Next Article in Journal
Validating the Pro-Environmental Behavior Task in a Japanese Sample
Previous Article in Journal
Effect of Spatial and Temporal Resolution Data on Design and Power Capture of a Heaving Point Absorber
 
 
Font Type:
Arial Georgia Verdana
Font Size:
Aa Aa Aa
Line Spacing:
Column Width:
Background:
Article

Trend and Linearity Analysis of Meteorological Parameters in Peninsular Malaysia

by
Farahani Mohd Saimi
1,
Firdaus Mohamad Hamzah
1,*,
Mohd Ekhwan Toriman
2,*,
Othman Jaafar
1 and
Hazrina Tajudin
1
1
Faculty of Engineering and Build Environment, National University of Malaysia, Bangi 43600, Malaysia
2
Faculty of Social Sciences and Humanities, National University of Malaysia, Bangi 43600, Malaysia
*
Authors to whom correspondence should be addressed.
Sustainability 2020, 12(22), 9533; https://doi.org/10.3390/su12229533
Submission received: 9 August 2020 / Revised: 24 October 2020 / Accepted: 25 October 2020 / Published: 16 November 2020

Abstract

Climate change has often led to severe impact on the environment. This study aimed to investigate the monthly trends and linearity of meteorological parameters at four locations during the period from 1970 to 2016. These locations represent the south, north, east, and west of Peninsular Malaysia. The meteorological parameters used were monthly total precipitation (mm) and monthly average temperature (°C). To illustrate the methodology, the Mann–Kendall (MK) trend test and a non-parametric regression model were used. The MK trend test did not indicate significant trends in precipitation, but indicated a trend in temperature for all locations. The Sen value gives the amount of fluctuation of precipitation and temperature for every year. The results of the linearity test exhibited a linear trend for precipitation and temperature for most of the months throughout the study period. Thus, this study gives insights into the monthly trends of meteorological parameters, especially in Peninsular Malaysia.

1. Introduction

Hydrological patterns may be unpredictable due to their responses to changes in precipitation, temperature, and other meteorological parameters [1]. Previous studies reported that extreme weather events can cause loss of life and tremendous economic losses [2,3]. An increasing number of hydrological studies in Malaysia have been carried out over the past several decades in order to provide better knowledge about our climate. The climate in Peninsular Malaysia is affected by two monsoons and two inter-monsoon seasons. The Southwest Monsoon (SWM) lasts from May until September and the Northeast Monsoon (NEM) lasts from November until March, while the inter-monsoon (IM) seasons are in April and October [4]. The SWM is the driest season in all states in Malaysia, with the exception of Sabah in East Malaysia. Most states receive the lowest amount of rainfall during this season. In contrast, the NEM is the wettest season for most states in Malaysia. This monsoon season is characterized by severe flooding events, especially in the east coast states of Kelantan, Terengganu, Pahang, and east Johor in Peninsular Malaysia, as well as in Sarawak [5]. In light of this, analysis of meteorological parameters has become one of the most important assessment tools in studying and understanding the patterns of climate change in this country.
The change in meteorological patterns experienced by each country is unique; for instance, precipitation is influenced by several factors, including topography, temperature, and wind [6]. As a result, climate change projections related to high temperature events are becoming increasingly important due to their impact on the well-being of populations and ecosystems [7]. A previous study in Mozambique showed that renewable energy, such as hydropower and biomass, is the most affected by climate change. The fluctuation of hydrological parameters, such as temperature and precipitation, can affect the energy generated from these renewable resources [8]. According to the Malaysian Meteorological Department [4], among the apparent effects of climate change is the increase in annual temperature by 0.02 °C in Peninsular Malaysia, which is equivalent to 2 °C per 100 years. In their study, Hansen [9] stated that the global surface temperature has increased by 0.2 °C per decade in the last 30 years, similar to the warming rate predicted in the 1980s in initial global climate model simulations. Temperature has a considerable influence on climate change, and increases in temperature will increase the risk of occurrence of several diseases [10,11]. The National Hydraulic Research Institute of Malaysia (NAHRIM) reported a 17% increase in the amount of rainfall since 2000 compared with the amount recorded in 1970 [12].
The observed temperature and precipitation trends in the twentieth century suggest that the country’s climate is changing, and these changes include a long-term warming trend interspersed with more frequent high temperature events and an increase in the volume of precipitation [13]. Akhtar [14] showed that a trend of increasing annual temperature will lead to a decrease in average annual rainfall. The findings of previous studies have provided some important insights into the effects of climate change in Malaysia.
Many scientific works have explored the trends in hydrometeorological time series [15], and trend identification has become an important factor in hydrological time series analysis [16]. Malaysia has experienced warming and rainfall irregularities, particularly in the last two decades. Thus, it is garnering much attention in the study of climate trends and their implications [17]. Therefore, investigating the mean monthly trends and linearity of meteorological parameters in Peninsular Malaysia will be the main objective of this study. Following that, the results obtained from each station are compared.

2. Study Area and Data

2.1. Data

The meteorological data used were a monthly time series spanning 47 years from 1970 to 2016 for all parameters. The parameters involved were monthly average precipitation (mm) and temperature (°C). These meteorological parameters were available for all meteorological stations, and the data were provided by the Malaysian Meteorological Department (MMD). The data were sorted by month, and the time series data were recorded as a homogenized time series dataset.
Homogenizing a dataset is a process that assembles all the data collected at specific sites and times with particular instruments under a set of standard procedures [18] to ensure consistency of data, integrity of analysis, and validity of results [19]. The factors that frequently influence the non-homogenous datasets are monitoring station relocation, changes in instrumentation, changes in the surroundings, instrumental inaccuracies, and changes in observational and calculation procedures [20]. In order to avoid having non-homogenized datasets, meteorological stations have developed their own procedures to identify and remove all of the factors that influence non-homogenized datasets. Using a non-homogenized dataset, especially for climate data, will potentially bias the result. Meteorological stations (airports) have their own measurement standards for data collection to meet their desired standards.

2.2. Study Area

The four (4) meteorological stations in Peninsular Malaysia chosen for this study are Senai International Airport (South, 37.8 m above sea level, 01°38′ N,03°40′ E: Senai), Alor Setar Airport (North, 3.9 m above sea level, 06°12′ N,100°24′ E: Alor Setar), Sultan Ahmad Shah Airport (East, 15.23 m above sea level, 03°47′ N, 103°13′ E: Kuantan), and Sultan Abdul Aziz Shah Airport (West, 16.64 m above sea level, 03°06′ N,101°39′ E: Subang). All four selected stations were chosen due to their location, where the Alor Setar Airport, Senai International Airport, Sultan Ahmad Shah Airport and Sultan Abdul Aziz Shah Airport represent the northern, southern, eastern, and western regions of Malaysia, respectively. The map in Figure 1 shows the location of the four stations.

2.3. Map

Senai International Airport is located in the state of Johor Bharu. Johor Bahru is the second-largest city after Kuala Lumpur with a population of 1,588,750 and with a population density of over 876,000 people per square km [21]. The climate in Johor Bharu state is relatively uniform. The temperature is consistently around 25.5 °C to 27.8 °C with an annual rainfall of around 2000 mm, mostly from November to February. It can change through the monsoon season with variations in wind speed and direction, chaos, and dry seasons throughout the year. Johor Bharu receives two monsoon periods each year. The first monsoon occurs between December and February, and is known as the northeast monsoon. It is characterized by heavy rainfall and northeast winds [22]. The second monsoon is the southwest monsoon, which is characterized by drought relative to winds driven from the south and south-west. It occurs between June and August. There are two inter-monsoon periods which are from March to May and from September to November. During the inter-monsoon, the weather is relatively calm with less rainfall and weaker winds.
Alor Setar Airport is located in the state of Kedah, which is located in the district of Kota Setar. Kedah is bordered by three states and one country, namely Perlis (Northwest), Penang (Southwest), Perak (South), and Thailand (North). The climate in Alor Setar is hot and overcast. Over the year, the temperature typically varies from 23 °C to 33 °C, and rarely below 21 °C or above 35 °C. Alor Setar experiences seasonal variation in monthly rainfall. The amount of rainfall in Alor Setar is according to season and time. The least rainfall is expected in January and February with an average of 80 mm. This condition is due to the very dry weather conditions. The high density of rainfall starts from March to October ranging between around 110 mm and 160 mm. November records the highest amount of rainfall ranging between 150 mm and 250 mm. Currently, thunderstorms accompanied by heavy rainfall occur frequently in the afternoon, and the amount of rainfall began to decrease to less than 150 mm starting in December.
Kuantan Airport, also known as The Sultan Ahmad Shah Airport, is located in the state of Kuantan, Pahang. The climate features a tropical rainforest climate where it experiences a dry and hot season and a rainy season. The dry and hot season occurs when seasonal winds from southwest Sumatra, Indonesia, blow and move towards the west coast of Peninsular Malaysia, and are blocked by the Titiwangsa Mountain Range. The temperature can reach 40 °C. However, the temperature mostly varies from 23 °C to 32 °C. Kuantan is a city with significant rainfall. The heavy rain season is between October and March, and is caused by winds from the north. Even during the driest month, Kuantan still receives a large amount of rainfall, with the annual amount reported to be around 2800 mm.
Sultan Abdul Aziz Shah Airport, also known as Subang Airport, is located in the state of Selangor. Subang is located at a high altitude, 28 m above sea level and has a high temperature with a minimum annual temperature of 27.7 °C [23]. The temperature is rarely below 23 °C or above 34 °C. The rainfall here is around 2360 mm per year [24]. Subang has the highest number of days with lightning. It was recorded as 362 days in 1987. The climate in Subang is a tropical climate and has a significant amount of rainfall during the year. A lot of rain falls in the months of January, March, April, May, September, and from October to December. April is the wettest month in Subang Jaya, where rainfall can last from around 10 to 14 days, whereas June is the driest, with precipitation occurring from around seven to nine days.

3. Methods

Non-parametric statistical methods have been employed to analyze the linearity and temporal trends of meteorological parameters. R programming is used as a tool to carry out and run the analysis for both methods [25,26,27].

3.1. Mann–Kendall Trend Test

The Mann–Kendall (MK) trend test was used to identify the presence of a monotonic trend in each meteorological parameter. The primary reason for using the non-parametric statistical tests is that they are more appropriate for abnormal data distribution. Additionally, the Mann–Kendall trend test is a frequently employed statistical test for analyzing climate trend variables [28,29] and also in the analysis of time series [30,31]. The non-parametric Mann–Kendall statistical method is the primary method utilized in the present study since it is very useful in hydro-meteorological studies as it is not affected by outliers [32]. The MK statistical test is based on the test proposed by Mann [33] and was further improved by Kendall [34].
A positive Z value indicates an increasing trend while a negative value indicates a decreasing trend [35]. The confidence level of 95% represents a significance level of α = 0.5 . The null hypothesis (no trend) is rejected for confidence above 95%.

3.2. Sen Slope Estimator Test

In addition to the MK trend test, the Sen slope estimator has also been used as an improved method from the MK trend to identify the magnitude of change for all the climate change parameters involved. The Sen slope estimator has been widely used in hydro-meteorological time series [36]. Sen [37] developed the non-parametric procedure for estimating the slope of the trend (magnitude of change) in the sample of N pairs of data. A positive value indicates an upward or increasing trend, while a negative value indicates a downward or decreasing trend.

3.3. Non-Parametric Regression Model

The regression model is the most frequently employed statistical tool [38]. Linear modeling is one of the most developed techniques for verifying the assumptions between predictor (independent) variables and response (dependent) variables [39]. However, there are cases where such models cannot be utilized due to the intrinsic nonlinearity of the data. The non-parametric regression model is not restricted by any functional equation, which allows it to omit the linearity assumption, thereby allowing for greater flexibility when necessary [40].
The equation for the non-parametric regression model is written as follows:
y i = f ( x i ) + ε i   ;   i = 1 , 2 , 3 n
where the error ε i is assumed to be independently and normally distributed with mean zero and constant variance ε i N I D   ( 0 , σ 2 ) . In order to omit the assumption of linearity, β 0 + β 1 x i in the parametric trend function is replaced with a smoothing function, f ( x i ) , to allow for greater flexibility. Thus, non-parametric regression was used as it provides scatterplot smoothing to summarize between the response variable, y i (year) and single predictor x i (precipitation or temperature). High fluctuations in monthly precipitation data and temperature because of the strong influence of the monsoons make it difficult to interpret the overall pattern. Smoothing the data will help to remove the outliers and give a smooth curve, enabling the important patterns to stand out.

3.3.1. Linearity Test

Local linear regression is a non-parametric approach proposed by Cleveland [41], and is employed to estimate the smoothing function. It is easy to use, provides benefits in certain situations [42], and is able to reduce the bias f in local averaging [43]. It can be adjusted to capture unusual or unexpected features of the data. Precipitation and temperature data will probably contain outliers, leading to difficulties in interpreting the graphical result even with a small dataset. The result can be evaluated using a graphical approach, which is then supported by the statistical approach.

3.3.2. Smoothing Parameter

A smoothing parameter is required to illustrate the results of the estimated smoothing. Smoothing the data will remove the noise and help to predict different trends and patterns [44]. The smoothing of a dataset { ( x i , y i ) } i = 1 n involves the approximation of a mean response curve f in a regression relationship.
y i = f ( x i ) + ε i   ;   i = 1 , 2 , 3 .... n
A smoothing parameter is sometimes referred to as bandwidth [45]. The degree of smoothing is influenced by the selected smoothing parameter. The selected smoothing number is assumed to be large to reduce the variability in a smooth point without jeopardizing the trend in the data [45]. It is important to choose the correct smoothing parameter. Higher smoothing values produce curves that are almost a straight line while smaller values produce a curve with greater flexibility [46].
Several methods can be used to select a smoothing parameter, such as Cross Validation (CV) [47], Generalized Cross Validation (GCV) [48], Akaike’s Information Criterion (AIC) [49], and Improved AIC Criterion (AICc) [50]. CV is an appropriate technique for constructing a density estimate or regression of non-parametric curves in one or two dimensions. The basic idea of CV is to leave the data points out one at a time and to choose the value of s that minimizes the CV score [51]. The method of CV for choosing the smoothing parameter s from the data has been suggested and developed by Craven [52]. The CV function is among the most popular used in local linear regression [53]. CV is expressed as follows:
C V ( s ) = 1 n i = 1 n [ y i f s ( x i ) ] 2
where, n is the number of data points, y i is the i th response, and f i is the fitted value at ( x i ) .

4. Result

The statistical analysis of the meteorological parameters in Senai, Subang, Kuantan, and Alor Setar from the year 1970 to 2016 is shown in Table 1 and Table 2. The analysis indicates that the mean monthly temperature in Senai is 26.16 °C, Subang 27.31 °C, Kuantan 26.52 °C, and Alor Setar is 27.37 °C. The mean monthly temperature for all locations is not more than 27 °C. The standard deviation is small and suggests that the data points are close to the mean value. Except for Alor Setar, the value of standard deviation was 1, where it gives an indication the data points are not too close to the mean value. The minimum monthly average temperature was recorded in Kuantan with a value of 23.53 °C, and the maximum monthly average temperature was in Alor Setar with a value of 30.27 °C. The highest range between maximum and minimum of monthly average temperature was from Kuantan with a value of 5.83 °C.
For precipitation, the statistical analysis is recorded in Table 2. Malaysia receives heavy rainfall, between 2000 mm and 3000 mm per year. The analysis shows the total amount of monthly rainfall is very high. The maximum precipitation recorded in Kuantan is 1806 mm. The second highest is in Senai with 907.2 mm, followed by Subang with 611.2 mm and Alor Setar 593.2 mm. These maximum precipitation amounts in Kuantan and Senai occurred in December 2014 and December 2006. During these years, both locations had severe flood events, leading to a large amount of damage. In contrast, the minimum monthly precipitation was recorded in Alor Setar with 0 mm. Referring back to the rainfall history in Alor Setar, no rainfall occurred for the most part in the month of January and February due to hot and dry weather. The means of monthly average precipitation for Senai, Subang, Kuantan, and Alor Setar were recorded as 205.7 mm, 215.1 mm, 244.5 mm, and 169.7 mm, respectively. The standard deviation in Senai is 106.3 mm, Subang 110.6 mm, Kuantan 114.9 mm, and Alor Setar is 224.7 mm. The dispersion of the precipitation data in Alor Setar is not very close to the mean compared with other locations.
The results of the MK trend test for all meteorological parameters are presented in Table 3 and Table 4. From Table 3, no locations exhibited any trend for precipitation except for August at Senai, Subang, and Kuantan. The positive Tau values (Z) of 0.254, 0.246, and 0.254 at these three locations indicate an increasing trend for precipitation. Alor Setar presents a decreasing trend in May and June with negative Tau values (Z) of −0.255 and −0.081, respectively. Subang is the only station that indicates an increasing trend for November and December with positive Tau values (Z) of 0.33 and 0.247 for the period between 1970 and 2016.
The result of the Sen slope estimator can be seen in Table 5 and Table 6. As mentioned earlier, the Sen slope estimator is used as an improved method over the MK trend to identify the magnitude of change for all the climate change parameters involved. From the result of the Sen slope for precipitation in Table 5, Senai showed a downward trend (DT) in February, May, June, and July with Sen values of −1.665, −0.121, −0.177, and −0.179, respectively. As compared with the MK trend result in Table 3, Senai showed an upward trend only in August and it is supported by a positive Sen value of 2.387 in August. Thus, the increase amounted to 2.387 mm every year for the precipitation.
The Sen value in Subang shows an upward trend (UT) for all months. As compared with MK trends in Table 3, Subang showed an upward trend only in January, August, November, and December. In other words, precipitation will increase by 2.242 mm, 2.312 mm, 4.045 mm, and 2.66 mm every year, respectively. The Sen value in Kuantan shows an upward trend in January, March, May, August, and December. However, the MK trend in Table 3 showed an upward trend only in August. From the Sen value in Table 5, precipitation has increased by 2.191 mm every year in Kuantan. Alor Setar presents an upward trend most of the month except for May, September, and October. The MK trend in Table 3 indicates the addition of the downward trend in June and November. As compared with the Sen value in Table 5, precipitation decreased by −2.78 mm every year in May, −1.562 mm in September, and −0.541 in October. Subsequently, it will increase by 0.11 mm and 0.463 every year in June and November.
Table 4 presents the result of the MK trend test of temperature at all locations. It shows a significant value at a 95% confidence level. Temperature indicates an increasing trend during the entire study period from 1970 to 2016. The result of the Sen slope estimator test for temperature can be seen in Table 6, and it shows an increasing trend for all locations. The temperature increases every year between 0.014 °C and 0.059 °C. According to the Intergovernmental Panel on Climate Change, IPCC [54], the increasing trend was due to the 0.6 °C increase in the Earth’s average temperature in the latter part of the 20th century. There was also a dramatic change in temperature from a minimum of 1.4 °C to a maximum of 5.4 °C as projected by various climate prediction models.
The linearity test results of all meteorological parameters at all locations are given in Table 7 and Table 8. The present study used a degree of freedom (df) of 3 as a smoothing function for the precipitation and temperature at all locations. Table 7 presents the linearity result for monthly precipitation. It shows that all locations showed linearity for all months, except for an insignificant result for December at the Kuantan station. Figure 2 presents the trend plot for the precipitation at all locations in December.
Figure 2 indicates that there is a pattern in the precipitation at Kuantan in comparison with other locations. The p-values for Senai, Subang, and Alor Setar are significant at 1, 0.19, and 0.079, respectively, while Kuantan has a p-value of 0.02. Kuantan indicates a large amount of rainfall with more than 1500 mm rainfall for a particular month as compared with other locations. The precipitation patterns in Senai, Subang, and Alor Setar are almost alike. The divergence of the monthly distribution precipitation pattern in Kuantan is presented by a scattered plot for the month.
Table 8 presents the result of the linearity test for temperature. Kuantan and Alor Setar exhibited linearity in temperature for all months. Subang indicated the same pattern except for the amount of precipitation in December. Senai indicated a nonlinear temperature pattern for the months of June, July, and September. Figure 3 presents the trend plot for temperature at all locations in January. The p-values for Senai, Subang, Kuantan, and Alor Setar are 0.096, 0.216, 0.66, and 0.082, respectively. The plot shows that the temperatures at all locations have a linear pattern and the pattern has increased every year since 1970.
Despite being located in different regions of the country, the locations still show an identical increasing monthly trend. The highest temperatures for all locations were recorded in December. Figure 2 shows that Kuantan received the highest amount of rainfall in December. However, the highest temperature was still recorded for January.

5. Discussion

The MK trend test gives an interesting insight into monthly temperature and monthly precipitation trends for the selected locations. From the precipitation of the MK test result, it indicates that most of the months showed no trend for all locations. Table 3 displays trend results for monthly precipitation. Senai indicates an increasing trend with a Z value 0.254 in August, while, for other months, no trend was depicted. Subang indicates an increasing trend only in January, August, November, and December with Z values 0.236, 0.246, 0.333, and 0.247, respectively. Kuantan depicted an increasing trend only in August, the same as Senai with a Z value 0.254 and no trend shown for other months. Alor Setar indicates a decreasing trend in May, June, September, October, and November with Z values of −0.325, −0.255, −0.407, −0.286 and −0.21. However, other months did not show any trend. Table 4 displays the trend result of monthly temperature and shows an upward trend in all months for all locations.
Table 5 presents the result of the Sen slope for monthly precipitation. Senai indicates an upward trend in January, March, April, and August to December. Subang indicates an upward trend in all months. Kuantan indicates an upward trend in January, March, May, August, and December. Alor Setar depicted a downward trend in May, September and October. Table 7 presents a linearity test for monthly precipitation and all months exhibit linearity for all locations. Despite the fact that the number of months with no trend is more than the number of months with a trend, Malaysia climate change phenomena should not be ignored. It is important to consider the previous flood history in Malaysia such as in Senai and Kuantan as a result of the heavy rainfall events in December 2014 and December 2006. Increased rainfall causes serious flooding in Malaysia almost every year due to climate change [55].
Although floods are natural phenomena, uncontrolled development, indiscriminate land clearing, and other human activities increase the severity of floods [56]. Climate change is currently debated as an anthropological phenomenon related to environmental systems [57]. Kuantan experienced flooding in the past due to anthropogenic influence causing alterations in temperature and torrential rain [58].
Table 4 and Table 6 present the results of the MK trend test and the Sen slope test for monthly temperature. Both results show an increasing trend in all months for all locations. All locations showed a clear increasing temperature trend for all months. This is quite worrying as many studies have shown that the Earth is experiencing serious global warming. Brown [59] contended that the change in temperatures indicates a significant positive trend throughout the globe since 1950. Wong et al. [60] shows that the annual mean temperature trend has significantly increased at the 95% confidence level at about 0.32 °C per decade in Peninsular Malaysia. Senai, Subang, Kuantan, and Alor Setar are rapidly developing, causing the increasing temperature. Increasing temperature will have an immediate impact on rainfall distribution, where it will lead to flooding.
The result of the present study shows a similar outcome to other researchers. Mayowa [61] showed there was a substantial increase in annual rainfall during the monsoon season, especially on the east coast of Peninsular Malaysia. Kuantan indicates an increasing trend during this monsoon, while Huang [6] discovered that an increasing rainfall trend occurred for most months at a few stations in the west region of Peninsular Malaysia, and the Sen slope indicates an upward trend in all months for Subang. During the Northeast Monsoon, the northern region of Peninsular Malaysia experiences drought due to less precipitation [62]. Alor Setar confirms this, indicating a downward trend and no trend for most of the month as a result of the monsoon [63]. Wong [60] reported that the rainfall trend during Northeast Monsoon significantly increased at the 95% confidence level in all regions of Peninsular Malaysia, and Senai indicated a similar outcome during this monsoon. Apart from that, temperature trends show a significant increasing trend, especially in the western region of Peninsular Malaysia [64]. This corresponds to the results of the present study. Hashim [65] showed that there is an increasing trend for temperature from 1970 to 2005 in the urban areas of Kuantan and the western regions of Peninsular Malaysia. The Director of the Malaysian Meteorological Department confirmed in the local newspaper Sinar Harian [66] that the increase in temperature might be due to the Southwest Monsoon, which usually brings hot and dry weather conditions.
Understanding meteorological trends is important for planning and management, especially with respect to sustainability issues such as water resources, construction projects, and agriculture. An increase in temperature year on year will lead to multiple adverse effects on the earth and put it at risk. Adnan found that increases in flooding are likely due to changes in precipitation resulting from land use changes. According to Rahman [67], raising awareness is key to ensuring the sustainability of land use and sustaining the environment.
As reported by the IPCC [68], climate change leads to many adverse impacts. Flooding will harm agriculture. Additionally, it will impair economic growth. At the same time, increasing temperature will cause sea-level rise, melting snow, and glaciers. In addition to understanding the meteorological parameters, some actions can be taken to reduce the increasing number of precipitation events and temperature increases each year to sustain the normal environment. According to Denchak [69], healing our earth can be started in our own home. Everyone can contribute to sustaining the environment. Malaysia as a developed country can make a good effort to achieve sustainable development. Cooperation among the government, private sector, and Malaysian citizens will have a positive impact on the environment and climate planning [70].

6. Conclusions

As the pattern of precipitation and temperature varies from one region to another due to the strong influence of the monsoons, an investigation of monthly trend meteorological parameters was conducted. Four locations in Peninsular Malaysia, representing the northern, southern, eastern, and western regions of Malaysia over a period of 47 years, were selected. Thus, a whole vision of a monthly monotonic trend was developed for these two main meteorological parameters. Statistical analysis was conducted as an initial step to understand the data. The MK trend test, the Sen slope estimator, and linearity test are techniques widely used for environmental and climate studies. The MK trend test for precipitation did not exhibit any trend except for the month of August at Senai, Subang, and Kuantan, whereas temperature shows an increasing monthly trend during the entire study period of 47 years. The Sen slope results also demonstrate an increasing trend for all locations. The linearity test for precipitation indicates linearity for all months, except for the month of December in Kuantan. For temperature, only Kuantan and Alor Setar showed linearity for all months. All the methods provide a result explaining the trend for all the meteorological parameters. The MK trend test and the Sen slope estimator give a clear view of the precipitation and temperature trend in some of the regions of Peninsular Malaysia. The Sen value indicates how precipitation and temperature increase and decrease every year.
The substantial economic activities in most of the study areas may have environmental implications. In conclusion, the findings from this study may give useful information regarding the monthly trend of meteorological parameters in Senai, Subang, Kuantan, and Alor Setar. In addition, they can contribute to governmental and institutional planning. Therefore, investigating trends in meteorological parameters gives an insight into climate conditions, especially in Peninsular Malaysia.

Author Contributions

In this article, five (5) authors contributed their ideas and works throughout the process to complete the article. The first author (F.M.S.) is the main provider for this article. She contributed the idea of the article, followed by writing the original draft, formal analysis and submitting the article. The second author (F.M.H.) acted as corresponding author and was responsible for supervision, proposing suitable methods and software to be used in the article, and he received a grant that provided funding for the research. The third author (M.E.T.) acted as a second corresponding author responsible for suggesting additions to the original draft, visualization structure, investigation, proposing suitable software and helping in reviewing and editing, and he received a grant that also provided funding for the research. The fourth author (O.J.) provided the resources of raw data and provided the main idea in the conceptualization of the project. The fifth author (H.T.) was responsible for the review, editing and checking of the whole article. All authors have read and agreed to the published version of the manuscript.

Funding

This research was funded by the National University of Malaysia via research grant number (GUP-2020-013) and (KRA-2017-035).

Acknowledgments

The authors would like to acknowledge the Earth Observation Centre, National University of Malaysia for providing the data for this research.

Conflicts of Interest

The authors declare no conflict of interest.

References

  1. Olcese, L.E.; Toselli, B.M. Meteorology, and Atmospheric Physics Effects of Meteorology and Land use on Ambient Measurements of Primary Pollutants in C6rdoba City Argentina. Meteorol. Atmos. Phys. 1997, 248, 241–242. [Google Scholar] [CrossRef]
  2. Qian, W.; Lin, X. Regional trends in recent precipitation indices in China. Meteorol. Atmos. Phys. 2005, 207, 193–194. [Google Scholar] [CrossRef]
  3. Funatsu, B.M.; Dubreuil, V.; Racapé, A. Perceptions of climate and climate change by Amazonian communities. Glob. Environ. Chang. 2019, 57. [Google Scholar] [CrossRef]
  4. Malaysian Meteorological Department. Available online: http://www.met.gov.my/ (accessed on 6 May 2014).
  5. Chew, T. The Monsoon Seasons in Malaysia. Available online: http://www.expatgo.com/my/2013/06/28/the-monsoon-seasons-in-malaysia/ (accessed on 18 May 2017).
  6. Huang, Y.F.; Puah, Y.J.; Chua, K.C.; Lee, T.S. Analysis of monthly and seasonal rainfall trends using the Holt’s test. Int. J. Climatol. 2014. [Google Scholar] [CrossRef]
  7. Fonseca, D.; Carvalho, M.J.; Rocha, A. Recent trends of extreme temperature indices for the Iberian Peninsula. Phys. Chem. Earth 2016, 94, 66–76. [Google Scholar] [CrossRef]
  8. Miguel, M.; Nilsson, E.; Uamusse, M.M. Climate Change observations into Hydropower in Mozambique. Energy Procedia 2017, 138, 592–597. [Google Scholar] [CrossRef]
  9. Hansen, J.; Sato, M.; Ruedy, R.; Lo, K.; Lea, D.W.; Medina-elizade, M. Global Temperature Change. Proc. Natl. Acad. Sci. USA 2006. [Google Scholar] [CrossRef] [PubMed]
  10. Li, Y.; Li, G.; Zeng, Q.; Liang, F.; Pan, X. Projecting temperature-related years of life lost under different climate change scenarios in one temperate megacity, China. Environ. Pollut. 2018, 233, 1068–1075. [Google Scholar] [CrossRef] [PubMed]
  11. Tzanis, C.G.; Koutsogiannis, I.; Philippopoulos, K.; Deligiorgi, D. Recent climate trends over Greece. Atmos. Res. 2019, 230. [Google Scholar] [CrossRef]
  12. Shaaban, A.J. Impact of Climate Change on Malaysia; NAHRIM: Bangi, Malaysia, 2013.
  13. Nam, W.H.; Baigorria, G.A. How climate change has affected the spatio- temporal patterns of precipitation and temperature at various time scales in North Korea. Int. J. Climatol. 2015, 493. [Google Scholar] [CrossRef]
  14. Akhtar, M.P. Non Parametric Trend Analysis of Climate Change in Lower Bagmati River Basin in Northern India. Int. J. Sci. Eng. Technol. 2015, 4, 461–465. [Google Scholar]
  15. Rosmann, T.; Domínguez, E.; Chavarro, J. Journal of Hydrology: Regional Studies Comparing trends in hydrometeorological average and extreme data sets around the world at different time scales. Biochem. Pharmacol. 2016, 5, 200–212. [Google Scholar] [CrossRef]
  16. Sang, Y.; Wang, Z.; Liu, C. Comparison of the MK test and EMD method for trend identification in hydrological time series. J. Hydrol. 2014, 510, 293–298. [Google Scholar] [CrossRef]
  17. Ho, K.; Tang, D. Science of the Total Environment Climate change in Malaysia: Trends, contributors, impacts, mitigation and adaptations. Sci. Total Environ. 2019, 650, 1858–1871. [Google Scholar] [CrossRef]
  18. World Meteorologizal Organizational. Climate Data Homogenization. Available online: https://www.wmo.int/pages/prog/wcp/wcdmp/CA_4.php (accessed on 30 August 2020).
  19. Damen, M. Data Homogenization. Available online: http://www.charim.net/datamanagement/63# (accessed on 1 September 2020).
  20. Cristina, A.; Amílcar, C. Homogenization of Climate Data: Review and New Perspectives Using Geostatistics. Math. Geosci. 2009, 41. [Google Scholar] [CrossRef]
  21. Iskandar Malaysia. Available online: http://iskandarmalaysia.com.my/ (accessed on 25 May 2020).
  22. Wolanski, E. The Environment in Asia Pacific Harbours; Springer Science & Business Media: Townsville, Australia, 2006; p. 349. [Google Scholar]
  23. Annisa, U. Faktor- faktor yang Mempengaruhi Cuaca dan Iklim di Malaysia. Available online: https://www.slideshare.net/annisaulhusna18/faktor-yang-mempengaruhi-cuaca-iklim-malaysia/ (accessed on 20 July 2020).
  24. Weather and Climate. Climate in Subang Jaya. Available online: https://weather-and-climate.com/average-monthly-Rainfall-Temperature-Sunshine,subang-jaya-selangor-my,Malaysia (accessed on 18 May 2020).
  25. Pohlert, T. Package Trend 2020, 1–37. Available online: https://cran.r-project.org/web/packages/trend/trend.pdf (accessed on 20 July 2020).
  26. Bowman, A.; Azzalini, A. Package ‘sm’ 2019, 1–74. Available online: https://cran.r-project.org/web/packages/sm/sm.pdf (accessed on 17 September 2020).
  27. Mavromatis, T.; Stathis, D. Response of the water balance in Greece to temperature and precipitation trends. Theor. Appl. Climatol. 2010, 104, 13–24. [Google Scholar] [CrossRef]
  28. Hefzul, S.; Ur, M.T.; Azizul, M.; Hussain, M. Analysis of seasonal and annual rainfall trends in the northern region of Bangladesh. Atmos. Res. 2016, 176–177, 148–158. [Google Scholar] [CrossRef]
  29. Yue, S.; Wang, C. The Mann-Kendall Test Modified by Effective Sample Size to Detect Trend in Serially Correlated Hydrological Series. Water Resour. Manag. 2004, 18, 201–218. [Google Scholar] [CrossRef]
  30. Goenster, S.; Wiehle, M.; Gebauer, J.; Mohamed, A.; Stern, R.D.; Buerkert, A. Daily rainfall data to identify trends in rainfall amount and rainfall-induced agricultural events in the Nuba Mountains of Sudan. J. Arid. Environ. 2015, 122, 16–26. [Google Scholar] [CrossRef]
  31. Altin, T.B.; Barak, B. Changes and trend in total yearly precipitation of the Antalya district, Turkey. Procedia Soc. Behav. Sci. 2014, 120, 586–599. [Google Scholar] [CrossRef]
  32. Araghi, A.; Adamowski, J.; Rajabi, M. Detection of trends in days with thunderstorms in Iran over the past five decades. Atmos. Res. 2016, 172–173, 174–185. [Google Scholar] [CrossRef]
  33. Mann, H.B. Nonparametric Tests Against Trend. Econometrica 1945, 13, 245–259. [Google Scholar] [CrossRef]
  34. Kendall, M. Rank Correlation Methods; Griffin: London, UK, 1975. [Google Scholar]
  35. Mozejko, J. Detecting and Estimating Trends of Water Quality Parameters. In Water Quality Monitoring and Assessment; InTech: Rijeka, Croatia, 2012; pp. 95–120. [Google Scholar]
  36. Tabari, H.; Marofi, S.; Aeini, A.; Talaee, P.H.; Mohammadi, K. Trend analysis of reference evapotranspiration in the western half of Iran. Agric. For. Meteorol. 2011, 151, 128–136. [Google Scholar] [CrossRef]
  37. Sen, P.K. Estimates of the Regression Coefficient Based on Kendall’ s Tau. J. Am. Stat. Assoc. 1968, 63, 1379–1389. [Google Scholar] [CrossRef]
  38. Bowman, A.W.; Azzalini, A. Applied Smoothing Techniques for Data Anlysis; Oxford University Press: Oxford, UK, 1997. [Google Scholar]
  39. Brownlee, J. Linear Regression for Machine Learning. Available online: https://machinelearningmastery.com/linear-regression-for-machine-learning/ (accessed on 1 September 2020).
  40. Motiee, H.; McBean, E. An assessment of long-term trends in hydrologic components and implications for water levels in Lake Superior. Hydrol. Res. 2009, 40, 564. [Google Scholar] [CrossRef]
  41. Cleveland, W.S. Robust Locally Weighted Regression and Smoothing Scatterplots. J. Am. Stat. Assoc. 1979, 74, 829–836. [Google Scholar] [CrossRef]
  42. Dhir, R. Data Smoothing Definition. Investopedia. Available online: https://www.investopedia.com/terms/d/data-smoothing.asp (accessed on 30 August 2020).
  43. Fan, J.; Gijbels, I. Variable Bandwidth and Local Linear Regression Smoothers. Ann. Stat. 1992, 20, 2008–2036. [Google Scholar] [CrossRef]
  44. Chandler, R.; Scott, M. Statistical Methods for Trend Detection and Analysis in the Environmental Sciences; John Wiley & Sons, Ltd.: West Sussex, UK, 2011. [Google Scholar] [CrossRef]
  45. Kothyari, U.; Singh, V.P. Rainfall and Temperature Trends in India. Hydrol. Process. 1996, 10, 357–372. [Google Scholar] [CrossRef]
  46. Keele, L. Semiparametric Regression for the Social Sciences; John Wiley & Sons, Ltd.: Hoboken, NJ, USA, 2008. [Google Scholar]
  47. Stone, M. Cross-Validatory Choice and Assessment of Statistical Predictions. J. R. Stat. Soc. 1974, 36, 111–147. [Google Scholar] [CrossRef]
  48. Craven, P.; Wahba, G. Numerische Mathematik. Numer. Math. 1979, 31, 377–403. [Google Scholar] [CrossRef]
  49. Akaike, H. Information Theory and an Extension of the Maximum Likelihood Principle. In 2nd International Symposium on Information Theory; Springer: New York, NY, USA, 1973; pp. 610–624. [Google Scholar]
  50. Hurvich, C.M.; Simonoff, J.S.; Tsai, C.L. Smoothing Parameter Selection in Nonparametric Regression Using an Improved Akaike Information Criterion. J. R. Stat. Soc. 1998, 60, 271–293. [Google Scholar] [CrossRef]
  51. Silverman, B.W. A Fast and Efficient Method for Smoothing Parameter Choice in Spline Regression. J. Am. Stat. Assoc. 2014, 79, 584–589. [Google Scholar] [CrossRef]
  52. Craven, P.; Wahba, G. Smoothing Noisy Data with Spline Functions. Numer. Math. 1979, 403, 377–403. [Google Scholar] [CrossRef]
  53. Mohamad Hamzah, F. Statistical Analysis of Freshwater Parameters Monitored at Different Temporal Resolutions. Ph.D. Thesis, University of Glasgow, Glasgow, Scotland, 2012. [Google Scholar]
  54. IPCC. IPCC, 2013: Summary for Policymakers. In Climate Change 2013: The Physical Science Basis. Contribution of Working Group I to the Fifth Assessment Report of the Intergovernmental Panel on Climate Change; Cambridge University Press: Cambridge, UK; New York, NY, USA, 2013. [Google Scholar]
  55. Mohammed, N.; Edwards, R.; Gale, A. Optimisation of Flooding Recovery for Malaysian Universities. Procedia Eng. 2018, 212, 356–362. [Google Scholar] [CrossRef]
  56. Chan, N.W. Sustainable management of rivers in Malaysia: Involving all stakeholders Sustainable Management of Rivers in Malaysia: Involving All Stakeholders. Int. J. River Manag. 2005. [Google Scholar] [CrossRef]
  57. Loo, Y.Y.; Billa, L.; Singh, A. Effect of climate change on seasonal monsoon in Asia and its impact on the variability of monsoon rainfall in Southeast Asia. Geosci. Front. 2014, 1–7. [Google Scholar] [CrossRef]
  58. Zaidi, S.M.; Akbari, A.; Ishak, W.M.F. A Critical review of Floods History in Kuantan River Basin: Challenges and Potential Solutions. Int. J. Civ. Eng. Geo-Environ. 2014, 5, 3–5. [Google Scholar]
  59. Brown, S.J.; Caesar, J.; Ferro, C.A.T. Global changes in extreme daily temperature since 1950. J. Geophys. Res. 2008, 113. [Google Scholar] [CrossRef]
  60. Wong, C.; Yusop, Z.; Ismail, T. Trend of Daily Rainfall and Temperature In Peninsular Malaysia Based on Gridded Data Set. Int. J. Geomate 2018, 14, 65–72. [Google Scholar] [CrossRef]
  61. Mayowa, O.O.; Pour, S.H.; Shahid, S. Trends in rainfall and rainfall-related extremes in the east coast of peninsular Malaysia. J. Earth Syst. Sci. 2015, 124, 1609–1622. [Google Scholar] [CrossRef]
  62. Jamaludin, S.; Mohd Deni, W.Z.; Zin, W.; Jemain, A.A. Trends in Peninsular Malaysia Rainfall Data During the Southwest Monsoon and Northeast Monsoon Seasons. Sains Malays. 2010, 39, 1975–2004. [Google Scholar]
  63. Chooi, T.K. Trends of rainfall regime in Peninsular Malaysia during northeast and southwest monsoons. J. Phys. Conf. Ser. 2018, 995, 2–5. [Google Scholar]
  64. Valley, K.; Shahrul, M.; Nadzir, M.; Juneng, L. Observed Trends in Extreme Temperature over the. Adv. Atmos. Sci. 2019, 36, 1355–1370. [Google Scholar]
  65. Hashim, N.M. The impact of global warming trends on urban livability in Malaysia: An analysis. Malays. J. Soc. Space 2010, 2, 72–88. [Google Scholar]
  66. Sinar, H. Malaysia Dilandacuaca Panas. Available online: http://www.sinarharian.com.my/malaysia-dilanda-cuaca-panas-1.17279 (accessed on 13 July 2015).
  67. Rahman, H.A. Brief Review An Overview of Environmental Disaster in Malaysia and Preparedness Strategies. Iran. J. Public Health 2015, 43, 17–24. [Google Scholar]
  68. IPCC. Impacts of Climate Change. Available online: https://www.activesustainability.com/climate-change/impacts-climate-change/ (accessed on 25 June 2020).
  69. Denchak, M. How You Can Stop Global Warming. Available online: https://www.nrdc.org/stories/how-you-can-stop-global-warming (accessed on 13 April 2020).
  70. Mokthsim, N.; Salleh, K.O. Malaysia’s Efforts Towards Achieving a Sustainable Developmnet: Issues, Challenges and Prospects. Procedia Soc. Behav. Sci. 2014, 120, 299–307. [Google Scholar] [CrossRef]
Figure 1. Senai International Airport, Johor (South, 01°38′ N,03°40′ E: Senai), Alor Setar Airport, Kedah (North, 06°12′ N,100°24′ E: Alor Setar), Sultan Ahmad Shah Airport, Pahang (East, 03° 47′ N, 103°13′ E: Kuantan) and Sultan Abdul Aziz Shah Airport, Selangor (West, 03°06′ N,101°39′ E: Subang).
Figure 1. Senai International Airport, Johor (South, 01°38′ N,03°40′ E: Senai), Alor Setar Airport, Kedah (North, 06°12′ N,100°24′ E: Alor Setar), Sultan Ahmad Shah Airport, Pahang (East, 03° 47′ N, 103°13′ E: Kuantan) and Sultan Abdul Aziz Shah Airport, Selangor (West, 03°06′ N,101°39′ E: Subang).
Sustainability 12 09533 g001
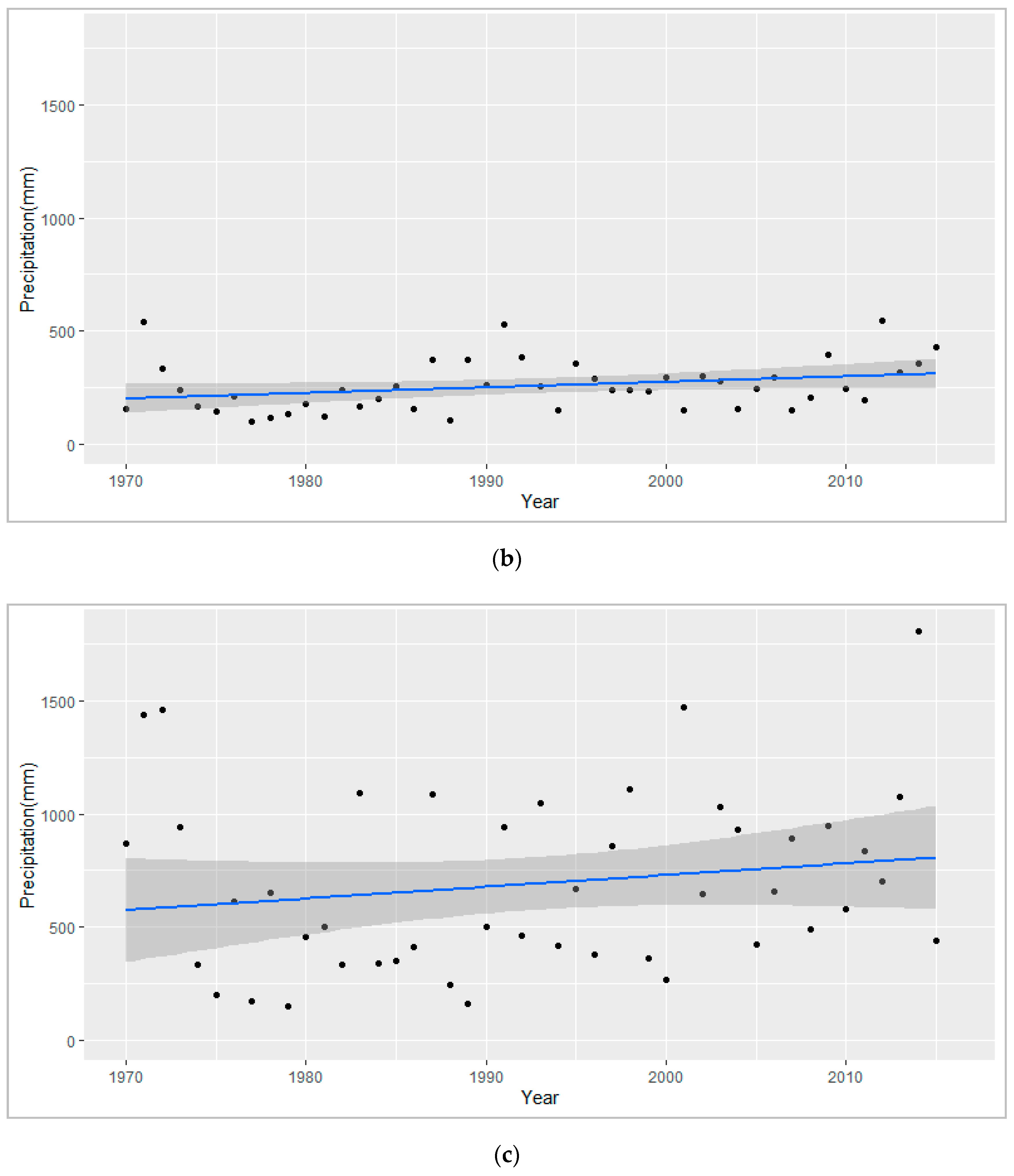
Figure 2. Plot for precipitation in December for Senai (a), Subang (b), Kuantan (c), and Alor Setar (d).
Figure 2. Plot for precipitation in December for Senai (a), Subang (b), Kuantan (c), and Alor Setar (d).
Sustainability 12 09533 g002aSustainability 12 09533 g002bSustainability 12 09533 g002c
Figure 3. Trend plot for temperature in January for Senai (a), Subang, (b) Kuantan, (c) and Alor Setar (d).
Figure 3. Trend plot for temperature in January for Senai (a), Subang, (b) Kuantan, (c) and Alor Setar (d).
Sustainability 12 09533 g003aSustainability 12 09533 g003b
Table 1. Statistical analysis of monthly average temperature (°C) in all locations (1970–2016).
Table 1. Statistical analysis of monthly average temperature (°C) in all locations (1970–2016).
LocationMeanStandard DeviationMinimumMaximumRange
Senai26.160.724.428.494.09
Subang27.310.925.21304.79
Kuantan26.520.823.5329.365.83
Alor Setar27.371.024.8230.275.45
Table 2. Statistical analysis of monthly average precipitation (mm) in all locations (1970–2016).
Table 2. Statistical analysis of monthly average precipitation (mm) in all locations (1970–2016).
LocationMeanStandard DeviationMinimumMaximumRange
Senai205.7106.35.8907.2901.4
Subang215.1110.67611.2604.2
Kuantan244.5114.91.2180618.4.8
Alor Setar169.7224.70593.2593.2
Table 3. Significance test results for monthly precipitation at all locations (1970–2016).
Table 3. Significance test results for monthly precipitation at all locations (1970–2016).
Mann–Kendall Trend Test
SENAISUBANGKUANTANALOR SETAR
Month Tau Value, Zp-ValueTest ConclusionTau Value, Zp-ValueTest ConclusionTau Value, Zp-ValueTest ConclusionTau Value, Zp-ValueTest Conclusion
Jan0.1290.233N0.2360.019Y0.1130.267N−0.0930.358N
Feb−0.1610.131N0.1580.119N−0.0240.818N−0.1160.255N
Mar0.0011N0.1790.078N0.0120.912N−0.0340.741N
Apr0.120.262N0.0650.520N−0.0930.359N−0.0560.582N
May−0.0210.850N0.0280.783N0.0430.673N−0.3250.001Y
June−0.0350.745N0.0860.398N−0.0710.485N−0.2550.011Y
July−0.0250.817N0.1840.069N−0.1080.287N−0.0810.424N
Aug0.2540.018Y0.2460.016Y0.2540.013Y−0.060.557N
Sept0.1210.264N0.1420.166N−0.1250.225N−0.4070.00Y
Oct0.0630.558N0.150.144N−0.0510.622N−0.2860.005Y
Nov0.090.385N0.3330.001Y−0.0570.582N−0.210.04Y
Dec0.0400.712N0.2470.015Y0.1610.116N−0.020.849N
Test conclusion: Y—Trend, N—No Trend.
Table 4. Significance test results for monthly temperature at all locations (1970–2016).
Table 4. Significance test results for monthly temperature at all locations (1970–2016).
Mann–Kendall Trend Test
SENAISUBANGKUANTANALOR SETAR
Month Tau Value, Zp-ValueTest ConclusionTau Value, Zp-ValueTest ConclusionTau Value, Zp-ValueTest ConclusionTau Value, Zp-ValueTest Conclusion
Jan0.4140.0001Y0.565<0Y0.493<0Y0.442<0Y
Feb0.4060.0001Y0.518<0Y0.431<0Y0.3150.001Y
Mar0.43<0 Y0.526<0Y0.495<0Y0.2980.003Y
Apr0.511<0Y0.568<0Y0.566<0Y0.338<0Y
May0.53<0Y0.637<0Y0.575<0Y0.502<0Y
June0.525<0Y0.689<0Y0.631<0Y0.523<0Y
July0.564<0Y0.674<0Y0.544<0Y0.461<0Y
Aug0.455<0Y0.673<0Y0.586<0Y0.372<0Y
Sept0.598<0Y0.696<0Y0.619<0Y0.594<0Y
Oct0.544<0Y0.638<0Y0.58<0Y0.526<0Y
Nov0.535<0Y0.576<0Y0.515<0Y0.611<0Y
Dec0.563<0Y0.617<0Y0.542<0Y0.409<0Y
Test conclusion: Y—Trend, N—No Trend.
Table 5. Magnitude of change for monthly precipitation at all locations (1970–2016).
Table 5. Magnitude of change for monthly precipitation at all locations (1970–2016).
Sen Slope Estimator Test
SENAISUBANGKUANTANALOR SETAR
MonthSen ValueMagnitude of ChangeSen ValueMagnitude of ChangeSen ValueMagnitude of Change Sen ValueMagnitude of Change
Jan2.232UT2.242UT2.257UT0.233UT
Feb−1.665DT1.619UT−0.273DT0.15UT
Mar0.009UT1.818UT0.076UT2.065UT
Apr0.926UT0.915UT−0.804DT0.16UT
May−0.121DT0.279UT0.405UT−2.78DT
June−0.177DT0.736UT−0.639DT0.11UT
July−0.179DT1.078UT−0.763DT0.144UT
Aug2.387UT2.312UT2.191UT0.5UT
Sept1UT1.31UT−1.135DT−1.562DT
Oct0.5UT1.693UT−0.692DT−0.541DT
Nov1.293UT4.045UT−0.75DT0.463UT
Dec0.771UT2.66UT6.383UT1.05UT
Magnitude of Change: UT—Upward Trend, DT—Downward Trend.
Table 6. Magnitude of change for monthly temperature at all locations (1970–2016).
Table 6. Magnitude of change for monthly temperature at all locations (1970–2016).
Sen Slope Estimator Test
SENAISUBANGKUANTANALOR SETAR
MonthSen ValueMagnitude of ChangeSen ValueMagnitude of ChangeSen ValueMagnitude of Change Sen ValueMagnitude of Change
Jan0.026UT0.044UT0.033UT0.03UT
Feb0.027UT0.045UT0.029UT0.02UT
Mac0.033UT0.048UT0.038UT0.023UT
Apr0.03UT0.045UT0.036UT0.019UT
May0.031UT0.053UT0.034UT0.028UT
June0.033UT0.059UT0.036UT0.027UT
July0.038UT0.056UT0.036UT0.022UT
Aug0.023UT0.05UT0.03UT0.014UT
Sept0.032UT0.05UT0.034UT0.026UT
Oct0.03UT0.041UT0.033UT0.026UT
Nov0.032UT0.037UT0.033UT0.029UT
Dec0.03UT0.038UT0.03UT0.027UT
Magnitude of Change: UT—Upward Trend, DT—Downward Trend.
Table 7. Monthly linearity test for precipitation at all locations (1970–2016).
Table 7. Monthly linearity test for precipitation at all locations (1970–2016).
Linearity Test
SENAISUBANGKUANTANALOR SETAR
Monthp-ValueTest Conclusionp-ValueTest Conclusionp-ValueTest Conclusionp-ValueTest Conclusion
Jan0.106L0.072L0.309L0.264L
Feb0.837L0.455L0.895L0.371L
Mar0.296L0.225L0.427L0.173L
Apr0.746L0.265L0.952L0.508L
May0.481L0.331L0.8L0.306L
June0.195L0.84L0.808L0.214L
July0.691L0.621L0.376L1L
Aug1L0.786L0.626L0.482L
Sept0.401L1L0.41L0.05L
Oct0.727L0.721L0.954L0.478L
Nov0.202L0.946L0.275L0.282L
Dec1L0.19L0.02N0.079L
Test conclusion: L—Linear, N—Not Linear.
Table 8. Monthly linearity test for temperature at all locations (1970–2016).
Table 8. Monthly linearity test for temperature at all locations (1970–2016).
Linearity Test
SENAISUBANGKUANTANALOR SETAR
Monthp-ValueTest Conclusionp-ValueTest Conclusionp-ValueTest Conclusionp-ValueTest Conclusion
Jan0.096L0.216L0.66L0.082L
Feb0.079L0.6L0.474L0.648L
Mar0.501L0.451L0.823L0.559L
Apr0.113L0.607L0.788L0.68L
May0.349L0.158L0.315L0.765L
June0.0N0.598L0.49L0.497L
July0.014N0.481L0.464L0.14L
Aug0.297L0.62L0.296L0.135L
Sept0.048N0.268L0.399L0.101L
Oct0.115L0.549L0.913L0.18L
Nov0.068L0.139L0.477L1L
Dec0.368L0.031N0.431L1L
Test conclusion: L—Linear, N—Not Linear.
Publisher’s Note: MDPI stays neutral with regard to jurisdictional claims in published maps and institutional affiliations.

Share and Cite

MDPI and ACS Style

Saimi, F.M.; Hamzah, F.M.; Toriman, M.E.; Jaafar, O.; Tajudin, H. Trend and Linearity Analysis of Meteorological Parameters in Peninsular Malaysia. Sustainability 2020, 12, 9533. https://doi.org/10.3390/su12229533

AMA Style

Saimi FM, Hamzah FM, Toriman ME, Jaafar O, Tajudin H. Trend and Linearity Analysis of Meteorological Parameters in Peninsular Malaysia. Sustainability. 2020; 12(22):9533. https://doi.org/10.3390/su12229533

Chicago/Turabian Style

Saimi, Farahani Mohd, Firdaus Mohamad Hamzah, Mohd Ekhwan Toriman, Othman Jaafar, and Hazrina Tajudin. 2020. "Trend and Linearity Analysis of Meteorological Parameters in Peninsular Malaysia" Sustainability 12, no. 22: 9533. https://doi.org/10.3390/su12229533

APA Style

Saimi, F. M., Hamzah, F. M., Toriman, M. E., Jaafar, O., & Tajudin, H. (2020). Trend and Linearity Analysis of Meteorological Parameters in Peninsular Malaysia. Sustainability, 12(22), 9533. https://doi.org/10.3390/su12229533

Note that from the first issue of 2016, this journal uses article numbers instead of page numbers. See further details here.

Article Metrics

Back to TopTop