Abstract
Archaeological museums are usually constructed at the location where historical relic sites are unearthed and are often characterized by large-space building layouts and high energy consumption for the environmental control. However, the traditional strategies for environmental control are limited in protecting the unearthed relics from desiccation cracking and salt concentration. In this study, an environmental control strategy of evaporative cooling system is proposed as a solution to develop a sustainable preservation environment to maintain the condition of the ancient relics at a state of moist saturation. Afterwards, a verification of sustainability and climate suitability analysis of the proposed system were conducted. The results indicate that (1) the evaporative cooling system can fulfil the high humidity preservation environment requirements for the unearthed historical relic sites with a low energy consumption; and (2) the potential use of the evaporative cooling systems is significant in Xi’an and Chengdu (i.e., being 62% and 75%, respectively), and not in Lanzhou and Urumqi. As a conclusion, the proposed strategy provides a sustainable protocol for the preservation of unearthed historical relic sites in archaeological museum.
1. Introduction
Global building energy consumption accounts for 36% of the total energy consumption [1,2], according to the statistics of the Building and Construction (2019) published by the International Energy Agency and Global Alliance. The building energy consumption in China accounts for 35% of the total domestic energy consumption with one-fifth of consumption originating from public buildings. Furthermore, the energy requirement for air conditioning is approximately 60% of the total energy consumed in buildings in many countries [3,4,5,6]. The traditional mechanical air conditioning equipment consumes substantial amount of fossil fuels for providing a comfortable indoor environment [7,8]. The traditional air conditioner produces two types of pollution, i.e., CO2 emission from electricity generation system and greenhouse gases from chemical-based refrigerants [9]. To reduce the associated global warming and environmental pollution, there is a need to increase the utilization ratio of clean and renewable energy and to improve the energy efficiency of large-scale buildings (e.g., office buildings, stadiums, museums).
Museums are common large-scale public buildings developed to preserve and display objects and collections. There are currently more than 5500 museums in China, with numerous archaeological museums constructed at the place where relics were unearthed [10]. The exhibition halls of archaeological museum often have a large space with the unearthed historical sites that are semi-buried and semi-exposed to the air, such as the Emperor Qinshihuang’s Mausoleum Site Museum (Figure 1). Accordingly, the environmental control of the archaeological museum faces two main issues. Firstly, a stable state of temperature and relative humidity (RH), and a balanced moisture exchange between soil and air is required for the preservation of historical relic sites [11]. The traditional air-conditioning system in museums can provide a comfortable environment for tourists, yet they often cannot meet the specific environmental needs of earthen relic site [12]. For example, most historical relic sites will suffer from seasonal cracking if they are preserved in these environmental conditions for longer period [11]. Secondly, the indoor of archaeological museums is usually characterized by big space, broad layout, poor airtightness and low thermal resistance of walls, which results in high energy consumption of air conditioning system throughout the year [13]. Taking the Emperor Qinshihuang’s Mausoleum Site Museum as an example, the estimated cooling energy consumption and cooling load index exceeds 2860.66 kW and 179 W/m2, respectively [13]. Furthermore, the majority of the energy for cooling is used for the non-historical site area, as a historical relic site occupies only a small part of the exhibition hall.
Figure 1.
The unearthed historical relic sites in Site Museum: (a) The Emperor Qinshihuang’s Mausoleum Site Museum; and (b) The Unearthed Terracotta Warriors and Horses.
Numerous researchers have conducted studies on the protection of historical sites and on the reduction of energy consumption in museums worldwide [14,15]. Ascione et al. [16] conducted an energy-saving case study for multiple Heating Ventilation Air Conditioning (HVAC) systems in a modern museum and showed that altering the acceptable range of indoor RH can lead to energy savings of about 40%. Karin et al. [17] proposed a new standard in the control of the museum environment according to the temperature parameters derived from the adaptive thermal comfort model, and according to the RH parameters derived from ASHRAE. This study noticed about 15% savings in the electricity bill for the Amsterdam Museum. Luo et al. [18,19,20,21] proposed a variety of environmental control systems for preservation of historical relic sites (e.g., air curtain system, local displacement ventilation system, capillary radiation system) in China. These systems can effectively support the local environmental control for the historical relic sites and substantially reduce the energy consumption. Although these measures would influence the RH of the preservation environment and would attain a humidity of 80% or higher in order to reduce the drying rate of the historical relic sites, they cannot adequately protect the relics against desiccation cracking diseases caused by water transport between the coupled soil-air environment. The rationale behind this is that the transport of water from soil to air is a natural one-way process that is difficult to prevent only by increasing the RH [12]. Adding liquid water directly to the soil is thought to be an effective way to suppress dry cracking and other problems such as seasonal cracking in historical sites [12].
Evaporative cooling is a high-efficiency and energy-saving air conditioning technology that uses water evaporation to absorb and remove heat [22]. When compared to the traditional air conditioning systems, the evaporative cooling system needs only about a quarter of the electricity consumed by a mechanical air conditioning vapor compression system [23]. Chen et al. [24] designed a hybrid system consisting of an indirect evaporative cooler (IEC) and wet-dehumidification desalination (HDH) for simultaneous production of low-temperature freshwater. Oh et al. [25] proposed a detailed mathematical model to analyze the counter-flow indirect evaporative cooler with two different purge ratios. Furthermore, Shahzad et al. [26] proposed an improved indirect evaporative cooler system for sensible cooling that can be combined with the dehumidification processes in order to achieve sustainable cooling goals. Evaporative cooling is generally divided into two types: (1) indirect evaporative cooling (IEC), and (2) direct evaporative cooling (DEC). In case of IEC, the supplied air is not in contact with water, and the cooling performance is affected by the temperature difference between the dry bulb temperature and the wet bulb temperature [27]. For DEC, the supplied air is sufficiently cooled by spraying water through the air, which leads to the increase of moisture content in the air and it sometimes can even reach saturation point [28]. According to JGJ 66-2015 [29], the design code for Heating, Ventilation and Air Conditioning (HVAC) of Civil Buildings in China, RH in the indoor environment should be controlled within 70%, and therefore IEC is a more dominant air conditioning technology on the market [29,30]. However, evaporative cooling is rarely used in museums because RH values between 40% and 60% are generally required for the preservation environment of historical relic in museums [29]. Nevertheless, high humidity is important for the preservation of historical relic sites in order to prevent them from drying and cracking. Therefore, the evaporative cooling system is one of the most effective ways for providing a stable preservation environment for the unearthed historical sites within an archaeological museum. An environmental control strategy that includes evaporative cooling system and ultrasonic humidification was proposed in order that the supply air reaches a supersaturated state.
Climate conditions are the most significant factors that affect the normal operation of evaporative cooling [31]. Generally, the peak period for air conditioning and with high occurrence of seasonal cracking in the earthen sites in museums is summer. Therefore, there is a need to evaluate the applicability of the evaporative cooling in this period. Generally, the decrease in the air temperature is greater with the greater wet-bulb depression and the evaporative cooling system is more than effective [32,33]. However, the evaporative cooling for historical relic sites is insensitive to air temperature and has a specific requirement for RH [34]. As the service objective of evaporative cooling changes from humans to historical sites, the standards for environmental control also change. Accordingly, the wet-bulb depression of the air is not the only criterion to evaluate the sustainability and the climate suitability of evaporative cooling systems.
In this paper, an environmental control system based on the evaporative cooling technology is proposed for the preliminary evaluation of the control effect on the preservation environment of the historical relic sites. An evaporative cooling applicability zone model was developed to analyze the efficacy of the evaporative cooling technology for different climates in China in order to provide a theoretical basis for the application of this technology in China’s archaeological museums.
2. High-Humidity Requirements for Preservation Environment of Historical Sites
Temperature and RH are the main factors influencing the preservation of historical sites [35,36] with countries worldwide having established standards that consider these factors. Based on the level AA environmental standards proposed by the American Society of Heating, Refrigerating and Air-conditioning Engineers (ASHRAE), the short-term changes in temperature and RH of the preservation environment should not exceed ±2 °C and ±5% RH, respectively [37]. Furthermore, countries such as Italy and China, have further defined different temperature and RH thresholds according to the different materials of the collections [38,39,40]. The environment for visitors and historical relic sites are listed in Table 1. Due to the inorganic materials of the historical sites, they are insensitive to temperature and RH parameters [41]. However, the environmental surrounding of the historical sites has changed from a moist, deep soil environment to a soil-air coupled environments as a result of the archaeological excavations [42,43]. Accordingly, the water content of the historical sites can be exposed to the air and is constantly evaporating, thus lowering the water content below the critical water content for cracking in the soil, which ultimately results in desiccation cracking disease (see Figure 2). Therefore, inhibiting the loss of water and maintaining the original environmental condition of the historical relics is an effective solution for the problem of desiccation cracking. In order to maintain the original environment of the historical sites, RH of the preservation environment should be saturated. Therefore, by considering temperature and RH standards for the preservation environment of historical sites in various countries and by considering the high humidity requirements of historical sites, the preservation environmental parameters proposed in this paper are temperature (from 19 °C to 24 °C) and RH (saturation, 100%), with the temperature reference range having a minor difference during the actual museum environment control.
Table 1.
Suggested environment for visitors and historical relic sites.
Figure 2.
Development mechanism of dry crack disease in historical relic sites: (a) Water migration process; and (b) Desiccation cracking.
In this research, an environmental control system based on the evaporative cooling technology is chosen to meet the specific environmental requirements for the preservation of historical relic sites. The IEC would reduce outdoor air temperature to near dew point temperature, while the DEC would reduce air temperature and also changes RH to near saturation. Additionally, when compared to traditional mechanical refrigeration systems, evaporative cooling does not require additional power to provide a cooling source and therefore this technology has advantages for environmental control of historical relic sites.
3. Methodologies
3.1. Evaporative Cooling
The working principle of evaporative cooling can be presented with the air treatment process line on the enthalpy diagram. For DEC (Figure 3a), the circulating water is in direct contact with the air, and accordingly air and water temperature are reduced by the water evaporation, the moisture content is increased and RH is nearly saturated. This is an adiabatic humidification process with the outdoor air cooled to the target state along the isoenthalpy line. [44]. For IEC (Figure 3b), the primary air (outdoor air) flows over the dry side of a heat exchanger plate, while the secondary air (exhaust air) flows over the wet side. The wet side removes heat from the dry side by moisture evaporation and cools the dry side, while the moisture content of the air remains constant during the process [45]. In this study, combining the high cooling range of IEC and the humidification advantage of DEC, indirect-direct evaporative cooling (IDEC) was applied, with the IDEC having a wet bulb efficiency of 140% that changes RH to nearly 90%.
Figure 3.
Principle of evaporative cooling: (a) Direct evaporative cooling, and (b) Indirect evaporative cooling.
3.2. Experimental System
For the purpose of this research, an experimental chamber was built in order to simulate the preservation environment of a historical relic sites. Figure 4a shows the flowchart of the experimental system, while Figure 4b,c show the experimental hall and funerary pit. Outdoor air was delivered to the preservation area via micro-droplets with low temperature and high humidity [11]. The experimental data acquisition system includes temperature and RH sensors located in the experimental exhibition hall (T1–T8), and the air supply parameters in the air handling unit (Ta, Te, Tc) (Figure 4a). In particular, T1–T3 sensors were located in the relics preservation area and T4–T5 sensors in the transition area. T7 and T6 sensors were located in the visitor area, and T6 was located at the interface between the funerary pit and the visitor area. In addition, sensor T8 was located at the corridor of the visitor’s area outside the pit at the same height as T7.

Figure 4.
Experimental system: (a) Flowchart of the experimental system; (b) Experimental hall; and (c) Experimental funerary pit.
3.3. Experimental Operational Modes
The experimental operational modes are listed in Table 2. In Case 1, the system was operated in full fresh air mode with the surface cooler (SAC) unit off, while the supply air is processed by the IDEC unit. In Case 2, the system was in the operation mode of full return air, which is a general operation mode in the traditional environmental control system of museums. In this case, the environmental control temperature of the historical relic preservation area was set to 20 ± 1 °C. The air change rate was set at 10 AC/h (air change per hour) in both cases.
Table 2.
Summary of the operating conditions for the experiment.
3.4. Evaporative Cooling Application Zones Model
An application zone model for evaporative cooling has been developed by this study (Figure 5). The a-b curves represent the requirements of the preservation environment for the historical relic sites, i.e., the air temperature was from 19 °C to 24 °C and RH was 100%. In Figure 5, the two oblique lines through points “a” and “b” are the air process lines by DEC, while the vertical line through point “c” is the air process line by IEC with point “c” representing a theoretically lowest point of air cooling by IEC. The air process lines divide the psychrometric chart into four zones, and the air handling modes in each zone are listed in Table 3.
Figure 5.
Application zone model for evaporative cooling on psychrometric chart.
Table 3.
Air treatment plan in each zone.
- Zone 1: When climate data is from Zone 1, the outdoor air is dry and cold during some periods, and it is necessary to preheat the air to be delivered into Zone 2 by using surface heater (SAH). Afterwards, air is cooled and humidified to reach the target condition by using the DEC.
- Zone 2: When climate data is from Zone 2, outdoor air can be cooled and humidified to the target condition by using only the DEC.
- Zone 3: When climate data is from Zone 3, the outdoor air needs to be cooled to the Zone 2 condition by using the IEC, and afterwards the air is cooled and humidified to the target condition by using the DEC.
- Zone 4: When climate data is from the Zone 4, the outdoor air temperature and humidity are high, and the air needs to be initially cooled by using the IEC and further cooled to the target condition by using a surface cooler (SAC).
3.5. Selected Cities
Eight typical cities in China, including Xi’an, Chengdu, Hangzhou, Guangzhou, Wuhan, Lanzhou, Urumqi, and Hohhot, were analyzed in this study. The climate conditions and the number of historical sites in selected cities are listed in Table 4. The climate types of the cities cover the main climate types in China, i.e., Xi’an has a semi-humid climate; Chengdu, Hangzhou, Guangzhou, and Wuhan have a humid climate; Lanzhou and Hohhot have a semi-arid climate; and Urumqi has an arid climate. A large number of historical sites have been discovered in these eight cities, many of which have been protected in museums (Figure 6). Among them are the Emperor Qinshihuang’s Mausoleum Site Museum in Xi’an, the Jinsha Site Museum in Chengdu, the Kuahuqiao Site Museum in Hangzhou, and the Archaeological Site Museum of Nanyue Palace in Guangzhou. Accordingly, the selected cities well represent diverse climate types and historical sites in China.
Table 4.
Climate conditions and the number of historical sites in selected cities.
Figure 6.
The distribution map of selected cities in China.
3.6. Climate Data Acquisition
Climate data used in this research is for each selected city during the summer months (June–September) in the decade 2009–2018. The used climatic parameters included outdoor air dry bulb temperature and RH. Data were obtained from hourly observations produced by the China Meteorological Data Service Centre [46].
4. Results and Discussion
4.1. Experimental Validation of the Evaporative Cooling System
Distribution of temperature and RH in the exhibition hall under Case 1–2 is shown in Figure 7. Left graph shows temperature change over time, while right graph shows RH change over time. Table 5 shows temperature and RH values in the historical site preservation area under Case 1–2. Under two experimental conditions, temperature at the center of the funerary pit would increase with the height, thus showing a stable thermal stratification characteristic of “cold underneath and hot up top”. Average values at three measuring locations (T1-T3) under Case 1–2 were 24.1 °C and 20.8 °C, respectively. Furthermore, temperature remained stable with short-term variation, of ±1.3 °C and ±0.6 °C, respectively, which is in accordance with the ASHRAE standard AA level requirement of less than ±2 °C variation. In Case 1, the indirect-direct evaporative cooling system was operating alone without additional cooling and temperature control, so the fluctuation of environmental values in the preservation area of the historical relic site is greater than in Case 2. At the same time, a stable environment was maintained with small temperature differences between T1 and T3 in Cases 1–2. Above the height of the air supply outlet (T4–T6), the temperature gradient and the temperature fluctuation increased substantially due to the influence of spectator area and indoor air movement. Temperature in the visitor area (T7–T8) was almost identical, which means that the system can provide a stable environment for the conservation area without affecting the visitors. The environment for the visitors and for the relics’ preservation area can be independently and simultaneously controlled according to the operational mode proposed in a previous research [47].
Figure 7.
Temperature and Relative humidity distribution in the historical relic exhibition hall: (a) Case 1; and (b) Case 2.
Table 5.
Temperature and RH parameters of preservation area (T1–T3).
Distribution of RH is basically the same as the temperature distribution. In Case1, the RH was maintained at 100% at measuring locations T1–T3 in the cultural relic area. In Case2, the RH was lower than in Case 1 because the evaporative cooling system was not operated to humidify the air, and only the RH at T1 measuring location was kept stable at 100%. The RH at T2 and T3 was not saturated during the midday hours when the outdoor temperature was relatively high. The average RH was 98.5% and 98.2% at these two measurement locations.
Energy consumed by the experimental system mainly includes energy for water pumps, fan transmission power, and for refrigeration units to provide chilled water. The air supply and delivery were approximately the same in both experimental conditions. Therefore, for comparison purposes, only the air-conditioning load of the refrigeration system was measured. The cooling load of the refrigeration unit was calculated based on the heat exchange between the air and the SAC. Table 6 shows the cooling load in the SAC for two experimental conditions, where Q (kW) is the heat gain of the supplied air in the SAC system, Lm (kg/s) is the mass flow rate of the supplied air, and he and hc (kJ/kg) are the average specific enthalpy of supplied air at Te and Tc, respectively. In Case 1, the cooling load was fully borne by the evaporative cooling unit. In Case 2, the cooling load was fully borne by the refrigeration unit that has a cooling capacity of 2.63 kW in the SAC unit.
Table 6.
Energy consumption in the SAC unit.
4.2. Evaluation of Evaporative Cooling Potential
We made predictions on the climatic suitability of evaporative cooling systems in order to evaluate their potential application value in selected cities. Figure 8 shows the psychrometric chart with the distribution of outdoor air temperature in each city during summer. Furthermore, Table 7 shows the proportion of data in each zone on the psychrometric chart. Except for Lanzhou and Urumqi (Figure 8f,g), climate data of other cities are distributed in four zones. Accordingly, except for Lanzhou and Urumqi, other cities in China have certain demands for four control modes. In addition, at least 30% of the climate data in our researched cities are distributed in Zone2 and Zone3, except for Lanzhou and Urumqi. Among them, Xi’an, Chengdu, Hangzhou, and Wuhan account for more than 50% of the climate data in Zone2 and Zone3. This shows great potential for the application of DEC and IEC + DEC mode to cool and humidify outdoor air.

Figure 8.
Climate data distribution on psychrometric chart in eight cities: (a) Xi’an, (b) Chengdu, (c) Hangzhou, (d) Guangzhou, (e) Wuhan, (f) Lanzhou, (g) Urumqi, and (h) Hohhot.
Table 7.
Summary of climate data percentage in different zones in studied cities.
In Figure 8c–e, climate data are dense in Zone 4 and account for more than 30%, which shows that IEC + SAC mode has a great potential for use in Hangzhou, Guangzhou, and Wuhan. Although IEC + SAC mode is more energy efficient than the traditional air-conditioning mode, the cooling range of IEC is limited and the power consumption of the SAC cannot be ignored due to the high humidity climate in Zone 4. Therefore, without the low energy consumption mechanical refrigeration integration into the system, the energy consumption of the IEC + SAC mode can be large. An alternative option could be to use IEC + air source heat pump refrigeration mode to reduce air temperature and RH.
In Figure 8a,f–h, climate data are dense in Zone1 and accounts for more than 30%, which shows that the SAH + DEC mode has a great potential for use in Xi’an, Lanzhou, Urumqi, and Hohhot. Additionally, climate data of Lanzhou and Urumqi are almost entirely distributed in Zone1 with 97% and 99%, respectively. Therefore, an efficient and energy-saving air heating system needs to be applied in Lanzhou and Urumqi. These cities have long sunshine hours and intensive solar radiation in summer, which is suitable for developing and applying solar energy technology. Accordingly, active solar refrigeration system combined with the DEC mode has potential for application in Lanzhou and Urumqi.
4.3. Evaluation of Evaporative Cooling Energy Saving
The peak period of air conditioning usage is usually in summer, and is usually accompanied with a substantial increase in energy consumption [48,49]. Accordingly, analysis of the operation mode of the evaporative cooling system in the museum is helpful in evaluating its energy-saving characteristics during summer. Figure 9 shows the average temperature for eight cities during summer months. Temperature in July and August is generally high in Xi’an, Hangzhou, Guangzhou, and Wuhan with monthly average temperatures above 26 °C. In contrast, the temperatures in June and September was lower with monthly average temperatures generally below 24 °C. Accordingly, air-conditioning cold load is highest in July and august, while it is lower during transition months of June and September.
Figure 9.
Average monthly temperature of eight cities in summer.
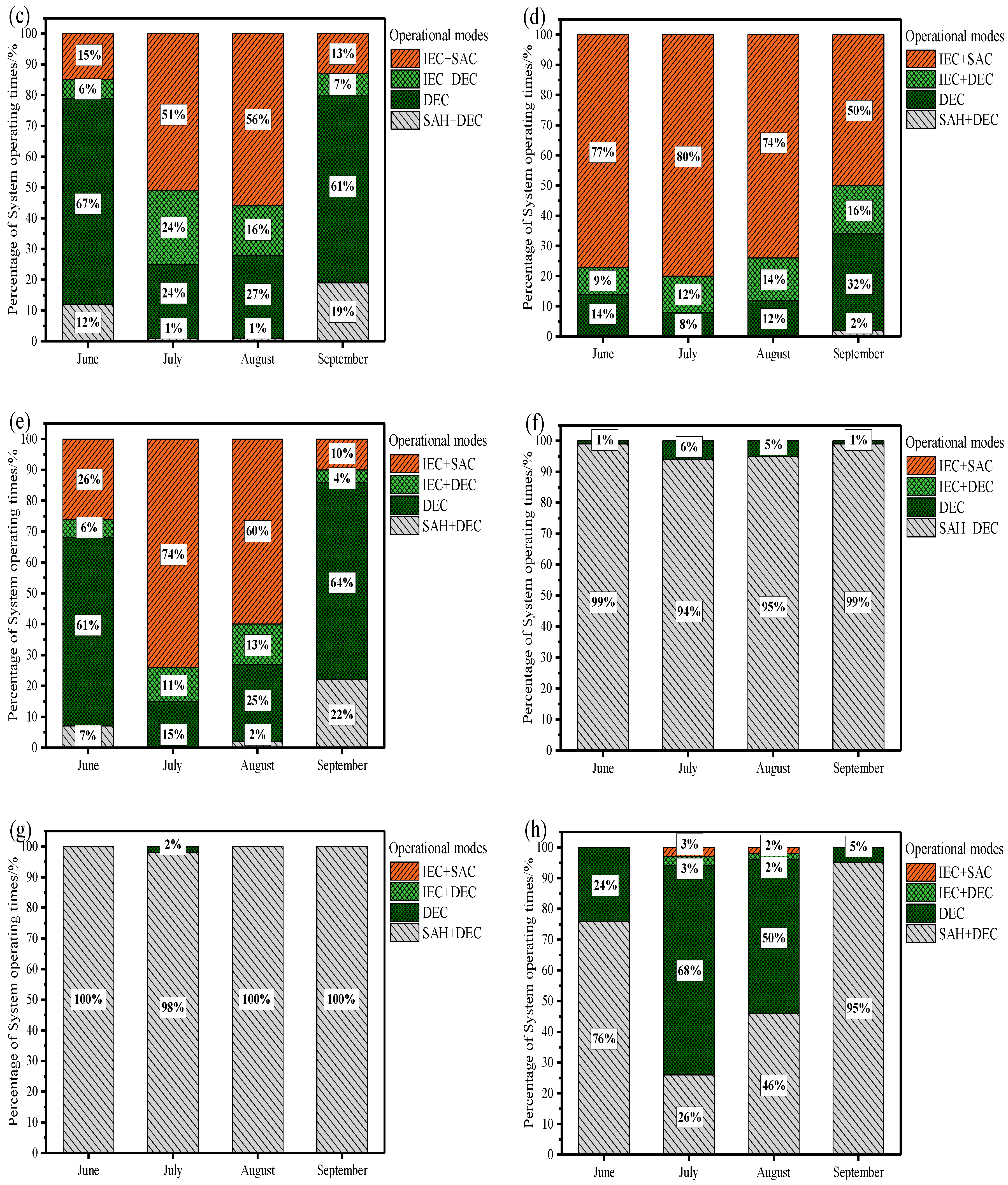
Figure 10 shows the percentage of four evaporative cooling system operation modes during summer months in selected cities. Furthermore, Table 8 shows the percentage of DEC and IEC + DEC operation modes during summer months in selected cities. During the warmest months of July and August, the evaporative cooling operation mode (DEC, IEC + DEC) has large application in all cities, except for Lanzhou and Urumqi, it is applied in nearly 50% in Hangzhou, more than 50% in Hohhot, and more than 75% in Xi’an and Chengdu. Therefore, the evaporative cooling is responsible for a large number of air-conditioning cooling loads, yet at the same time it can considerably reduce the electricity costs for the museums in these cities. For Guangzhou and Wuhan, the IEC + SAC mode accounts for more than 60% and is mainly responsible for the air-conditioning cooling loads in July and August. Compared with applying only the SAC mode, the IEC + SAC mode saves a large amount of electricity.

Figure 10.
Percentage of system operation mode in eight cities during summer in: (a) Xi’an, (b) Chengdu, (c) Hangzhou, (d) Guangzhou, (e) Wuhan, (f) Lanzhou, (g) Urumqi, and (h) Hohhot.
Table 8.
Summary of DEC and IEC + DEC percentage during the summer months in studied cities.
During the transition months of June and September, the proportion of evaporative cooling operation mode (DEC, IEC + DEC) is almost always above 50% in Xi’an, Chengdu, Hangzhou, Wuhan, and Guangzhou. Therefore, the evaporative cooling is responsible for a large number of air-conditioning cooling loads with substantial energy-saving effect. However, for Lanzhou, Urumqi, and Hohhot, heating units to preheat the air is necessary before using the DEC to cool it to desired values due to the lower temperature in the transition months in these cities. Moreover, Lanzhou and Urumqi almost totally rely on SAH + DEC mode during the summer, and consequently the application percentage of evaporative cooling is poor and the monthly power consumption is higher than in other cities.
5. Conclusions
In this paper, we investigated the effect of the evaporative cooling on the preservation environment of historical relic sites and further assessed the sustainability and the climate suitability of evaporative cooling technology by applying the evaporative cooling application zones model.
This study has found that the evaporative cooling system can maintain the preservation environment of earthen site in a stable, high humidity environment, which can effectively inhibit the water evaporation from historical sites. The short-term fluctuations of temperature and RH within the preservation area could be maintained at ±1.3 °C and ±0.0%, respectively, which conforms to the AA level of ASHRAE standard, and also satisfies the preservation requirements for inorganic relic materials in historic sites. Moreover, the evaporative cooling system has significant energy-saving benefits when compared to the traditional air conditioning mode.
This study also found that DEC and IEC + DEC modes have a high application potential in archaeological museums located in Xi’an, Chengdu, Hangzhou, and Wuhan. In addition, the proportion of evaporative cooling (DEC and IEC + DEC modes) usage exceeds 75% in Xi’an and Chengdu during the warm summer months of July and August. Therefore, the evaporative cooling has the most substantial energy savings potential in the archaeological museums in these two cities. On the contrary, evaporative cooling showed lower application potential in archaeological museums located in Guangzhou, Lanzhou, Urumqi, and Hohhot. These cities require additional usage of SAC or SAH to fulfil their air-handling demands. Therefore, the usage of energy efficient SAC or SAH would be important in these cities.
Author Contributions
B.C. and X.L.: conceptualization, methodology, project administration, visualization, supervision, and writing original draft. B.C. and Y.D.: formal analysis, investigation, and resources. C.W.Y.: writing, review and editing. X.L. and Z.G.: funding acquisition. All authors have read and agreed to the published version of the manuscript.
Funding
This research was funded by the National Natural Science Foundation of China (52078417) and National Key Technology Research and Development Program of China during the “10th Five-Year Plan” (2012BAK14B01).
Conflicts of Interest
The authors declare no conflict of interest.
References
- Andersen, C.E.; Kanafani, K.; Zimmermann, R.K.; Rasmussen, F.N.; Birgisdóttir, H. Comparison of GHG emissions from circular and conventional building components. Build. Cities 2020, 1, 379–392. [Google Scholar] [CrossRef]
- Maiolo, M.; Pirouz, B.; Bruno, R.; Palermo, S.A.; Arcuri, N.; Piro, P. The role of the extensive green roofs on decreasing building energy consumption in the mediterranean climate. Sustainability 2020, 12, 359. [Google Scholar] [CrossRef]
- Huang, J.; Lv, H.; Gao, T.; Feng, W.; Chen, Y.; Zhou, T. Thermal properties optimization of envelope in energy-saving renovation of existing public buildings. Energy Build. 2014, 75, 504–510. [Google Scholar] [CrossRef]
- Li, X.; Yu, C.W. China’s building energy efficiency targets: Challenges or opportunities? Indoor Built Environ. 2012, 21, 609–613. [Google Scholar] [CrossRef]
- Simon, P.; Matteo, D.F.; Reza, F.; Lukas, K.; Stefano, Z. Status Quo of the Air-Conditioning Market in Europe: Assessment of the Building Stock. Energies 2017, 10, 1253. [Google Scholar] [CrossRef]
- Santamouris, M. Cooling the buildings–past, present and future. Energy Build. 2016, 128, 617–638. [Google Scholar] [CrossRef]
- Liu, G.; Wu, Z.; Hu, M. Energy consumption and management in public buildings in China: An investigation of Chongqing. Energy Procedia 2012, 14, 1925–1930. [Google Scholar] [CrossRef]
- Wan, K.K.; Li, D.H.; Liu, D.; Lam, J.C. Future trends of building heating and cooling loads and energy consumption in different climates. Build. Environ. 2011, 46, 223–234. [Google Scholar] [CrossRef]
- Jon, C.K. Advances in Air Conditioning Technologies: Improving Energy Efficiency; Springer: Singapore, 2020. [Google Scholar] [CrossRef]
- Lin, J.; Wang, R.; Kumja, M.; Bui, T.; Chua, K. Modelling and experimental investigation of the cross-flow dew point evaporative cooler with and without dehumidification. Appl. Therm. Eng. 2017, 121, 1–13. [Google Scholar] [CrossRef]
- Luo, X.; Chang, B.; Tian, W.; Li, J.; Gu, Z. Experimental study on local environmental control for historical site in archaeological museum by evaporative cooling system. Renew. Energy 2019, 143, 798–809. [Google Scholar] [CrossRef]
- Luo, X.; Gu, Z.; Yu, C. Desiccation cracking of earthen sites in archaeology museum–a viewpoint of chemical potential difference of water content. Indoor Built Environ. 2015, 24, 147–152. [Google Scholar] [CrossRef]
- Cao, C.; Meng, X.; Liu, X.; Yang, X.; Hu, W.; Jin, L. Energy analysis of relics museum buildings. Energy Procedia 2015, 75, 1809–1818. [Google Scholar] [CrossRef]
- Camuffo, D. Microclimate for Cultural Heritage: Measurement, Risk Assessment, Conservation, Restoration, and Maintenance of Indoor and Outdoor Monuments; Elsevier: Amsterdam, The Netherlands, 2019. [Google Scholar]
- Camuffo, D.; Pagan, E.; Rissanen, S.; Bratasz, Ł.; Kozłowski, R.; Camuffo, M.; della Valle, A. An advanced church heating system favourable to artworks: A contribution to European standardisation. J. Cult. Herit. 2010, 11, 205–219. [Google Scholar] [CrossRef]
- Ascione, F.; Bellia, L.; Capozzoli, A. A coupled numerical approach on museum air conditioning: Energy and fluid-dynamic analysis. Appl. Energy 2013, 103, 416–427. [Google Scholar] [CrossRef]
- Kompatscher, K.; Seuren, S.; Kramer, R.; van Schijndel, J.; Schellen, H. Energy efficient HVAC control in historical buildings: A case study for the Amsterdam Museum. Energy Procedia 2017, 132, 891–896. [Google Scholar] [CrossRef]
- Gu, Z.; Luo, X.; Meng, X.; Wang, Z.; Ma, T.; Yu, C.; Rong, B.; Li, K.; Li, W.; Tan, Y. Primitive environment control for preservation of pit relics in archeology museums of China. Environ. Sci. Technol. 2013, 47, 1504–1509. [Google Scholar] [CrossRef]
- Luo, X.; Gu, Z.; Li, T.; Meng, X.; Ma, T.; Yu, C. Environmental control strategies for the in situ preservation of unearthed relics in archaeology museums. J. Cult. Herit. 2015, 16, 790–797. [Google Scholar] [CrossRef]
- Luo, X.; Gu, Z.; Yu, C.W.; Li, K.; Xiao, B. Preservation of in situ artefacts by local heating in earthen pit in archaeology museum in cold winter. Build. Environ. 2016, 99, 29–43. [Google Scholar] [CrossRef]
- Luo, X.; Gu, Z.; Yu, C.; Ma, T.; Kase, K. Efficacy of an air curtain system for local pit environmental control for relic preservation in Archaeology Museums. Indoor Built Environ. 2016, 25, 29–40. [Google Scholar] [CrossRef]
- Zhou, Y.; Zhang, T.; Wang, F.; Yu, Y. Performance analysis of a novel thermoelectric assisted indirect evaporative cooling system. Energy 2018, 162, 299–308. [Google Scholar] [CrossRef]
- Riangvilaikul, B.; Kumar, S. An experimental study of a novel dew point evaporative cooling system. Energy Build. 2010, 42, 637–644. [Google Scholar] [CrossRef]
- Chen, Q.; Burhan, M.; Shahzad, M.W.; Ybyraiymkul, D.; Akhtar, F.H.; Ng, K.C. Simultaneous production of cooling and freshwater by an integrated indirect evaporative cooling and humidification-dehumidification desalination cycle. Energy Convers. Manag. 2020, 221, 113169. [Google Scholar] [CrossRef]
- Oh, S.J.; Shahzad, M.W.; Burhan, M.; Chun, W.; Jon, C.K.; KumJa, M.; Ng, K.C. Approaches to energy efficiency in air conditioning: A comparative study on purge configurations for indirect evaporative cooling. Energy 2019, 168, 505–515. [Google Scholar] [CrossRef]
- Shahzad, M.W.; Burhan, M.; Ybyraiymkul, D.; Oh, S.J.; Ng, K.C. An improved indirect evaporative cooler experimental investigation. Appl. Energy 2019, 256, 113934. [Google Scholar] [CrossRef]
- Kim, B.-J.; Park, J.; Jeong, J.-W. Indoor air quality enhancement performance of liquid desiccant and evaporative cooling-assisted air conditioning systems. Sustainability 2019, 11, 1036. [Google Scholar] [CrossRef]
- Robinson, D.; Lomas, K.J.; Cook, M.J.; Eppel, H. Passive down-draught evaporative cooling: Thermal modelling of an office building. Indoor Built Environ. 2004, 13, 205–221. [Google Scholar] [CrossRef]
- JGJ 66-2015. Code for Design Museum Building; Ministry of Housing and Urban-Rural Development of the People’s Republic of China: Beijing, China, 2015.
- Van Schijndel, A.; Schellen, H.; Wijffelaars, J.; Van Zundert, K. Application of an integrated indoor climate, HVAC and showcase model for the indoor climate performance of a museum. Energy Build. 2008, 40, 647–653. [Google Scholar] [CrossRef]
- Ryan, D.; Boland, M.; Kopel, E.; Armstrong, D.; Munyakazi, L.; Godke, R.; Ingraham, R. Evaluating two different evaporative cooling management systems for dairy cows in a hot, dry climate. J. Dairy Sci. 1992, 75, 1052–1059. [Google Scholar] [CrossRef]
- Kowalski, P.; Kwiecień, D. Evaluation of simple evaporative cooling systems in an industrial building in Poland. J. Build. Eng. 2020, 32, 101555. [Google Scholar] [CrossRef]
- Aparicio-Ruiz, P.; Schiano-Phan, R.; Salmerón-Lissén, J.M. Climatic applicability of downdraught evaporative cooling in the United States of America. Build. Environ. 2018, 136, 162–176. [Google Scholar] [CrossRef]
- Sharif-Askari, H.; Abu-Hijleh, B. Review of museums’ indoor environment conditions studies and guidelines and their impact on the museums’ artifacts and energy consumption. Build. Environ. 2018, 143, 186–195. [Google Scholar] [CrossRef]
- Abdul-Wahab, S.A.; Salem, N.; Ali, S. Evaluation of indoor air quality in a museum (Bait Al Zubair) and residential homes. Indoor Built Environ. 2015, 24, 244–255. [Google Scholar] [CrossRef]
- Lucchi, E. Environmental Risk Management for Museums in Historic Buildings through an Innovative Approach: A Case Study of the Pinacoteca di Brera in Milan (Italy). Sustainability 2020, 12, 5155. [Google Scholar] [CrossRef]
- ASHRAE Handbook eHVAC Applications Chapter 23: Museum, Galleries, Archives, and Libraries, SI Edition; American Society of Heating, Refrigerating and Air-Conditioning Engineers: Atlanta, GA, USA, 2015.
- UNI 10829, Works of Art of Historical Importance. Ambient Conditions for the Conservation. Measurement and Analysis; UNI-Ente Italiano di unificazione: Milan, Italy, 1999.
- Thomson, G. The Museum Environment; Butterworth-Heinemann: London, UK, 1986; p. 312. [Google Scholar]
- Dang, R.; Yuan, Y.; Luo, C.; Liu, J. Chromaticity shifts due to light exposure of inorganic pigments used in traditional Chinese painting. Lighting Res. Technol. 2017, 49, 818–828. [Google Scholar] [CrossRef]
- Chapuis, M.; Lydon, A.; Brandt-Grau, A. Preserving Our Heritage, Improving our Environment; European Commission: Luxembourg, 2009; Volume 1, pp. 1–40. [Google Scholar]
- Wei, G.; Zhou, Z.; Guo, Y.; Dong, Y.; Dang, H.; Wang, Y.; Ma, J. Long-term effects of tillage on soil aggregates and the distribution of soil organic carbon, total nitrogen, and other nutrients in aggregates on the semi-arid loess plateau, China. Arid Land Res. Manag. 2014, 28, 291–310. [Google Scholar] [CrossRef]
- Niknami, K.A. Iran: Archaeological heritage in crisis: Developing an effective management system for archaeology. J. Cult. Herit. 2005, 6, 345–350. [Google Scholar] [CrossRef]
- Guan, L.; Bennett, M.; Bell, J. Evaluating the potential use of direct evaporative cooling in Australia. Energy Build. 2015, 108, 185–194. [Google Scholar] [CrossRef]
- Li, W.-Y.; Li, Y.-C.; Zeng, L.-y.; Lu, J. Comparative study of vertical and horizontal indirect evaporative cooling heat recovery exchangers. Int. J. Heat Mass Transf. 2018, 124, 1245–1261. [Google Scholar] [CrossRef]
- China Meteorological Data Service Center. Available online: http://data.cma.cn (accessed on 30 September 2019).
- Luo, X.; Gu, Z.; Wang, Z.; Tian, W.; Li, K. An independent and simultaneous operational mode of air conditioning systems for visitors and relics in archaeology museum. Appl. Therm. Eng. 2016, 100, 911–924. [Google Scholar] [CrossRef]
- Mueller, H.F. Energy efficient museum buildings. Renew. Energy 2013, 49, 232–236. [Google Scholar] [CrossRef]
- Papadopoulos, A.; Avgelis, A.; Santamouris, M. Energy study of a medieval tower, restored as a museum. Energy Build. 2003, 35, 951–961. [Google Scholar] [CrossRef]
Publisher’s Note: MDPI stays neutral with regard to jurisdictional claims in published maps and institutional affiliations. |
© 2020 by the authors. Licensee MDPI, Basel, Switzerland. This article is an open access article distributed under the terms and conditions of the Creative Commons Attribution (CC BY) license (http://creativecommons.org/licenses/by/4.0/).












