Framework for Water Management in the Food-Energy-Water (FEW) Nexus in Mixed Land-Use Watersheds in Colombia
Abstract
1. Introduction
Pilot Study Area
2. Characterization of the Otun River Watershed (ORW)
2.1. Climate
- Rainfall Patterns
- seasonality index for the study period
- average annual precipitation for the study period
- : mean monthly precipitation for month n over the study period
- Temperature Patterns
- : Thermal time accumulation (°C)
- Tavg: Average daily temperature (°C)
- Tbase: Base temperature (10 °C for coffee crops)
2.2. Land-Use Land-Cover Changes
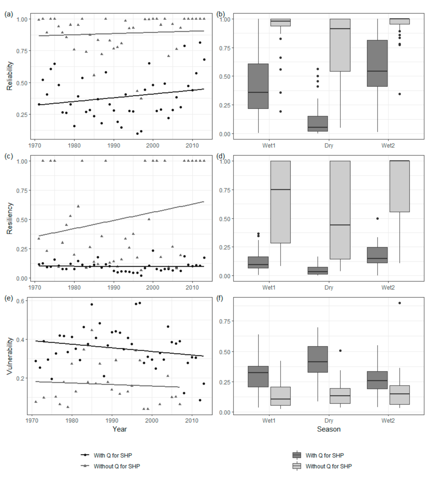
2.3. Streamflow and Water Quality
- Streamflow
- Water Quality
2.4. Population
3. Moving Forward to a Nexus Approach
3.1. FEW Nexus Elements in the Pereira/Dosquebradas Area
- Food
- Energy
- Water
3.2. Implementing an Urban FEW Nexus
3.3. Caveats
4. Summary and Conclusions
Supplementary Materialss
Author Contributions
Funding
Acknowledgments
Conflicts of Interest
References
- Hoff, H. Understanding the Nexus. Background paper for the Bonn 2011 Nexus Conference: The Water, Energy and Food Security Nexus; Stockholm Environment Institute: Stockholm, Sweden, 2011. [Google Scholar]
- Endo, A.; Tsurita, I.; Burnett, K.; Orencio, P.M. A review of the current state of research on the water, energy, and food nexus. J. Hydrol. Reg. Stud. 2017, 11, 20–30. [Google Scholar] [CrossRef]
- Lawford, R.; Bogardi, J.; Marx, S.; Jain, S.; Wostl, C.P.; Knüppe, K.; Ringler, C.; Lansigan, F.; Meza, F.J. Basin perspectives on the Water–Energy–Food Security Nexus. Curr. Opin. Environ. Sustain. 2013, 5, 607–616. [Google Scholar] [CrossRef]
- Rasul, G.; Sharma, B. The nexus approach to water–energy–food security: An option for adaptation to climate change. Clim. Policy 2016, 16, 682–702. [Google Scholar] [CrossRef]
- Hardy, L.; Garrido, A.; Juana, L. Evaluation of Spain’s Water-Energy Nexus. Int. J. Water Resour. Dev. 2012, 28, 151–170. [Google Scholar] [CrossRef]
- Ringler, C.; Bhaduri, A.; Lawford, R. The nexus across water, energy, land and food (WELF): Potential for improved resource use efficiency? Curr. Opin. Environ. Sustain. 2013, 5, 617–624. [Google Scholar] [CrossRef]
- Grigg, N.S. Water–Health Nexus: Modeling the Pathways and Barriers to Water-Related Diseases. Water Resour. Manag. 2018, 33, 319–335. [Google Scholar] [CrossRef]
- Smajgl, A.; Ward, J.; Pluschke, L. The water–food–energy Nexus—Realising a new paradigm. Water Resour. Manag. 2018, 33, 319–335. [Google Scholar] [CrossRef]
- Liu, J.; Yang, H.; Cudennec, C.; Gain, A.; Hoff, H.; Lawford, R.; Qi, J.; De Strasser, L.; Yillia, P.; Zheng, C. Challenges in operationalizing the water–energy–food nexus. Hydrol. Sci. J. 2017, 62, 1714–1720. [Google Scholar] [CrossRef]
- Howarth, C.; Monasterolo, I. Understanding barriers to decision making in the UK energy-food-water nexus: The added value of interdisciplinary approaches. Environ. Sci. Policy 2016, 61, 53–60. [Google Scholar] [CrossRef]
- Khan, S.; Hanjra, M.A. Hanjra Footprints of water and energy inputs in food production—Global perspectives. Food Policy 2009, 34, 130–140. [Google Scholar] [CrossRef]
- El Gafy, I.; Grigg, N.; Reagan, W. Dynamic Behaviour of the Water-Food-Energy Nexus: Focus on Crop Production and Consumption: Modelling the Dynamic Behaviour of the Water-Food-Energy Nexus. Irrig. Drain. 2016, 66, 19–33. [Google Scholar] [CrossRef]
- Imasiku, K.; Ntagwirumugara, E. An impact analysis of population growth on energy-water-food-land nexus for ecological sustainable development in Rwanda. Food Energy Secur. 2020, 9, e185. [Google Scholar] [CrossRef]
- Said, M.; Komakech, H.C.; Munishi, L.K.; Muzuka, A.N.N. Muzuka Evidence of climate change impacts on water, food and energy resources around Kilimanjaro, Tanzania. Reg. Environ. Chang. 2019, 19, 2521–2534. [Google Scholar] [CrossRef]
- Bakhshianlamouki, E.; Masia, S.; Karimi, P.; Van Der Zaag, P.; Sušnik, J. A system dynamics model to quantify the impacts of restoration measures on the water-energy-food nexus in the Urmia lake Basin, Iran. Sci. Total. Environ. 2020, 708, 134874. [Google Scholar] [CrossRef] [PubMed]
- Nguyen, T.A.P. Energy-Food-Water Security Nexus in Vietnam. Ph.D. Thesis, Faculty of Engineering, University of Technology, Sydney, Australia, 2019. [Google Scholar]
- Tyagi, N.K.; Joshi, P.K. Harmonizing the Water–Energy–Food Nexus in Haryana: An Exploration of Technology and Policy Options. INAE Lett. 2019, 4, 251–267. [Google Scholar] [CrossRef]
- Zhang, T.Y.; Dong, L.Y.; Feng, X.M.; Tan, Q. Optimization model for enhancing water-use efficiency from the perspective of water-energy-food nexus. IOP Conf. Ser. Earth Environ. Sci. 2019, 344, 012130. [Google Scholar] [CrossRef]
- Mortensen, J.G.; González-Pinzón, R.; Dahm, C.N.; Wang, J.; Zeglin, L.H.; Van Horn, D.J. Advancing the Food-Energy–Water Nexus: Closing Nutrient Loops in Arid River Corridors. Environ. Sci. Technol. 2016, 50, 8485–8496. [Google Scholar] [CrossRef]
- Vora, N.; Fath, B.D.; Khanna, V. A Systems Approach to Assess Trade Dependencies in U.S. Food–Energy–Water Nexus. Environ. Sci. Technol. 2019, 53, 10941–10950. [Google Scholar] [CrossRef]
- Torres, C.J.F.; De Lima, C.H.P.; Goodwin, B.S.D.A.; De Aguiar, T.R.; Fontes, A.S.; Ribeiro, D.V.; Da Silva, R.S.X.; Medeiros, Y.D.P. A Literature Review to Propose a Systematic Procedure to Develop ‘Nexus Thinking’ Considering the Water–Energy–Food Nexus. Sustainability 2019, 11, 7205. [Google Scholar] [CrossRef]
- González-Bravo, R.; Sauceda-Valenzuela, M.; Mahlknecht, J.; Rubio-Castro, E.; Ponce-Ortega, J.M. Ponce-Ortega Optimization of Water Grid at Macroscopic Level Analyzing Water–Energy–Food Nexus. ACS Sustain. Chem. Eng. 2018, 6, 12140–12152. [Google Scholar] [CrossRef]
- Mahlknecht, J.; González-Bravo, R.; Loge, F.J. Loge Water-energy-food security: A Nexus perspective of the current situation in Latin America and the Caribbean. Energy 2020, 194, 116824. [Google Scholar] [CrossRef]
- Meza, F.; Vicuna, S.; Gironás, J.; Poblete, D.; Suárez, F.; Oertel, M. Water–food–energy nexus in Chile: The challenges due to global change in different regional contexts. Water Int. 2015, 40, 839–855. [Google Scholar] [CrossRef]
- Paim, M.-A.; Salas, P.; Lindner, S.; Pollitt, H.; Mercure, J.-F.; Edwards, N.R.; Viñuales, J.E. Mainstreaming the Water-Energy-Food Nexus through nationally determined contributions (NDCs): The case of Brazil. Clim. Policy 2019, 20, 163–178. [Google Scholar] [CrossRef]
- Rosa, L.; D’Odorico, P. The water-energy-food nexus of unconventional oil and gas extraction in the Vaca Muerta Play, Argentina. J. Clean. Prod. 2019, 207, 743–750. [Google Scholar] [CrossRef]
- Endo, A.; Yamada, M.; Miyashita, Y.; Sugimoto, R.; Ishii, A.; Nishijima, J.; Fujii, M.; Kato, T.; Hamamoto, H.; Kimura, M.; et al. Dynamics of water–energy–food nexus methodology, methods, and tools. Curr. Opin. Environ. Sci. Health 2020, 13, 46–60. [Google Scholar] [CrossRef]
- Bellfield, H. Water, Energy and Food Security Nexus in Latin America and the Caribbean; Global Canopy Programme: Oxford, UK, 2015. [Google Scholar]
- Embid, A.; Martín, L. The Nexus between Water, Energy and Food in Latin America and the Caribbean; German Corporation for International Cooperation (GIZ): Bonn, Germany, 2017. [Google Scholar]
- Peña, H. Agua, Producción de Alimentos y Energía. La Experiencia del Nexo en Chile; Comisión Económica para América Latina y el Caribe (CEPAL): Santiago, Chile, 2018. [Google Scholar]
- Vargas, M.B.; Lee, T.L. El Nexo Entre el Agua, la energía y la Alimentación en Costa Rica; Recursos Naturales e Infraestructura No. 182; Comisión Económica para América Latina y el Caribe (CEPAL): Santiago, Chile, 2017. [Google Scholar]
- Zegarra, E. La Gestión del Agua Desde el Punto de Vista del Nexo Entre el Agua, la Energía y la Alimentación en el Perú; Estudio de caso del valle de Ica; Comisión Económica para América Latina y el Caribe (CEPAL): Santiago, Chile, 2018. [Google Scholar]
- Gobernación del Huila Plan de Cambio Climático Huila 2050: Preparándose para el Cambio Climático; Gobernación del Huila: Neiva, Colombia, 2014.
- Departamento Administrativo Nacional de Estadística (DANE) 3er Censo Nacional Agropecuario. In Departamento Administrativo Nacional de Estadística (DANE), 2016. Available online: https://www.dane.gov.co/files/images/foros/foro-de-entrega-de-resultados-y-cierre-3-censo-nacional-agropecuario/CNATomo2-Resultados.pdf (accessed on 7 March 2019).
- Instituto de Hidrología, Meteorología y Estudios Ambientales—IDEAM Estudio Nacional del Agua 2018; Instituto de Hidrología, Meteorología y Estudios Ambientales (IDEAM): Bogotá, Colombia, 2019.
- Tank, A.M.G.; Zwiers, F.W.; Zhang, Z. Guidelines on Analysis of Extremes in a Changing Climate in Support of Informed Decisions for Adaptation; WCDMP-No 72; World Meteorological Organization—WMO: Geneva, Switzerland, 2009. [Google Scholar]
- PRISM Descriptions of PRISM Spatial Climate Datasets for the Conterminous United States. 2019. Available online: https://prism.oregonstate.edu/documents/PRISM_datasets.pdf (accessed on 15 February 2020).
- World Meteorological Organization (WMO). The Role of Climatological Normals in a Changing Climate; WMO-TD No. 1377; World Meteorological Organization (WMO): Geneva, Switzerland, 2007. [Google Scholar]
- Walsh, P.D.; Lawler, D.M. Rainfall Seasonality: Description, Spatial Patterns and Change Through Time. Weather 1981, 36, 201–208. [Google Scholar] [CrossRef]
- El Colombiano Hace 20 años Colombia sufrió el apagón. Histórico. 1 May 2012. Available online: https://www.elcolombiano.com/historico/hace_20_anos_colombia_sufrio_el_apagon-JVEC_180119 (accessed on 31 May 2020).
- Montealegre, J.E. Bocanegra Modelo Institucional del IDEAM Sobre el Efecto Climático de los Fenómenos El Niño y La Niña en Colombia; Instituto de Hidrología, Meteorología y Estudios Ambientales (IDEAM): Bogotá, Colombia, 2007.
- Mehan, S.; Guo, T.; Gitau, M.; Flanagan, D.C. Comparative Study of Different Stochastic Weather Generators for Long-Term Climate Data Simulation. Climate 2017, 5, 26. [Google Scholar] [CrossRef]
- Nicholls, N.; Murray, W. Workshop on Indices and Indicators for Climate Extremes: Asheville, NC, USA, 3–6 June 1997 Breakout Group B: Precipitation. Weather Clim. Extrem. 1999, 23–29. [Google Scholar] [CrossRef]
- Zhang, X.; Alexander, L.V.; Hegerl, G.C.; Jones, P.; Tank, A.K.; Peterson, T.C.; Trewin, B.; Zwiers, F.W. Indices for monitoring changes in extremes based on daily temperature and precipitation data: Indices for monitoring changes in extremes. Wiley Interdiscip. Rev. Clim. Chang. 2011, 2, 851–870. [Google Scholar] [CrossRef]
- ‘El Niño’ ya ha afectado el 20% de la caficultura de Risaralda. Eje21. Available online: http://www.eje21.com.co/2015/09/el-nino-ya-ha-afectado-el-20-de-la-caficultura-de-risaralda/ (accessed on 9 November 2020).
- Caracol Radio Cafeteros del país pedirán ayuda al gobierno nacional. Caracol Radio, 11 October 2015. Available online: https://caracol.com.co/emisora/2015/10/11/pereira/1444587120_016095.html (accessed on 9 November 2020).
- Sánchez, O.M.; Jaramillo, G.P.; Upegui, J.V.; Valencia, J.M.; Ortiz, C.H.; Gutiérrez, R.M.; Mejía, O.B.; Pineda, L.C.; Hernández, B.B.; Montoya, M.I. Distribución espacial y ciclos anual y semianual de la precipitación en Colombia. DYNA 1999, 127, 7–26. [Google Scholar]
- Consorcio Ordenamiento Cuenca del Río Otún Ajuste Plan de Ordenación y Manejo de la Cuenca del Río Otún; Consorcio Ordenamiento Cuenca del Rio Otún: Pereira, Colombia, 2017.
- Jaramillo-Robledo, A.; Martinez-Guzmán, O. Relación entre la Temperatura y el Crecimiento en Coffea arabica L., variedad caturra. Cenicafé 1984, 35, 57–65. [Google Scholar]
- Montoya, E.C.; Arcila, J.; Jaramillo, A.; RIAÑON; Quiroga, F. Modelo para Simular la Producción Potencial del Cultivo de Café en Colombia; Boletín Técnico N° 33; CENICAFE: Chinchina, Caldas, Colombia, 2009. [Google Scholar]
- Montoya Restrepo, E.C.; Jaramillo Robledo, A. Efecto de la Temperatura en la Producción de Café. Revista Cenicafé 2016, 67, 8. [Google Scholar]
- Sachs, J.; Rising, J.; Foreman, T.; Simmons, J.; Brahm, M. The Impacts of Climate Change on Coffee: Trouble Brewing; The Earth Institute—Columbia University: New York, NY, USA, 2015. Available online: http://eicoffee.net/files/report/main.pdf (accessed on 15 April 2020).
- Aldwaik, S.Z.; Onsted, J.A.; Pontius, R.G., Jr. Behavior-based aggregation of land categories for temporal change analysis. Int. J. Appl. Earth Obs. Geoinf. 2015, 35, 229–238. [Google Scholar] [CrossRef]
- Pontius, R.G.; Shusas, E.; McEachern, M. Detecting important categorical land changes while accounting for persistence. Agric. Ecosyst. Environ. 2004, 101, 251–268. [Google Scholar] [CrossRef]
- Gitau, M.W.; Bailey, N. Multi-Layer Assessment of Land Use and Related Changes for Decision Support in a Coastal Zone Watershed. Land 2012, 1, 5–31. [Google Scholar] [CrossRef]
- Concejo Municipal de Pereira. In Revisión de Largo Plazo del Plan de Ordenamiento Territorial del Municipio de Pereira; Concejo Municipal de Pereira: Pereira, Colombia, 2016.
- Rivera Pabón, J. Proceso de Urbanización y Agentes Urbanos en Pereira, Colombia. Ph.D. Thesis, Faculty of Geography and History, Universitad de Barcelona, Barcelona, Spain, 2013. [Google Scholar]
- Hashimoto, T.; Stedinger, J.R.; Loucks, D.P. Reliability, resiliency, and vulnerability criteria for water resource system performance evaluation. Water Resour. Res. 1982, 18, 14–20. [Google Scholar] [CrossRef]
- Sandoval-Solis, S.; McKinney, D.C.; Loucks, D.P. Sustainability Index for Water Resources Planning and Management. J. Water Resour. Plan. Manag. 2011, 137, 381–390. [Google Scholar] [CrossRef]
- Loucks, D.P. Quantifying trends in system sustainability. Hydrol. Sci. J. 1997, 42, 513–530. [Google Scholar] [CrossRef]
- Kjeldsen, T.R.; Rosbjerg, D. Choice of reliability, resilience and vulnerability estimators for risk assessments of water resources systems / Choix d’estimateurs de fiabilité, de résilience et de vulnérabilité pour les analyses de risque de systèmes de ressources en eau. Hydrol. Sci. J. 2004, 49, 1. [Google Scholar] [CrossRef]
- Mijares, V.; Gitau, M.W.; Johnson, D.R. A Method for Assessing and Predicting Water Quality Status for Improved Decision-Making and Management. Water Resour. Manag. 2018, 33, 509–522. [Google Scholar] [CrossRef]
- US EPA. Ambient Water Quality Criteria for Dissolved Oxygen; EPA 440/5-86-003; United States Environmental Protection Agency: Washington, DC, USA, 1986.
- Mijares, V. A Method for Assessing and Predicting Water Quality Status for Improved Decision-Making and Management. Master’s Thesis, School of Agricultural and Biological Engineering, Purdue University, West Lafayette, IN, USA, 2017. [Google Scholar]
- Udeigwe, T.K.; Wang, J.J. Biochemical Oxygen Demand Relationships in Typical Agricultural Effluents. Water Air Soil Pollut. 2010, 213, 237–249. [Google Scholar] [CrossRef]
- Pescod, M.B. Wastewater Treatment and Use in Agriculture; Food and Agriculture Organization of the United Nations: Rome, Italy, 1992. [Google Scholar]
- Cárdenas Vélez, N. Análisis a la Gestión del Plan de Saneamiento Hídrico de Pereira desde la Perspectiva Integral del Recurso, Haciendo Uso de WEAP como Sistema Soporte de Decisión. Bachelor’s Thesis, Faculty of Environmental Sciences, Universidad Tecnológica de Pereira, Pereira, Colombia, 2012. [Google Scholar]
- Atlas de Expansión Urbana Colombia, 2020. Available online: http://www.atlasexpansionurbanacolombia.org/cities/view/Gran_Pereira (accessed on 2 April 2020).
- Departamento Administrativo Nacional de Estadística (DANE). Retroproyecciones y Proyecciones de Población a Nivel Nacional, Departamental y Municipal. 2018. Available online: https://www.dane.gov.co/index.php/estadisticas-por-tema/demografia-y-poblacion/proyecciones-de-poblacion (accessed on 3 July 2020).
- Comisión Económica para América Latina y el Caribe (Cepal). Valoración de Daños y Pérdidas. Ola Invernal en Colombia 2010–2011; Comisión Económica para América Latina y el Caribe (Cepal): Bogotá, Colombia, 2012. [Google Scholar]
- Caracol Radio 15000 ciudadanos de Dosquebradas con problemas en el servicio de acueducto por disminución del caudal en el Río Otún. Caracol Radio, 3 September 2015. Available online: https://caracol.com.co/emisora/2015/09/03/pereira/1441279245_898387.html (accessed on 29 July 2020).
- Corporación Andina de Fomento El Fenomemo El Niño 1997–1998: Memoria, Retos y Soluciones; Volumen 3: Colombia; Corporación Andina de Fomento: Caracas, Venezuela, 2002.
- Rubio Cárdenas, M.; Vallejo Reyes, A. Evaluación del Grado de Contaminación por Plaguicidas Organosforados en Cultivos de Cebolla (Allium fistulosum) en Suelo y Agua de Escorrentía en el Corregimiento de la Florida de la Ciudad de Pereira. Bachelor’s Thesis, Faculty of Technology, Universidad Tecnológica de Pereira, Pereira, Colombia, 2014. [Google Scholar]
- Cardona Londoño, A.C.; Giraldo Tamayo, L.F. Evaluación del Grado de Contaminación por Pesticidas Organofosforados, de la Cuenca del Rio Otún, Departamento de Risaralda. Bachelor’s Thesis, Faculty of Technology, Universidad Tecnológica de Pereira, Pereira, Colombia, 2008. [Google Scholar]
- Beltrán Hincapié, N.; Restrepo Martínez, C.F. Buenas Prácticas Agrícolas para la Conservación del Recurso Hídrico en la Cuenca Media-Alta del Río Otún. Caso de Estudio, Cultivo de Cebolla. Bachelor’s Thesis, Faculty of Environmental Sciences, Universidad Tecnológica de Pereira, Pereira, Colombian, 2016. [Google Scholar]
- Cámara de Comercio de Pereira Series Estadísticas de Risaralda—Segundo trimestre de 2019. 2019. Available online: https://bit.ly/2MW7SEm (accessed on 4 September 2019).
- Alcaldía de Pereira Política Pública y Plan Municipal en Seguridad y Soberanía Alimentaria y Nutricional; Municipio de Pereira 2012–2019; Alcaldía de Pereira: Pereira, Colombia, 2011.
- Pequeña Central Hidroeléctrica Morro Azul se quedó sin ‘energía’. 29 August 2017. Available online: https://risaraldahoy.com/pequena-central-hidroelectrica-morro-azul-se-quedo-sin-energia/ (accessed on 4 April 2020).
- Acevedo Agudelo, D.B.; Arroyave Vélez, D.A. Evaluación de Impacto Ambiental del Componente Hídrico Superficial en la Pequeña Central Hidroeléctrica Morro Azul Ubicada en el Municipio de Belén de Umbría, Risaralda. Bachelor’s Thesis, Faculty of Environmental Sciences, Universidad Tecnológica de Pereira, Pereira, Colombia, 2019. [Google Scholar]
- Empresa de Energía de Pereira Informe de Gestión 2018. 2018. Available online: https://www.eep.com.co/images/stories/informes/Informe_de_gestion_2018.pdf (accessed on 18 May 2019).
- Ministerio de Minas y Energía Transacción de Volúmenes de Combustibles Líquidos Derivados del Petróleo. In Bogotá, 2018. Available online: https://www.sicom.gov.co/images/boletines_anteriores/BOLETIN_ESTADISTICO_1_JULIO_2017_30_JUNIO_2018.pdf (accessed on 15 May 2020).
- Mathis, B.; Ma, Y.; Mancenido, M.; Maciejewski, R. Exploring the Design Space of Sankey Diagrams for the Food-Energy-Water Nexus. IEEE Eng. Med. Boil. Mag. 2019, 1. [Google Scholar] [CrossRef] [PubMed]
- Secretaria de Salud de Risaralda Fenómeno del Niño 2014–2016. 2016. Available online: https://www.risaralda.gov.co/descargar.php?idFile=12915 (accessed on 20 October 2020).
- Empresa de Acueducto y Alcantarillado de Pereira Registro del Control de Captación de Agua Cruda y Producción de Agua Potable en los Sistemas de Potabilización del Área Urbana del Municipio de Pereira y del Corregimiento de Puerto Caldas; Empresa de Acueducto y Alcantarillado de Pereira: Pereira, Colombia, 2019.
- Pereira Como Vamos Informe de Calidad de Vida 2019. Pereira Como Vamos, Pereira, 2019. Available online: https://s3.pagegear.co/38/73/icv/icv_2019.pdf (accessed on 13 May 2020).
- Hanke, S. It’s Time for Colombia To Dump the Peso. Forbes. 11 August 2019. Available online: https://www.forbes.com/sites/stevehanke/2019/08/11/its-time-for-colombia-to-dump-the-peso/ (accessed on 4 August 2020).
- Van Veenhuizen, R. (Ed.) Cities Farming for the Future—Urban Agriculture for Green and Productive Cities; RUAF Foundation, IDRC and IIRR: Silang, Philippines, 2006. [Google Scholar]
- Dubbeling, M.; van Veenhuizen, R.; Halliday, J. Urban agriculture as a climate change and disaster risk reduction strategy. Field Actions Sci. Rep. 2019, 20, 32–39. [Google Scholar]
- U.S. EPA Report to Congress on Impacts and Control of Combined Sewer Overflows and Sanitary Sewer Overflows; EPA 833-R-04-001; United States Environmental Protection Agency: Washington, DC, USA, 2004.
- Schull, V.Z.; Daher, B.; Gitau, M.W.; Mehan, S.; Flanagan, D.C. Analyzing FEW nexus modeling tools for water resources decision-making and management applications. Food Bioprod. Process. 2020, 119, 108–124. [Google Scholar] [CrossRef]
- Alcaldía de Pereira. Diagnóstico Socioeconómico Comuna Villasantana. Alcaldía de Pereira, 2015. Available online: http://www.pereira.gov.co/Planeacion/DIAGNOSTICOS%20SOCIOENCONOMICOS/DIAGNOSTICOS%20SOCIOENCONOMICOS/8.%20COMUNA%20VILLASANTANA.pdf (accessed on 15 June 2020).







Publisher’s Note: MDPI stays neutral with regard to jurisdictional claims in published maps and institutional affiliations. |
© 2020 by the authors. Licensee MDPI, Basel, Switzerland. This article is an open access article distributed under the terms and conditions of the Creative Commons Attribution (CC BY) license (http://creativecommons.org/licenses/by/4.0/).
Share and Cite
Torres, C.; Gitau, M.; Lara-Borrero, J.; Paredes-Cuervo, D. Framework for Water Management in the Food-Energy-Water (FEW) Nexus in Mixed Land-Use Watersheds in Colombia. Sustainability 2020, 12, 10332. https://doi.org/10.3390/su122410332
Torres C, Gitau M, Lara-Borrero J, Paredes-Cuervo D. Framework for Water Management in the Food-Energy-Water (FEW) Nexus in Mixed Land-Use Watersheds in Colombia. Sustainability. 2020; 12(24):10332. https://doi.org/10.3390/su122410332
Chicago/Turabian StyleTorres, Camilo, Margaret Gitau, Jaime Lara-Borrero, and Diego Paredes-Cuervo. 2020. "Framework for Water Management in the Food-Energy-Water (FEW) Nexus in Mixed Land-Use Watersheds in Colombia" Sustainability 12, no. 24: 10332. https://doi.org/10.3390/su122410332
APA StyleTorres, C., Gitau, M., Lara-Borrero, J., & Paredes-Cuervo, D. (2020). Framework for Water Management in the Food-Energy-Water (FEW) Nexus in Mixed Land-Use Watersheds in Colombia. Sustainability, 12(24), 10332. https://doi.org/10.3390/su122410332

