Creating Sustainable Meals Supported by the NAHGAST Online Tool—Approach and Effects on GHG Emissions and Use of Natural Resources
Abstract
1. Introduction
- Does an online tool like the NAHGAST instrument enable stakeholders of out-of-home-catering to revise their meals with regard to aspects of a sustainable diet?
- How big are the ecological reduction potentials in the out-of-home consumption sector in terms of meal revision if the NAHGAST tool is used?
2. Materials and Methods
2.1. Food Sustainability Assessment Using the NAHGAST Online Tool
2.2. Evaluation of User Data
2.2.1. Average Dimension and Indicator Results
2.2.2. Determination of the Environmental Impact of Recipe Modifications
3. Results
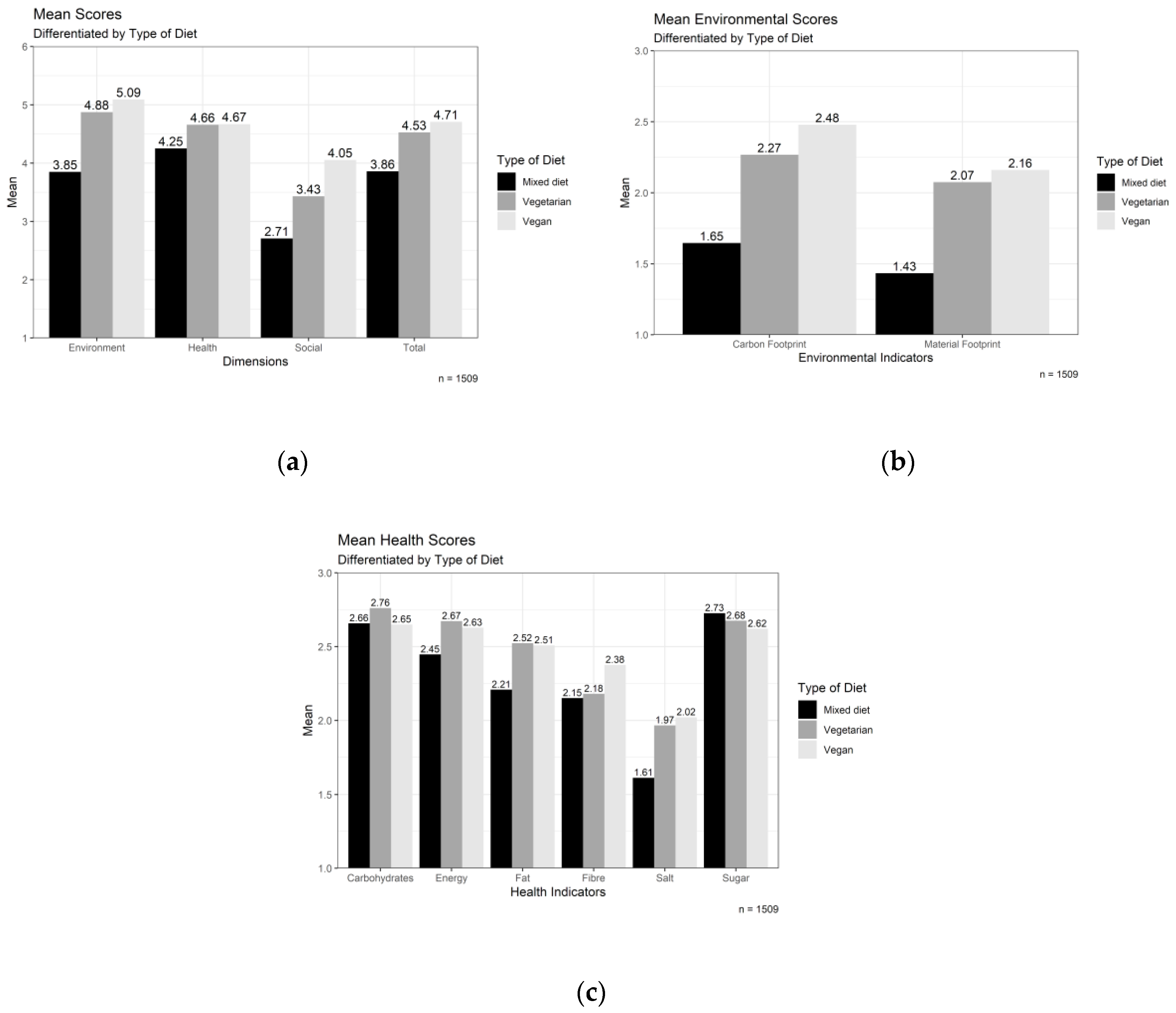
3.1. Average Scores of Sustainability Assessment of User Recipes
3.2. Recipe Composition between Sustainability and Customer Acceptance
3.3. Environmental Improvements in the Out-of-Home Catering Sector Using the NAHGAST Online Tool
4. Discussion
5. Conclusions
Author Contributions
Funding
Acknowledgments
Conflicts of Interest
References
- Food and Agriculture Organization of the United Nations. International Scientific Symposium Biodiversity and Sustainable Diets United Against Hunger. Available online: http://www.fao.org/ag/humannutrition/28506-0efe4aed57af34e2dbb8dc578d465df8b.pdf (accessed on 21 December 2019).
- Willett, W.; Rockström, J.; Loken, B.; Springmann, M.; Lang, T.; Vermeulen, S.; Garnett, T.; Tilman, D.; DeClerck, F.; Wood, A.; et al. Food in the Anthropocene: The EAT-Lancet Commission on healthy diets from sustainable food systems. Lancet 2019, 393, 447–492. [Google Scholar] [CrossRef]
- Tilman, D.; Clark, M. Global diets link environmental sustainability and human health. Nature 2014, 515, 518–522. [Google Scholar] [CrossRef] [PubMed]
- Speck, M.; Bienge, K.; Engelmann, T.; Langen, N.; Teitscheid, P.; El Mourabit, X. Ressourcenleichten Konsum gestalten–die Stellschrauben der Außer Haus Gastronomie. Haushalt in Bildung und Forschung 2018, 3, 89–99. [Google Scholar]
- Masset, G.; Soler, L.G.; Vieux, F.; Darmon, N. Identifying Sustainable Foods: The Relationship between Environmental Impact, Nutritional Quality, and Prices of Foods Representative of the French Diet. J. Acad. Nutr. Diet. 2014, 114, 862–869. [Google Scholar] [CrossRef]
- GBD 2017 Diet Collaborators. Health effects of dietary risks in 195 countries, 1990–2017: A systematic analysis for the Global Burden of Disease Study 2017. Lancet 2019, 393, 1958–1972. [Google Scholar] [CrossRef]
- Chai, B.C.; van der Voort, J.R.; Grofelnik, K.; Eliasdottir, H.G.; Klöss, I.; Perez-Cueto, F.J. Which Diet Hast he Least Environmental Impact on Our Planet? A Systematic Review of Vegan, Vegetarian and Omnivorous Diets. Sustainability 2019, 11, 4110. [Google Scholar] [CrossRef]
- US Department of Agriculture. Scientific Report of the 2015 Dietary Guidelines Advisory Committee. 2015. Available online: https://health.gov/dietaryguidelines/2015-scientific-report/PDFs/Scientific-Report-of-the-2015-dietary-guidelines-advisory-committee.pdf (accessed on 21 December 2019).
- Marlow, H.J.; Hayes, W.K.; Soret, S.; Carter, R.L.; Schwab, E.R.; Sabate, J. Diet and the environment: Does what you eat matter? Am. J. Clin. Nutr. 2009, 89, 1699S–1703S. [Google Scholar] [CrossRef]
- Mithril, C.; Dragsted, L.O.; Meyer, C. Dietary composition and nutrient content of the New Nordic Diet. Public Health Nutr. 2012, 16, 777–785. [Google Scholar] [CrossRef]
- Dermini, S.; Berry, E.M. Mediterranean Diet: From a Healthy Diet to a Sustainable Dietary Pattern. Frontiers in Nutrition 2015. Available online: https://www.frontiersin.org/articles/10.3389/fnut.2015.00015/full (accessed on 21 December 2019).
- Van Dooren, C.; Marinussen, M.; Blonk, H.; Aiking, H.; Vellinga, P. Exploring dietary guidelines based on ecological and nutritional values: A comparison of six dietary patterns. Food Policy 2014, 44, 36–46. [Google Scholar] [CrossRef]
- Lukas, M.; Rohn, H.; Lettenmeier, M.; Liedtke, C.; Wiesen, K. The nutritional footprint–Integrated methodology using environmental and health indicators to indicate potential for absolute reduction of natural resource use in the field of food and nutrition. J. Clean. Prod. 2016, 132, 161–170. [Google Scholar] [CrossRef]
- Lettenmeier, M.; Liedtke, C.; Rohn, H. Eight Tons of Material Footprint–Suggestion for a Resource Cap for Household Consumption in Finland. Resources 2014, 3, 488–515. [Google Scholar] [CrossRef]
- Cordts, A.; Spiller, A.; Nitzko, S.; Grethe, H.; Duman, N. Imageprobleme beeinflussen den Konsum. Von unbekümmerten Fleischessern, Flexitariern und (Lebensabschnitts-) Vegetariern. Fleischwirtschaft 2015, 7, 59–63. [Google Scholar]
- Hallström, E.; Carlsson-Kanyama, A.; Börjesson, P. Environmental impact of dietary change: A systematic review. J. Clean. Prod. 2015, 91, 1–11. [Google Scholar] [CrossRef]
- Meier, T.; Christen, O. Environmental Impacts of Dietary Recommendations and Dietary Styles: Germany as an Example. Environ. Sci. Technol. 2012, 47, 877–888. [Google Scholar] [CrossRef]
- Vieux, F.; Soler, L.G.; Touazi, D.; Darmon, N. High nutritional quality is not associated with low greenhouse gas emissions in self-selected diets of French adults. Am. J. Clin. Nutr. 2013, 97, 569–583. [Google Scholar] [CrossRef]
- Tom, M.S.; Fischebeck, P.S.; Hendrickson, C.T. Energy use, blue water footprint, and greenhouse gas emissions for current food consumption patterns and dietary recommendations in the US. Environ. Syst. Decis. (Former Environ.) 2016, 36, 92–103. [Google Scholar] [CrossRef]
- Sabaté, J.; Soret, S. Sustainability of plant-based diets: Back to the future. Am. J. Clin. Nutr. 2014, 100 (Suppl. 1), 476S–482S. [Google Scholar] [CrossRef]
- Drewnowski, A. Measures and metrics of sustainable diets with a focus on milk, yogurt, and dairy products. Nutr. Rev. 2017, 76, 21–28. [Google Scholar] [CrossRef]
- Auestad, N.; Fulgoni, V.L. What Current Literature Tells Us about Sustainable Diets: Emerging Research Linking Dietary Patterns, Environmental Sustainability, and Economics. Am. Soc. Nutr. 2015, 6, 19–36. [Google Scholar] [CrossRef]
- Jones, A.D.; Hoey, L.; Blesh, J.; Miller, L.; Green, A.; Shapiro, L.F. A Systematic Review of the Measurement of Sustainable Diets. Am. Soc. Nutr. 2016, 7, 641–664. [Google Scholar] [CrossRef]
- Meybeck, A.; Gitz, V. Sustainable diets within sustainable food systems. Proc. Nutr. Soc. 2017, 76, 1–11. [Google Scholar] [CrossRef] [PubMed]
- Bundesvereinigung der Deutschen Ernährungsindustrie. Jahresbericht 2018/2019. Available online: https://www.bve-online.de/presse/infothek/publikationen-jahresbericht/bve-jahresbericht-ernaehrungsindustrie-2019 (accessed on 21 December 2019).
- Rückert-John, J. Zukunftsfähigkeit der Ernährung. In Nachhaltigkeit und Ernährung. Production-Handel-Konsum; Brunner, K.M., Schönberger, G.U., Eds.; Campus Verlag, Frankfurt: New York, NY, USA, 2005; pp. 240–262. [Google Scholar]
- Göbel, C.; Scheiper, M.; Teitscheid, P.; Müller, V.; Friedrich, S.; Engelmann, T.; Neundorf, D.; Speck, M.; Rohn, H.; Langen, N.; et al. Nachhaltig Wirtschaften in der Außer-Haus-Gastronomie. Status-Quo-Analyse–Struktur und Wirtschaftliche Bedeutung, Nachhaltigkeitskommunikation, Trends. NAHGAST Arbeitspapier 1. Available online: https://www.nahgast.de/wp-content/uploads/2017/09/NAHGAST_APap1_Außer_Haus-Gastronomie.pdf (accessed on 21 December 19).
- Speck, M.; Liedtke, C. Chancen und Grenzen nachhaltigen Konsums in einer ressourcenleichten Gesellschaft. In Jahrbuch Nachhaltige Ökonomie 2016/2017: Im Brennpunkt:Ressourcen-Wende; Rogall, H., Binswanger, H.C., Ekart, F., Grothe, A., Hasenclever, W.-D., Hauchler, I., Jänicke, M., Kollmann, K., Michaelis, N.V., Nutzinger, H.G., et al., Eds.; Metropolis Verlag: Marburg, Germany, 2016; pp. 255–269. [Google Scholar]
- Buhl, J. Rebound-Effekte im Steigerungsspiel. Zeit- und Einkommenseffekte in Deutschland. Umweltsoziologie; Nomos Verlagsgesellschaft: Baden-Baden, Germany, 2016. [Google Scholar]
- Pfeiffer, C.; Speck, M.; Strassner, C. What Leads to Lunch–How Social Practices Impact (Non-) Sustainable Food Consumption/Eating Habits. Sustainability 2017, 9, 1437. [Google Scholar] [CrossRef]
- Visschers, V.; Tobler, C.; Cousin, M.E.; Brunner, T.; Orlow, P.; Siegrist, M. Konsumverhalten und Förderung des umweltverträglichen Konsums. Bericht im Auftrag des Bundesamtes für Umwelt BAFU; ETH Zürich, C.B., Ed.; Consumer Behavior, ETH Zürich: Zürich, Switzerland, 2010. [Google Scholar]
- Herforth, A.; Ahmed, S. The food environment, its effects on dietary consumption, and potential for measurement within agriculture-nutrition interventions. Food Secur. 2015, 7, 505–520. [Google Scholar] [CrossRef]
- Hughner, R.S.; McDonagh, P.; Prothero, A.; Shultz, C.J.; Stanton, J. Who are organic food consumers? A compilation and review of why people purchase organic food. J. Consum. Behav. 2007, 6, 1–17. [Google Scholar] [CrossRef]
- Lorenz, B.; Langen, N. Determinants of how individuals choose, eat and waste: Providing common ground to enhance sustainable food consumption out-of-home. J. Consum. Stud. 2018, 42, 35–75. [Google Scholar] [CrossRef]
- Gazan, R.; Brouzes, C.M.; Vieux, F.; Maillot, M.; Lluch, A.; Darmon, N. Mathematical Optimization to Explore Tomorrow’s Sustainable Diets: A Narrative Review. Am. Soc. Nutr. 2018, 9, 602–616. [Google Scholar] [CrossRef]
- Müller, C.; Stucki, M.; Zehnder, P.; Ebker, J.; Wohlleben, M.; Baumer, B. The Menu Sustainability Index. Assessment of the environmental and health impact of foods offered in commercial catering. Ernährungsumschau 2015, 63, 198–205. [Google Scholar]
- Lukas, M.; Scheiper, M.L.; Ansorge, J.; Rohn, H.; Liedtke, C.; Teitscheid, P. Der Nutritional Footprint–Ein Instrument zur Bewertung von Gesundheits- und Umweltauswirkungen der Ernährung. Ernährungsumschau 2014, 61, 164–170. [Google Scholar]
- Meier, T.; Gärtner, C.; Christen, O. Bilanzierungsmethode susDISH. Nachhaltigkeit in der Gastronomie. Gesundheits- und Umweltaspekte in der Rezepturplanung gleichermaßen berücksichtigen. Available online: www.nutrition-impacts.org/media/susDISH.pdf (accessed on 21 December 2019).
- Speck, M.; Rohn, H.; Engelmann, T.; Schweißinger, J.; Neundorf, D.; Teitscheid, P.; Langen, N.; Bienge, K.; unter Mitarbeit von, G.C.; Friedrich, S.; et al. Entwicklung von integrierten Methoden zur Messung und Bewertung von Speisenangeboten in den Dimensionen Ökologie, Soziales, Ökonomie und Gesundheit. Arbeitspapier Nr. 2. Available online: https://www.nahgast.de/wp-content/uploads/2017/09/NAHGAST_APap2_Bewertungsmaster.pdf (accessed on 21 December 2019).
- Eaternity. Unsere Zukunft Mit Nachhaltiger Ernährung Schon Heute! Available online: https://eaternity.org (accessed on 21 December 2019).
- FiBL. SMART–Nachhaltigkeitsbewertung im Agrar- und Lebensmittelsektor. Available online: https://www.fibl.org/de/themen/smart.html (accessed on 21 December 2019).
- FiBL. Umsetzungskampagne “Klimaschutz in hessischen Großküchen”. Available online: https://www.fibl.org/de/projektdatenbank/projektitem/project/1442//190/1370.html (accessed on 21 December 2019).
- Schmidt-Bleek, F. MAIA: Einführung in die Material-Intensitäts-Analyse nach dem MIPS-Konzept; Birkhäuser: Basel, Switzerland, 1998. [Google Scholar]
- Liedtke, C.; Bienge, K.; Wiesen, K.; Teubler, J.; Greiff, K.; Lettenmeier, M.; Rohn, H. Resource Use in the Production and Consumption System–The MIPS Approach. Resources 2014, 3, 544–574. [Google Scholar] [CrossRef]
- IPCC. Klimaänderungen 2007 Synthesebericht; IPCC-Koordinierungsstelle: Berlin, Germany, 2008. [Google Scholar]
- Rockström, J.; Steffen, W.; Noone, K.; Persson, Å.; Chapin, F.S.; Lambin, E.F.; Lenton, T.M.; Scheffer, M.; Folke, C.; Schellnhuber, H.J.; et al. A safe operating space for humanity. Nature 2009, 461, 472–475. [Google Scholar] [CrossRef]
- Steffen, W.; Richardson, K.; Rockström, J.; Cornell, S.E.; Fetzer, I.; Bennett, E.M.; Biggs, R.; Carpenter, S.R.; De Vries, W.; De Wit, C.A.; et al. Planetary boundaries: Guiding human development on a changing planet. Science 2015, 347, 736–746. [Google Scholar] [CrossRef] [PubMed]
- Deutsche Gesellschaft für Ernährung; Österreichische Gesellschaft für Ernährung; Schweizerische Gesellschaft für Ernährungsforschung. Referenzwerte für die Nährstoffzufuhr, 4th ed.; Neuer Umschau Buchverlag: Neustadt an der Weinstraße, Germany, 2010. [Google Scholar]

| Dimension | Environment | Social | Health | Economic 1 |
|---|---|---|---|---|
| Indicator | Material Footprint (<2670 g/<4000 g) Carbon Footprint (<800 g/<1200 g) Water use (<640 L/<975 L) Land use (<1.25 m2/<1.875 m2) | Share of fair ingredients (>90%/>85%) Share of animal-based food that foster animal welfare (>60%/>55%) | Energy (<670 kcal/<830 kcal) Fat (<24 g/<30 g) Carbohydrates (<90 g/<95 g) Sugar (<17 g/<19 g) Fibers (<8 g/> 6 g) | Popularity (without quantified target value) Cost recovery (without quantified target value) |
| Reference Recipe | Revised Recipe 1 | Revised Recipe 2 | ||||
|---|---|---|---|---|---|---|
| Conventional Pancakes | Partial (66%) Substitution of Milk by Soy Drink | Substitution of Egg by Banana | ||||
| 75 g | Wheat flour | 75 g | Wheat flour | 75 g | Wheat flour | |
| 75 g | milk | 25 g | milk | 75 g | milk | |
| 50 g | soy drink | |||||
| 1 pc | egg | 1 pc | egg | 1pc | egg | |
| 1 g | salt | 1 g | salt | 1 g | salt | |
| 10 g | butter | 10 g | butter | 10 g | Rapeseed oil | |
| 3 g | Baking powder | 3 g | Baking powder | 3 g | Baking powder | |
| 10 g | sugar | 10 g | sugar | 10 g | sugar | |
| Carbon footprint in g CO2/serving (%) | 682 | 614 | 620 | |||
| Savings | 68 (10.0) | 62 (9.1) | ||||
| Material footprint in kg resources/kg (%) | 1634 | 1340 | 1347 | |||
| Savings | 294 (18.0) | 287 (17.6) | ||||
| Dish | Menu Optimization | Carbon Footprint Savings in g CO2 eq./Serving (%) | Material Footprint Savings in g Resources/Serving (%) |
|---|---|---|---|
| Spaghetti Bolognese | Avoidance of beef 100% | −635 (46.5) | −2300 (42.1) |
| Substitution of beef by soy | −459 (33.6) | −1918 (35.1) | |
| Partial (50%) substitution of beef by vegetables | −304 (22.3) | −1044 (19.1) | |
| Partial (20%) substitution of beef by vegetables | −122 (8.9) | −417 (7.6) | |
| Partial (20%) reduction of side dish | −26 (1.9) | −100 (1.8) | |
| Substitution of pasta by whole grain pasta | 0 (0) | 0 (0) | |
| Bread crumbed cutlet with chips | Partial (20%) reduction of meat component | −386 (15.5) | −1617 (14.4) |
| Substitution of butter by rapeseed oil | −125 (5.0) | −574 (5.5) | |
| Partial (33%) reduction of side dish | −56 (2.2) | −335 (3.2) | |
| Baked Potato with curd cheese | Addition of vegetable component | +28 (2.2) 1 | +185 (10.2) 1 |
| Goulash | Substitution of beef by pork | −876 (37.4) | −3551 (35.2) |
| Partial (33%) reduction of meat component | −695 (29.7) | −2872 (28.5) | |
| Partial (25%) reduction of side dish | −10 (0.4) | −92 (0.9) | |
| Frying sausage | Partial (20%) reduction of meat component | − 80 (6.5) | − 372 (6.9) |
| Hamburger | Partial (33%) reduction of meat component | −318 (11.2) | −1151 (10.6) |
| Partial (33%) reduction of cheese | −73 (2.6) | −348 (3.2) | |
| Chili con Carne | Partial (60%) substitution of beef by spelt | −172 (12.0) | −581 (10.0) |
| Partial (20%) reduction of meat component | −64 (4.4) | −230 (4.0) | |
| Partial (20%) reduction of cheese | −42 (3.0) | −178 (3.1) | |
| Königsberger Klopse (Meatballs) | Partial (33%) substitution of beef by spelt | −261 (24.8) | −890 (21.3) |
| Partial (33%) substitution of meat component by side dish | −257 (24.4) | −875 (21.0) | |
| Partial (66%) Substitution of cream by soy cuisine | −47 (4.4) | −219 (5.3) | |
| Substitution of beef stock by vegetable stock | 0 (0) | 0 (0) | |
| Potato soup | Substitution of frozen potatoes by fresh potatoes | −48 (7.2) | −704 (20.5) |
| Lasagna | Substitution of beef by lentils | −588 (31.2) | −1965 (24.7) |
| Substitution of milk by soy drink | −130 (6.9) | −588 (7.4) | |
| Partial (20%) reduction of side dish | −33 (1.7) | −125 (1.6) |
| Standard Recipe | Carbon Footprint in kg CO2 eq/Serving | Carbon Footprint in t CO2 eq/d | Revised Recipe (by the NAHGAST Tool) | Carbon Footprint in kg CO2 eq/Serving | Carbon Footprint in t CO2 eq/d |
|---|---|---|---|---|---|
| Monday: Spaghetti Bolognese | 1366 | 406,800 | Substitution of beef by soy (V 1) | 907 | 272,100 |
| Tuesday: Bread crumbed cutlet with chips | 2490 | 747,000 | Reduction of meat component by 20% | 2104 | 631,200 |
| Wednesday: Goulash | 2342 | 702,600 | Substitution of beef by pork | 1466 | 439,800 |
| Thursday: Hamburger | 2840 | 852,000 | Reduction of meat component by a third | 2522 | 756,600 |
| Friday: Potato soup (V) | 667 | 200,100 | Substitution of frozen potatoes by fresh potatoes (V) | 619 | 185,700 |
| Total carbon footprint per week 2 | 2,908,500 (according to standard recipes) | 2,285,400 (according to revised recipes) |
| Standard Recipe | Material Footprint in kg Resources/Serving | Material Footprint in t Resources/d | Revised Recipe (by the NAHGAST Tool) | Material Footprint in kg Resources/Serving | Material Footprint in t Resources/d |
|---|---|---|---|---|---|
| Monday: Spaghetti Bolognese | 5467 | 1640,100 | Substitution of beef by soy (V 1) | 3549 | 1,064,700 |
| Tuesday: Bread crumbed cutlet with chips | 10,471 | 3,141,300 | Reduction of meat component by 20% | 8854 | 2,656,200 |
| Wednesday: Beef goulash | 10,089 | 3,026,700 | Substitution of beef by pork | 6539 | 1,961,700 |
| Thursday: Hamburger | 10,834 | 3,250,200 | Reduction of meat component by a third | 9684 | 2,905,200 |
| Friday: Potato soup (V) | 3434 | 1,030,200 | Substitution of frozen potatoes by fresh potatoes (V) | 2730 | 819,000 |
| Material Footprint per week 2 | 12,088,500 (according to standard recipe) | 9,406,800 (according to revised recipe) |
© 2020 by the authors. Licensee MDPI, Basel, Switzerland. This article is an open access article distributed under the terms and conditions of the Creative Commons Attribution (CC BY) license (http://creativecommons.org/licenses/by/4.0/).
Share and Cite
Speck, M.; Bienge, K.; Wagner, L.; Engelmann, T.; Schuster, S.; Teitscheid, P.; Langen, N. Creating Sustainable Meals Supported by the NAHGAST Online Tool—Approach and Effects on GHG Emissions and Use of Natural Resources. Sustainability 2020, 12, 1136. https://doi.org/10.3390/su12031136
Speck M, Bienge K, Wagner L, Engelmann T, Schuster S, Teitscheid P, Langen N. Creating Sustainable Meals Supported by the NAHGAST Online Tool—Approach and Effects on GHG Emissions and Use of Natural Resources. Sustainability. 2020; 12(3):1136. https://doi.org/10.3390/su12031136
Chicago/Turabian StyleSpeck, Melanie, Katrin Bienge, Lynn Wagner, Tobias Engelmann, Sebastian Schuster, Petra Teitscheid, and Nina Langen. 2020. "Creating Sustainable Meals Supported by the NAHGAST Online Tool—Approach and Effects on GHG Emissions and Use of Natural Resources" Sustainability 12, no. 3: 1136. https://doi.org/10.3390/su12031136
APA StyleSpeck, M., Bienge, K., Wagner, L., Engelmann, T., Schuster, S., Teitscheid, P., & Langen, N. (2020). Creating Sustainable Meals Supported by the NAHGAST Online Tool—Approach and Effects on GHG Emissions and Use of Natural Resources. Sustainability, 12(3), 1136. https://doi.org/10.3390/su12031136

