Experimental Study on Physical-mechanical Properties and Fracture Behaviors of Saturated Yellow Sandstone Considering Coupling Effect of Freeze-Thaw and Specimen Inclination
Abstract
1. Introduction
2. Materials and Methods
2.1. Materials
2.2. Methods
- Dividing 80 specimens into 16 groups on average. Each group is numbered A1–A4, B1–B4, C1–C4, and D1–D4 respectively. The letters A, B, C, and D correspond to 0, 20, 40, and 60 freeze-thaw cycles, and the digital numbers 1 to 4 respectively correspond to specimen inclinations of 0°, 5°, 10°, and 15°. For instance, the number of freeze-thaw cycles is 40, the specimen inclination is 15°, and the number is C4.
- Placing all specimens in a 105 °C drying box and drying them for 24 h. After cooling them to room temperature, they are taken out, and their dry mass was md. Then, all specimens are placed in a vacuum saturator, and the air pressure is controlled to 0.1 MPa. Then, 2 h for drying tap and 4 h for wetting tap. They are soaked for 24 h after the wetting tap. Following that, they are taken out, and the surface is dried. When the change of the specimen mass per hour is less than 0.01 g, it is at this time deemed to have reached the saturated state. Then, its saturated mass is mws.
- Putting the saturated specimen after freeze-thaw treatment into a freeze-thaw box to conduct freeze-thaw experiments. The freezing temperature is set to −25 °C, and the melting temperature is set to 25 °C. The temperature range is consistent with the actual environment in northwest China. The temperature is lowered for 2 h, and the constant temperature time of freezing is 6 h. The temperature is raised for 1 h, and the melting constant temperature time is 6 h. Each freeze-thaw cycle totals 15 h. The temperature history curve of the freeze-thaw experiments is displayed in Figure 2. After the freeze-thaw treatment, the quality, porosity, and P-wave velocity of each specimen will be measured and analyzed. Then, three samples with similar test results will be selected to carry out the compression test for each of the group specimens.
- Conducting inclined uniaxial compression tests on the specimen after the freeze-thaw treatment by using the C-CAST system. During the test, the displacement loading is adopted with a loading rate of 0.003 mm/s. The vertical load and deformation are recorded simultaneously via MTS at an interval of 0.1 s until failure occurs. A DS5 full-information acoustic emission (AE) measurement system with an 8-channel transient-recorder will be used to investigate the micro-fracture behavior of the specimen. It should be noted that the AE system should keep the synchronization of the data acquisition with MTS to ensure the accuracy of the acoustic emission data.
2.3. C-CAST System and Strength Calculation Method
3. Experimental Results and Analysis
3.1. Influence of Freeze-Thaw Cycles on the Physical Properties of Yellow Sandstone
3.2. Analysis of Meso-Damage Characteristics of Freeze-Thaw Yellow Sandstone
3.3. Influence of Freeze-Thaw Cycles and Inclination Angle on Axial Stress-Strain Curve
3.4. Effect of Freeze-Thaw Cycles and Inclination Angle on Peak Compression Stress
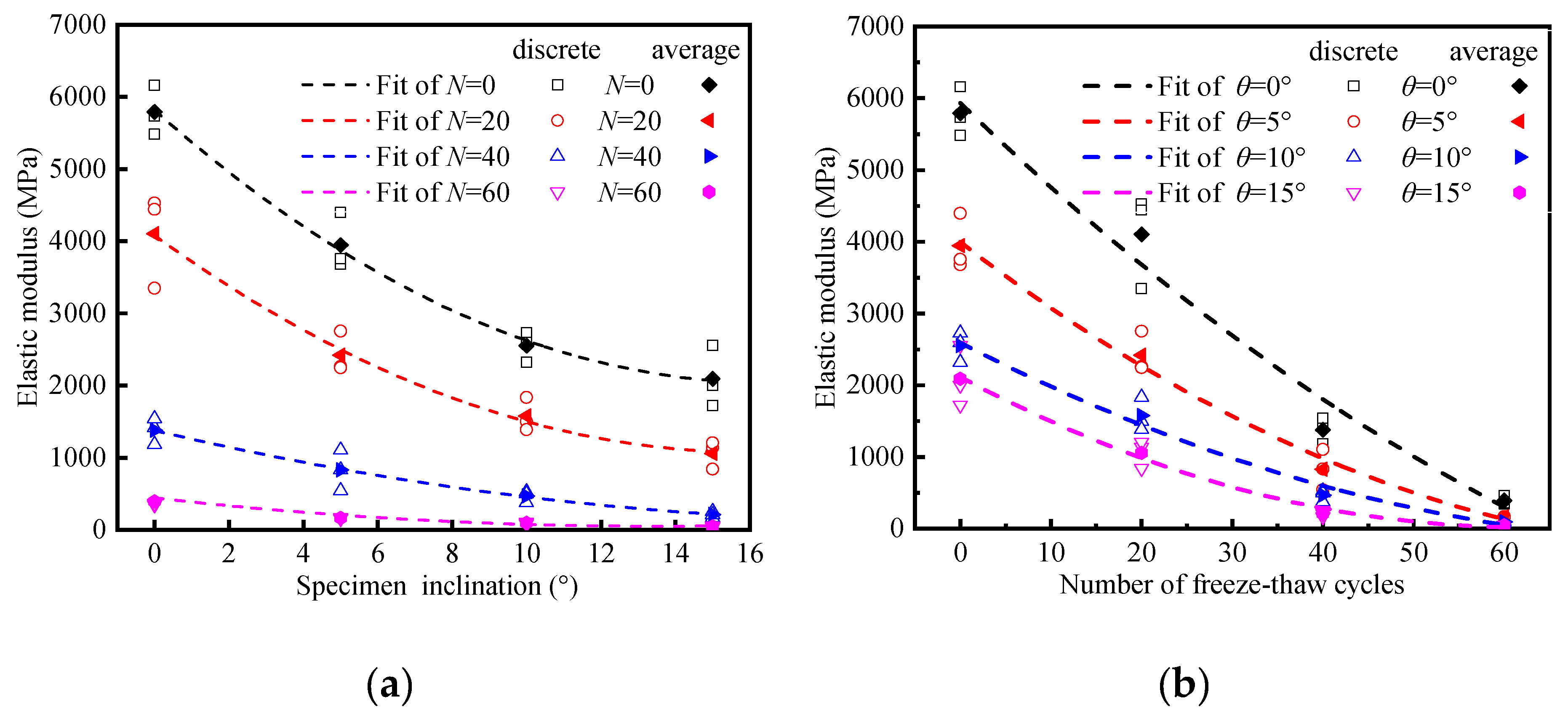
3.5. Effect of Freeze-Thaw Cycles and Inclination Angle on Elastic Modulus
3.6. Effect of Freeze-Thaw Cycles and Inclination Angle on Peak Shear Stress
4. Macroscopic Failure Characteristics of the Specimen
5. Multivariate Regression Analysis of Peak Strength and Elastic Modulus
5.1. Multivariate Regression Model
5.2. Results of Multivariate Regression Analysis as Well as the Relevant Tests
6. Analysis of AE Behavior
6.1. Determination Methods of CI and CD Thresholds
6.2. Effect of Inclination Angle on CI and CD Thresholds
- Regarding inclination angles, the AE signal characteristics are similar as the vertical load increases. Originally, the slope of the “cumulative AE properties vs. normalized axial stress” curve is always at a lower level before 35%–45% of peak compression stress. The amplitude of AE counts and AE energy is also obviously lower, which indicates that less elastic energy is released at this stage. The stage can be described as the AE quiet period.
- With the further increase of the vertical load, once the crack initiation stress threshold () is reached, slightly large AE events occur intermittently before 75%–90% of peak compression stress. The amplitude of the AE signal begins to increase slightly. At this point, the curve slopes of the cumulative AE properties also gradually increase, which indicates that many new microcracks start to appear and develop. Meanwhile, the amplitude of the AE signal is relatively lower than that of the AE signal near peak point. Hence, it can be called the AE low amplitude period. When the vertical load reaches the crack damage stress threshold (), a large number of large AE events occur sharply with a high amplitude of the AE signal, which new microcracks have interlocked, finally forming macrocracks through interpenetration. This stage can be regarded as the AE high amplitude period.
- Although the trend of the AE signal at different inclination angles is similar and shows the change characteristic of being J-shaped, the inclination angle has an extremely important effect on the stress thresholds, cumulative AE properties, and shear stresses at the stress threshold points. From Figure 18, it is found that the values of , and the cumulative AE counts and energy decrease gradually, while the shear stresses at the CI and CD thresholds point increase slowly with the increasing inclination angle. For example, when the inclination angle increases to 10°, the values of , and the cumulative AE counts and energy decrease by 25.79%, 30.47%, 77.7%, and 85.74% compared with that at a 0° inclination, respectively. Meanwhile, the shear stresses corresponding to the and points increase by 0.99 MPa and 1.06 MPa, respectively. This means that the shear stress component under combined compression and shear loading is beneficial to the microcrack initiation and propagation of specimens, which will reduce the occurrence of large AE events. Hence, the cumulative AE properties will decrease with the increase of the inclination angles.
- As shown in Table 5, the ratio of and to its peak compression stress is also calculated at various inclination angles. The ratio of is in the range of 34.26%–42.97% approximately. Meanwhile, the ratio of is at a higher level, corresponding to 79.9%–92.39% of the peak compression stress, which indicates that the CD stress threshold generally appears near the peak compression strength of the specimen with the occurrence of large AE events. Hence, the value may be used to predict the occurrence of rockburst.
6.3. Effect of Freeze-Thaw Cycles on CI and CD Thresholds
- According to Figure 19, it is found that the trend of the AE signal is consistent with that of the AE signal presented in Figure 18, and roughly experiences three stages: AE quiet period, AE low amplitude period, and AE high amplitude period, showing that the evolution rule of the AE signal is not dependent on the freeze-thaw cycles effect.
- As the number of freeze-thaw cycles increases, the values of and gradually decrease. Notably, when the number of freeze-thaw cycles reaches 40, the reduction amplitude of and is more pronounced (see Figure 20). For instance, when N reaches 20 and 40, the values of and respectively decrease from 28.59% to 69.91% and from 33.35% to 73.97%, compared with those under N = 0. This indicates that the internal structures of the specimen under N = 40 have changed significantly and that the damage degree of the specimen obviously increases. The SEM images in Figure 6 also reflect this phenomenon with an occurrence of large-size frost crack (10 μm). Furthermore, as the number of freeze-thaw cycles increases, the cumulative AE counts, AE energy, and shear stresses corresponding to the CI and CD thresholds also gradually decrease. When N increases to 60, the cumulative AE counts and AE energy respectively decrease by 67.74% and 84.70%, compared to those under N = 0. Meanwhile, the shear stresses corresponding to the CI and CD thresholds also decrease by 81.01% and 84.34%, respectively. The above analysis indicates that the freeze-thaw effect has a significant importance in relation to the crack initiation and propagation of specimens. The higher the damage degree of the specimen, the lower the crack initiation and damage stresses.
- Regardless of the number of freeze-thaw cycles, the ratios of and are always in the range of 33.64%–37.47% and 73.78%–92.39%, which is consistent with those under various inclination angles. This indicates that the ratio of the CI and CD thresholds to their peak compression stress may be intrinsic to the rock material and have nothing to do with the external environment.
7. Discussion
8. Conclusions
- As the number of freeze-thaw cycles increases, the P-wave velocity decreases obviously, while the quality and porosity of the rock mass increase in a roughly linear manner. The peak compression strength and elastic modulus of the specimen gradually decrease with the increasing inclination angle and the number of freeze-thaw cycles, while the peak shear stress increases nonlinearly with the increasing inclination angle and decreases gradually with the increasing number of freeze-thaw cycles. This indicates that the shear stress component can effectively accelerate crack propagation and reduce the peak strength and deformation resistance of the specimen.
- The failure mode of saturated yellow sandstone is highly dependent on the inclination angle. With an increasing inclination angle, the failure mode of the specimen changes from tensile failure (θ = 0°) and combined tensile-shear failure (θ = 5°) to signal shear failure (θ = 10° and θ = 15°). Furthermore, the freeze-thaw cycles only have an obvious influence on the failure mode of the specimen at a 5° inclination, at which point the failure mode shows a trend from tensile failure (N = 0, 20) to shear failure (N = 40, 60).
- Both the inclination angle and freeze-thaw cycles have an extremely important effect on the AE activities of saturated yellow sandstone. As the inclination angle increases, the values of the CI, CD thresholds and cumulative AE properties (i.e., AE counts and AE energy) gradually decrease, while the shear stresses corresponding to the CI and CD thresholds gradually increase, indicating that the shear stress component is beneficial to the microcrack initiation and propagation. As the number of freeze-thaw cycles increases, the values of the CI, CD thresholds, cumulative AE properties, and shear stresses corresponding to the CI and CD thresholds decrease. Particularly, the CI and CD thresholds at 60 cycles are only 81.31% and 84.47% of those at 0 cycles, indicating a serious freeze-thaw damage phenomenon which is consistent with the results of the SEM, with the appearance of some large-size damage cracks.
- Premised on the initial peak compression strength and elastic modulus (θ = 0°, N = 0), the method of multivariate regression analysis is used to predict the peak compression strength and elastic modulus of the specimen under various inclination angles and the numbers of freeze-thaw cycles. Then, the prediction results are compared with the test results, verifying the accuracy of the method. This research can offer a significant reference basis for the strength design and stability evaluation of tunnel or highwall coal pillars subjected to the effect of a complex loading environment in cold regions.
Author Contributions
Funding
Conflicts of Interest
References
- Khanlari, G.; Reza, Z.S.; Yasin, A. The effect of freeze–thaw cycles on physical and mechanical properties of Upper Red Formation sandstones, central part of Iran. Arab. J. Geosci. 2015, 8, 5991–6001. [Google Scholar] [CrossRef]
- Thomachot, C.; Jeannette, D. Evolution of the petrophysical properties of two types of Alsatian sandstone subjected to simulated freeze-thaw conditions. Geol. Soc. Spec. Publ. 2005, 1, 19–32. [Google Scholar] [CrossRef]
- Chen, L.; Mao, X.; Yang, S.; An, C.; Wu, P. Experimental Investigation on Dynamic Fracture Mechanism and Energy Evolution of Saturated Yellow Sandstone under Different Freeze-Thaw Temperatures. Adv. Civ. Eng. 2019, 2019, 2375246. [Google Scholar] [CrossRef]
- Han, T.; Shi, J.; Cao, X. Fracturing and damage to sandstone under coupling effects of chemical corrosion and freeze–thaw cycles. Rock Mech. Rock Eng. 2016, 49, 4245–4255. [Google Scholar] [CrossRef]
- Xu, Y.; Dai, F. Dynamic response and failure mechanism of brittle rocks under combined compression-shear loading experiments. Rock Mech. Rock Eng. 2018, 51, 747–764. [Google Scholar] [CrossRef]
- Sun, X.; Liu, W.N.; Chen, W.N.; Templeton, D. Modeling and characterization of dynamic failure of borosilicate glass under compression/shear loading. Int. J. Impact Eng. 2009, 36, 226–234. [Google Scholar] [CrossRef]
- He, Q.Y.; Li, Y.C.; She, S. Mechanical properties of basalt specimens under combined compression and shear loading at low strain rates. Rock Mech. Rock Eng. 2019, 52, 4101–4112. [Google Scholar] [CrossRef]
- Zhang, H.M.; Yang, G.S. Experimental study of damage deterioration and mechanical properties for freezing-thawing rock. J. China Coal Soc. 2013, 38, 1756–1762. [Google Scholar]
- Sass, O. Rock moisture fluctuations during freeze-thaw cycles: Preliminary results from electrical resistivity measurements. Polar Geogr. 2004, 28, 13–31. [Google Scholar] [CrossRef]
- Fu, H.L.; Zhang, J.B.; Huang, Z.; Huang, H.W.; Shi, Y. Experimental study on elastic parameters and uniaxial compressive strength of slate under freeze-thaw cycles. Rock Soil Mech. 2017, 38, 2203–2212. [Google Scholar]
- Yang, X.R.; Jiang, A.N.; Li, M.X. Experimental investigation of the time-dependent behavior of quartz sandstone and quartzite under the combined effects of chemical erosion and freeze-thaw cycles. Cold Reg. Sci. Technol. 2019, 161, 51–62. [Google Scholar] [CrossRef]
- Wang, P.; Xu, J.Y.; Fang, X.Y.; Wang, P.X.; Zheng, G.H.; Wen, M. Ultrasonic time-frequency method to evaluate the deterioration properties of rock suffered from freeze-thaw weathering. Cold Reg. Sci. Technol. 2017, 143, 13–22. [Google Scholar] [CrossRef]
- Liu, J.K.; Chang, D.; Yu, Q.M. Influence of freeze-thaw cycles on mechanical properties of a silty sand. Eng. Geol. 2016, 210, 23–32. [Google Scholar] [CrossRef]
- Wang, H.W.; Poulsen, B.A.; Shen, B.T.; Xue, S.; Jiang, Y.D. The influence of roadway backfill on the coal pillar strength by numerical investigation. Int. J. Rock Mech. Min. Sci. 2011, 48, 443–450. [Google Scholar] [CrossRef]
- Mortazavi, A.; Hassani, F.P.; Shabani, M. A numerical investigation of rock pillar failure mechanism in underground openings. Comput. Geotech. 2009, 36, 691–697. [Google Scholar] [CrossRef]
- Ulusay, R. (Ed.) The ISRM Suggested Methods for Rock Characterization, Testing and Monitoring: 2007–2014; Springer International Publishing: New York, NY, USA, 2015; p. 293. [Google Scholar]
- Kahraman, S. Evaluation of simple methods for assessing the uniaxial compressive strength of rock. Int. J. Rock Mech. Min. 2001, 38, 981–994. [Google Scholar] [CrossRef]
- Zhu, Z.D.; Memetyusup, S.; Fang, R.J. Unloading strength characteristics and damage characteristics of sandstone under freeze-thaw cycles. J. Yangtze River Sci. Res. Inst. 2018, 35, 1–5+12. [Google Scholar]
- Li, J.L.; Zhou, K.P.; Liu, W.J.; Deng, H.W. NMR research on deterioration characteristics of microscopic structure of sandstones in freeze-thaw cycles. T. Nonferr. Metal. Soc. 2016, 26, 2997–3003. [Google Scholar] [CrossRef]
- Zhou, K.P.; Li, B.; Li, J.L.; Deng, H.W.; Bin, F. Microscopic damage and dynamic mechanical properties of rock under freeze-thaw environment. T. Nonferr. Metal. Soc. 2015, 25, 1254–1261. [Google Scholar] [CrossRef]
- Fang, X.Y.; Xu, J.Y.; Wang, P.X. Compressive failure characteristics of yellow sandstone subjected to the coupling effects of chemical corrosion and repeated freezing and thawing. Eng. Geol. 2018, 233, 160–171. [Google Scholar] [CrossRef]
- Fang, W.; Jiang, N.; Luo, X.D. Establishment of damage statistical constitutive model of loaded rock and method for determining its parameters under freeze-thaw condition. Cold Reg. Sci. Technol. 2019, 160, 31–38. [Google Scholar] [CrossRef]
- Qu, D.X.; Li, D.K.; Li, X.P.; Luo, Y.; Xu, K. Damage evolution mechanism and constitutive model of freeze- thaw yellow sandstone in acidic environment. Cold Reg. Sci. Technol. 2018, 155, 174–183. [Google Scholar] [CrossRef]
- Wen, L.; Li, X.B.; Su, W. Study of physico-mechanical characteristics of slope hard rocks of metal mine influenced by freeze-thaw cycles. J. Min. Saf. Eng. 2015, 32, 689–696. [Google Scholar]
- Wang, X.; Wen, Z.; Jiang, Y.; Huang, H. Experimental study on mechanical and acoustic emission characteristics of rock-like material under non-uniformly distributed loads. Rock Mech. Rock Eng. 2018, 51, 729–745. [Google Scholar] [CrossRef]
- Eberhardt, E.; Stead, D.; Stimpson, B. Quantifying progressive pre-peak brittle fracture damage in rock during uniaxial compression. Int. J. Rock Mech. Min. 1999, 36, 361–380. [Google Scholar] [CrossRef]
- Kim, J.S.; Lee, K.S.; Cho, W.J.; Choi, H.J.; Cho, G.C. A comparative evaluation of stress–strain and acoustic emission methods for quantitative damage assessments of brittle rock. Rock Mech. Rock Eng. 2015, 48, 495–508. [Google Scholar] [CrossRef]
- Zhao, X.G.; Cai, M.; Wang, J.; Li, P.F.; Ma, L.K. Objective determination of crack initiation stress of brittle rocks under compression using AE measurement. Rock Mech. Rock Eng. 2015, 48, 2473–2484. [Google Scholar] [CrossRef]
- Bieniawski, Z.T. Mechanism of brittle fracture of rock: Part I-theory of the fracture process. Int. J. Rock Mech. Min. Sci. Geomech. Abstr. 1967, 4, 395–406. [Google Scholar] [CrossRef]
























| Dry Density (g/cm3) | Saturation Density (g/cm3) | Percentage of Saturated Water Content (%) | Porosity (%) |
|---|---|---|---|
| 2.236 | 2.374 | 6.17 | 13.80 |
| Test Scenario | Test Case | Strength (MPa) | Absolute Deviation (MPa) | Relative Deviation (%) | Mean Value (MPa) | Standard Deviation (MPa) | Coefficient of Variation (%) |
|---|---|---|---|---|---|---|---|
| A4 | Case 1 | 15.22 | 0.95 | 5.9 | 16.17 | 2.41 | 14.9 |
| Case 2 | 18.91 | 2.74 | 16.9 | ||||
| Case 4 | 14.38 | 1.79 | 11.0 | ||||
| B2 | Case 2 | 16.95 | 0.94 | 5.2 | 18.04 | 1.23 | 6.8 |
| Case 3 | 18.92 | 1.05 | 5.8 | ||||
| Case 4 | 18.26 | 1.01 | 5.6 | ||||
| C3 | Case 2 | 7.73 | 0.35 | 4.8 | 7.38 | 0.85 | 11.5 |
| Case 4 | 8.00 | 0.62 | 8.3 | ||||
| Case 5 | 6.42 | 0.96 | 13.1 | ||||
| D3 | Case 1 | 2.68 | 0.15 | 6.0 | 2.53 | 0.25 | 9.9 |
| Case 2 | 2.24 | 0.29 | 11.4 | ||||
| Case 3 | 2.66 | 0.13 | 5.0 |
| Test Scenario | Test Case | Elasticity Modulus (MPa) | Absolute Deviation (MPa) | Relative Deviation (%) | Mean Value (MPa) | Standard Deviation (MPa) | Coefficient of Variation (%) |
|---|---|---|---|---|---|---|---|
| A2 | Case 2 | 3680.23 | 264.51 | 6.7 | 3944.74 | 395.38 | 10.0 |
| Case 3 | 4399.25 | 454.51 | 11.5 | ||||
| Case 4 | 3754.74 | 190.01 | 4.8 | ||||
| B2 | Case 2 | 2753.27 | 332.52 | 13.7 | 2420.75 | 288.10 | 11.9 |
| Case 3 | 2263.20 | 157.55 | 6.5 | ||||
| Case 4 | 2245.79 | 174.96 | 7.2 | ||||
| C1 | Case 1 | 1415.80 | 36.00 | 2.6 | 1379.80 | 181.75 | 13.2 |
| Case 2 | 1540.86 | 161.06 | 11.7 | ||||
| Case 5 | 1182.74 | 197.06 | 14.3 | ||||
| D3 | Case 1 | 104.88 | 9.85 | 10.4 | 95.03 | 10.16 | 10.7 |
| Case 2 | 84.58 | 10.45 | 11.0 | ||||
| Case 3 | 95.62 | 0.59 | 0.6 |
| Test Scenario | θ | 5° | 10° | 15° |
|---|---|---|---|---|
| N | N = 0 | 2.52 | 3.51 | 4.33 |
| N = 20 | 1.58 | 2.52 | 3.21 | |
| N = 40 | 0.90 | 1.30 | 1.52 | |
| N = 60 | 0.36 | 0.45 | 0.51 |
| θ | 0° | 5° | 10° | 15° |
|---|---|---|---|---|
| 7.60/41.85 | 7.03/42.97 | 5.64/39.44 | 3.96/34.26 | |
| 16.44/90.58 | 15.11/92.39 | 11.43/79.90 | 9.53/82.4 | |
| Cumulative AE counts (×100) | 29.10 | 21.56 | 6.49 | 4.84 |
| Cumulative AE energy (mV2, ms) (×100) | 164.29 | 101.28 | 23.42 | 14.68 |
| (MPa) | 0/0 | 0.62/1.32 | 0.99/2.02 | 1.06/2.55 |
| N | 0 | 40 | 60 |
|---|---|---|---|
| 9.04/33.64 | 2.72/33.98 | 1.69/37.47 | |
| 22.67/84.35 | 5.90/73.78 | 3.52/78.05 | |
| Cumulative AE counts (×100) | 33.07 | 14.43 | 10.67 |
| Cumulative AE energy (mV2, ms) (×100) | 158.22 | 37.95 | 24.20 |
| (MPa) | 0.79/1.98 | 0.24/0.52 | 0.15/0.31 |
© 2020 by the authors. Licensee MDPI, Basel, Switzerland. This article is an open access article distributed under the terms and conditions of the Creative Commons Attribution (CC BY) license (http://creativecommons.org/licenses/by/4.0/).
Share and Cite
Chen, L.; Wu, P.; Chen, Y.; Zhang, W. Experimental Study on Physical-mechanical Properties and Fracture Behaviors of Saturated Yellow Sandstone Considering Coupling Effect of Freeze-Thaw and Specimen Inclination. Sustainability 2020, 12, 1029. https://doi.org/10.3390/su12031029
Chen L, Wu P, Chen Y, Zhang W. Experimental Study on Physical-mechanical Properties and Fracture Behaviors of Saturated Yellow Sandstone Considering Coupling Effect of Freeze-Thaw and Specimen Inclination. Sustainability. 2020; 12(3):1029. https://doi.org/10.3390/su12031029
Chicago/Turabian StyleChen, Liang, Peng Wu, Yanlong Chen, and Wei Zhang. 2020. "Experimental Study on Physical-mechanical Properties and Fracture Behaviors of Saturated Yellow Sandstone Considering Coupling Effect of Freeze-Thaw and Specimen Inclination" Sustainability 12, no. 3: 1029. https://doi.org/10.3390/su12031029
APA StyleChen, L., Wu, P., Chen, Y., & Zhang, W. (2020). Experimental Study on Physical-mechanical Properties and Fracture Behaviors of Saturated Yellow Sandstone Considering Coupling Effect of Freeze-Thaw and Specimen Inclination. Sustainability, 12(3), 1029. https://doi.org/10.3390/su12031029

