Next Article in Journal
The Effect of Trust on the Various Dimensions of Climate Change Attitudes
Previous Article in Journal
A Mixed Approach on Resilience of Spanish Dwellings and Households during COVID-19 Lockdown
 
 
Font Type:
Arial Georgia Verdana
Font Size:
Aa Aa Aa
Line Spacing:
Column Width:
Background:
Article

Effect of Deep Vertical Rotary Tillage on Soil Properties and Sugarcane Biomass in Rainfed Dry-Land Regions of Southern China

1
Key Laboratory for Agro-ecological Processes in Subtropical Region, Institute of Subtropical Agriculture, Chinese Academy of Sciences, Changsha 410125, China
2
Huanjiang Observation and Research Station for Karst Ecosystem, Chinese Academy of Sciences, Huanjiang 547100, China
3
Cash Crops Research Institute, Guangxi Academy of Agricultural Sciences, Nanning 530007, China
*
Author to whom correspondence should be addressed.
Sustainability 2020, 12(23), 10199; https://doi.org/10.3390/su122310199
Submission received: 13 November 2020 / Revised: 4 December 2020 / Accepted: 4 December 2020 / Published: 7 December 2020
(This article belongs to the Section Sustainable Agriculture)

Abstract

Conventional tillage (CT) is the main agricultural practice for rainfed sugarcane production in China. However, subsoil compaction formed by long-term CT is harmful to soil properties and crop yield. Deep vertical rotary tillage (DVRT) is a novel tillage practice, which can alleviate subsoil compaction and create a more favorable soil environment for crop growth. This study aims to compare the effects of DVRT and CT practices on soil properties and sugarcane characteristics. The results showed that DVRT reduced soil bulk density and increased soil porosity to some extent in the 0–40 cm soil profile. Soil water storage of DVRT was relatively higher compared with CT due to the combined effects of soil water holding capacity and vegetation water consumption. There was significantly higher final aboveground biomass, underground biomass, and plant height from DVRT compared to CT (p < 0.05), but there were no differences in final root length between tillage practices. Compared with CT, DVRT with one and two growth-years significantly increased aboveground biomass by 68.90% and 50.14%, respectively. Generally, the soil properties and sugarcane characteristics were not significantly different between DVRT with different growth years. DVRT is recommended as a tillage practice for sustainable agriculture in rainfed regions.

1. Introduction

Sugarcane is an important commercial crop and a source of renewable energy biofuels and biomaterials, which is critical to livelihood in rural communities [1,2]. Guangxi province is the primary sugarcane- and sugar-producing area in China as it plants around 1.04 million ha of sugarcane yearly [3]. The total production of sugarcane is about 56.70 million tonnes, which accounts for more than 60% of the total sugarcane output of China [4]. Sugarcane is mainly planted in rainfed upland fields where irrigation is not available [5]. However, severe drought and low temperatures often occur (especially in the spring and autumn) in the major sugarcane growing areas, and these factors constrain sugarcane and sugar productivity in Guangxi province [2]. Therefore, it is challenging to maintain the sustainable development of sugarcane agriculture.
The application of nitrogen fertilizer is an important way to improve sugarcane productivity. However, the amount of nitrogen fertilizer per ha in sugarcane production in China is higher than in other countries [2]. Excessive fertilization not only decreases crop yield and wastes resources, but also causes serious environmental pollution from agro-ecological systems [6,7]. Tillage is one of the most influential management practices because it modifies soil physical and hydraulic characteristics and contributes to optimal conditions for plant growth and crop establishment [8,9,10,11]. Reduced tillage or no-tillage can decrease soil disturbance and improve soil properties, aggregate stability and crop yield [12,13], and affect greenhouse gas emissions [14,15]. Higher soil organic carbon concentration was observed in the surface soil depth in no-tillage than in conventional tillage (CT) practice [16,17]. However, intense farming operations involving heavy machinery used for planting and harvesting contribute to the deterioration of soil physical conditions [18,19]. Long-term reduced tillage or no-tillage farming often lead to increased soil compaction, which results in increased soil bulk density and reduced soil porosity and impedes root penetration [20,21,22]. For example, Khorami et al. [23] found that no-tillage had higher soil bulk density at surface soil, thereby lowering cumulative water infiltration compared with CT practice. In the study region, CT operations are usually carried out before sugarcane planting and result in improved crop yield. However, hard plow pan formed by years of CT practice cannot be broken up because the average tillage depth is only 15 cm. In hard plow pan conditions, subsoil tillage works to break up plow pans and can significantly increase maize root morphology and yield [24,25]. Therefore, further optimization of tillage practices is fundamental for improving soil properties and crop productivity.
An appropriate tillage practice should improve soil structure and increase crop resistance to stresses such as the amount of water available and sub-optimal temperatures [26,27,28]. Reduced but adequate tillage has been found to be extremely useful in improving crop yield and soil physical conditions without creating negative effects on the edaphic environment [29]. In recent years, deep tillage has been shown to improve the structure and health of compacted soils [30,31]. Previous research has shown that deep tillage improves the soil properties in the tilled depth by reducing soil bulk density and penetration resistance [32] and increasing hydraulic conductivity, soil porosity, and the infiltration rate [33]. For example, deep tillage can increase the proportion of maize root distributed below the 20 cm depth compared to no-tillage [32]. Deep tillage was observed to decrease mean profile penetration resistance compared with surface tillage in a wheat and soybean double-cropped system [34]. In addition, it has been reported that deep tillage for ameliorative purpose may lessen the adverse impacts that annual deep tillage can have on earthworms and other beneficial soil organisms [35]. Thus, deep tillage could create a more beneficial soil environment for root growth and crop production than shallow tillage.
Deep vertical rotary tillage (DVRT) is a tillage practice that has recently been implemented in China. Deep tillage machines smash soil vertically to an expected depth with vertical spiral drills for breaking up the plough pan. The DVRT practice thus can form a unique soil layer which is more suitable for vegetation growth. So far, DVRT has been applied on soils growing more than 20 crops across various climate zones in China. However, little is known about the influence of DVRT on sugarcane yield in rainfed dry-land regions of southern China. In addition, the sugarcane can be harvested several times from the original planting (ratooned) if the yield does not greatly decline. Therefore, we hypothesized that the effect of DVRT practice on sugarcane production can last for more than one year. The specific aims of this study were: (1) to assess the DVRT on soil properties and sugarcane vegetation characteristics and (2) to determine whether the effects of DVRT can last for more than one year.

2. Materials and Methods

2.1. Site Description

The experiment was conducted in the town of Natong located within Long’an County (22°18′–23°14′ N, 107°40′–108°11′ E), Guangxi province, China. The study area is situated in a low mountain and hill region with rainfed agriculture across the slope land. Dryland farming is dominated by monoculture cropping systems that mainly include sugarcane (Saccharum species hybrid), maize (Zea mays Linn), and cassava (Manihot esculenta Crantz). The climate is a southern subtropical humid monsoon, with a mean annual air temperature of 21.8 °C and a mean annual precipitation of 1301 mm, which mostly falls from May to September. Daily meteorological data timeseries for 2018 are shown in Figure 1. The soil is primarily latosolic red soil which originated from sandstone. The surface soil (0–10 cm) properties of the experimental plots are shown in Table 1.

2.2. Experimental Design

The experiment was arranged in a randomized block design with three replicates for each treatment. The plot size was 60 m × 8 m, the row spacing was 1.2 m, and the buffer row between treatments measured was 1.5 m. The sugarcane variety known as Guitang 42 was used as test crop due to its high-yield, high-sugar, lodging-resistance, and suitability for mechanized production. There were two tillage practices: CT to a depth of approximately 20 cm, and DVRT to a depth of approximately 40 cm. The machinery used for the two tillage practices are shown in Figure 2, and details of their operation schedule are presented in Table 2. Two growing years were selected: a one growth-year and two growth-years. For the one growth-year, the CT and DVRT treatments were performed in experimental plots, respectively, then the sugarcane were planted in late March 2018. For the two growth-years, the same tillage treatments and cultivation measures were conducted in late March 2017. The sugarcane was cut down at the end of December 2017, then the sugarcane could grow in the next year. Therefore, there were four treatments: deep vertical rotary tillage with one growth-year (DVRT-1), conventional tillage with one growth-year (CT-1), deep vertical rotary tillage with two growth-years (DVRT-2), and conventional tillage with two growth-years (CT-2). For each experimental plot, sugarcane was planted at a density of 10.5 × 104 buds per hectare in each experimental plot. Phosphorus fertilizer was applied as basal fertilizer at a rate of 750 kg ha−2 (P2O5 12%), and organic fertilizer was applied at a rate of 1125 kg ha−2 (N + P2O5 + K2O = 5%). Topdressing fertilizer was applied in late May as urea at a rate of 300 kg ha−2 (N 46.4%) and potassium sulfate compound fertilizer at a rate of 1500 kg ha−2 (N, P, and K 15%, respectively). Irrigation was not applied.

2.3. Sampling and Measurements

2.3.1. Soil Water Storage

Soil samples were collected once a month from July to December 2018. Soil samples were collected using a soil auger (4.5 cm diameter) at 10 cm increments to a depth of 40 cm in all experimental plots to determine gravimetric soil water content. The soil samples were oven-dried at 105 °C for 24 h to constant weight. Gravimetric soil water content was then determined according to the following equation:
S W C g = W f r e s h W d r y W d r y · 100
where SWCg is gravimetric soil water content (%) and Wfresh and Wdry are soil fresh weight and soil dry weight (g), respectively.
The volumetric soil water content was calculated based on gravimetric soil water content at a specific depth and corresponding soil bulk density as follows:
S W C v = S W C g · S B D
where SWCv is volumetric soil water content (cm3 cm−3) and SBD is soil bulk density (cm3 cm−3).
The soil water storage at a specific depth was calculated as:
S = S W C v · h · 10
where S is the soil water storage at a specific depth (mm) and h is the soil depth increment (10 cm).

2.3.2. Other Soil Properties

Five cutting rings (5 cm in height; 20 cm2 cross section) were used to obtain soil cores at 10 cm increments to a depth of 40 cm in all experimental plots for soil bulk density determination by the oven-drying method. Soil porosity can be computed as follows:
S P = ( 1 S B D 2.65 ) · 100
where SP is soil porosity (%) and SBD is soil bulk density (cm3 cm−3).
From each experimental plot, a soil corer was used to collect disturbed soil samples from each of the four layers corresponding to those used for soil water content measurements. The disturbed soil samples were air-dried and divided into two sub-samples. One sub-sample was passed through a 1 mm sieve to analyze soil particle size distribution using a MS 2000 particle size analyzer (Malvern Instruments Ltd., Malvern, UK). The other sub-sample was passed through a 0.25-mm sieve for the determination of soil organic-carbon content by the dichromate oxidation method and soil total nitrogen using the Kjeldahl digestion method.

2.3.3. Vegetation Characteristics

For each experimental plot, ten plants were randomly selected and cut at ground level each month from July to December 2018. The plants were separated into underground and aboveground components. The underground and aboveground biomass were heated at 105 °C for 30 min and then oven-dried at 75 °C to a constant weight. Aboveground biomass and underground biomass were weighed using an electronic balance. The plant height and root length were measured by a meter ruler.

2.3.4. Meteorological Factors

The meteorological factors were monitored during the experimental period by a solar-powered automatic weather station (HOBO U30 station made by Onset Computer Corp., MA, USA), and data were recorded automatically using a data logger. In this study, the 15 min meteorological measurements were averaged daily for air temperature and relative humidity. Precipitation is presented as daily accumulated values.

2.3.5. Increase Rate

The increase rate was used to compare the differences in measured values between tillage practices:
I R = V D V R T V C T V C T · 100
where IR is the increase rate (%) and VDVRT and VCT were the observed value of variables in a specific month for deep vertical rotary tillage and conventional tillage, respectively.

2.4. Statistical Analysis

Mean values were calculated for each of the measured variables, and one-way analysis of variance (ANOVA) was used to assess the treatment effects. When the F-values were significant, multiple comparisons of mean values were conducted by the least significant difference method (L.S.D.). Statistical analyses were performed using SPSS software (version 22.0). Plots were designed using OriginPro (version 9.1).

3. Results

3.1. Soil Bulk Density and Soil Porosity

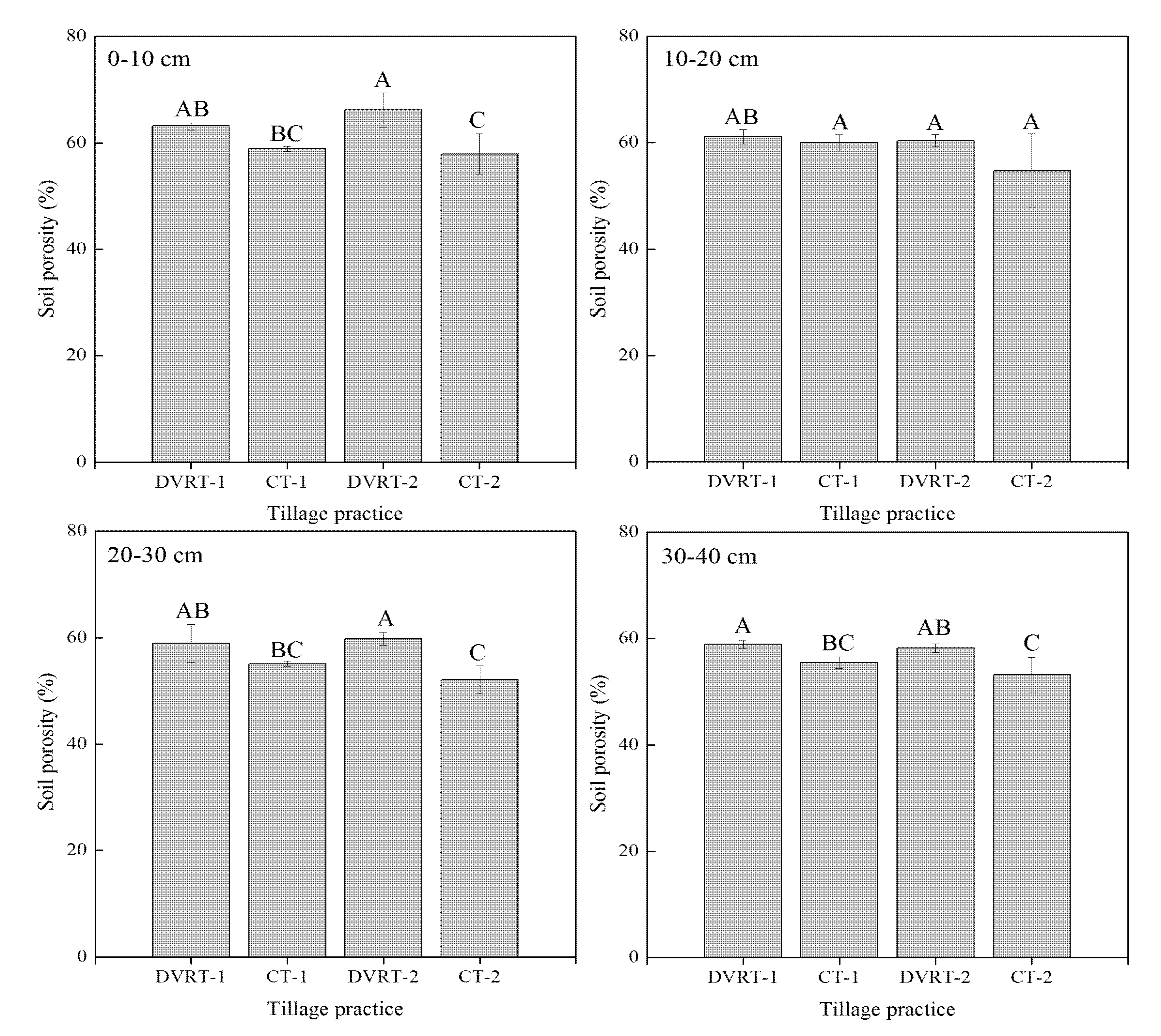
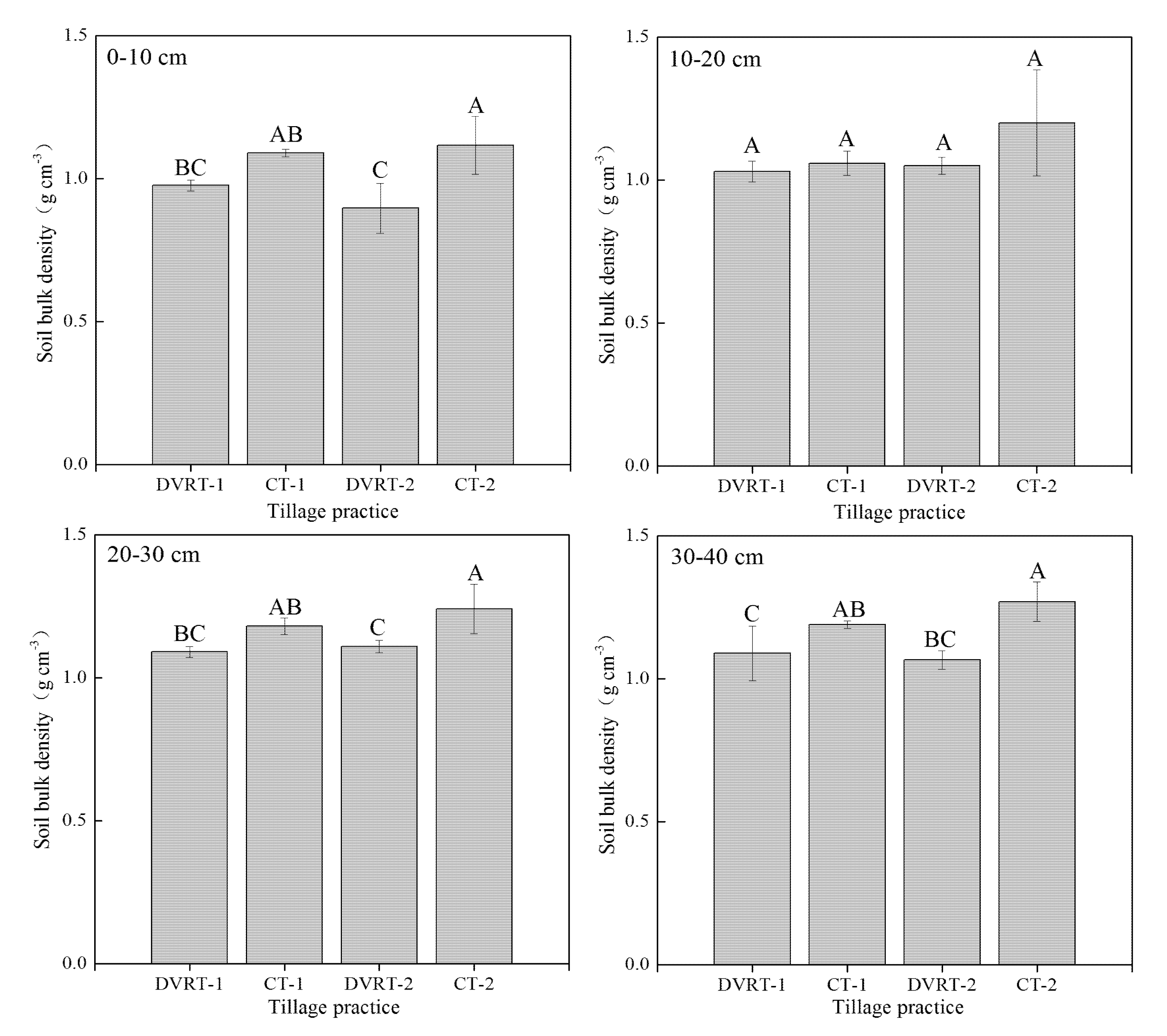
DVRT can decrease soil bulk density compared with CT (Figure 3). Specifically, the soil bulk density of DVRT-1 was significantly lower at 30–40 cm depth than CT-1. DVRT-2 had significantly lower soil bulk density than CT-2 at depths of 0–10, 20–30, and 30–40 cm (p < 0.05). The soil bulk density in the DVRT-1, CT-1, DVRT-2, and CT-2 treatments were 0.98 ± 0.02, 1.09 ± 0.01, 0.89 ± 0.09, and 1.12 ± 0.10 g cm−3 in 0–10 cm depth, respectively (Figure 3). The decrease in soil bulk density under DVRT corresponded to an increase in soil porosity (Figure 4). The soil porosity ranged from 52.01 ± 2.63% to 66.20 ± 3.27% under different tillage treatments. The soil porosity in the DVRT-1, CT-1, DVRT-2, and CT-2 treatments were 63.18 ± 0.72%, 58.88 ± 0.48%, 66.20 ± 3.27%, and 57.90 ± 3.82% in 0–10 cm depth, respectively (Figure 4). There were no significant differences in soil bulk density and soil porosity when comparing values from the same practice with different growth years (Figure 3 and Figure 4).

3.2. Soil Water Storage

Precipitation is the only water source for sugarcane growth in rainfed dry-land areas. The soil water storage decreased gradually from July to September, increased rapidly in October, and then maintained at high values for different tillage treatments (Figure 5). Soil water storage of DVRT-1, CT-1, DVRT-2, and CT-2 treatments were 91.01 ± 9.35, 82.83 ± 6.43, 105.75 ± 10.44, and 96.12 ± 9.09 mm in September throughout the 0–40 cm soil profile, respectively (Figure 5). However, the soil water storage values were highest for different tillage treatments in December, with values of 180.68 ± 7.50, 176.32 ± 4.01, 190.42 ± 10.38, and 179.83 ± 3.43 mm for DVRT-1, CT-1, DVRT-2, and CT-2 treatments, respectively, throughout the 0–40 cm soil profile (Figure 5). Soil water storage of DVRT was relatively higher compared to CT during the sampling period, but the observed difference in soil water storage was not significant. There were significant differences in soil water storage between the same tillage practices with different growth years in September, whereas the differences in soil water storage were not significant in other sampling months (Figure 5). Compared with CT-1, the increase rate of soil water storage ranged from 2.47% to 9.88% under DVRT-1 (Table 3). Likewise, the increase rate of soil water storage ranged from 3.01% to 10.03% under DVRT-2 compared to CT-2 (Table 3).

3.3. Sugarcane Characteristics

Sugarcane biomass increased with growth period for each tillage treatment (Figure 6 and Figure 7). DVRT significantly increased sugarcane aboveground biomass compared to CT during the sampling period (p < 0.05, Figure 6). The increase rate of aboveground biomass ranged from 54.39% to 146.84% under DVRT-1 compared to CT-1, and the increase rate of aboveground biomass ranged from 50.14% to 89.25% under DVRT-2 compared to CT-2 (Table 3). The final aboveground biomasses were 1038.13 ± 141.07, 614.63 ± 42.74, 955.73 ± 144.28, and 636.55 ± 63.88 g for DVRT-1, CT-1, DVRT-2, and CT-2 treatments, respectively (Figure 6). The final aboveground biomasses were increased by 68.90% and 50.14% for DVRT-1 and DVRT-2 treatments compared to CT-1 and CT-2 treatments, respectively (Table 3). There were no significant differences in aboveground biomass between the same tillage practice with different growth years during the whole sampling period (p > 0.05, Figure 6). However, the increase effects of DVRT on underground biomass were not significant in the earlier sampling period (July and August), but significant in the later sampling period (from September to December) compared to CT. The increase rate of underground biomass ranged from 20.33% to 138.78% under DVRT-1 compared to CT-1, and from 44.05% to 117.48% under DVRT-2 compared to CT-2 (Table 3). The final underground biomasses were 27.15 ± 2.42, 18.52 ± 0.48, 25.70 ± 3.22, and 15.15 ± 1.17 g for DVRT-1, CT-1, DVRT-2, and CT-2 treatments, respectively (Figure 7). The final underground biomasses were increased by 46.58% and 69.67% for DVRT-1 and DVRT-2 treatments compared to the CT-1 and CT-2 treatments, respectively (Table 3). There were no differences in underground biomass between DVRT-1 and DVRT-2, while CT-1 exhibited significantly higher underground biomass than CT-2 from September to December (p < 0.05, Figure 7).
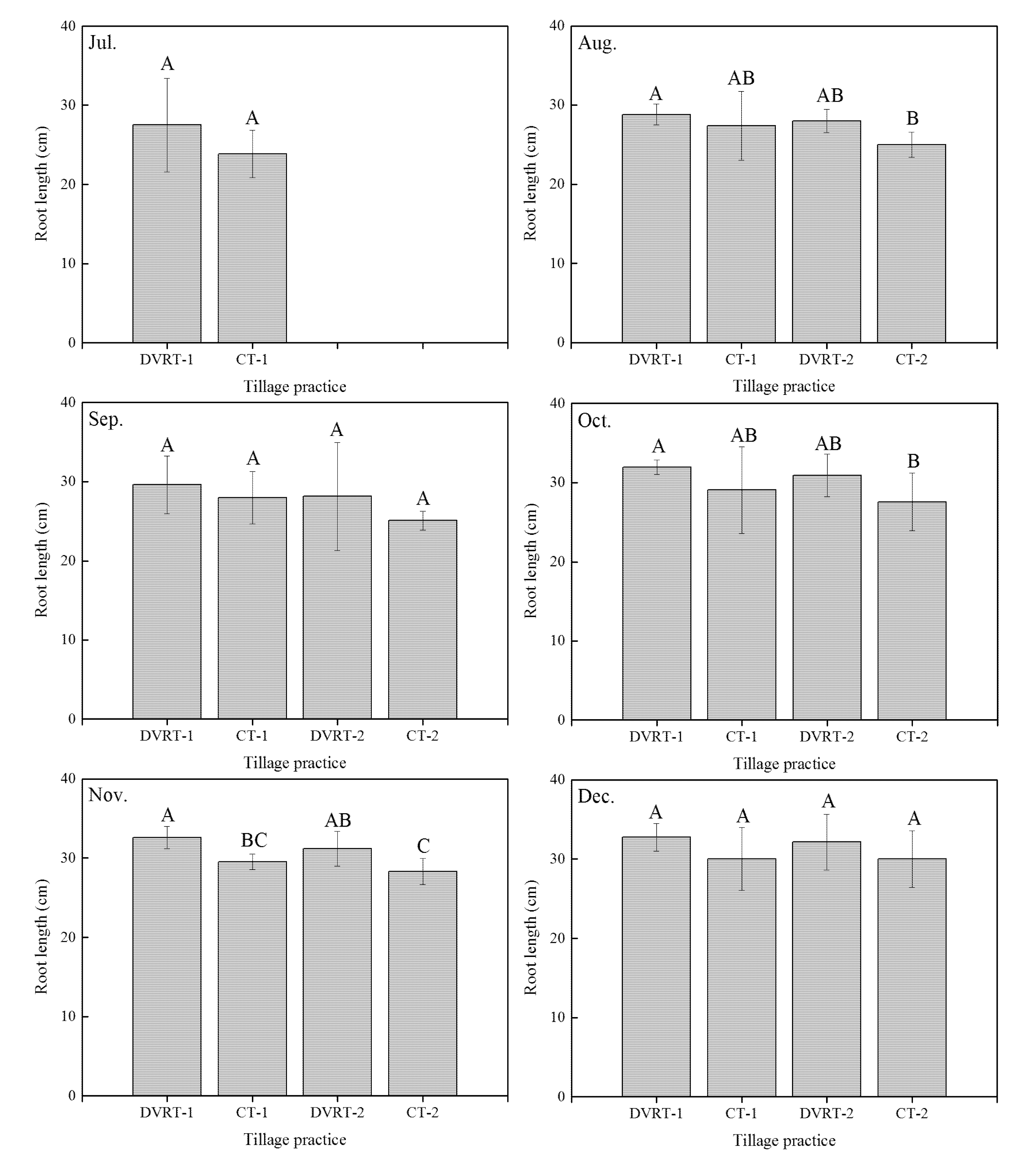
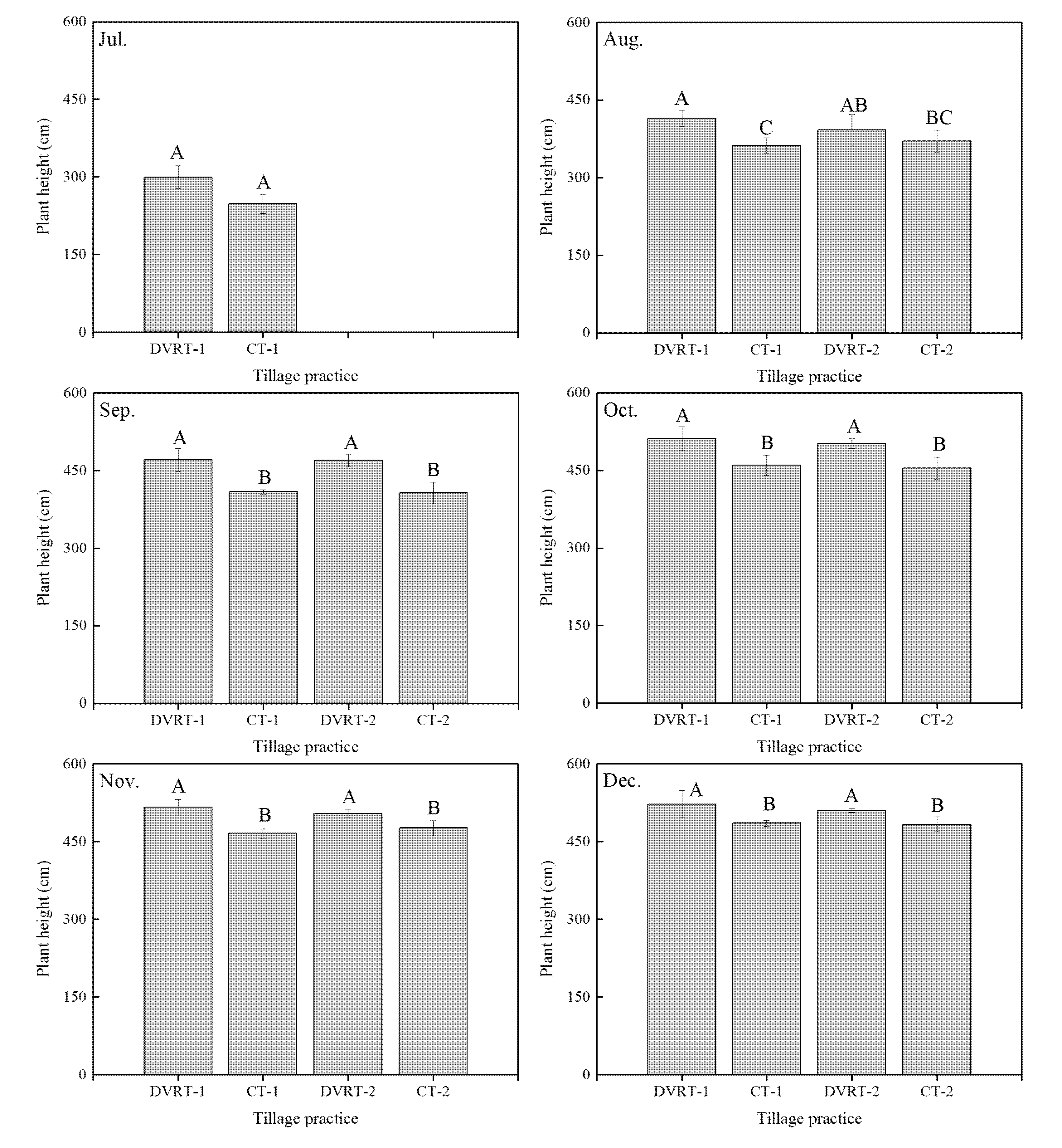
The plant height increased gradually with growth period for all the treatments (Figure 8). The plant height from the DVRT treatment was significantly higher than the CT during most of the sampling period (p < 0.05, Figure 8). The increase rate of plant height ranged from 7.55% to 20.83% under DVRT-1 compared to CT-1, and the increase rate of plant height ranged from 5.51% to 15.27% under DVRT-2 compared to CT-2 (Table 3). The final plant heights were 7.55% and 5.51% higher for the DVRT-1 and DVRT-2 treatments than the CT-1 and CT-2 treatments, respectively (Table 3). The final plant heights of DVRT-1, CT-1, DVRT-2, and CT-2 treatments were 522.00 ± 26.53, 485.33 ± 5.82, 509.83 ± 3.66, and 483.17 ± 14.67 cm, respectively (Figure 8). No significant differences in plant height were observed between the same tillage management with different growth years during the whole sampling period (p > 0.05, Figure 8). DVRT increased sugarcane root length to some extent compared to CT, but a significant difference was only observed in November (Figure 9). The increase rate of root length ranged from 5.26% to 15.38% with the final increase rate of 9.11% under the DVRT-1 treatment compared to the CT-1 treatment, and the increase rate of root length ranged from 7.17% to 12.22% with the final increase rate of 7.17% under the DVRT-2 treatment compared to the CT-2 treatment (Table 3). The final root lengths of DVRT-1, CT-1, DVRT-2, and CT-2 treatments were 32.75 ± 1.75, 30.01 ± 3.96, 32.15 ± 3.50, and 30.00 ± 3.57 cm, respectively (Figure 9). The differences in root length were not significantly different between the same tillage practices with different growth years over the entire sampling period (p > 0.05, Figure 9). Figure 10 presents the growth characteristics of sugarcane under different tillage treatments in December, and the influence of DVRT practice on plants and roots can be acquired visibly.

4. Discussion

Soil tillage is a fundamental agrotechnical operation in agriculture because of its influence on soil properties, the soil environment, and crop growth [36]. In the present study, DVRT decreased soil bulk density and increased soil porosity to some extent compared with the CT practice (Figure 3 and Figure 4), which is in agreement with other studies [19,32,37,38]. However, the significant differences in soil bulk density were mainly observed in deeper soil layers (20–40 cm), which indicated that DVRT can break up the deeper dense soil layer, thereby creating a more favorable soil structure for root growth and spatial distribution compared with CT. Similarly, subsoiling tillage can decrease soil bulk density by 10% in comparison with CT during the summer maize growth season in the North China Plain [39]. It was reported that cone indices were 1.50 MPa higher for non-deep tilled treatments compared to deep tilled treatments for high strength southeastern USA Coastal Plain soils [40].
Soil moisture is a key variable affecting hydrological, ecological, and climatic processes on various spatial and temporal scales [41,42,43,44]. Soil water storage during the growing season is therefore critically important for promoting grain yield. The observed soil water storage in the DVRT treatment was relatively higher than in the CT treatment, but the differences between the tillage treatments were not significant. These results are similar to previous research [19,45]. The reason for the relative increase in soil water storage can be attributed to the combined effects of soil water holding capacity and vegetation water consumption. On the one hand, DVRT can increase soil porosity (Figure 4) and rainfall interception and enlarge the profile storage and deep distribution of soil water by increasing hydraulic conductivity and infiltration, thereby improving subsoil soil water storage [29,30,46,47]. On the other hand, due to its higher biomass, the sugarcane under DVRT consumes more water compared to sugarcane under CT (Figure 6 and Figure 7), which mutes the differences in soil water storage between tillage treatments. The increase rate in soil water storage was the largest in a relatively dry month. The increase rate reached the maximum values of 9.88% and 10.03% for the DVRT-1 and DVRT-2 treatments compared to their corresponding CT treatments in September, respectively (Figure 5). However, the relatively higher soil water storage was extremely important for crop production under water deficit conditions. In our study, the greatest increase rate in soil water storage occurred in September and resulted in the greatest observed increase rate of both aboveground biomass and underground biomass for the DVRT-2 treatment, with the values of 89.25% and 117.48%, respectively (Table 3). Higher soil water was found to increase the grain filling rate of winter wheat during the grain filling period [48]. The water that is stored in the soil after sugarcane harvest under DVRT will be beneficial to next year’s crop cultivation. These results support that soil water storage is an important restrictive factor for vegetation growth in rainfed dry slope land, but DVRT can increase resistance to drought and water available stresses.
The final plant height and root length were lower than 10% for DVRT compared to CT. However, the final underground biomasses for DVRT-1 and DVRT-2 were 46.58% and 69.67% higher than CT-1 and CT-2, respectively. Similar results have been observed in other studies [24,32,37,49]. It was reported that subsoil tillage to 50 cm depth significantly increased spring maize root development especially for the proportions of roots in deeper soil [21]. The root length density of maize under deep mouldboard ploughing to 30 cm depth was found to be relatively higher compared to no-till [37]. These results demonstrated that DVRT provided a less restricted soil physical environment for root growth compared to CT. The improved soil environment and root growth helped improve crop yield. In our study, the final aboveground biomasses for DVRT-1 and DVRT-2 were 1038.13 ± 141.07 and 955.73 ± 144.28 g, which were 68.90% and 50.14% higher than CT-1 and CT-2, respectively. The final increase rate for DVRT in our study was higher than observed in other studies. For example, it was reported that subsoiling and deep ploughing increased spring maize yield by 13–16% compared with CT [50]. Deep mouldboard ploughing to 30 cm depth can increase grain yield by 6.0% in wheat and by 8.7% in maize in comparison to mouldboard ploughing to 15 cm depth [38].
Intensive tillage practice may result in a reduction in soil macro-aggregates and an increase in nitrogen and carbon mineralization rates as well as increased soil erosion [51,52]. There are also several negative effects of deep tillage such as higher fuel consumption and cost [53]. Therefore, it is necessary to evaluate whether the effects of DVRT could last for more than one year. In the current study, however, the differences in soil properties and sugarcane characteristics were not significant between DVRT-1 and DVRT-2 treatments during the entire sampling period. Our results indicated that the influence of DVRT can last for at least two years. Nevertheless, it is necessary to identify how many years the effects of DVRT on crop yields last in future studies. The implication of implementing DVRT may reduce fertilizer use as well as potential soil contamination and improve soil quality. DVRT can be used to improve soil properties and crop yield, especially in rainfed agriculture.

5. Conclusions

In this study, we evaluated the impact of DVRT on soil properties and sugarcane characteristics compared to CT. The soil bulk density, soil porosity, and soil water storage were determined in the 0–10, 10–20, 20–30, and 30–40 cm soil depths. The aboveground biomass, underground biomass, plant height, and root length were measured each month from July to December 2018. The following conclusions can be drawn:
(1)
DVRT favored soil bulk density and soil porosity especially in deep soil, resulting in an improved soil environment for root growth and increased sugarcane biomass.
(2)
DVRT increased soil water storage to some extent (p > 0.05) compared with CT, which can be attributed to the combined effects of increased soil water holding capacity and increased vegetation water consumption under DVRT.
(3)
DVRT significantly (p < 0.05) increased the final aboveground biomass, underground biomass, and plant height compared to CT except for the final root length. The final increase rate of DVRT in aboveground biomass ranged from 50.14% to 68.90% compared to CT.
(4)
The differences in soil properties and sugarcane characteristics were not significantly different between DVRT with different growth years when considering the entire sampling period, indicating that the effect of DVRT can last for at least two years.

Author Contributions

Data curation, J.Z.; project administration, B.W.; supervision, X.X.; writing—review and editing, X.L. All authors have read and agreed to the published version of the manuscript.

Funding

This study was financially supported by the Science and Technology Major Project of Guangxi (GuikeAA17204037), National Natural Science Foundation of China (Nos. 41977014; 41601223), Guangxi Natural Science Foundation (2018GXNSFBA294010), National Key Research and Development Program of China (2019YFE0116900), CAS Interdisciplinary Innovation Team, and the Youth Innovation Team Project of ISA, CAS (2017QNCXTD_XXL). Special thanks go to L. Chen, J.X. Zhu, B.S. Li, D. Yang, and X.H. Li for their zealous help in data collection.

Conflicts of Interest

The authors declare no conflict of interest.

References

  1. Aguilar-Rivera, N.; Rodríguez, L.D.A.; Enríquez, R.V.; Castillo, M.A.; Herrera, S.A. The Mexican sugarcane industry: Overview, constraints, current status and long-term trends. Sugar Tech 2012, 14, 207–222. [Google Scholar] [CrossRef]
  2. Li, Y.R.; Yang, L.T. Sugarcane agriculture and sugar industry in China. Sugar Tech 2015, 17, 1–8. [Google Scholar] [CrossRef]
  3. Lin, L.; Li, Z.Y.; Hu, C.J.; Zhang, X.C.; Chang, S.P.; Yang, L.T.; Li, Y.R.; An, Q.L. Plant growth-promoting nitrogen-fixing enterobacteria are in association with sugarcane plants growing in Guangxi, China. Microbes Environ. 2012, 27, 391–398. [Google Scholar] [CrossRef]
  4. Ou, Y.G.; Malcolm, W.; Yang, D.T.; Liu, Q.T.; Zheng, D.K.; Wang, M.M.; Liu, H.C. Mechanization technology: The key to sugarcane production in China. Int. J. Agric. Biol. Eng. 2013, 6, 1–27. [Google Scholar]
  5. Li, Y.R.; Wei, Y.A. Sugar industry in China: R & D and policy initiatives to meet sugar and biofuel demand of future. Sugar Tech 2006, 8, 203–216. [Google Scholar]
  6. Sun, B.F.; Zhao, H.; Lv, Y.Z.; Lu, F.; Wang, X.K. The effects of nitrogen fertilizer application on methane and nitrous oxide emission/uptake in Chinese croplands. J. Integr. Agric. 2016, 15, 440–450. [Google Scholar] [CrossRef]
  7. Zhai, L.C.; Xu, P.; Zhang, Z.B.; Wei, B.H.; Jia, X.L.; Zhang, L.H. Improvements in grain yield and nitrogen use efficiency of summer maize by optimizing tillage practice and nitrogen application rate. Agron. J. 2019, 111, 666–676. [Google Scholar] [CrossRef]
  8. Lampurlanés, J.; Angás, P.; Cantero-Martınez, C. Tillage effects on water storage during fallow, and on barley root growth and yield in two contrasting soils of the semi-arid Segarra region in Spain. Soil Tillage Res. 2002, 65, 207–220. [Google Scholar] [CrossRef]
  9. Gathala, M.; Timsina, J.; Islam, S.; Rahman, M.; Hossain, I.; Ar-Rashid, H.; Ghosh, A.; Govaerts, B.; Mezzalama, M.; Sayre, K.D.; et al. Long-term consequences of tillage, residue management, and crop rotation on maize/wheat root rot and nematode populations in subtropical highlands. Appl. Soil Ecol. 2006, 32, 305–315. [Google Scholar]
  10. Obalum, S.E.; Obi, M.E. Physical properties of a sandy loam Ultisol as affected by tillage-mulch management practices and cropping systems. Soil Tillage Res. 2010, 108, 30–36. [Google Scholar] [CrossRef]
  11. Castellini, M.; Ventrella, D. Impact of conventional and minimum tillage on soil hydraulic conductivity in typical cropping system in Southern Italy. Soil Tillage Res. 2012, 124, 47–56. [Google Scholar] [CrossRef]
  12. Oyedele, D.J.; Schjonning, P.; Sibbesen, E.; Debosz, K. Aggregation and organic matter fractions of three Nigerian soils as affected by soil disturbance and incorporation of plant material. Soil Tillage Res. 1999, 50, 105–114. [Google Scholar] [CrossRef]
  13. Zhang, G.S.; Chan, K.Y.; Oates, A.; Heenan, D.P.; Huang, G.B. Relationship between soil structure and runoff/soil loss after 24 years of conservation tillage. Soil Tillage Res. 2007, 92, 122–128. [Google Scholar] [CrossRef]
  14. García-Marco, S.; Abalos, D.; Espejo, R.; Vallejo, A.; Mariscal-Sancho, I. No tillage and liming reduce greenhouse gas emissions from poorly drained agricultural soils in Mediterranean regions. Sci. Total Environ. 2016, 566–567, 512–520. [Google Scholar] [CrossRef]
  15. Badagliacca, G.; Benítez, E.; Amato, G.; Badalucco, L.; Giambalvo, D.; Laudicina, V.A.; Ruisi, P. Long-term no-tillage application increases soil organic carbon, nitrous oxide emissions and faba bean (Vicia faba L.) yields under rain-fed Mediterranean conditions. Sci. Total Environ. 2018, 639, 350–359. [Google Scholar] [CrossRef]
  16. Gal, A.; Vyn, T.J.; Micheli, E.; Kladivko, E.J.; McFee, W.W. Soil carbon and nitrogen accumulation with long-term no-till versus moldboard plowing overestimated with tilled-zone sampling depths. Soil Tillage Res. 2007, 96, 42–51. [Google Scholar] [CrossRef]
  17. Thomas, G.A.; Dalal, R.C.; Standley, J. No-till effects on organic matter, pH, cation exchange capacity and nutrient distribution in a Luvisol in the semi-arid subtropics. Soil Tillage Res. 2007, 94, 295–304. [Google Scholar] [CrossRef]
  18. Václav, S.; Radek, V.; Jana, C.; Helena, K.; Pavel, R. Winter wheat yield and quality related to tillage practice: Input level and environmental conditions. Soil Tillage Res. 2013, 132, 77–85. [Google Scholar]
  19. Zhai, L.C.; Xu, P.; Zhang, Z.B.; Li, S.K.; Xie, R.Z.; Zhai, L.F.; Wei, B.H. Effects of deep vertical rotary tillage on dry matter accumulation and grain yield of summer maize in the Huang-Huai-Hai Plain of China. Soil Tillage Res. 2017, 170, 167–174. [Google Scholar] [CrossRef]
  20. Cassel, D.K. Tillage effects on corn production and soil physical conditions. Soil Sci. Soc. Am. J. 1995, 59, 1436–1443. [Google Scholar] [CrossRef]
  21. Hou, X.Q.; Li, R.; Jia, Z.K.; Han, Q.F.; Wang, W.; Yang, B.P. Effects of rotational tillage practices on soil properties, winter wheat yields and water-use efficiency in semi-arid areas of north-west China. Field Crops Res. 2012, 129, 7–13. [Google Scholar] [CrossRef]
  22. Nawaz, M.F.; Bourrié, G.; Trolard, F. Soil compaction impact and modelling: A review. Agron. Sustain. Dev. 2012, 33, 291–309. [Google Scholar] [CrossRef]
  23. Khorami, S.S.; Kazemeini, S.A.; Afzalinia, S.; Gathala, M.K. Changes in soil properties and productivity under different tillage practices and wheat genotypes: A short-term study in Iran. Sustainability 2018, 10, 3273. [Google Scholar] [CrossRef]
  24. Cai, H.G.; Ma, W.; Zhang, X.Z.; Ping, J.Q.; Yan, X.G.; Liu, J.Z.; Yuan, J.C.; Wang, L.C.; Ren, J. Effect of subsoil tillage depth on nutrient accumulation, root distribution, and grain yield in spring maize. Crop J. 2014, 2, 297–307. [Google Scholar] [CrossRef]
  25. Piao, L.; Qi, H.; Li, C.F.; Zhao, M. Optimized tillage practices and row spacing to improve grain yield and matter transport efficiency in intensive spring maize. Field Crops Res. 2016, 198, 258–268. [Google Scholar] [CrossRef]
  26. Lampurlanés, J.; Angás, P.; Cantero-Martınez, C. Root growth, soil water content and yield of barley under different tillage systems on two soils in semiarid conditions. Field Crops Res. 2001, 69, 27–40. [Google Scholar] [CrossRef]
  27. Sisti, C.P.J.; dos Santos, H.P.; Kohhann, R.; Alves, B.J.R.; Urquiaga, S.; Boddey, R.M. Change in carbon and nitrogen stocks in soil under 13 years of conventional or zero tillage in southern Brazil. Soil Tillage Res. 2004, 76, 39–58. [Google Scholar] [CrossRef]
  28. Shao, Y.H.; Xie, Y.X.; Wang, C.Y.; Yue, J.Q.; Yao, Y.Q.; Li, X.D.; Liu, W.X.; Zhu, Y.J.; Guo, T.C. Effects of different soil conservation tillage approaches on soil nutrients, water use and wheat-maize yield in rainfed dry-land regions of North China. Eur. J. Agron. 2016, 81, 37–45. [Google Scholar] [CrossRef]
  29. Laddha, K.C.; Totawat, K.L. Effects of deep tillage under rainfed agriculture on production of sorghum (Sorghum biocolor L. Moench) intercropped with greengram (Vigna radiata L. Wilczek) in western India. Soil Tillage Res. 1997, 43, 241–250. [Google Scholar] [CrossRef]
  30. Hamza, M.A.; Anderson, W.K. Soil compaction in cropping systems: A review of the nature: Causes and possible solutions. Soil Tillage Res. 2005, 82, 121–145. [Google Scholar] [CrossRef]
  31. Jabro, J.D.; Stevens, W.B.; Evans, R.G.; Iversen, W.M. Tillage effects on physical properties in two soils of the Northern Great Plains. Appl. Eng. Agric. 2009, 25, 377–382. [Google Scholar] [CrossRef]
  32. Varsa, E.C.; Chong, S.K.; Abolaji, J.O.; Farquhar, D.A.; Olsen, F.J. Effect of deep tillage on soil physical characteristics and corn (Zea mays L.) root growth and production. Soil Tillage Res. 1997, 43, 219–228. [Google Scholar] [CrossRef]
  33. Sojka, R.E.; Home, D.J.; Ross, C.W.; Baker, C.J. Subsoiling and surface tillage effects on soil physical properties and forage oat stand and yield. Soil Tillage Res. 1997, 40, 125–144. [Google Scholar] [CrossRef]
  34. Busscher, W.J.; Frederick, J.R.; Bauer, P.J. Timing effects of deep tillage on penetration resistance and wheat and soybean yield. Soil Sci. Soc. Am. J. 2000, 64, 999–1003. [Google Scholar] [CrossRef]
  35. Kladivko, E.J. Tillage systems and soil ecology. Soil Tillage Res. 2001, 61, 61–76. [Google Scholar] [CrossRef]
  36. Sharma, P.; Abrol, V.; Sharma, R.K. Impact of tillage and mulch management on economics, energy requirement and crop performance in maize-wheat rotation in rainfed subhumid inceptisols, India. Eur. J. Agron. 2011, 34, 46–51. [Google Scholar] [CrossRef]
  37. Mosaddeghi, M.R.; Mahboubi, A.A.; Safadoust, A. Short-term effects of tillage and manure on some soil physical properties and maize root growth in a sandy loam soil in western Iran. Soil Tillage Res. 2009, 104, 173–179. [Google Scholar] [CrossRef]
  38. Mu, X.Y.; Zhao, Y.L.; Liu, K.; Ji, B.Y.; Guo, H.B.; Xue, Z.W.; Li, C.H. Responses of soil properties, root growth and crop yield to tillage and crop residue management in a wheat-maize cropping system on the North China Plain. Eur. J. Agron. 2016, 78, 32–43. [Google Scholar] [CrossRef]
  39. Xu, D.; Mermoud, A. Topsoil properties as affected by tillage practices in North China. Soil Tillage Res. 2001, 60, 11–19. [Google Scholar] [CrossRef]
  40. Busscher, W.J.; Bauer, P.J.; Frederick, J.R. Deep tillage management for high strength southeastern USA Coastal Plain soils. Soil. Tillage Res. 2006, 85, 178–185. [Google Scholar] [CrossRef]
  41. Koster, R.D.; Dirmeyer, P.A.; Guo, Z.C.; Bonan, G.; Chan, E.; Cox, P.; Gordon, C.T.; Kanae, S.; Kowalczyk, E.; Lawrence, D.; et al. Regions of strong coupling between soil moisture and precipitation. Science 2004, 305, 1138–1140. [Google Scholar] [CrossRef] [PubMed]
  42. Li, X.Z.; Shao, M.A.; Jia, X.X.; Wei, X.R.; He, L. Depth persistence of the spatial pattern of soil-water storage along a small transect in the loess plateau of china. J. Hydrol. 2015, 529, 685–695. [Google Scholar] [CrossRef]
  43. Li, X.Z.; Xu, X.L.; Liu, W.; He, L.; Xu, C.H.; Zhang, R.F.; Chen, L.; Wang, K.L. Revealing the scale-specific influence of meteorological controls on soil water content in a karst depression using wavelet coherency. Agr. Ecosyst. Environ. 2019, 279, 89–99. [Google Scholar] [CrossRef]
  44. Li, X.Z.; Xu, X.L.; Liu, W.; He, L.; Zhang, R.F.; Xu, C.H.; Wang, K.L. Similarity of the temporal pattern of soil moisture across soil profile in karst catchments of southwestern China. J. Hydrol. 2017, 555, 659–669. [Google Scholar] [CrossRef]
  45. Bogunovic, I.; Pereira, P.; Kisic, I.; Sajko, K.; Sraka, M. Tillage management impacts on soil compaction, erosion and crop yield in Stagnosols (Croatia). Catena 2018, 160, 376–384. [Google Scholar] [CrossRef]
  46. Alvarez, R.; Steinbach, H.S. A review of the effects of tillage systems on some soil physical properties, water content, nitrate availability and crops yield in the Argentine Pampas. Soil Tillage Res. 2009, 104, 1–15. [Google Scholar] [CrossRef]
  47. Berhe, F.T.; Fanta, A.; Alamirew, T.; Melesse, A.M. The effect of tillage practices on grain yield and water use efficiency. Catena 2012, 100, 128–138. [Google Scholar] [CrossRef]
  48. Liu, Y.; Sui, Y.W.; Gu, D.D.; Wen, X.Y.; Chen, Y.; Li, C.J.; Liao, Y.C. Effects of conservation tillage on grain filling and hormonal changes in wheat under simulated rainfall conditions. Field Crops Res. 2013, 144, 43–45. [Google Scholar] [CrossRef]
  49. Guan, D.; Al-Kaisi, M.M.; Zhang, Y.; Duan, L.; Tan, W.; Zhang, M.; Li, Z. Tillage practices affect biomass and grain yield through regulating root growth, root-bleeding sap and nutrients uptake in summer maize. Field Crops Res. 2014, 157, 89–97. [Google Scholar] [CrossRef]
  50. Wang, X.B.; Wu, H.J.; Dai, K.; Zhang, D.C.; Feng, Z.H.; Zhao, Q.S.; Wu, X.P.; Jin, K.; Cai, D.X.; Oenema, O. Tillage and crop residue effects on rainfed wheat and maize production in northern China. Field Crops Res. 2012, 132, 106–116. [Google Scholar] [CrossRef]
  51. García-Díaz, A.; Marqués, M.J.; Sastre, B.; Bienes, R. Labile and stable soil organic carbon and physical improvements using groundcovers in vineyards from central Spain. Sci. Total Environ. 2018, 621, 387–397. [Google Scholar] [CrossRef] [PubMed]
  52. Kristensen, H.L.; Debosz, K.; Mccarty, G.W. Short-term effects of tillage on mineralization of nitrogen and carbon in soil. Soil Biol. Biochem. 2003, 35, 979–986. [Google Scholar] [CrossRef]
  53. Šarauskis, E.; Buragienė, S.; Masilionytė, L.; Romaneckas, K.; Avižienytė, D.; Sakalauskas, A. Energy balance: Costs and CO2 analysis of tillage technologies in maize cultivation. Energy 2014, 69, 227–235. [Google Scholar] [CrossRef]
Figure 1. Daily precipitation, air temperature, and relative humidity time series in the study area in 2018.
Figure 1. Daily precipitation, air temperature, and relative humidity time series in the study area in 2018.
Sustainability 12 10199 g001
Figure 2. Soil cultivating machinery adopted in the two different tillage practices. The left (A) is conventional tillage (CT, 20 cm), the right (B) is deep vertical rotary tillage (DVRT, 40 cm).
Figure 2. Soil cultivating machinery adopted in the two different tillage practices. The left (A) is conventional tillage (CT, 20 cm), the right (B) is deep vertical rotary tillage (DVRT, 40 cm).
Sustainability 12 10199 g002
Figure 3. Soil bulk density from various soil depths for different tillage practices. Mean values for different tillage practices at the same soil depth that do not share the same uppercase letters are statistically significant at p < 0.05 level.
Figure 3. Soil bulk density from various soil depths for different tillage practices. Mean values for different tillage practices at the same soil depth that do not share the same uppercase letters are statistically significant at p < 0.05 level.
Sustainability 12 10199 g003
Figure 4. Soil porosity for various soil depths and different tillage practices. Mean values for different tillage practices at the same soil depth that do not share the same uppercase letters are statistically significant at p < 0.05 level.
Figure 4. Soil porosity for various soil depths and different tillage practices. Mean values for different tillage practices at the same soil depth that do not share the same uppercase letters are statistically significant at p < 0.05 level.
Sustainability 12 10199 g004
Figure 5. Soil water storage for different tillage practices during the sampling period. Mean values for different tillage practices in the same month that do not share the same uppercase letters are statistically significant at p < 0.05 level.
Figure 5. Soil water storage for different tillage practices during the sampling period. Mean values for different tillage practices in the same month that do not share the same uppercase letters are statistically significant at p < 0.05 level.
Sustainability 12 10199 g005
Figure 6. Aboveground biomass for different tillage practices during the sampling period. Mean values for different tillage practices in the same month that do not share the same uppercase letters are statistically significant at p < 0.05 level.
Figure 6. Aboveground biomass for different tillage practices during the sampling period. Mean values for different tillage practices in the same month that do not share the same uppercase letters are statistically significant at p < 0.05 level.
Sustainability 12 10199 g006
Figure 7. Underground biomass for different tillage practices during the sampling period. Mean values for different tillage practices in the same month that do not share the same uppercase letters are statistically significant at p < 0.05 level.
Figure 7. Underground biomass for different tillage practices during the sampling period. Mean values for different tillage practices in the same month that do not share the same uppercase letters are statistically significant at p < 0.05 level.
Sustainability 12 10199 g007
Figure 8. Plant height for different tillage practices during the sampling period. Mean values for different tillage practices in the same month that do not share the same uppercase letters are statistically significant at p < 0.05 level.
Figure 8. Plant height for different tillage practices during the sampling period. Mean values for different tillage practices in the same month that do not share the same uppercase letters are statistically significant at p < 0.05 level.
Sustainability 12 10199 g008
Figure 9. Root length for different tillage practices during the sampling period. Mean values for different tillage practices in the same month that do not share the same uppercase letters are statistically significant at p < 0.05 level.
Figure 9. Root length for different tillage practices during the sampling period. Mean values for different tillage practices in the same month that do not share the same uppercase letters are statistically significant at p < 0.05 level.
Sustainability 12 10199 g009
Figure 10. Growth characteristics of sugarcane for different tillage practices.
Figure 10. Growth characteristics of sugarcane for different tillage practices.
Sustainability 12 10199 g010
Table 1. Summary statistics of surface soil (0–10 cm) properties for different tillage practices.
Table 1. Summary statistics of surface soil (0–10 cm) properties for different tillage practices.
Tillage PracticeSBD (g cm−3)SP (%)Clay (%)Silt (%)Sand (%)SOC (g kg−1)STN (g kg−1)
DVRT-10.98 ± 0.01963.18 ± 0.7221.46 ± 0.8965.34 ± 1.5313.21 ± 0.7911.80 ± 0.873.11 ± 0.05
CT-11.10 ± 0.01358.88 ± 0.4824.27 ± 1.1263.59 ± 2.6012.15 ± 2.3410.42 ± 0.293.53 ± 0.10
DVRT-20.90 ± 0.08766.20 ± 3.2724.24 ± 1.6367.83 ± 1.587.94 ± 2.1210.63 ± 0.542.97 ± 0.12
CT-21.12 ± 0.10157.91 ± 3.8229.23 ± 0.8456.56 ± 2.7014.21 ± 3.5312.06 ± 0.682.72 ± 0.07
Note: CT-1, conventional tillage with one growth-year; DVRT-1, deep vertical rotary tillage with one growth-year; CT-2, conventional tillage with two growth-years; DVRT-2, deep vertical rotary tillage with two growth-years; SBD, soil bulk density; SP, soil porosity; SOC, soil organic carbon; STN, soil total nitrogen.
Table 2. Main operation schedule conducted annually for the two tillage practices.
Table 2. Main operation schedule conducted annually for the two tillage practices.
TreatmentOperation Procedure
CTConventional rotary tillage to 20 cm depth was performed by a rotavator → land leveling → planting trench (0.5 m wide and 0.3 m deep) was implemented with a tractor → the sugarcane setts were manually placed overlapping in the fertilizer-filled furrow and then covered with soil (the row spacing was 1.2 m) → no other tillage practice was performed in the later sugarcane growth period
DVRTDeep vertical rotary tillage to 40 cm depth was performed by a newly-developed deep rotary tiller → land leveling → planting trench (0.5 m wide and 0.3 m deep) was implemented with a tractor → the sugarcane setts were manually placed overlapping in the fertilizer-filled furrow and then covered with soil (the row spacing was 1.2 m) → no other tillage practice was performed in the later sugarcane growth period
Note: CT, conventional tillage; DVRT, deep vertical rotary tillage.
Table 3. The rate of increase for select variables during the sampling period for DVRT compared with CT.
Table 3. The rate of increase for select variables during the sampling period for DVRT compared with CT.
Increase Rate (%)VariableJulyAugustSeptemberOctoberNovemberDecember
SWS (mm)3.976.939.884.045.132.47
AGB (g)146.8454.3992.5094.7164.8468.90
DVRT-1/CT-1UGB (g)68.7820.33138.7842.2344.7546.58
PH (cm)20.8314.4715.0311.2410.847.55
RL (cm)15.385.265.849.8910.279.11
SWS (mm)-- a3.2010.033.014.765.89
AGB (g)--50.7789.2574.9451.5050.14
DVRT-2/CT-2UGB (g)--44.05117.48101.5579.0569.67
PH (cm)--5.8015.2710.545.885.51
RL (cm)--12.0812.2212.0910.127.17
Note: CT-1, conventional tillage with one growth-year; DVRT-1, deep vertical rotary tillage with one growth-year; CT-2, conventional tillage with two growth-year; DVRT-2, deep vertical rotary tillage with two growth-year; SWS, soil water storage; AGB, aboveground biomass; UGB, underground biomass; PH, plant height; RL, root length. a No value.
Publisher’s Note: MDPI stays neutral with regard to jurisdictional claims in published maps and institutional affiliations.

Share and Cite

MDPI and ACS Style

Li, X.; Wei, B.; Xu, X.; Zhou, J. Effect of Deep Vertical Rotary Tillage on Soil Properties and Sugarcane Biomass in Rainfed Dry-Land Regions of Southern China. Sustainability 2020, 12, 10199. https://doi.org/10.3390/su122310199

AMA Style

Li X, Wei B, Xu X, Zhou J. Effect of Deep Vertical Rotary Tillage on Soil Properties and Sugarcane Biomass in Rainfed Dry-Land Regions of Southern China. Sustainability. 2020; 12(23):10199. https://doi.org/10.3390/su122310199

Chicago/Turabian Style

Li, Xuezhang, Benhui Wei, Xianli Xu, and Jia Zhou. 2020. "Effect of Deep Vertical Rotary Tillage on Soil Properties and Sugarcane Biomass in Rainfed Dry-Land Regions of Southern China" Sustainability 12, no. 23: 10199. https://doi.org/10.3390/su122310199

APA Style

Li, X., Wei, B., Xu, X., & Zhou, J. (2020). Effect of Deep Vertical Rotary Tillage on Soil Properties and Sugarcane Biomass in Rainfed Dry-Land Regions of Southern China. Sustainability, 12(23), 10199. https://doi.org/10.3390/su122310199

Note that from the first issue of 2016, this journal uses article numbers instead of page numbers. See further details here.

Article Metrics

Back to TopTop