Abstract
The struggle against climate change will not be successful without a sufficient level of collective action. However, a necessary precondition for this is the existence of trust between people. The literature on trust and attitudes to climate change is displaying a growing tendency, and today the results of numerous empirical studies are available. Although, for the time being, on the basis of these studies, we only have a fragmented picture from which it appears that trust is having a significant effect on attitudes to climate change at both the micro and macro levels. The current paper tries to progress on this path and reveal the role of trust in various dimensions of the attitude to climate change using the data of the European Social Survey originating from 22 countries. The results show that while climate change beliefs and climate concern display no relationship with trust, neither on the individual or national level, trust does have a clear effect on the feeling of individual responsibility in connection with climate change and on support for the various policy measures. In addition, it is also investigated whether the effect of trust can be shown to exist in the relationships between climate concern and the feeling of individual responsibility, and climate concern and policy support. The results show that in both cases the relationship is stronger in those countries characterized by a higher level of social trust.
1. Introduction
The so-called Earth Overshoot Day has moved up by two months over the past 20 years, (although this increasing tendency was reversed by the COVID-19 pandemic by more than three weeks) [1]. A resource-efficient Europe, which would have huge impact on CO2 emission, can only be achieved with “a policy mix that optimizes synergies and addresses trade-offs between different areas and policies” [2]. Thus, local authorities, citizens, and other stakeholders need a collaborative and science-informed decision environment. Within the “whole picture”, climate change is a global problem that requires collective responses and solutions in order to significantly reduce carbon dioxide emissions throughout the world. A research examining perceptions of climate change came to the conclusion already in the 1990s that residents of both economically developed and underdeveloped countries are rather concerned about the state of the environment [3]. However, it may also be said that in addition to the generally observable concern, significant differences may be seen between countries in terms of the various dimensions of attitudes [4].
As a consequence of all these characteristics, it is not surprising that the problem of collective action soon came into the focus of scientific and political interest as a key issue in environmental affairs and the reduction of climate change [5,6,7]. However, while there is unanimous scientific consensus on the existence of climate change and its obvious negative effects (e.g., the increasing frequency and severity of heat waves across the globe [7]), with even public opinion treating these effects as evident in many cases, the efforts taken by average citizens in the interest of reducing climate change are nowhere near sufficient [6]. The strained contradiction between the increased concern for the state of the environment and the more limited level of individual action has been investigated by numerous empirical studies in recent years [8,9,10,11,12,13]. The problem with this contradiction, especially with this limited level of action, is that it hampers obtaining a clear picture for decision making, therefore the transition towards a more environmentally friendly/sustainable (e.g., circular, low carbon) economy [14].
To date, trust has appeared less strikingly in research in connection with climate change, but raising the subject is far from being without precedent. On the conceptual level, trust is mentioned as a generative feature for identifying environmental problems, as well as an element of the causal background influencing the subjects’ actions/reflections given to these challenges [8,15]. In recent years, several studies have also undertaken to empirically investigate the role of trust [4,11,13,16,17]. These latter papers each dealt with the effect of trust in relation to an individual special dimension of the attitude to climate change (e.g., concern—behavior gap, policy support).
The results published to date call attention to that a high level of social trust (in other words interpersonal generalized trust, i.e., trust in “unknown others”) and of institutional trust may both promote committed thinking about and concern for environmental problems taking the form of actual action.
Accordingly, several studies have examined the relationship of the various forms of trust with environmental attitudes [8,9,10,11,12,13,14], actions, and public policy support, but our knowledge is still fragmentary. It is partly due to the limited thematic focus as these studies generally only touch upon a single, special dimension of attitudes to environmental problems and climate change. On the other hand, it should be noted that these inquiries are characterized by a large degree of one-sidedness in their empirical approach to trust. Both these deficiencies can be partly explained by the lack of available databases, as obviously the diverse domains of attitude to environmental problems and, in the same way, the measurement of trust only appear in a limited and, perhaps, under-sophisticated way in large international comparative surveys.
Furthermore, it is also important to raise the issue of the necessity for differentiating the macro-micro perspective. Many comparative studies call attention to the fact that significant inconsistencies and discrepancies may be perceived between different societies in the various dimensions of attitude to climate change, and that the causal background that influence these individual attitudes may also differ from country to country [11,13,16,18,19,20,21,22].
The objective of this study is to expand and verify the existing knowledge on the relationships between generalized trust and attitudes to climate change. In the interest of this, after outlining the theoretical bases, the characteristics of the different dimensions of attitude to climate change in numerous European countries, and the investigation on the patterns of the internal relationships of these dimensions, are presented. Following this, as the central issue of the paper, the relationships between generalized trust and climate attitude on the level of the individual and of European societies are examined in a comprehensive way. In order to respond to the aforementioned knowledge gap, the paper focuses on the following three dimensions:
- Climate change beliefs—climate concern;
- Personal responsibility in connection with the reduction of climate change;
- Support of policy measures in connection with climate change.
The paper is organized as follows. The next section outlines the conceptual framework for the research, building on climate attitude and trust literature. Afterwards, the methodology used is discussed. In the fourth section, territorial aspects of climate attitude and the spatial relations of climate attitude and trust are discussed. The concluding section offers a summary of the key findings of the research and their contribution to the literature.
2. Theoretical Background
Contemporary environmental problems (e.g., climate change, loss of biodiversity, resource depletion) represent major challenges. Deep structural changes are needed in order to address these problems. These systemic changes are often called a ‘socio-technical’ transition [23], which involves society, including individuals as actors.
As Ghisellini and colleagues pointed out, based on their research work seeking an example of success, a key aspect of the transition towards a circular economy (CE) comes from the involvement of all actors of a society [24]. Indubitably, this is also valid for other domains of environmental transition, such as climate change.
2.1. Climate Change Attitude—Sociodemographic and Value-Based Investigations
Within the scope of environmental issues, numerous research projects have dealt expressly with attitude to climate change in the past two decades [25]. The results of these call attention to that the effects of certain sociodemographic factors are significant: Climate skeptic thinking and less concern for the negative effects of climate change are more likely to be characteristic of older age groups, and of those with lower levels of education [26,27,28,29]. In addition to sociodemographic factors, investigation into the role of values is also characteristic [12,30,31,32,33,34,35]. In this perspective, values appear as basic principles defining human thinking and action, which exert an effect on the subjective framings of the social world, and therefore, within all this, on the attitudes in connection with climate change. A frequently appearing reference in theoretical arguments in connection with values is Ronald Inglehart’s thesis on postmaterialism [36]. Fundamentally, this concept also starts its argument from the effects of sociodemographic factors. It states that a feature of fundamental significance of the changes, occurring in western societies following World War II, is the transition from material to postmaterial values. This transition takes place as a consequence of economic prosperity and brings about the mass adoption of and preference for new value-orientations, such as individual freedom, personal fulfilment, active participation in public affairs, the importance of quality of life, and the protection of the environment. The most frequently applied approach—in the empirical investigation into the relationships between values and climate attitudes—is the theory of Basic Human Values (BHV) (linked to Shalom H. Schwartz [37]). Beside its complex theoretical elaboration, the advantage of BHV approach is its excellent empirical feasibility. A theoretical framework that has become very widespread in environmental research is Paul C. Stern’s Value-Belief-Norm (VBN) model [38], which makes use of Schwartz’s theory with respect to values. According to the most important results of empirical research, making use of the concepts of Schwartz and Stern, preference for the values of “self-transcendence” and “altruism” goes hand-in-hand with a higher level of climate concern and a lower level of climate skepticism, while in the cases of the values of “self-enhancement” and “egoism”, it is precisely the opposite that is true. Somewhat less attention is paid to the role of the value categories of “conservation” and “openness to change” in connection with climate attitude. According to the results available, in all events, the conclusion that may be drawn is that among those individuals for whom “openness to change” values are important, there is a greater proportion of those who believe in the fact of climate change and in its causes rooted in human activity. In addition, in the case of those preferring the values of conservation, there is less willingness to take action aimed at reducing environmental problems [35].
2.2. Trust and Climate Change
The research projects to date examining the relationships between environmental problems and trust approach the concept of trust in a consistently partisan way. According to the reasoning, environmental problems, and within this climate change, bring about the phenomenon of classical “social dilemma”. In other words, they create a situation in which taking action is not necessarily “rational” for the individual, however it would still be in the collective interest of the community or society [39,40]. In this approach, pro-environmental behavior may be interpreted as collective action. In addition, in connection with collective action, the assumption appears that those individuals who, although concerned about climate change, still do not take personal action against it behave in this way because of their free-rider fears [41]. It is, at this point, that trust enters into the reasoning, which precisely alleviates these fears and is able to ensure that the individual takes climate change into account in his/her own behavior.
The special position held by trust in the reasoning is no accident. The meaning of the term “trust” is multifaceted [42] and trust research is a very diverse field encompassing many disciplines, with outstanding theoretical and empirical results. This is the case primarily in the fields of sociology, political science, psychology, and economics, which mainly uses middle-range theories of trust to determine the mechanisms of ideational framings, actions, social interactions, group formations, as well as the cohesion and integration dynamics of societies. Numerous trust researchers embed their reasoning into a social theoretical narrative, the common denominator of which, simplified somewhat, is the relevance of the context of modernization and of the risks induced by social and economic development [43,44]. There is general agreement among the various authors that trust is inseparable from the risks evoked by a future that cannot be precisely foreseen: If there are no risks, there is no need for trust either. However, one of the main characteristics of this age is, as the theorists of late modernity profess [45], that both intersubjective (i.e., social) and subjective (i.e., established with abstract entities) interactions become intertwined with risks. In other words, the individuals do not foresee how their interactions will develop, therefore in the interest of still being able to undertake the interactions, they must show trust. It is precisely because of this that trust and risk are ontologically linked [44,46]. The individual does not know what will happen and is unable to foresee the future from the present moment with complete confidence: In other words, the situation involves risks. The individual assesses them, sets up possible outcomes, and presumes that the most beneficial of these for him/her will come about. Consequently, the individual acts as if the other optional scenarios do not exist. It is this commitment that is trust itself [47]. Sztompka graphically uses this as compact definition when he says: trust is nothing else than “betting on the possible future actions of others” [44] (p. 25).
While showing trust is rather cognitive, trust as a feeling is surely affective. Trust functions as a subjective disposition, which is formed due to the effect of psychologically relevant life experiences with emotional and moral contents. There are relevant antecedents to this statement in the literature on trust (see: [44,48,49,50,51]. In these theories, trust is framed as generalized trust (otherwise labelled social trust, moral trust, or weak-tie interpersonal trust), in other words trust in fellow human beings in general without any distinction.
Sztompka (1999) summarizes the individual- and social-level functions, consequences of trust. As he states, on the micro-level, trust releases human capabilities and capacities, encouraging creativity, innovation, and entrepreneurship. It facilitates interactions, their content, durability, familiarity, and the deepening of their intimacy. It resolves suspicion, exaggerated precaution, and the demand for control. It supports reciprocity and the desire to participate, while enhancing spontaneous activity, and stems the apathy of routine. Among its social functions, trust supports mobility, common thinking, collective responsibility undertaking, participation and inclusion, the expansion of networks, and the assertion of the various forms of cooperation. It mitigates indifference and disinterest with respect to common goals-affairs. It facilitates constructive debate, deliberations, and the search for consensus. It stimulates solidarity, social sensitivity and empathy, and action against inequalities. It promotes inclusion and acceptance, tolerance, all forms of pluralism, and the legitimacy of differences. It cements the belonging of the individual to the community; it incites the making of sacrifices and volunteering in the interest of the community [44].
In light of all this, it is easy to see that trust is a key factor in the struggle against climate change: Those individuals who place trust in their fellow human beings have a greater chance of doing something against it. Furthermore, those societies that are characterized by a high level of trust (in other words, by a “culture of trust” [44]) are expected to be able to take more effective and more unified action. As opposed to this, mistrust prevents cooperation and effective collective action. This relationship will be apparent in the following investigation into the linkage between climate attitudes and trust.
3. Materials and Methods
3.1. Data
The current paper uses the database of round 8 of the European Social Survey (ESS). Since 2001, this international and representative comparative survey has been providing various data every two years on the demographic characteristics of European societies, their political and public life preferences, and on their characteristic values, perceptions, concepts, and attitudes.
Data collection—used in this article—performed in 2016 included a module that was specifically aimed at determining the attitudes of European citizens in connection with climate change. This detailed survey makes it possible to approach the subject of climate change from multiple sides, to consider various of its dimensions, and measure these as possible with diverse variables. With the use of this round of the ESS, in addition to detailed climate variables, this investigation is able to appropriately measure generalized trust (items of trust are core elements of the questionnaire), which is of key importance from the aspect of the focus of this study. In the course of ESS 8 survey, 44,387 respondents in the following 23 countries were interviewed: Austria (n = 2010), Belgium (n = 1766), Czech Republic (n = 2269), Estonia (n = 2019), Finland (n = 1925), France (n = 2070), Germany (n = 2852), Hungary (n = 1614), Iceland (n = 880), Ireland (n = 2757), Israel (n = 2557), Italy (n = 2626), Lithuania (n = 2122), Netherlands (n = 1681), Norway (n = 1545), Poland (n = 1694), Portugal (n = 1270), Russian Federation (n = 2430), Slovenia (n = 1307), Spain (n = 1958), Sweden (n = 1551), Switzerland (n = 1525), United Kingdom (n = 1959). In this analysis, Israel, as a non-European country, is excluded.
The special module of ESS used in this article is designed to achieve four specific objectives [15]:
- Creating a comprehensive theoretically grounded cross-European dataset of public attitudes to climate change, energy security, and energy preferences;
- Getting insights about how national-level socio-political, economic, and environmental factors shape public attitudes to energy and climate change across Europe;
- Examining the role of socio-political values and other individual-level factors in European attitudes to energy and climate change;
- Examining the relative importance of both individual-motivational factors and national circumstances in public preferences for different energy supply sources and demand reduction.
The conceptual framework of the ESS module [15] comprises five components, covering the broad areas of (1) socio-political values and engagement; (2) beliefs about climate change; (3) concerns about climate change and energy security; (4) personal norms and efficacy beliefs; and (5) energy preferences, including preferences for energy supply sources and energy demand measures. The present study distinguishes certain items from these ESS modular components into three core dimensions. These are (1) beliefs in connection with the fact of climate change and climate concern, (2) personal responsibility in connection with the reduction of climate change, and (3) support of policy in connection with climate change.
3.2. Beliefs in Connection with the Fact of Climate Change and Climate Concern
The 2016 ESS survey is aimed at understanding the ideas of the respondents about the reality of climate change, its possible causes, and about the severity of the situation. The latter might indicate the climate skeptic thinking [52]. The “trend skeptic” approach denies the existence of the global warming tendency; according to the “attribute skeptic” concept, warming is not caused by human activity; and according to the “effect skeptic” view, warming has no real damaging consequences.
Concern about climate change is a phenomenon tightly linked to the above. Concern reflects on how much someone is afraid of climate change or how much they feel it to be a serious threat. Yet, it still differs in that while the aspects dealt with above are of a cognitive nature, concern may be viewed as more affective [15].
The question relating to attitude to the existence of climate change is the following: “You may have heard the idea that the world’s climate is changing due to increases in temperature over the past 100 years. What is your personal opinion on this? Do you think the world’s climate is changing?” Respondents have four different answer options (that are used as trend variables): (1) “Definitely changing”; (2) “Probably changing”; (3) “Probably not changing”; (4) “Definitely not changing”.
The precise text of the question in the questionnaire examining views in connection with the causes is: “Do you think that climate change is caused by natural processes, human activity, or both?” The responses (used as attribute variables): (1)—“Entirely by natural processes”; (2)—“Mainly by natural processes”; (3)—“About equally by natural processes and human activity”; (4)—“Mainly by human activity”; (5)—“Entirely by human activity”. Apart from these, the question includes a further response option for respondents denying the fact of climate change: “I don’t think climate change is happening”.
Then, the question dealing with the impact of climate change is as follows: “How good or bad do you think the impact of climate change will be on people across the world?” Respondents may express their opinions on a scale of 0 to 10 (used as impact variables), where 0 means “Extremely bad”, and 10 means “Extremely good”.
Finally, the question relating to climate concern is as follows: “How worried are you about climate change?” The answers may be placed on a scale of 1 to 5 (used here as concern variables), where 1 means “Not at all worried”, and 5 means “Extremely worried”.
3.3. Personal Responsibility in Connection with the Reduction of Climate Change
After the cognitive and affective attitude in connection with climate change, the next phase examines the extent to which the role of the individual appears in connection with the collective problem of climate change. The question of undertaking responsibility belongs to the scope of moral commitment and norms. Although the existence of moral commitment and norms does not automatically mean action too, they are in a direct connection with it [15]. The ESS climate change module uses the following question to examine environment awareness norms: “To what extent do you feel a personal responsibility to try to reduce climate change?” Respondents have a scale of 0 to 10, where 0 means “Not at all”, and 10 means “A great deal”.
3.4. Support of Policy in Connection with Climate Change
In our study, the last dimension of attitude to climate change is represented by the issue of policy. This aspect in environmental research is usually categorized in the scope of “non-activist public sector behaviors” [15,38]. Activist activity is viewed as direct participation in actions influencing public policy decision making, while non-activist activity makes reference to less explicit activities and relates more to the judgment of public policy. The ESS climate module attempts to survey these opinions in one block of questions using three different variables, which are as follows: “To what extent are you in favor or against the following policies in [country] to reduce climate change?” (1) Increasing taxes on fossil fuels, such as oil, gas and coal. (2) Using public money to subsidize renewable energy such as wind and solar power. (3) A law banning the sale of the least energy efficient household appliances. The options in the case of each answer: 1—“Strongly in favor”; (2)—“Somewhat in favor”; (3)—“Neither in favor nor against”; (4)—“Somewhat against”; (5)—“Strongly against”.
3.5. Trust
The empirical investigation of generalized trust has a history spanning many decades and has a correspondingly serious research background with significant results. Very frequently, the empirical studies dealing with trust use one single “classical” questionnaire item (more details in Uslaner and Algan and Cahuc [51,53]) to operationalize trust. This also takes place in those works in which the issue of trust appears in relation to environmental problems and climate change. In the case of these, it may be said that almost without exception, the authors prefer the sole use of the standard question. Nevertheless, it must be mentioned that criticisms in literature dealing with the measurement of trust are widespread [54,55,56,57,58,59,60,61], according to which the standard trust variable is, in itself, not necessarily capable of identifying the phenomenon of generalized trust. Another version, consisting of three questions, the so-called “trust scale” [51] tries to reflect on these criticisms. This measuring tool makes reference to three content aspects: Reliability, fairness, and helpfulness. The ESS surveys contain all three items of the trust scale. Respondents may answer all three using a scale of 0 to 10. The trust scale questions are the following:
- “Generally speaking, would you say that most people can be trusted, or that you can’t be too careful in dealing with people?” (0—“You can’t be too careful”; 10—“Most people can be trusted”).
- “Do you think that most people would try to take advantage of you if they got the chance, or would they try to be fair?” (0—“Most people would try to take advantage of me”; 10—“Most people would try to be fair”).
- “Would you say that most of the time people try to be helpful or that they are mostly looking out for themselves?” (0—“People mostly look out for themselves”; 10—“People mostly try to be helpful”).
Trust was measured between fellow human beings with the average of the answers given to these three items. Those answers were taken into account as high level of trust which achieved a value of at least 6 on the basis of the average of the three variables. Members of the respondent group achieving less than 6 were classed in the low trust category.
3.6. Sociodemographic Variables
It is obvious that many other factors may have an impact on one’s attitude to climate change in addition to the role of trust. As it is already explained in the introduction, previous empirical papers had identified the effects of certain sociodemographic variables. On the basis of these, the following control variables were built into the analysis at the level of the individual:
- Gender (1 = male, 2 = female).
- Age (four age groups were created: 1 = 16–29 years, 2 = 30–44 years, 3 = 45–64 years, 4= over 65 years).
- Education (1 = up to elementary school, 2 = secondary qualification, 3 = higher education qualification).
- Income (0 = finding it difficult on present income, 1 = living comfortably on present income).
Although the ESS does include the respondents’ answers relating to the total income of the household categorized in deciles, another variable that relates to subjective, experienced financial circumstances has been used. The reason was the high proportion of no response in the individual countries. This item sounds as follows: “Which of the descriptions on this card comes closest to how you feel about your household’s income nowadays?” The original response categories were the following: 1 = Living comfortably on present income, 2 = Coping on present income, 3 = Finding it difficult on present income, 4 = Finding it very difficult on present income. During the analysis, the four response categories into two was consolidated.
3.7. Analytical Methods
In the following section, the variables used in the analysis are examined. As a first step, a descriptive inquiry of the selected items presents crucial differences among European societies in terms of attitude to climate change and trust. At the macro level, the rest of the paper examines the concordance among the selected variables by using the national average values, while binary logistic regression models are applied to grasp the effect of trust on attitudes to climate change at the level of the individual. The paper uses the general form of logistic regression as
follows:
Below, three different models will be presented that only differ in terms of their dependent variables while the independent variable (trust) and the control variables (sociodemographic variables) are the same in all cases. Dependent variables are formulated as follows: The composite indicator of ideas in connection with the fact of climate change and climate concern; the variable of personal responsibility in connection with the reduction of climate change; and the composite indicator of the support of policy measures in connection with climate change. The models were run separately on the samples of all European countries in the survey. The effect of trust on the dependent variables is interpreted by using the odds ratios.
4. Results and Discussion
4.1. Attitude to Climate Change and Trust
Firstly, it was examined that how much the climate change evidence was based on scientific consensus appears in layperson thinking. Previous research [62] has determined that while scientific results call attention to the clearly negative tendencies and the urgent need for intervention, no clear change of opinion of the appropriate weight can be seen in public thinking. Examining the issue of ideas and climate concern in connection with climate change, Table 1 presents the descriptive results of the four variables and the composite indicator generated from them. The trend variable shows the proportion per country of those respondents who believe that the climate is probably or definitely changing (answers 1 and 2), and the attribute variable shows the proportion of those who believe that climate change is mainly caused by human activity (answers 3, 4, 5). The percentages belonging to the impact variable represent those who believe the impact of climate change is negative (answers 0 to 4), while the concern variable expresses the proportion per country of those who selected at least answer three on the five-point scale. The composite indicator was created by combining these four variables: it represents those who met all of the “criteria” listed above, in other words they accept that climate change is an existing process that is fundamentally determined by active human intervention, and they also agree that climate change is a negative phenomenon and are seriously concerned about it.
Table 1.
Ideas and climate concern in Europe in connection with the fact of climate change (%).
On the basis of Table 1 it may be said that the ratio of trend skeptics and attribute skeptics is very low in all the European countries of the survey. The reason is that the large majority of the respondents accept the fact of climate change and its causes as a result of human activity. On the basis of these two variables, no substantial difference can be shown between the different regions of Europe. The picture is more nuanced in the judgment of the impacts of climate change: The majority of respondents may be viewed as impact skeptics, and greater differences may be seen among the various countries, making clear reference to regional characteristics. The situation is similar in the case of climate concern, with the difference that the large majority of the countries in Central and Eastern Europe show lower proportions than in the rest of Europe. The composite indicator shows a more heterogeneous tendency as compared to the previous indicators: In certain countries, the ratio of those giving a “positive” response to every question is very low (see Russia and Estonia), i.e., the proportion of climate skeptics in society is high. Nevertheless, in numerous countries, even in light of the combined criteria according to the composite indicator, the majority of the population accepts the evidence of climate change based on scientific consensus and is seriously concerned because of it. It is difficult to reveal any clear regional differences apart from that the more skeptical countries are located in Central and Eastern Europe.
In the case of the examination of personal responsibility in connection with the reduction of climate change, the data given in Table 2 show the ratio per country of those respondents who clearly feel that the reduction of climate change is their own responsibility (respondents giving an answer on the scale of between 6 and 10 were classed here). The most important conclusion that may be drawn from the data is that as opposed to the acceptance of the fact of climate change and climate concern, a clear dividing line may be seen within Europe in the question of personal responsibility felt for the reduction of climate change. As compared to the rest of the continent, a significantly smaller proportion of the population feel their own responsibility in the reduction of climate change in Central and Eastern Europe. It is also worth noting that while there are markedly high numbers with respect to climate facts and concern in Mediterranean countries, these societies are more divided in the question of personal responsibility. In northern countries, these tendencies are precisely the opposite: There is a greater proportion of those committed to personal responsibility than would be expected on the basis of the composite indicator in connection with the facts and concern.
Table 2.
The feeling of personal responsibility in Europe (%).
As regards to the support of policy measures in connection with climate change, Table 3 presents the descriptive results of the three variables given in the methodology (fossil, renewable, banning) and of the composite indicator formed from them. The figures show the ratio of respondents per country that would support the given measures (responses 1 and 2). The composite indicator was created by combining the three variables in such a way that it indicates the ratio of those who gave a supportive response in all three cases. On the basis of the data shown in the Table 3, it may be said that the support of policy measures serving the reduction of climate change cannot at all be treated as being general. Viewing these separately, it may be said generally that agreement with increasing the tax on fossil fuels is very low, as is the banning of the least energy efficient household appliances. Accordingly, the percentages of the composite indicator are also very low in all regions in Europe, especially in Central, Eastern, and Southern Europe.
Table 3.
Support of policy measures in Europe (%).
Examining the issue of trust Table 4 shows the proportion of those with a high level of trust within the individual countries. On the basis of this, it may be said that there are marked regional differences in terms of trust in Europe: While in Northern Europe, the ratio of those with a high level of trust is especially high in the population, in the countries of Central, Eastern, and Southern Europe, however, this ratio is decidedly low. The societies in Western Europe form less of a homogenous group, but the ratio of those with a high level of trust is intermediate.
Table 4.
The ratio of those with a high level of trust in Europe (%).
4.2. The Relationships between Trust and Attitude to Climate Change
4.2.1. The Relationships between Trust and Climate Attitude at the Level of the Individual
In the following part, logistic regression models are used to find the answer to the question whether the trust disposition of the individual really does have an effect on attitude to climate change. Table 5 shows the odds ratio (OR) and the corresponding significance values for the trust variable per country with respect to the regressions run with the three dependent variables. On the basis of these, it may be said that among the dependent variables, the effect of trust on individual responsibility is completely clear, significant results are observable with respect to all studied countries. On the basis of the odds ratios, it may be stated that if the effect of gender, age, education, and financial circumstances is kept under control, then it is 1.5–2 times more likely to find respondents among those with a high level of trust who feel the reduction of climate change to be their own responsibility than among those with a low level of trust. The effect of trust is not so obvious with respect to policy support. A significant effect was only found in about a half of the studied countries. The direction of these is the same, and their level is similar to that seen previously; in other words, it is more likely to find respondents who support policy ideas among those with a high level of trust. However, the effect of trust is not significant in more than half of the countries. It should be mentioned here that previous research [4,17] found stronger effect of trust on support of climate change policies. With respect to the third dependent variable, the composite indicator of ideas in connection with the fact of climate change and climate concern, the results show that trust does not fundamentally exert an effect on this variable, as the effect of trust can only be treated as being significant in the case of two countries. (However, the data of Czechia and the United Kingdom show that climate skeptics and respondents displaying less concern can be found more likely among those with a high level of trust).
Table 5.
The results of logistic regression.
4.2.2. The Relationships between Trust and Climate Attitude in Various Regions in Europe—Macro-Level Analysis
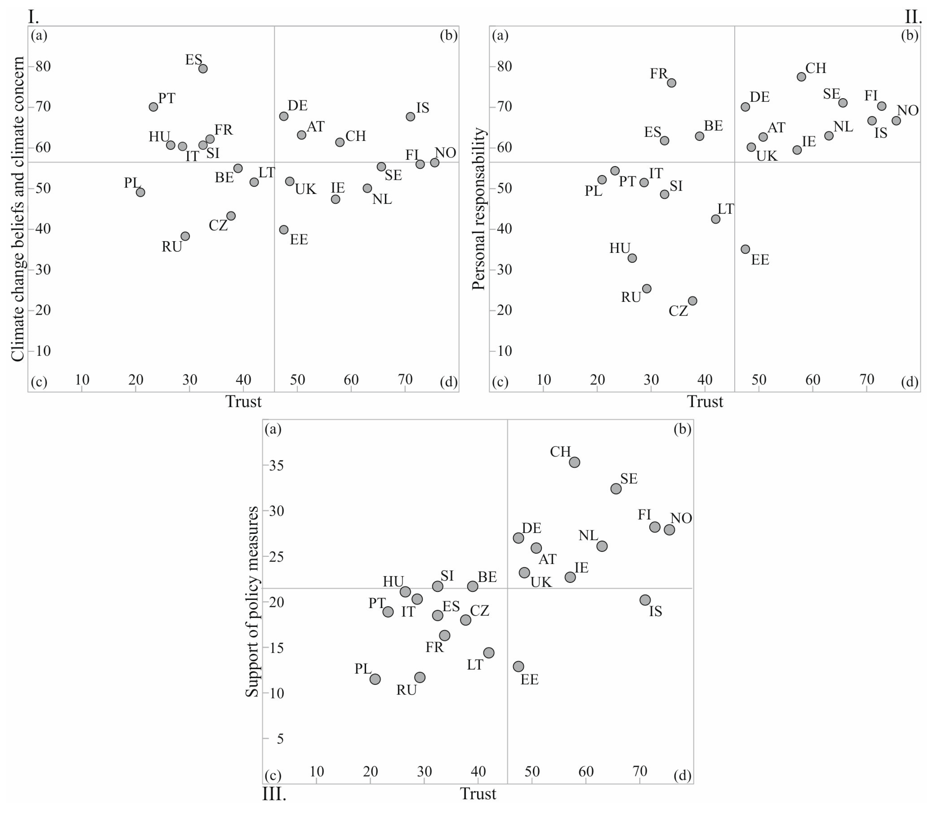
If the three dimensions of generalized trust and climate attitude perceived in the individual countries are projected onto each other, then important conclusions may be drawn about the relationships between them observed at the macro level. The results are shown in Figure 1. The figure parts indicated with Roman numerals on the horizontal axis show the same in all three cases: The percentage ratio of respondents with a high level of trust. The vertical axis represents a different variable in each diagram; these are the three main climate variables used previously, i.e., the two composite indicators and the personal responsibility variable (the horizontal and vertical lines indicate the national-level average values of the given variables).
Figure 1.
Association between trust and public attitudes to climate change in Europe (%). Source: Created by the authors on the basis of the analysis of the data of round 8 of the ESS.
In the case of Figure 1 part I, the positions of the individual countries primarily call attention to the fact that the two variables are somewhat independent of each other on the basis of the data available. In numerous European countries, the majority of the population believes that climate change is an existing process that is fundamentally determined by the human contribution; in addition, they agree that climate change is a negative phenomenon and are seriously concerned about it. Nevertheless, it has to be said that this complex climate attitude is characteristic of both countries with a high level of trust (b) and of those with a low level (a). This latter group of countries includes the Mediterranean countries, France, and two Central and Eastern European societies, Slovenia and Hungary. Besides all this, it must be mentioned that the most climate skeptic countries are in Central and Eastern Europe: Russia, Estonia, and Czechia. Among these, two clearly have a low level of trust, while Estonia has a level of trust somewhat above the average level.
Figure 1 part II depicts the association between trust and the feeling of personal responsibility for the reduction of climate change per country. Contrary to the previous diagram, it may be concluded from the form of the shape made up of the points representing the individual countries that the two variables are dependent on each other. In line with the proposed expectation in those societies that may be characterized by a culture of trust, there is an expressly large proportion of the population feels that the individual is responsible for the reduction of climate change (b). These are all western and northern European countries. As opposed to this, nations characterized by a culture of mistrust are more likely to reject personal responsibility. The latter are positioned in the lower left square (c): Here are all of the Central and Eastern European societies, as well as Italy and Portugal. The outlined relationship fails to work in only a small number of countries. The lower right square is empty except for Estonia, which also reinforces that high trust really does strengthen the feeling of individual responsibility. The examples of France, Belgium, and Spain—located in the upper left square (a)—call attention to the fact that, in certain unique cases, in spite of the relatively low level of trust in society, it is conceivable that a high proportion of the population would be committed to reducing climate change.
Figure 1 part III proves even more clearly the positive effect of trust in the fight against climate change. Here on the horizontal axis, similarly to the previous diagrams, the proportion of those with a high level of trust per country can be seen, while on the vertical axis, the composite indicator measuring the support of policy measures to reduce climate change is shown. The relationship reinforcing the proposed expectation is very markedly depicted, according to which the higher the level of trust in a society the more capable the community is of overcoming joint problems. The level of support of policy measures is lower in the mistrusting Central and Eastern European countries and in Southern Europe, while it is stronger in Western and Northern European countries where the level of trust is higher.
4.2.3. The Role of Trust in Overcoming the Gap between Climate Concern and Action
It was outlined previously that studies dealing with trust in environmental research place special emphasis on how trust influences the relatively modest relationship between concern for the environment and action. This issue is examined on the macro level in the following. In the scope of this, the composite indicator of the first dimension of attitude to climate change is compared with the other two dimensions using the two-dimension figures presented above. Although personal responsibility and support of policy measures do not actually represent concrete action, they still presume a more serious level of commitment; therefore, it is suitable for examining the problem. On the basis of the proposed argument, in connection with the role of trust, it is expected that the concern/action (i.e., the belief-concern/personal responsibility, and the belief-concern/policy support) relationship to be stronger in those countries characterized by a higher level of social trust. This may be explained by that those living in these societies do not have to be so concerned about being confronted with the problem of free riders during possible actions. Contrary to this, there are presumably many people living in countries characterized by a culture of mistrust who are seriously concerned about climate change but still do not do anything about it, as they are afraid that others will not play their part in the collective action.
The results are presented in Figure 2. The horizontal axes of the figure parts show the same in both cases: The percentage proportion of the composite indicator belonging to the first dimension of climate attitude, while in one case, the vertical axis indicates the variable of personal responsibility and in the other case, the variable of policy support. Here, the horizontal and vertical lines also indicate the country-level average values of the given variables.
Figure 2.
The concern/action relationship in Europe (%). Source: Created by the author on the basis of the analysis of the data of round 8 of the ESS.
In Figure 2 part I, it can be seen that the relationship between climate concern and the feeling of personal responsibility develop according to distinctly separable patterns on the basis of trust. Those countries are in the upper right corner (b) in which concern and the feeling of personal responsibility are above average. These are all high-trust countries with the exception of Spain and France. In those countries in the upper left corner (a), acceptance of the scientific evidence of climate change and concern are under the European average (but, of course, this does not mean they are low), but still the feeling of personal responsibility for the reduction of climate change is above average. With the exception of Belgium, these too are high-trust countries. In the lower left corner (c), consistent attitude may be seen: Low concern is coupled with low personal responsibility. This too includes the consistent situation that the countries located here have a low level of trust (with the exception of Estonia, which is neither high nor low). A very unique condition is characteristic of the countries located in the lower right corner (d), of Italy, Portugal, Slovenia, and very much so of Hungary: Serious concern is coupled with a low feeling of personal responsibility. All these countries have a low level of trust.
In Figure 2 part II, those countries may be found in the upper right corner (b) where the connection of acceptance of the scientific evidence of climate change and climate concern with policy support is the strongest. All these countries have a high level of trust. A situation opposite to that of this group may be seen in the case of the countries in the lower left corner (c), where, otherwise, there is also a strong relationship between the two variables. Here, concern is low, as is the generally perceivable level of policy support. All these countries have a low level of trust (Estonia is a borderline case). In the societies in the upper left corner (a), concern is relatively lower, however support for policy measures is above average. These are all countries with a high level of trust. The societies in the lower right corner (d) display a strange picture: The population is very concerned but does not support policy measures. The majority of these are low-trust Mediterranean countries (the positions of Hungary, Slovenia, and Iceland are borderline).
Overall, it may be stated that—in accordance with the preliminary expectations—every dimension of climate attitude in high-trust countries displays a high level. In other words, they are in a strong relationship with each other. Furthermore, it may also be observed that those countries are all low-trust countries where the relationship between the examined dimensions is weak, which characteristically means that strong concern is paired with a low level of the feeling of personal responsibility and policy support. On the basis of all this, the conclusion cannot be other than that the concern/action relationship is stronger in those countries characterized by a higher level of social trust.
5. Conclusions
As a result of the analysis of the data originating from the ESS, a diverse picture may be drawn of European societies on the basis of the various dimensions of climate attitude. Almost everywhere the majority of the population accepts the scientific evidence of climate change and, in parallel with this, they are seriously concerned about it. At the same time, it must be mentioned that climate skepticism is very clearly characteristic of Central and Eastern European societies. In the case of personal responsibility and policy support, the paper revealed relevant differences. In Central and Eastern Europe, in both dimensions, the values of the indicators are significantly lower than the rest of the continent, while in Southern Europe, this may only be observed in the case of policy support.
The focus of this study was the clarification of the relationships between climate attitude and trust. In summary, it is only partly confirmable that trust has direct effects on climate attitude both on the micro and macro level. It may be seen that on the level of the individual, concern about the negative effects of climate change displays no relationship with trust. Furthermore, in the case of the support of policy measures, the investigation found a significant effect in just some of the examined countries. However, trust has a clearly important role in the feeling of personal responsibility. At the macro level, the level of concern about the negative effects of climate change per country shows no relationship with trust, however the feeling of personal responsibility and support of policy measures do. In the final part of the analysis it was presented, that climate concern is more likely to lead to concrete action at society-level (feeling of personal responsibility, support for policy measures) in countries with a high culture of trust than in mistrusting societies.
This paper contributes to the literature, first, by revisiting the framings for the relationship between climate attitude and trust. Additionally, the methodology used and the choice of indicators may act as an analytical framework for further investigations for revealing relationships between other pro-environmental attitudes and trust.
Besides, this paper provides an analytical framework for further investigations between other domains of pro-environmental (such as circular economy) attitude and trust. Although the umbrella project of this investigation addressed the diverse circumstances of circular economy (H2020 REPAiR project), here climate attitude is used to examine the correlation between pro-environmental ideational framings/praxes and trust. Since circular economy is not yet operationalized sufficiently, the methodology presented here, as an analytical framework, may be seen as a novel attempt for further clarifications and improvements. Based on previous results of the REPAiR project (published in working papers [22]), the current paper proposed a (1) coherent theoretical argument, (2) a concept-grounded prism for item-typology of pro-environmental attitude, as well as (3) a multilayered framework of methods for examination of the presumed micro- and macro-level linkages.
Author Contributions
Conceptualization, Z.G., Á.B. and V.V.; methodology, Á.B.; software, Á.B.; validation, Z.G., Á.B. and V.V.; formal analysis, Á.B.; investigation, Á.B. and Z.G.; resources, ESS; data curation, Á.B.; writing—original draft preparation, Á.B., Z.G. and V.V.; writing—review and editing, Á.B., Z.G. and V.V.; visualization, Á.B.; supervision, Á.B., Z.G. and V.V.; project administration, Á.B. and V.V.; funding acquisition, V.V. All authors have read and agreed to the published version of the manuscript.
Funding
This research was funded by H2020 REPAiR project, grant number 688920.
Acknowledgments
The authors would like to thank to Iain Coulthard for the translation and English language proof of the text. The authors would like to thank to Tamás Szabó for the design of the figures.
Conflicts of Interest
The authors declare no conflict of interest.
References
- Global Footprint Network. Available online: https://www.overshootday.org/ (accessed on 1 September 2020).
- European Commission. A Resource-Efficient Europe—Flagship Initiative under the Europe 2020 Strategy. 2011. Available online: https://eur-lex.europa.eu/LexUriServ/LexUriServ.do?uri=COM:2011:0021:FIN:EN:PDF (accessed on 1 September 2020).
- Dunlap, R.E.; Gallup, G.H.; Gallup, A.M. Of global concern: Results of the health of the planet survey. Environ. Sci. Policy Sustain. Dev. 1993, 35, 7–39. [Google Scholar] [CrossRef]
- Smith, K.E.; Mayer, A. A social trap for the climate? Collective action, trust and climate change risk perception in 35 countries. Glob. Environ. Chang. 2018, 49, 140–153. [Google Scholar] [CrossRef]
- Giddens, A. The Politics of Climate Change Polity; Cambridge University Press: Cambridge, UK, 2015; ISBN 978-0-745-65514-7. [Google Scholar]
- Norgaard, K.M. Climate Denial: Emotion, Psychology, Culture, and Political Economy. In The Oxford Handbook of Climate Change and Society; Dryzek, J.S., Norgaard, R.B., Schlosberg, D., Eds.; Oxford University Press: Oxford, UK, 2011; pp. 399–413. [Google Scholar]
- Uzzoli, A.; Szilágyi, D.; Bán, A. Climate Vulnerability Regarding Heat Waves—A Case Study in Hungary. Deturope 2018, 10, 53–69. [Google Scholar]
- Gifford, R. The dragons of inaction: Psychological barriers that limit climate change mitigation and adaptation. Am. Psychol. 2011, 66, 290–302. [Google Scholar] [CrossRef] [PubMed]
- Kollmuss, A.; Agyeman, J. Mind the gap: Why do people act environmentally and what are the barriers to pro-environmental behavior? Environ. Educ. Res. 2002, 8, 239–260. [Google Scholar] [CrossRef]
- Lorenzoni, I.; Nicholson-Cole, S.; Whitmarsh, L. Barriers perceived to engaging with climate change among the UK public and their policy implications. Glob. Environ. Chang. 2007, 17, 445–459. [Google Scholar] [CrossRef]
- Tam, K.P.; Chan, H.W. Generalized trust narrows the gap between environmental concern and pro-environmental behavior: Multilevel evidence. Glob. Environ. Chang. 2018, 48, 182–194. [Google Scholar] [CrossRef]
- Bouman, T.; Verschoor, M.; Albers, C.J.; Böhm, G.; Fisher, S.D.; Poortinga, W.; Whitmarsh, L.; Steg, L. When worry about climate change leads to climate action: How values, worry and personal responsibility relate to various climate actions. Glob. Environ. Chang. 2020, 62, 102061. [Google Scholar] [CrossRef]
- Sevä, I.J.; Kulin, J. A Little More Action, Please: Increasing the Understanding about Citizens’ Lack of Commitment to Protecting the Environment in Different National Contexts. Int. J. Sociol. 2018, 48, 314–339. [Google Scholar] [CrossRef]
- Halbe, J.; Pahlahl–Wostl, C. A methodological framework to initiate and design transition governance processes. Sustainability 2019, 11, 844. [Google Scholar] [CrossRef]
- European Social Survey. ESS Round 8 Module on Climate Change and Energy—Question Design Final Module in Template ESS; ERIC: London, UK, 2016. [Google Scholar]
- Fairbrother, M.; Sevä, I.J.; Kulin, J. Political trust and the relationship between climate change beliefs and support for fossil fuel taxes: Evidence from a survey of 23 European countries. Glob. Environ. Chang. 2019, 59, 1–15. [Google Scholar] [CrossRef]
- Fritz, M.; Koch, M. Public Support for Sustainable Welfare Compared: Links between Attitudes towards Climate and Welfare Policies. Sustainability 2019, 11, 4146. [Google Scholar] [CrossRef]
- Frazen, A.; Vogl, D. Two decades of measuring environmental attitudes: A comparative analysis of 33 countries. Glob. Environ. Chang. 2013, 23, 1001–1008. [Google Scholar] [CrossRef]
- Kvaløy, B.; Finseraas, H.; Listhaug, O. The publics’ concern for global warming: A cross-national study of 47 countries. J. Peace Res. 2012, 49, 11–22. [Google Scholar] [CrossRef]
- Marquart-Pyatt, T.S.; Qian, H.; Houser, K.M.; McCright, M.A. Climate Change Views, Energy Policy Preferences, and Intended Actions Across Welfare State Regimes: Evidence from the European Social Survey. Int. J. Sociol. 2019, 49, 1–26. [Google Scholar] [CrossRef]
- Tranter, B.; Booth, K. Skepticism in a Changing Climate: A Cross-National Study. Glob. Environ. Chang. 2015, 33, 154–164. [Google Scholar] [CrossRef]
- H2020 REPAiR Project Reports. Available online: http://h2020repair.eu/project-results/project-reports/ (accessed on 15 October 2020).
- Geels, F.W. The multi-level perspective on sustainable transitions: Responses to seven criticism. Environ. Innov. Soc. Transit. 2011, 1, 24–40. [Google Scholar] [CrossRef]
- Ghisellini, P.; Cialani, C.; Ulgiatu, S. A review on Circular Economy: The Expected Transition to a balanced interplay of environmental and economic systems. J. Clean. Prod. 2016, 114, 11–32. [Google Scholar] [CrossRef]
- Capstick, S.; Whitmarsh, L.; Poortinga, W.; Pidgeon, N.; Upham, P. International trends in public perceptions of climate change over the past quarter century. Wiley Interdiscip. Rev. Clim. Chang. 2015, 6, 35–61. [Google Scholar] [CrossRef]
- Milfont, T.L.; Milojev, P.; Greaves, L.M.; Sibley, C.G. Socio-structural and psychological foundations of climate change beliefs New Zealand. J. Psychol. 2015, 44, 17–30. [Google Scholar]
- Poortinga, W.; Spence, A.; Whitmarsh, L.; Capstick, S.; Pidgeon, N.F. Uncertain climate: An investigation into public scepticism about anthropogenic climate change. Glob. Environ. Chang. 2011, 21, 1015–1024. [Google Scholar] [CrossRef]
- Shi, J.; Visschers, V.H.M.; Siegrist, M.; Arvai, J. Knowledge as a driver of public perceptions about climate change reassessed. Nat. Clim Chang. 2016, 6, 759–762. [Google Scholar] [CrossRef]
- Whitmarsh, L. Scepticism and uncertainty about climate change: Dimensions, determinants and change over time. Glob. Environ. Chang. 2011, 21, 690–700. [Google Scholar] [CrossRef]
- Brown, K.W.; Kasser, T. Are psychological and ecological well-being compatible? The role of values, mindfulness, and lifestyle. Soc. Indic. Res. 2006, 74, 349–368. [Google Scholar] [CrossRef]
- Corner, A.; Markowitz, E.; Pidgeon, N. Public engagement with climate change: The role of human values. WIREs Clim. Chang. 2014, 5, 411–422. [Google Scholar] [CrossRef]
- Kahan, D.M.; Jenkins-Smith, H.; Braman, D. Cultural cognition of scientific consensus. J. Risk Res. 2011, 14, 147–174. [Google Scholar] [CrossRef]
- Gifford, R.; Nilsson, A. Personal and social factors that influence pro-environmental concern and behaviour: A review. Int. J. Psychol. 2014, 49, 141–157. [Google Scholar] [CrossRef]
- Poortinga, W.; Steg, L.; Vlek, C. Values, Environmental Concern, and Environmental Behaviour: A Study into Household Energy Use. Environ. Behav. 2004, 36, 70–93. [Google Scholar] [CrossRef]
- Poortinga, W.; Whitmarsh, L.; Steg, L.; Böhm, G.; Fisher, S. Climate change perceptions and their individual-level determinants: A cross-European analysis. Glob. Environ. Chang. 2019, 55, 25–35. [Google Scholar] [CrossRef]
- Inglehart, R. Culture Shift in Advanced Industrial Society; Princeton University Press: Princeton, NJ, USA, 1990; ISBN 069107786X. [Google Scholar]
- Schwartz, S.H. Universals in the Content and Structure of Values: Theory and Empirical Tests in 20 Countries. Adv. Exp. Soc. Psy. 1992, 25, 1–65. [Google Scholar] [CrossRef]
- Stern, P.C. Toward a coherent theory of environmentally significant behavior. J. Soc. Issues 2000, 56, 407–424. [Google Scholar] [CrossRef]
- Olson, M. The Logic of Collective Action; Harvard University Press: Cambridge, MA, USA, 1965; ISBN 0674537513. [Google Scholar]
- Ostrom, E. A multi-scale approach to coping with climate change and other collective action problems. Solutions 2010, 1, 27–36. [Google Scholar]
- Bohr, J. Barriers to environmental sacrifice: The interaction of free rider fears with education, income, and ideology. Sociol. Spectr. 2014, 34, 362–379. [Google Scholar] [CrossRef]
- Mularska-Kucharek, M.; Bzeziński, K. The economic dimension of social trust. Eur. Spat. Res. Policy 2016, 23, 83–95. [Google Scholar] [CrossRef]
- Giddens, A. The Consequences of Modernity Polity; Cambridge University Press: Cambridge, UK, 1990; ISBN 9780804718912. [Google Scholar]
- Sztompka, P. Trust: A Sociological Theory; Cambridge University Press: Cambridge, UK, 1999. [Google Scholar]
- Beck, U.; Giddens, A.; Lash, S. Reflexive Modernization. Politics, Tradition and Aesthetics in the Modern Social Order Polity; Cambridge University Press: Cambridge, UK, 1994; ISBN 9780804724722. [Google Scholar]
- Hardin, R. Trust. Key Concepts Series; Polity Press: London, UK, 2006; ISBN 9780745624648. [Google Scholar]
- Hardin, R. Conceptions and Explanations of Trust. In Trust in Society; Cook, K.S., Ed.; Russell Sage Foundation: New York, NY, USA, 2001; pp. 3–39. ISBN 9780871541819. [Google Scholar]
- Fukuyama, F. Trust: Human Nature and the Reconstitution of Social Order; Free Press Paperback: New York, NY, USA, 1995; ISBN 1439107475. [Google Scholar]
- Khodyakov, D. Trust as a Process: A Three-Dimensional Approach. Sociology 2007, 41, 115–132. [Google Scholar] [CrossRef]
- Lewis, J.D.; Weigert, A. Trust as a Social Reality. Soc. Forces 1985, 63, 967–985. [Google Scholar] [CrossRef]
- Uslaner, E.M. The Moral Foundations of Trust; Cambridge University Press: Cambridge, UK, 2002; ISBN 9780521011037. [Google Scholar]
- Rahmstrof, S. The Climate Sceptics Potsdam Institute for Climate Impact Research. Available online: http://www.pik-potsdam.de/~stefan/Publications/Other/rahmstorf_climate_sceptics_2004.pdf (accessed on 1 October 2020).
- Algan, Y.; Cahuc, P. Trust and Growth. Annu. Rev. Econ. 2013, 5, 521–549. [Google Scholar] [CrossRef]
- Capra, C.M.; Lanier, K.; Meer, S. Attitudinal and Behavioral Measures of Trust: A New Comparison; Emory University Department of Economics: Atlanta, GA, USA, 2008; Available online: http://citeseerx.ist.psu.edu/viewdoc/download?doi=10.1.1.707.6292&rep=rep1&type=pdf (accessed on 15 September 2020).
- Fehr, E.; Fischbacher, U.; von Rosenbladt, B.; Schupp, J.; Wagner, G.G. A Nation-Wide Laboratory. Examining Trust and Trustworthiness by Integrating Behavioral Experiments into Representative Surveys. J. Appl. Soc. Sci. Stud. 2002, 122, 519–542. [Google Scholar] [CrossRef]
- Gächter, S.; Herrmann, B.; Thöni, C. Trust, Voluntary Cooperation, and Socio-economic Background: Survey and Experimental Evidence. J. Econ. Behav. Organ. 2004, 55, 505–531. [Google Scholar] [CrossRef]
- Glaeser, E.; Laibson, D.; Scheinkman, J.; Soutter, C. Measuring Trust. Q J. Ecol. 2000, 115, 811–846. [Google Scholar] [CrossRef]
- Miller, A.S.; Mitamura, T. Are Surveys on Trust Trustworthy? Soc. Psychol. Q. 2003, 66, 62–70. [Google Scholar] [CrossRef]
- Sturgis, P.; Smith, P. Assessing the Validity of Generalized Trust Questions: What Kind of Trust are We Measuring? Int. J. Public Opin. Res. 2010, 22, 74–92. [Google Scholar] [CrossRef]
- Reeskens, T.; Hooghe, M. Cross-cultural Measurement Equivalence of Generalized Trust. Evidence from the European Social Survey 2002 and 2004. Soc. Indic. Res. 2008, 85, 515–532. [Google Scholar] [CrossRef]
- Torpe, L.; Lolle, H. Identifying Social Trust in Cross-country Analysis: Do We Really Measure the Same? Soc. Indic. Res. 2010, 103, 481–500. [Google Scholar] [CrossRef]
- Weber, E.U.; Stern, P.C. Public understanding of climate change in the United States. Am. Psychol. 2011, 66, 315–328. [Google Scholar] [CrossRef] [PubMed]
Publisher’s Note: MDPI stays neutral with regard to jurisdictional claims in published maps and institutional affiliations. |
© 2020 by the authors. Licensee MDPI, Basel, Switzerland. This article is an open access article distributed under the terms and conditions of the Creative Commons Attribution (CC BY) license (http://creativecommons.org/licenses/by/4.0/).

