Next Article in Journal
Estimating Soil Water Content and Evapotranspiration of Winter Wheat under Deficit Irrigation Based on SWAP Model
Previous Article in Journal
The Risk Monitoring of the Financial Ecological Environment in Chinese Outward Foreign Direct Investment Based on a Complex Network
 
 
Font Type:
Arial Georgia Verdana
Font Size:
Aa Aa Aa
Line Spacing:
Column Width:
Background:
Article

4E Analyses of a Hybrid Waste-Driven CHP–ORC Plant with Flue Gas Condensation

by
Hossein Nami
1,2,*,
Amjad Anvari-Moghaddam
3,*,
Ahmad Arabkoohsar
3 and
Amir Reza Razmi
4
1
Department of Mechanical Engineering, Faculty of Engineering, University of Maragheh, 55181-83111 Maragheh, Iran
2
Department of Energy Conversion and Storage, Technical University of Denmark, 2800 Lungby, Denmark
3
Department of Energy Technology, Aalborg University, 9220 Aalborg, Denmark
4
Department of Mechanical Engineering, University of Alberta, Edmonton, AB T6G 1H9, Canada
*
Authors to whom correspondence should be addressed.
Sustainability 2020, 12(22), 9449; https://doi.org/10.3390/su12229449
Submission received: 1 October 2020 / Revised: 9 November 2020 / Accepted: 11 November 2020 / Published: 13 November 2020
(This article belongs to the Special Issue Smart Thermal Grids for Sustainable Energy Systems)

Abstract

The combination of a waste-driven hybrid heat and power plant with a small organic Rankine cycle unit was recently proposed and investigated from a thermodynamic perspective. The present study provides a more comprehensive assessment from system operation through considering the energy, exergy, exergoeconomic, and exergoenvironmental (4E) aspects in a revised design of this concept to obtain a bigger picture of the system’s technical, economic, and environmental effects on existing and future energy systems. The revised design includes a flue gas condensation unit and alternative friendly organic working fluids. For this, the hybrid plant is modeled for its thermal, economic, and environmental performances. Then, the exergy losses and environmental effects of the system are scrutinized, the cost of losses and pollutions are predicted, and lastly, sorts of solutions are introduced to improve the exergoeconomic and exergoenvironmental performances of the system. The results indicate that the highest share of exergy destruction relates to the incineration (equipped with a steam generator) with a levelized cost of approximately USD 71/h for a power plant with almost 3.3 megawatt electricity output capacity. The hybridization proposal with the flue gas condensation unit increases the sustainability index of the system from 1.264 to 1.28.

1. Introduction

The future smart energy system (which is to be based on a 100% renewable energy share) is said to be more dependent on the electricity sector rather than the heat, cold, and gas sectors. The penetration of the renewable-based power generation systems into energy markets [1], the increasing growth in the number of electric vehicles [2]; the increasing penetration of heat pumps and chillers in the district cooling and heating system, etc., are some of the most important reasons for this fact. On the other hand, there are many in-service energy production systems in different sectors that have been installed in recent years and will be working for the next 20–30 years. Therefore, in parallel with the innovations for new-coming technologies, feasible solutions that make existing energy plants compatible with future needs are required.
In Denmark and many other European countries, waste-fired combined heat and power (CHP) plants are considered to be popular and widespread energy systems for the co-generation of heat and electricity for district heating and power grids [3]. The incineration of CHP plants with flue gas cleaning, producing about three times more heat compared to power, plays a key role in turning waste into energy in an environmentally friendly way. This fact makes such power plants be of high potential for revising the design to increase the share of power output instead of a larger heat generation rate.
The literature presents a substantial number of studies in the field of waste-driven CHPs. For example, Rydén et al. [4] evaluated the role of hybrid power plants (comprising waste-fired modules) in the future hybrid energy systems in Sweden. Eriksson et al. [5] scrutinized the operation of the waste incineration co-generation systems in Denmark. Tobiasen and Kamuk [6] investigated the benefits of employing waste-fired CHP plants in district heating systems, optimizing the efficiency of these systems for larger capacities. Tomić et al. [7] studied the effectiveness of different waste heat recovery power plants for the recently adopted legislation/regulation in Europe’s energy markets. Munster and Meibom [8] assessed the best methods for using waste in future energy technologies by proposing novel waste-to-energy plants with maximum efficiency and flexibility. Yang et al. [9] accomplished a fundamental technoeconomic investigation of a waste-incineration co-generation plant based on a combined intermediary pyrolysis concept. Nami et al. studied the thermodynamic [10] and economic [11] performance of a municipal waste-fired tri-generation system to supply the energy demand of the neighborhood in terms of electricity, heating, and cooling.
In the present study, some of the produced heat by the waste-fired CHP system was converted to electrical power by employing an organic Rankine cycle (ORC). Although the organic Rankine cycle (ORC) operates with lower efficiency in comparison to a regular Rankine cycle, the capability of operating at lower pressure and temperature levels makes it an interesting and popular solution mainly for the use of low-quality waste heat sources for power production [12,13,14]. The following four works are a couple of references that give a detailed understanding of the ORC based on the cutting-edge state of the art and practice. Landelle et al. [15] presented a comprehensive examination of the state of the art of ORC. Hoang [16] reviewed heat recovery from diesel engines using ORC technology. In this work, he aggregated and classified working fluids to meet the requirement of each system and reported the thermodynamic and economic analyses of engine ORCs. Park et al. [17] presented a review from the ORC experimental data trends and concluded that the efficiency of heat to power conversion was about 44% of the Carnot cycle efficiency, reporting that R245fa, R123, and R134a are the most popular working fluids, and the typical value for the Back-Work Ratio is around 25.9%. Mahmoudi et al. [18] presented a new review of waste heat recovery by ORC, including statistics on fluids and configurations, and concluded that internal combustion engines and gas turbines are the most used heat sources. Generally, ORC is a recognized concept with relatively developed technology and literature. Thus, there is no intention of presenting an extensive literature survey of that here.
In the most recent study of the authors, they investigated the parallelization of a small-scale ORC with a waste-fired CHP plant to increase its power output rate [19]. Although this hybridization resulted in poorer net heat and overall energy output, the higher electricity output of the system made it be a compatible yet feasible solution for future smart energy systems. However, still, the utilization of effluent waste heat via flue gas condensation seems to be a gap in the body of knowledge for waste-driven CHPs. In the present study, the authors tried to present an optimal design of the technology, a thorough exergy assessment, and a comprehensive economic investigation, as well as a reliable environmental analysis. The thermodynamic and economic performance of the developed waste-driven CHP system is compared for the cases with and without flue gas condensation via presenting an improved version of the integrated waste-fired CHP–ORC system.

2. Materials and Methods

2.1. Primary and Modified Hybrid Plants

The proposed hybrid waste-driven CHP plant in its revised configuration is herein introduced by presenting detailed information about its technical properties. In the traditional arrangement of waste-driven CHP plants, an electric generator driven by a steam turbine generates power and the rejected waste heat of the condenser is used to support the local district heating setup. In the integrated waste-fired CHP–ORC plant proposed and assessed in Ref. [19], the concept contains three major sections of waste-fired boiler, a Rankine cycle-based power block for the simultaneous production of heat and power, and a small-scale ORC unit. In the modified configuration, which is being studied in this work, nonetheless, plus the condensation heat, a share of the remaining heat of the exhaust flues is recuperated to increase the ORC cycle capacity for power generation, as well as for reducing flues temperature for district heating supply. Moreover, to offer a green ORC unit, alternative organic working fluids are used in the present research. The schematic diagram of the revised hybrid plant is presented in Figure 1.
As shown, municipal solid waste is utilized as a fuel in the incinerator. The incinerator is equipped with a high-pressure steam boiler to produce steam and run the employed steam turbine. Then, the steam turbine outlet stream flows to HX1 to deliver the heat. HX1 performs as a condenser for the power cycle and as a heat source for the ORC. Then, the condensed water enters the feed water tank (FWT) to ensure any possible gas removal before being pressurized via pump (P1). The exhaust gas stream (exiting incinerator) enters a two-stage heat exchanger. Passing through the heat exchanger 1 (HX1), a heat source with great temperature is provided to support the ORC cycle for power production. The organic fluid is evaporated within the evaporator (Evap) and enters the ORC turbine (ORCT) in a saturated vapor condition. The enthalpy change of the working fluid between the turbine inlet and outlet turns into mechanical power and then the ORCT exiting flow condenses within the ORC condenser (ORCC) before being pressurized and completing the cycle. The low-temperature heat source of the ORC unit is considered as local groundwater with a temperature variety of 5–7 °C [20].
After passing HX3, the exhaust still has considerable heat content and arrives at the second heat exchanger which is applied for district heating applications. It is noteworthy that a cleaning stage that guarantees the contamination of the outlet near zero has been considered for the flue gas condensation line. Wet flue gas cleaning can be considered as an effective approach for bringing the flues to around zero-emission amounts in SO2, HCl, and NH3. On the other hand, the customized flue gas scrubber solution assists in capturing minute particle emissions [21].
The properties of the proposed integrated power plant are tabulated in Table 1. It also offers useful data about the literature from which these suppositions have been taken.
In this system, the isentropic efficiency of pumps and turbines is considered to be 85% and the generator efficiency is set at 95%.

2.2. Mathematical Modeling

To design an energy converting system, not only efficiency improvement but also concerns associated with the product costs and environmental impacts should be addressed. Exergoeconomic analysis is a strong tool combining conventional exergy analysis with economic principles. This method of evaluation provides some useful information for designers and operators not obtainable with thermodynamic and economic tools, separately. Exergoeconomic analysis also gives some information about the economic influence of losses and irreversibilities on the system product cost [25].
The exergoeconomic and exergoenvironmental models of the integrated waste-fired CHP–ORC power plant are presented hereunder.

2.2.1. Exergoeconomic Analysis

The prerequisite for the exergoeconomic analysis is a precise exergy analysis of the system. Exergy is the minimum/maximum theoretical required/useful work of a system when it moves from an equilibrium state to the dead state (usually considered as standard ambient condition, 298 K, and 101 kPa) [26]. For a deep understanding of exergy definition and exergy analysis, the readers are referred to the textbooks of Szargut et al. [27] and Kotas [28]. Neglecting kinetic, potential, electrical, and surface tension effects, the overall exergy of material flow can be defined by the summation of physical and chemical exergies:
e x i = e x i p h + e x i c h
Specific chemical and physical exergies can be defined as
e x i i c h = i y i e x i c h + R ¯ T 0 i y i ln y i
e x i p h = h i h i 0 T 0 s i s i 0
Considering each component as a control volume, under the steady-state condition, exergy destruction in the kth component due to irreversibilities can be written as follows:
E ˙ x D , k = j 1 T 0 T j Q ˙ j W ˙ c v + i E ˙ x i o E ˙ x o
The exergy rate in each stream is defined as
E ˙ x i = m ˙ i e x i p h + e x i c h
Following the same method as regular thermo-economic analysis and calling the flow of resources of a system as ‘fuel (F)’, the flow of productions as ‘product (P)’, and the other remaining flows with no practical usefulness as ‘losses (L)’, a fuel-product (F-P) definition can be applied for the whole system (where, F-P ≥ irreversibilities) or any of the components of the system. Table 2 outlines the F-P equations for all of the components of the referenced waste-fired CHP–ORC plant with flue gas condensation. In this table, the total produced exergy is the exergy rate related to the net produced power as well as the exergy rate of supplying heat. The net produced power is defined as
W ˙ n e t = W ˙ S T + W ˙ O R C T W ˙ P U M P S
Moreover, the total input exergy of the system is the rate supplied by the municipal waste ( E ˙ x m w ) [21].
The next phase of exergoeconomic analysis is formulating the cost balance equation for different components. The cost balance equation reveals that the summation of the cost rates relates to the inlet exergy streams together with the general system costs (owing to capital investment, operating-maintenance costs, etc.) should be identical to the entire cost rates of the outlet exergy streams. Therefore, for the kth component cost balance equation is as follows:
i C ˙ i , k + C ˙ q + Z ˙ k = C ˙ w , k + e C ˙ e , k
where,
C ˙ k = c k × E ˙ x k
where C ˙ k , c k , and Z ˙ k are the cost rate related to exergy stream, the cost per unit of exergy, and the levelized capital investment cost of the components, respectively. The latter is obtained by applying the capital recovery factor as below [26]:
Z ˙ k = C R F × φ 3600 N Z k
C R F = i r ( 1 + i r ) m ( 1 + i r ) m 1
in which, Z ˙ k , φ , N , i r and m are the capital investment cost of the kth component, the maintenance factor (1.06 [26]), the system operating hours (7446 h per year [26]), the interest rate (4% for the case of Denmark) and the lifetime of the system (20 years), respectively. The number 7446 h based on the operation factor of 0.85 is proposed by Bejan et al. [26], meaning that a CHP plant is in service for 85% of the total annual 8760 h. Capital investment cost functions related to the key components of the referenced hybrid CHP–ORC system with flue gas condensation are listed in Table 3. It should be highlighted that the cost function considered for the incineration unit comprises the cost of the pollution control unit as well.
Several parameters such as the average cost per unit product exergy ( c P . k ), the average cost per unit fuel exergy ( c F . k ), exergoeconomic factor ( f k ) and the cost rate associated with the exergy destruction within each component ( C ˙ D . k ) are playing important roles in the economic analysis of the energy conversion systems. These parameters are formulated as follows [26]:
c P , k = C ˙ P , k E ˙ x P , k
c F , k = C ˙ F , k E ˙ x F , k
f k = Z ˙ k Z ˙ k + C ˙ D , k
C ˙ D , k = c F , k × E ˙ x D , k
In the cost balance equation formulated for a component (Equation (20)), there is no cost term obviously related to the exergy destruction. Consequently, the cost related to the exergy destruction of each component or process is a concealed cost, but a crucial parameter which is only shown by an exergoeconomic analysis.

2.2.2. Exergoenvironmental Analysis

One of the main objectives of the current research is to adequately address the environmental impact of the hybrid system and highlight it in the form of a sensible cost for society, and compare this cost with the conventional waste-driven CHP plant, via an exergoenvironmental analysis. Generally, there is still this argument whether a waste-fired technology is environmentally friendly because an incineration process releases pollutants. However, the true justification claims that the pollution emitted from the waste incineration process is negligible compared to that of landfilling the waste. The average emission from the landfilling of municipal solid waste sources is about 840 kg of CO2-e (equivalent CO2) per ton, whereas emission from the same amount of waste being incinerated is about 415 kg CO2-e per ton.
For the exergoenvironmental analysis of this study, the released CO2 and NOX out of a waste incineration process are taken into account. The mass flow rate of emitted CO2 is simply obtained from the combustion reaction molar balance, and the rate of generating NOX in terms of ‘gram per kg of fuel’ in the combustion chamber can be defined as follows [31]:
m ˙ N O x = 15 × 10 14 τ 0.5 exp ( 71100 T P Z ) P 0.05 Δ P 0.5 P
where τ represents the residence time in the combustion zone which is considered to be 0.002 s. P, ΔP, and TPZ are the incinerator inlet pressure, the non-dimensional pressure drop in the incinerator, and combustion flame temperature, respectively. The environmental cost associated with CO2 and NOX can be presented as the following equation:
C ˙ e n v = c N O x m ˙ N O x + c ˙ C O 2 m ˙ C O 2
In the above equation, c NOx and c CO 2 are supposed to be USD 6.853/kg and USD 0.024/kg, correspondingly.
In addition to the above function, this study reports the rate of the CO2-e emission of a waste incineration process, which is obtained as follows:
E C O 2 e = E λ G W P λ
where Eλ is the emission of various destructive greenhouse gases like CO2, N2O, etc. and GWPλ shows the global warming potential of the assumed greenhouse gas in comparison to the pollution of CO2 (ton of CO2 per ton of the given gas). Eλ is obtained as
E λ = μ λ ξ M
where μ λ is the emission concentration of the assumed gas, M is the waste mass, and ξ indicates the outlet gas volume. The values of M, ξ, and GWP are obtained from Ref. [32].
As such, a sustainability analysis is accomplished to quantify the sustainability index (SI) of the hybrid power plant. A sustainability analysis states that it is essential to not only use renewable and environmentally friendly energy sources but also to efficiently use available non-renewable sources to have a sustainable development [33]. The sustainability index indicates that there is a relationship among the exergy destruction and environmental impacts of a system defined by
S I = 1 D P = 1 E ˙ x i n , t o t a l E ˙ x D , t o t a l
In the end, it bears mentioning that a computer program is developed by using Engineering Equations Solver (EES) software by applying the cost balances equations as well as applicable auxiliary equations for system components. These equations, however, are accomplished by considering the fuel and product instructions in the SPECO method [34].

3. Results and Discussion

The results of the exergoeconomic and exergoenvironmental investigations carried out on the hybrid power plant are herein presented, discussed, and compared with those related to the simple CHP plant and the hybrid CHP–ORC plant without the waste heat recovery loop. For this, first of all, the optimal technical operation of the plant found in [21] is reviewed quickly.
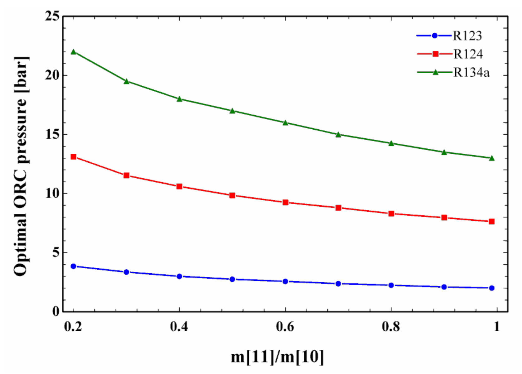
The optimal values of the ORC higher pressure in different levels of ORC supply rates (m11/m10) for various working fluids are shown in Figure 2. Note that the corresponding pressure to the maximum value of the generated power in the ORC system is determined as its optimal pressure. As can be seen from this figure, the lowest operating pressure belongs to the R123 which can be considered as an advantage for this working fluid from a turbomachinery point of view.
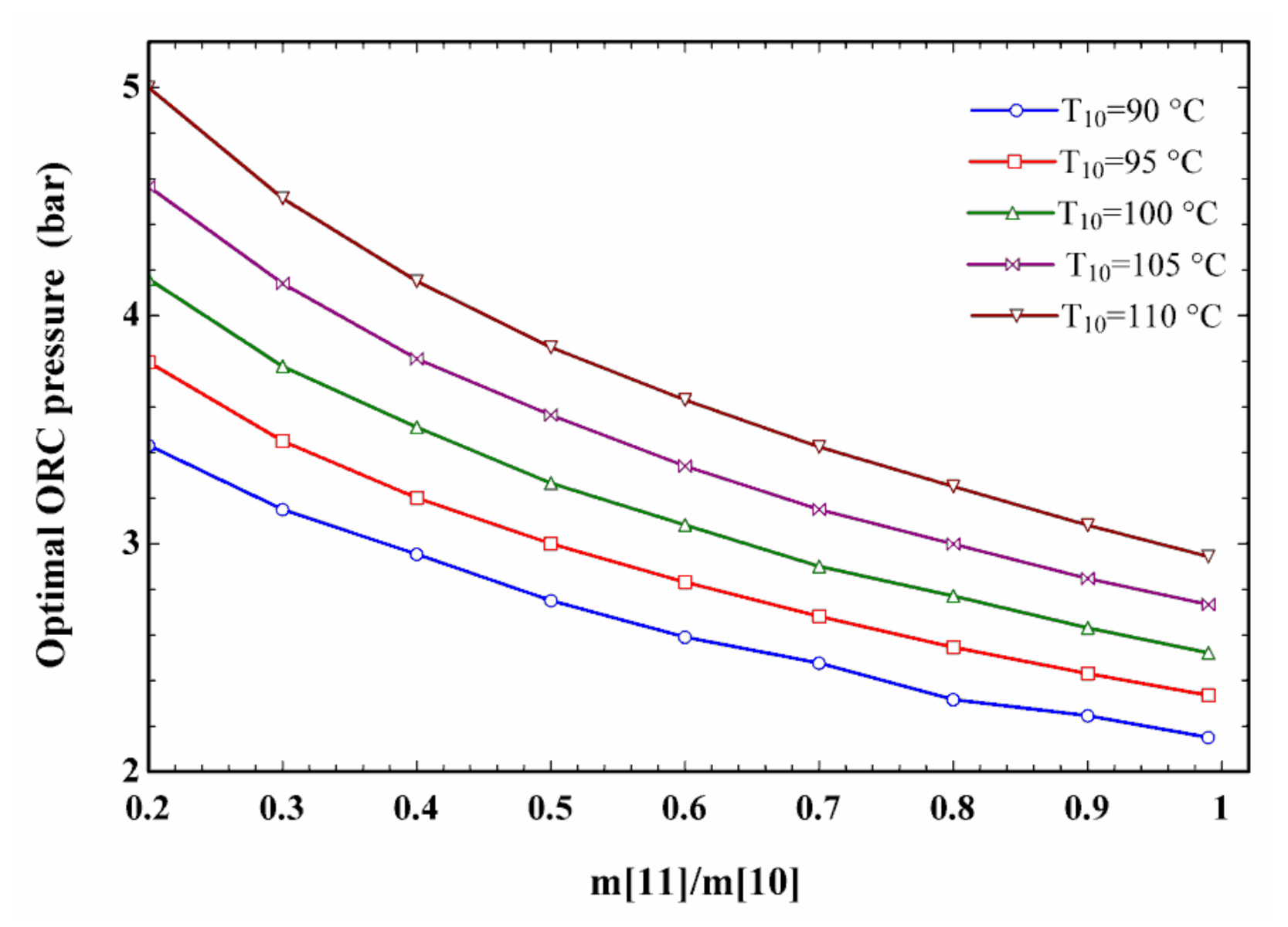
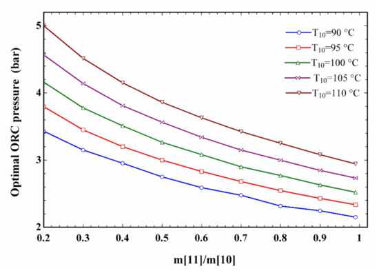
In Figure 2, the ORC heat source temperature is supposed to be 90 °C. Naturally, the variation in the source temperature affects the obtained optimal pressure values. Figure 3 illustrates the effect of changing the source temperature of the ORC on the optimal pressure of the cycle. This figure is presented for the working fluid of R123 only because the same trend is observed for the other two working fluids as well. Referring to Figure 3, increasing the ORC heat source temperature results in higher optimal pressure levels. It should be mentioned that since the ORCT inlet flow is supposed to be in the saturated vapor condition, then a higher source temperature leads to a higher evaporation temperature and higher operating pressure as well.
Table 4 indicates the technical measures related to the first thermodynamic law (energy analysis). One needs this information for accomplishing the aimed analyses. In the proposed design, a share of the high-temperature water in the first heat exchanger goes to the evaporator for running the ORC unit, while the remaining is exploited for heat generation. The ORC unit works based on the optimum evaporator pressure matching with the maximum power output. Recovering the waste heat of the base system increases the performance of the power plant from the perspective of both power and heat generation. In a common power plant, a rise in the exit pressure of the steam turbine is required to support it for providing the needed temperature for the district heating supply. As waste heat recovery can be used for the additional reheating of the pressurized water, the heating of the pressurized water up to the ultimate temperature is not necessary through the CHP condenser, generating more power in the main system. As such, more power is likely to be produced by the ORC unit when the waste heat recovery unit is added to the system resulting from the greater temperature rate of heat supply for the ORC section. Furthermore, around 0.6 MW (megawatt) further supplied heat is delivered as a consequence of recovering a share of the outlet heat (see HX4 in Figure 1) and an increase for the mass flow rate of the pressurized hot water. In addition, as can be seen, changing the ORC working fluid does not affect the entire system performance considerably. This is because only a small share of power is produced by ORC and the main share refers to the steam turbine.
As presented in Table 4, applying various organic fluids in the ORC has an insignificant impact on the system’s thermodynamic performance. The same justification can be perceived in Figure 4, in which quantities of the net generated power in the ORC unit are analyzed and compared for different working fluids and ORC supply rates. Hence, reporting the technical and economic results attained for one of them in the following seems to be reasonable. However, this figure shows the effect of flue gas condensation on the net produced power by the ORC unit which is considered in this study for the first time.
Results associated with the exergoeconomic analysis are reported in detail in Table 5, Table 6 and Table 7 for the conventional CHP plant, the hybrid CHP–ORC system, and the hybrid CHP–ORC with flue gas condensation, respectively. In all of these three cases, it is supposed that the system operates with a capacity of 1 kg/s municipal waste and pressurized hot water temperature of 90 °C providing heat for the local district heating network via HX2. When a small-scale ORC is coupled to the CHP plant (Table 6 and Table 7), it is assumed that half of the heated water is applied to drive the ORC and the rest is used to provide the domestic heating.
According to the tables, since an incinerator comes with various origins of irreversibility, i.e., combustion, mixing, temperature difference, etc., [35], it is responsible for the highest rate of exergy destruction between all components, resulting in the lowest exergetic efficiency as well. Dehghanipour and Ajam [36] demonstrated that a substantial part of the exergy destruction of a waste incineration power plant happens in the incinerator, the steam generator, and the turbine. This is compatible with the information given in the tables below. As seen, the exergy destruction and exergy efficiency of the incinerator are the same for the simple CHP and hybrid CHP–ORC plants because the incinerator (including the steam generator) operates under the same condition in both systems and employing an ORC unit does not affect its exergetic/energetic performance. In the hybrid system with flue gas condensation, the steam turbine outlet pressure is a bit lower. Therefore, the recycled water to the boiler has a lower temperature and results in a little higher exergy destruction in the incinerator. In addition, the capital cost of the incinerator (including the boiler and pollution control unit) is the highest among all of the components. The levelized cost of USD 231.5/h is the same for the incinerator of all the cases because the incinerator cost is a function of just feeding municipal waste. Furthermore, an exergoeconomic factor of around 76% is obtained for this component. The exergoeconomic factor is applied for comparing the rate of investment cost with the rate of the cost of irreversibility. Thereby, the obtained exergoeconomic factor implies that the capital investment cost of the incinerator is dominant in comparison to the cost rate related to exergy destruction.
Concerning the steam turbine, as Table 7 represents, exergy destruction in the plant with waste heat recovery is greater than that reported for the other two cases. As mentioned before, a decrease in the steam turbine exit pressure is implemented and thereby both the produced power and destroyed exergy increase in this way. Compared with the incinerator, the steam turbine has a lower exergoeconomic factor, indicating that the cost of exergy destruction in this component has a significant effect so that an enhancement in the exergetic performance of the turbine increases the whole system economic index.
The lowest exergoeconomic factor in the simple CHP plant belongs to the HX1 followed by HX2 with the exergy destruction rates of, respectively, 384 and 138.9 kW, showing that the cost of irreversibility in these components has more effect than the investment cost on their economic performance. In fact, the exergy destruction of these components is mainly because of the temperature difference among the hot and cold streams, indicating the need for paying great attention to these components. When the ORC unit is added to improve the share of electricity production, the lowest exergoeconomic factor is for the ORC evaporator. The exergoeconomic factor of around 2.4% and the second law efficiency of around 73% show that much can be done to improve the evaporator exergetic, and consequently, economic performances. One can say that almost all the cost of Evap that has been imposed on the system is due to the exergy destruction within this component. It seems that the organic working fluid evaporation and the temperature mismatching between the hot and cold streams are the main reasons for the irreversibility in this component.
Reconsidering the tables, one finds the highest exergoeconomic factor for the pump employed in the steam cycle. In this way, replacing the pump with a cheaper one can be suggested to cure the system’s economic performance. However, it is necessary to mention that the recommendations made for improving the economic performance of each component utilized in the systems do not necessarily mean an improvement in the whole system performance. This is since the performance of the other equipment can be reduced by changing the operational condition or characteristics of the others.
Overall, regarding the whole system, the exergy destruction in the plant with flue gas condensation is the lowest. Note that the exergy flow discharged to the atmosphere by the effluent is considered as an exergy loss flow when calculating the total exergy destruction rate of the plants. Moreover, as it is proven in Ref. [21], for the case of a hybrid CHP–ORC plant, when the ORC supply rate is half of the heated water, the exergy efficiency will hit its minimum value. This is why the exergy efficiency of the simple CHP plant is higher than that of the hybrid cycle.
Table 8 outlines the exergy rates, unit exergy cost, and levelized costs of different states in the plant with flue gas condensation. As listed, the unit cost of produced power by the steam turbine is USD 17.82/GJ which is comparable with that reported in the exergoeconomic analysis of a municipal waste-to-energy steam reheat power plant for Port Harcourt city [22]. Additionally, the cost of extra electricity produced by the ORC is much higher than that produced by the steam turbine. The average unit cost of supplied fuel for the individual component is the main reason for this. As reported in Table 8, the unit cost of supplied fuel for the ORC turbine (c17) is USD 30.88/GJ, while it takes the value of USD 14.94/GJ for the case of the steam turbine (c6). Referring to this table, and the results associated with energy analysis, the average unit cost of the electricity and heat produced by the proposed CHP are USD 20.07/GJ and USD 17.96/GJ, respectively.
The results associated with the environmental impact of the plants are presented in Table 9. As can be seen, the level of pollution is equivalent to a cost of USD 210.7 for the systems. Since in all three scenarios, the systems are operating with a capacity of 1 kg/s MW, the released pollution (available in the effluent) and their equivalent costs are the same. Therefore, the sustainability index and the CO2-e per produced exergy are considered to show a bigger picture of the environmental impact of each system. As seen, the highest SI refers to the plant with flue gas condensation due to recovering the available exergy in the effluent and produce more exergy compared with the other two plants. The lowest SI belongs to the hybrid CHP–ORC plant, which is mainly because improving the power share via employing the ORC decreases the supplied heat and subsequently, the exergy rate related to the exchanged heat. However, it should not be neglected that enhancing the power share of the power plant energy output via adding an ORC unit is a valuable benefit that this case is also offering compared to the conventional waste-fired CHP plant.
As mentioned before, in the present research, an average emission of 0.415 kg of CO2-e for the incineration of 1 kg of MW is considered. To show the effect of modifying the system configuration, this parameter is divided into the total produced exergy by each system ( CO 2 e / E ˙ p r o d u c e d ) and listed in Table 9. As expected, the hybrid CHP–ORC plant has the highest equivalent CO2 emission, while the plant with flue gas condensation has the lowest one.
The results of a sensitivity analysis carried out on the thermodynamic and economic performance of the system versus various important parameters are presented and discussed hereunder. Here, the results are only related to the waste-driven hybrid CHP–ORC with flue gas condensation. For this sensitivity analysis, it was assumed that all the other parameters were fixed as the effect of changing the value of a certain parameter was assessed.
Figure 5 shows how the electrical and exergy efficiencies of the plant vary as the steam turbine inlet temperature rises. As seen, this has a direct effect on both of these parameters in an almost linear format so that when the steam turbine inlet temperature increases from 773 to 873 K (500–600 °C), the electrical and exergy efficiencies change from 25.87% to 26.9% and from 27.24% to 28.06%, respectively. In this study, however, the turbine inlet temperature of 550 °C is considered in the system modeling due to technical limitations.
Observations confirm that growing the turbine inlet temperature in the same range as above decreases the cost of generated power in the steam turbine from USD 17.99/GJ to USD 17.66/GJ and decreases the cost of supplied heat via HX2 from USD 18.61/GJ to USD 18.28/GJ. This is shown in Figure 6.
Figure 7 illustrates how the isentropic efficiency of the turbines affects the cost of power production in the system. As shown, a reduction in the cost of produced power is achieved when the isentropic efficiency of the turbines increases. In fact, the figure reveals that although increasing the turbine isentropic efficiency leads to higher values of capital investment cost, the effect of the enhancement in the amount of output electricity is stronger economically. According to the figure, increasing the isentropic efficiency from 0.85 to 0.95 results in USD 0.33/GJ and USD 0.59/GJ drop in the cost of produced power for the ST and ORCT, respectively. Isentropic efficiency of 0.9 and 0.85 is supposed for ST and ORCT in the system modeling, respectively.
The impact of the ambient temperature on the system performance is examined in Figure 8, Figure 9 and Figure 10. According to Figure 8, the ambient temperature growth reduces the exergy efficiency of the system. As the main part of the district heating supply in the system is via HX2, the cost of heat supply via this heat exchanger is evaluated. According to the figure, an increase in the ambient temperature causes a higher value of heat supply cost. This is mainly due to a reduction in the rate of delivered thermal exergy, while the initial capital cost of equipment is fixed. As such, it can be read from the figure that increasing the ambient temperature causes an increment in the cost of steam turbine power, while it decreases the cost of ORCT power. The net output power and exergy rate of the incinerated municipal waste are independent of the ambient temperature and decreasing the exergy rate associated with the lower supplied heat is the main reason for the exergy efficiency reduction.
As seen in Figure 9, as the weather becomes warmer, the rate of exergy supplied via the HX2 and HX4 decreases almost linearly.
Figure 10 investigates the fuel exergy cost of the ST and the ORCT versus the ambient temperature. As seen, growing the ambient temperature rises the fuel exergy cost of ST and reduces the fuel exergy cost of the ORCT.
Figure 11 specifies the alteration in the cost of generating electricity by changing the unit cost of MW. As shown, increasing the unit cost of MW results in a linear growth in the cost of electricity generation via both ORCT and ST. MW is the input fuel for the whole system and a higher value for its cost will raise the cost of products. When the unit cost of MW changes from USD 1.5/GJ to USD 2.5/GJ, the cost of produced power by the ST and ORCT increases from USD 16.57/GJ to USD 19.08/GJ and from USD 34.78/GJ to USD 39.97/GJ, correspondingly. The unit cost of MW is considered to be USD 2/MJ in the modeling of this work, as stated by Jack et al. [22].

4. Conclusions

Considering the increasing trend for energy demand in recent years resulting from population growth and the development of industrial divisions, modifying the current energy systems with the aim of efficiency improvement and heat loss reduction, like those applied in this study, can be a promising idea for sustainable development. In this regard, a comprehensive exergoeconomic and exergoenvironmental analysis of the integrated waste-driven CHP–ORC plant with a flue gas condensation unit was carried out in this study and the results were compared with simple conventional waste-fired CHP plants and the hybrid system, while no flue gas condensation unit is hired. Thus, it can be considered as a great modification from both technical and environmental viewpoints. The proposed configuration is a strong general model which can be applied for various application such as district cooling and heating in different regions and conditions.
The results of the analysis indicate that the most important exergy destruction term relates to the incineration with a levelized cost of approximately USD 71/h for a power plant with almost 3.3 MW electricity output capacity. The hybridization proposal with the flue gas condensation unit increases the sustainability index of the system from 1.264 to 1.28. It was shown that the unit cost of generated power by the steam turbine is USD 17.82/GJ while the cost of the generated extra power by the ORC is much higher than that. The unit cost of supplied fuel for the ORC turbine is USD 30.88/GJ it is USD 14.94/GJ for the steam turbine. The sensitivity analysis reveals that ambient temperature has diverse impacts on the CHP part and the ORC part. The growth of the ambient temperature will decrease the overall exergy efficiency of the system, causing a higher value of heat supply cost, and bringing an increment in the cost of steam turbine power, while decreasing the cost of ORCT power. Generally, it is concluded that adding the ORC unit to the CHP plant improves the net power generation of the system but decreases the exergetic efficiency. Therefore, for making this integration feasible exergoeconomically, the flue gas condensation unit should be added to the hybrid system.

Author Contributions

Conceptualization, formal analysis, investigation, methodology, and writing the original draft have been done—H.N. Supervision, funding acquisition, reviewing the original draft, and editing have been done—A.A.-M. Methodology, supervision, writing—review, and editing have been done—A.A. Participating in investigation, methodology, validation, and writing—review have been done—A.R.R. All authors have read and agreed to the published version of the manuscript.

Funding

This research received no external funding.

Acknowledgments

A.A.-M. acknowledges support of the “HeatReFlex-Green and Flexible District Heating/Cooling” project (www.heatreflex.et.aau.dk) funded by the Danida Fellowship Centre and the Ministry of Foreign Affairs of Denmark to conduct research in growth and transition countries under the grant no. 18-M06-AAU.

Conflicts of Interest

The authors declare no conflict of interest.

Nomenclature

Aheat transfer surface area (m2)
ccost per exergy unit (USD/GJ)
CRFcapital recovery factor
C ˙ cost flow rate (USD/s)
DHdistrict heating
especific physical exergy (kJ/kg)
Evapevaporator
E x ˙ exergy flow rate (kW)
FWTfeed water tank
GJgigajoule
hspecific enthalpy (kJ/kg)
HXheat exchanger
HPThigh pressure turbine
Incinincinerator
IPTintermediate pressure turbine
LHVlow heating value (kJ/kg)
LPTlow pressure turbine
MWmunicipal waste
m ˙ mass flowrate (kg/s)
ORCCORC condenser
ORCPORC pump
ORCTORC turbine
Ppump
Q ˙ heat transfer rate (kW)
Rgas constant (kJ/kg K)
sspecific entropy (kJ/kg K)
STsteam turbine
Ttemperature
Uoverall heat transfer coefficient (kW/m2 K)
W ˙ power (kW)
Zkcapital investment cost (USD)
Z ˙ levelized investment cost of the system components (USD/s)
Greek letters
εexergy efficiency
ηenergy efficiency (-)
Subscripts
chchemical
Ddestruction
envenvironmental
ininlet condition
isisentropic
kkth component
ORCGORC unit generator
outoutlet condition
phphysical
0ambient condition

References

  1. Diesendorf, M.; Elliston, B. The feasibility of 100% renewable electricity systems: A response to critics. Renew. Sustain. Energy Rev. 2018, 93, 318–330. [Google Scholar] [CrossRef]
  2. Kester, J.; Noel, L.; De Rubens, G.Z.; Sovacool, B.K. Policy mechanisms to accelerate electric vehicle adoption: A qualitative review from the Nordic region. Renew. Sustain. Energy Rev. 2018, 94, 719–731. [Google Scholar] [CrossRef]
  3. European Commission. The Role of Waste-to-Energy in the Circular Economy. 2017. Available online: https://ec.europa.eu/environment/waste/waste-to-energy.pdf (accessed on 13 November 2020).
  4. Rydén, B.; Johnsson, J.; Wene, C.-O. CHP production in integrated energy systems examples from five Swedish communities. Energy Policy 1993, 21, 176–190. [Google Scholar] [CrossRef]
  5. Eriksson, O.; Finnveden, G.; Ekvall, T.; Björklund, A. Life cycle assessment of fuels for district heating: A comparison of waste incineration, biomass- and natural gas combustion. Energy Policy 2007, 35, 1346–1362. [Google Scholar] [CrossRef]
  6. Tobiasen, L.; Kamuk, B. Waste to energy (WTE) systems for district heating. In Waste to Energy Conversion Technology; Elsevier BV: Amsterdam, The Netherlands, 2013; pp. 120–145. [Google Scholar]
  7. Tomić, T.; Dominković, D.F.; Pfeifer, A.; Schneider, D.R.; Pedersen, A.S.; Duić, N. Waste to energy plant operation under the influence of market and legislation conditioned changes. Energy 2017, 137, 1119–1129. [Google Scholar] [CrossRef]
  8. Münster, M.; Meibom, P. Optimization of use of waste in the future energy system. Energy 2011, 36, 1612–1622. [Google Scholar] [CrossRef]
  9. Yang, Y.; Wang, J.; Chong, K.; Bridgwater, A. A techno-economic analysis of energy recovery from organic fraction of municipal solid waste (MSW) by an integrated intermediate pyrolysis and combined heat and power (CHP) plant. Energy Convers. Manag. 2018, 174, 406–416. [Google Scholar] [CrossRef]
  10. Nami, H.; Arabkoohsar, A.; Anvari-Moghaddam, A. Thermodynamic and sustainability analysis of a municipal waste-driven combined cooling, heating and power (CCHP) plant. Energy Convers. Manag. 2019, 201, 112158. [Google Scholar] [CrossRef]
  11. Nami, H.; Anvari-Moghaddam, A.; Arabkoohsar, A. Thermodynamic, Economic, and Environmental Analyses of a Waste-Fired Trigeneration Plant. Energies 2020, 13, 2476. [Google Scholar] [CrossRef]
  12. Tchanche, B.F.; Lambrinos, G.; Frangoudakis, A.; Papadakis, G. Low-grade heat conversion into power using organic Rankine cycles—A review of various applications. Renew. Sustain. Energy Rev. 2011, 15, 3963–3979. [Google Scholar] [CrossRef]
  13. Lecompte, S.; Huisseune, H.; Broek, M.V.D.; Vanslambrouck, B.; De Paepe, M. Review of organic Rankine cycle (ORC) architectures for waste heat recovery. Renew. Sustain. Energy Rev. 2015, 47, 448–461. [Google Scholar] [CrossRef]
  14. Vélez, F.; Chejne, F.; Antolin, G.; Quijano, A. Theoretical analysis of a transcritical power cycle for power generation from waste energy at low temperature heat source. Energy Convers. Manag. 2012, 60, 188–195. [Google Scholar] [CrossRef]
  15. Landelle, A.; Tauveron, N.; Haberschill, P.; Revellin, R.; Colasson, S. Organic Rankine cycle design and performance comparison based on experimental database. Appl. Energy 2017, 204, 1172–1187. [Google Scholar] [CrossRef]
  16. Hoang, A.T. Waste heat recovery from diesel engines based on Organic Rankine Cycle. Appl. Energy 2018, 231, 138–166. [Google Scholar] [CrossRef]
  17. Park, B.-S.; Usman, M.; Imran, M.; Pesyridis, A. Review of Organic Rankine Cycle experimental data trends. Energy Convers. Manag. 2018, 173, 679–691. [Google Scholar] [CrossRef]
  18. Mahmoudi, A.; Fazli, M.; Morad, M. A recent review of waste heat recovery by Organic Rankine Cycle. Appl. Therm. Eng. 2018, 143, 660–675. [Google Scholar] [CrossRef]
  19. Nami, H.; Arabkoohsar, A. Improving the power share of waste-driven CHP plants via parallelization with a small-scale Rankine cycle, a thermodynamic analysis. Energy 2019, 171, 27–36. [Google Scholar] [CrossRef]
  20. Jørgensen, L.F.; Villholth, K.G.; Refsgaard, J.C. Groundwater management and protection in Denmark: A review of pre-conditions, advances and challenges. Int. J. Water Resour. Dev. 2016, 33, 868–889. [Google Scholar] [CrossRef]
  21. Tabasová, A.; Kropáč, J.; Kermes, V.; Nemet, A.; Stehlík, P. Waste-to-energy technologies: Impact on environment. Energy 2012, 44, 146–155. [Google Scholar] [CrossRef]
  22. Jack, T.A.; Oko, C.O.C. Exergy and exergoeconomic analysis of a municipal waste-to-energy steam reheat power plant for Port Harcourt city. Int. J. Ambient. Energy 2017, 39, 352–359. [Google Scholar] [CrossRef]
  23. Pantaleo, A.M.; Ciliberti, P.; Camporeale, S.M.; Shah, N. Thermo-economic assessment of small scale biomass chp: Steam turbines vs orc in different energy demand segments. Energy Procedia 2015, 75, 1609–1617. [Google Scholar] [CrossRef][Green Version]
  24. Sadi, M.; Arabkoohsar, A. Modelling and analysis of a hybrid solar concentrating-waste incineration power plant. J. Clean. Prod. 2019, 216, 570–584. [Google Scholar] [CrossRef]
  25. Tsatsaronis, G.; Lin, L.; Pisa, J. Exergy Costing in Exergoeconomics. J. Energy Resour. Technol. 1993, 115, 9–16. [Google Scholar] [CrossRef]
  26. Bejan, A.; Tsatsaronis, G. Thermal Design and Optimization; John Wiley & Sons: Hoboken, NJ, USA, 1996. [Google Scholar]
  27. Szargut, J. Exergy Method: Technical and Ecological Applications; WIT Press: Southampton, UK, 2005; Volume 18. [Google Scholar]
  28. Kotas, T. The Exergy Method of Thermal Plant Analysis; Elsevier BV: Amsterdam, The Netherlands, 1985. [Google Scholar]
  29. Baghernejad, A.; Yaghoubi, M. Exergoeconomic analysis and optimization of an Integrated Solar Combined Cycle System (ISCCS) using genetic algorithm. Energy Convers. Manag. 2011, 52, 2193–2203. [Google Scholar] [CrossRef]
  30. Taal, M. Cost estimation and energy price forecasts for economic evaluation of retrofit projects. Appl. Therm. Eng. 2003, 23, 1819–1835. [Google Scholar] [CrossRef]
  31. Ahmadi, P.; Dincer, I.; Rosen, M.A. Exergo-environmental analysis of an integrated organic Rankine cycle for trigeneration. Energy Convers. Manag. 2012, 64, 447–453. [Google Scholar] [CrossRef]
  32. Johnke, M.K.B.; Hoppaus, R.; Lee, E.; Irving, B.; Martinsen, T. Good Practice Guidance and Uncertainty Management in National Greenhouse Gas Inventories; Intergovernmental Panel on Climate Change (IPCC): Kanagawa, Japan, 2000. [Google Scholar]
  33. Dincer, I.; Joshi, A.S. Solar Based Hydrogen Production Systems; Springer: Berlin/Heidelberg, Germany, 2013. [Google Scholar]
  34. Lazzaretto, A.; Tsatsaronis, G. SPECO: A systematic and general methodology for calculating efficiencies and costs in thermal systems. Energy 2006, 31, 1257–1289. [Google Scholar] [CrossRef]
  35. Bejan, A. Advanced Engineering Thermodynamics; John Wiley & Sons: Hoboken, NJ, USA, 2016. [Google Scholar]
  36. Dehghanipour, A.; Ajam, H. Exergoeconomic Analysis of a Steam Power Plant in Iran. Appl. Mech. Mater. 2011, 110, 3465–3470. [Google Scholar] [CrossRef]
Figure 1. The outline of the revised waste-fired combined heat and power (CHP) plant with a flue gas condensation stream.
Figure 1. The outline of the revised waste-fired combined heat and power (CHP) plant with a flue gas condensation stream.
Sustainability 12 09449 g001
Figure 2. ORC optimal pressure in different levels of ORC supply rates for various working fluids (for a heat source temperature of 90 °C).
Figure 2. ORC optimal pressure in different levels of ORC supply rates for various working fluids (for a heat source temperature of 90 °C).
Sustainability 12 09449 g002
Figure 3. ORC optimal pressure in different heat source temperatures for the case of R123.
Figure 3. ORC optimal pressure in different heat source temperatures for the case of R123.
Sustainability 12 09449 g003
Figure 4. The produced power in the ORC unit with different working fluids for different amounts of m11/m10.
Figure 4. The produced power in the ORC unit with different working fluids for different amounts of m11/m10.
Sustainability 12 09449 g004
Figure 5. Electrical and exergy efficiencies versus the steam turbine inlet temperature.
Figure 5. Electrical and exergy efficiencies versus the steam turbine inlet temperature.
Sustainability 12 09449 g005
Figure 6. Cost of produced power by the ST and supplied heat via HX2 versus the steam turbine inlet temperature.
Figure 6. Cost of produced power by the ST and supplied heat via HX2 versus the steam turbine inlet temperature.
Sustainability 12 09449 g006
Figure 7. Cost of produced power versus the steam and ORC turbines inlet temperatures.
Figure 7. Cost of produced power versus the steam and ORC turbines inlet temperatures.
Sustainability 12 09449 g007
Figure 8. A change in the cost of generated power in turbines, the cost of supplied heat through HX2, and exergy efficiency with ambient temperature variations.
Figure 8. A change in the cost of generated power in turbines, the cost of supplied heat through HX2, and exergy efficiency with ambient temperature variations.
Sustainability 12 09449 g008
Figure 9. Change in the rate of supplied heat exergy with ambient temperature.
Figure 9. Change in the rate of supplied heat exergy with ambient temperature.
Sustainability 12 09449 g009
Figure 10. Fuel exergy cost of ST and ORCT versus the ambient temperature.
Figure 10. Fuel exergy cost of ST and ORCT versus the ambient temperature.
Sustainability 12 09449 g010
Figure 11. Cost of the power produced by turbines versus the unit cost of MW.
Figure 11. Cost of the power produced by turbines versus the unit cost of MW.
Sustainability 12 09449 g011
Table 1. Technical and physical characteristics of the proposed combined concept.
Table 1. Technical and physical characteristics of the proposed combined concept.
ItemInformation/ValueRef.
Flue gas outlet temperature (°C)45-
Considered working fluids for the ORCR124
R134a
Design condition of the ORC turbine (°C/MPa)Sat. Vap
0.7–1.3
1.2–2.2
The temperature of the ORC condenser (°C)10
Evaporator/condenser pinch point temperature difference (°C)5/3
Condenser coolant temperature and pressure (°C and MPa)5–7 and 0.12
Properties of the municipal solid wasteValues-
Waste mass compositionsAsh0.0591[22]
Carbon0.4718
Hydrogen0.0625
Oxygen0.3957
Nitrogen0.0091
Sulfur0.0018
LHV of the waste (MJ/kg)12.500[22]
Combustion extra air (%)80.0[23]
Temperature of the gasses after combustion (°C)1100.0[24]
Temperature of the flue gas at the beginning of stack (°C)165.0[24]
HPT inlet temperature and pressure (°C and MPa)550 and 10[24]
IPT inlet temperature and pressure (°C and MPa)500 and 3
LPT inlet temperature and pressure (°C and MPa)300 and 0.25
LPT outlet temperature and pressure (°C and MPa)90 and 0.07 (vapor)
Condenser outlet temperature and pressure (°C and MPa)90 and 0.07 (condensed)
DH supply stream temperature and pressure (°C and MPa)80 and 1.2
DH return stream temperature and pressure (°C and MPa)40 and 1.2
Table 2. Fuel (F)-product (P) definition for the different components of the hybrid system [26].
Table 2. Fuel (F)-product (P) definition for the different components of the hybrid system [26].
ComponentsFuelProductNumber
Incinerator E ˙ x 1 + E ˙ x 2 + E ˙ x 9 E ˙ x 4 + E ˙ x 5 (7)
ST E ˙ x 5 E ˙ x 6 W ˙ S T (8)
P1 W ˙ P 1 E ˙ x 9 E ˙ x 8 (9)
FWT2 E ˙ x 13 + E ˙ x 16 E ˙ x 14 (10)
Evap E ˙ x 15 E ˙ x 16 E ˙ x 17 E ˙ x 20 (11)
P2 W ˙ P 2 E ˙ x 13 E ˙ x 12 (12)
ORCT E ˙ x 17 E ˙ x 18 W ˙ O R C T (13)
ORCP W ˙ O R C P E ˙ x 20 E ˙ x 19 (14)
HX1 E ˙ x 6 E ˙ x 7 E ˙ x 10 E ˙ x 14 (15)
HX2 E ˙ x 11 E ˙ x 12 E ˙ x 22 E ˙ x 21 (16)
HX3 E ˙ x 4 E ˙ x 23 E ˙ x 11 + E ˙ x 15 E ˙ x 10 (17)
HX4 E ˙ x 23 E ˙ x 24 E ˙ x 26 E ˙ x 25 (18)
Total E ˙ x m w W ˙ n e t + E ˙ x 22 + E ˙ x 26 E ˙ x 21 E ˙ x 25 (19)
Table 3. Cost functions for the key components of the proposed system [22,29,30].
Table 3. Cost functions for the key components of the proposed system [22,29,30].
ComponentsCost FunctionsNumber
Incinerator Z I n c i n = 275.8 m ˙ m w + 18231500 (24)
ST Z S T = 6000 W ˙ S T 0.6 (25)
P1 Z P 1 = 3540 W ˙ P 1 0.65 (26)
Evap Z E v a = 309.14 A E v a 0.85 (27)
P2 Z P 2 = 3540 W ˙ P 2 0.65 (28)
ORCT Z O R C T = 4750 W ˙ O R C T 0.75 (29)
ORCP Z O R C P = 200 W ˙ O R C P 0.65 (30)
ORCC Z O R C C = 516.62 A O R C C 0.6 (31)
HX1 Z H E 1 = 516.62 A H E 1 0.6 (32)
HX2 Z H E 2 = 309.14 A H E 2 0.85 (33)
HX3 Z H E 3 = 309.14 A H E 3 0.85 (34)
HX4 Z H E 4 = 309.14 A H E 4 0.85 (35)
Table 4. Technical properties of the conventional and modified integrated concepts.
Table 4. Technical properties of the conventional and modified integrated concepts.
Parameter (Unit)Conventional ConceptModified Concept
With R123With R124/R134a
An hourly mass flowrate of the fuel (kg/h)3600.000
Transferred heat to the water within the boiler (MW)12.500
HX1 outlet water temperature (°C)90.00085.00085.000/85.000
Steam cycle outlet power (MW)2.8602.9202.920/2.920
ORC outlet power (MW)0.3400.3700.380/0.380
Net outlet power (MW)3.2003.2903.300/3.300
Pressure of the turbine exhaust (bar)0.8500.7100.710/0.710
The heat content of the exhaust (wasted) (MW)3.2401.7001.700/1.700
The temperature of the outlet flue gas (°C)165.00045.00045.000/45.000
Heat injected to DH grid (MW)3.4804.0704.070/4.070
Energy efficiency (%)53.75059.11059.110/59.110
Electrical efficiency (%)25.9026.58026.580/26.580
Obtained payback time (Year)7.4006.7006.700/6.700
Table 5. Results of the exergoeconomic analysis for the waste-fired simple CHP plant.
Table 5. Results of the exergoeconomic analysis for the waste-fired simple CHP plant.
Components E x D ˙ ( KW ) ɛ (%)cf (USD/GJ)cp (USD/GJ) Z ˙ C ˙ D ( USD / h ) f (%)
Incinerator983231.83214.85231.570.7976.58
Steam turbine247.892.1314.917.7716.6713.2955.4
Pump11.794.817.7722.690.450.1180.16
HX138473.9814.920.340.766820.63.589
HX2138.987.2820.3423.71.36310.1711.82
Plant11409.726.71219.09250.7576.3576.66
Table 6. Results of the exergoeconomic analysis for waste-fired hybrid CHP–ORC system.
Table 6. Results of the exergoeconomic analysis for waste-fired hybrid CHP–ORC system.
Components E x D ˙ ( KW ) ɛ (%)cf (USD/GJ)cp (USD/GJ) Z ˙ C ˙ D ( USD / h ) f (%)
Incinerator983231.83214.85231.570.7976.58
Steam turbine247.892.1314.917.7716.6713.2955.4
Pump11.794.817.7722.690.450.1180.16
HX1350.476.2514.919.740.80218.84.1
HX277.0187.2819.8123.160.87814.49213.79
ORCT32.3890.3731.137.733.623.62549.97
ORCP0.37584.3537.7345.230.00370.0516.77
ORCC45.9-31.132.250.26135.1394.839
Evap136.173.6319.8127.080.24049.7032.417
ORC214.758.3919.8137.734.12515.3121.22
Plant11743.3725.85219.99254.477.2176.72
Table 7. Results of the exergoeconomic analysis for the waste-fired hybrid system with flue gas condensation.
Table 7. Results of the exergoeconomic analysis for the waste-fired hybrid system with flue gas condensation.
Components E x D ˙ ( KW ) ɛ (%)cf (USD/GJ)cp (USD/GJ) Z ˙ C ˙ D ( USD / h ) f (%)
Incinerator984931.72214.89231.570.9176.55
Steam turbine255.992.0314.917.8216.8913.7655.09
Pump11.794.817.8222.750.440.1180.26
HX1317.477.714.9419.560.845617.074.72
HX287.8587.2819.8123.140.96756.26513.38
HX373.8873.5115.0420.710.18664.04.458
HX412.8287.1915.0418.340.34410.733.15
ORCT36.9390.3730.8837.383.9954.149.32
ORCP0.4384.3537.3844.80.0040.0576.54
ORCC52.36-30.8832.050.29815.8214.871
Evap155.273.6319.8127.070.268811.072.371
ORC244.958.3919.8137.384.56617.4720.73
Plant11261.3727.65220.18255.778.0776.71
Table 8. Exergy flow rates, unit exergy costs, and cost flow rate for the waste-fired hybrid CHP–ORC system with flue gas condensation.
Table 8. Exergy flow rates, unit exergy costs, and cost flow rate for the waste-fired hybrid CHP–ORC system with flue gas condensation.
State Point E x ˙   k W c   U S D / G J C   ˙ ( U S D / h )
114,4232103.86
2000
3---
4166615.0490.18
5472414.94254.124
6151514.9481.468
7118.714.946.3864
8118.714.946.3864
9149.816.568.928
10163119.7115.668
11918.219.8165.484
12227.619.8116.2288
13227.619.8116.2288
14552.719.9739.744
15918.219.8165.484
16329.519.8123.5008
17436.330.8848.492
1852.8930.885.8788
190.535830.505.8824
202.84161.156.2532
21153.600
22756.318.4450.22
23138715.0475.06
24128715.0469.66
2522.2300
26109.514.625.76
W ˙ ST 295417.82189.54
W ˙ ORCT 346.437.3846.62
Table 9. Environmental analysis of the studied systems.
Table 9. Environmental analysis of the studied systems.
ScenariosCO2-e C ˙ e n v ( USD / h ) SI (-)
Waste-fired simple CHP plant1.077 × 10−4210.71.264
Waste-fired hybrid CHP–ORC system1.113 × 10−4210.71.228
Waste-fired hybrid CHP–ORC system with flue gas condensation1.040 × 10−4210.71.280
Publisher’s Note: MDPI stays neutral with regard to jurisdictional claims in published maps and institutional affiliations.

Share and Cite

MDPI and ACS Style

Nami, H.; Anvari-Moghaddam, A.; Arabkoohsar, A.; Razmi, A.R. 4E Analyses of a Hybrid Waste-Driven CHP–ORC Plant with Flue Gas Condensation. Sustainability 2020, 12, 9449. https://doi.org/10.3390/su12229449

AMA Style

Nami H, Anvari-Moghaddam A, Arabkoohsar A, Razmi AR. 4E Analyses of a Hybrid Waste-Driven CHP–ORC Plant with Flue Gas Condensation. Sustainability. 2020; 12(22):9449. https://doi.org/10.3390/su12229449

Chicago/Turabian Style

Nami, Hossein, Amjad Anvari-Moghaddam, Ahmad Arabkoohsar, and Amir Reza Razmi. 2020. "4E Analyses of a Hybrid Waste-Driven CHP–ORC Plant with Flue Gas Condensation" Sustainability 12, no. 22: 9449. https://doi.org/10.3390/su12229449

APA Style

Nami, H., Anvari-Moghaddam, A., Arabkoohsar, A., & Razmi, A. R. (2020). 4E Analyses of a Hybrid Waste-Driven CHP–ORC Plant with Flue Gas Condensation. Sustainability, 12(22), 9449. https://doi.org/10.3390/su12229449

Note that from the first issue of 2016, this journal uses article numbers instead of page numbers. See further details here.

Article Metrics

Back to TopTop