necessarily) an engineer make: Career decision making among undergraduate engineering majors. J. Eng. Educ. 2009, 98, 227–234. [Google Scholar] [CrossRef]
- Mills, A.; Ashford, P.; McLaughlin, P. The Value of Experiential Learning for Providing a Contextual Understanding of the Construction Process. Available online: https://dro.deakin.edu.au/eserv/DU:30037064/mills-valueofexperiential-2006.pdf (accessed on 6 February 2020).
- Gruszka, K.; Rammel, C. Science-Society Interfaces—Transforming Universities. In Engaging Stakeholders in Education for Sustainable Development at University Level; Springer: Berlin, Germany, 2016; pp. 177–189. [Google Scholar]
- Ramsden, P. Context and Strategy. In Learning Strategies and Learning Styles; Springer: Berlin, Germany, 1988; pp. 159–184. [Google Scholar]
- Yang, K.Y.; Heh, J.S. The impact of internet virtual physics laboratory instruction on the achievement in physics, science process skills and computer attitudes of 10th-grade students. J. Sci. Educ. Technol. 2007, 16, 451–461. [Google Scholar] [CrossRef]
- Brown, A.; Green, T. Virtual reality: Low-cost tools and resources for the classroom. TechTrends 2016, 60, 517–519. [Google Scholar] [CrossRef]
- Burns, C.; Chopra, S. A meta-analysis of the effect of industry engagement on student learning in undergraduate programs. J. Technol. Manag. Appl. Eng. 2017, 33, 1–20. [Google Scholar]
- Pekkaya, M. Career Preference of University Students: An Application of MCDM Methods. Procedia Econ. Financ. 2015, 23, 249–255. [Google Scholar] [CrossRef]
- Tang, M.; Pan, W.; Newmeyer, M.D. Factors influencing high school students’ career aspirations. Prof. Sch. Couns. 2008, 11, 285–295. [Google Scholar] [CrossRef]
- Azlina, N.; Amin, S.; Lukito, A. Creativity of Field-dependent and Field-independent Students in Posing Mathematical Problems. Available online: https://iopscience.iop.org/article/10.1088/1742-6596/947/1/012031 (accessed on 6 February 2020).
- Arizona State University. Sustainability News: Inspiring Sustainability action through Virtual Field Trips. Available online: https://sustainability.asu.edu/news/archive/inspiring-sustainability-action-through-virtual-field-trips/ (accessed on 2 February 2020).







| No. | Pre-Test Statements | No. | Post-Test Statements | 
|---|---|---|---|
| 1 | A real site visit can increase my interest in Highway and Transportation. | 1 | A real site visit increased my interest in learning more about Highway and Transportation. | 
| 2 | I prefer to watch a virtual site visit (e.g., video) rather than visit a real construction site. | 2 | I prefer to watch a virtual site visit (e.g., video) rather than go to a real construction site. | 
| 3 | Watching videos provides the same sort of information as visiting a real construction site. | 3 | Watching videos provides the same sort of information as visiting a real construction site. | 
| 4 | Watching videos gives me an idea of the scale of machinery, earthworks, etc. at a real construction site. | 4 | Watching videos gives me an idea of the scale of machinery, earthworks, etc. at a real construction site. | 
| 5 | Taking the Highway and Transportation course without a real site visit enables me to think creatively and innovatively. | 5 | Taking the Highway and Transportation course with a real site visit enabled me to think creatively and innovatively. | 
| 6 | Taking the Highway and Transportation course without a real site visit enables me to identify and solve practical problems. | 6 | Taking the Highway and Transportation course with a real site visit enabled me to identify and solve practical problems. | 
| 7 | Taking the Highway and Transportation course without a real site visit enables me to work as a part of a team. | 7 | Taking the Highway and Transportation course without a real site visit enabled me to work as a part of a team. | 
| 8 | I prefer to take the Highway and Transportation course without a real site visit. | 8 | I prefer to take the Highway and Transportation course without a real site visit. | 
| 9 | I can understand most aspects of Highway and Transportation just by watching a video. | 9 | I can understand most aspects of Highway and Transportation just by going to a real highway construction site. | 
| 10 | I easily get lost when watching a video on Highway and Transportation. | 10 | I got lost at the real highway construction site. | 
| 11 | Watching a video enhances my learning and gives me insight on implementing theory in a specialized civil engineering practice. | 11 | Going to a real highway construction site enhanced my learning and gave me an insight on implementing theory in a specialized civil engineering practice. | 
| 12 | The lecture materials are sufficient to understand different aspects of Highways and Transportation. | 12 | Attending a highway construction site is essential in supplementing lecture materials. | 
| 13 | I think the approaches mentioned below can enhance my understanding on Highway and Transportation. | 13 | After visiting the highway construction site, I believe the learning approaches mentioned below can enhance my understanding on Highway and Transportation. | 
| 14 | Do you think you can be motivated enough to choose your future career discipline just by watching videos on civil engineering? | 14 | Do you think going to a real highway construction site was motivating enough to make you choose civil engineering as your future career discipline? | 
| 15 | As a civil engineer, I prefer to work in the following disciplines. | 15 | As a civil engineer, I prefer to work in the following disciplines. | 
| 16 | How would you rate the real highway construction visit in helping you gain industrial insight and self-esteem in designing a highway (from 0 to 8)? | 
| Aspects the Students Liked Most about the Field Trip | Aspects the Students Disliked about the Field Trip | 
|---|---|
| Real-life experience helped to see what we enjoy doing and what we do not. | Too lengthy visit | 
| Exposure to job-related challenges | Weekend field trip | 
| Listening to experts talk about their own experiences and opinions. | Very large groups | 
| Good sense of scale | Not enough pre-information | 
| Site visit definitely supported my decision regarding my career choice | The different roles of the engineers were not explained explicitly at the construction site | 
© 2020 by the authors. Licensee MDPI, Basel, Switzerland. This article is an open access article distributed under the terms and conditions of the Creative Commons Attribution (CC BY) license (http://creativecommons.org/licenses/by/4.0/).
Share and Cite
Seifan, M.; Dada, O.D.; Berenjian, A. The Effect of Real and Virtual Construction Field Trips on Students’ Perception and Career Aspiration. Sustainability 2020, 12, 1200. https://doi.org/10.3390/su12031200
Seifan M, Dada OD, Berenjian A. The Effect of Real and Virtual Construction Field Trips on Students’ Perception and Career Aspiration. Sustainability. 2020; 12(3):1200. https://doi.org/10.3390/su12031200
Chicago/Turabian StyleSeifan, Mostafa, Oluwaseun Deborah Dada, and Aydin Berenjian. 2020. "The Effect of Real and Virtual Construction Field Trips on Students’ Perception and Career Aspiration" Sustainability 12, no. 3: 1200. https://doi.org/10.3390/su12031200
APA StyleSeifan, M., Dada, O. D., & Berenjian, A. (2020). The Effect of Real and Virtual Construction Field Trips on Students’ Perception and Career Aspiration. Sustainability, 12(3), 1200. https://doi.org/10.3390/su12031200
 
        


 
       