Next Article in Journal
A Practical Methodology for the Design and Cost Estimation of Solar Tower Power Plants
Next Article in Special Issue
Environmental Profile Study of Ozone Decolorization of Reactive Dyed Cotton Textiles by Utilizing Life Cycle Assessment
Previous Article in Journal
Sustainable Illumination for Baroque Paintings with Historical Context Considerations
 
 
Font Type:
Arial Georgia Verdana
Font Size:
Aa Aa Aa
Line Spacing:
Column Width:
Background:
Article

Improving Mechanical Textile Recycling by Lubricant Pre-Treatment to Mitigate Length Loss of Fibers

Department of Textile Technology, Faculty of Textiles, Engineering and Business, University of Borås, SE-501 90 Borås, Sweden
*
Author to whom correspondence should be addressed.
Sustainability 2020, 12(20), 8706; https://doi.org/10.3390/su12208706
Submission received: 14 August 2020 / Revised: 24 September 2020 / Accepted: 15 October 2020 / Published: 20 October 2020
(This article belongs to the Special Issue Sustainable Fashion and Textile Recycling)

Abstract

:
Although there has been some research on how to use short fibers from mechanically recycled textiles, little is known about how to preserve the length of recycled fibers, and thus maintain their properties. The aim of this study is to investigate whether a pre-treatment with lubricant could mitigate fiber length reduction from tearing. This could facilitate the spinning of a 100% recycled yarn. Additionally, this study set out to develop a new test method to assess the effect of lubricant loading. Inter-fiber cohesion was measured in a tensile tester on carded fiber webs. We used polyethylene glycol (PEG) 4000 aqueous solution as a lubricant to treat fibers and woven fabrics of cotton, polyester (PES), and cotton/polyester. Measurements of fiber length and percentage of unopened material showed the harshness and efficiency of the tearing process. Treatment with PEG 4000 decreased inter-fiber cohesion, reduced fiber length loss, and facilitated a more efficient tearing process, especially for PES. The study showed that treating fabric with PEG enabled rotor spinning of 100% recycled fibers. The inter-fiber cohesion test method suggested appropriate lubricant loadings, which were shown to mitigate tearing harshness and facilitate fabric disintegration in recycling.

1. Introduction

Materials used in textiles have a negative environmental impact; two thirds originate from petrochemicals, while the production and processing of cotton (CO) requires a high amount of water and generates a lot of wastewater [1]. The high demand for textiles result in increased textile waste generation [2]. By using the textile waste as an asset and re-using it as a raw material in textile production, the environmental impact of the textile industry could be reduced. By mechanical tearing, recovered fibers can be re-assembled into yarn and, subsequently, into textiles. However, fiber spinnability and yarn strength is largely affected by the fiber length, which decreases during tearing [3]. Aronsson and Persson [3] investigated how the condition of worn garments affected the quality of the recycled cotton fibers from post-consumer denim and single jersey fabrics. They found that more heavily worn garments had shorter fiber lengths than the less worn ones. However, after tearing, the fiber length difference between the different degrees of wear was insignificant for the denim while the single jersey actually recorded significantly shorter fibers for the less worn fabrics. The authors’ reverse engineering approach revealed that the single jersey was knitted from fine ring-spun yarns whereas the denim consisted mainly of rotor spun yarns. They argue that the yarn construction is more important than the degree of wear for the tearing outcome [3].
It has been reported that the decrease in fiber quality during textile tearing makes it necessary to blend the recycled fibers with virgin fibers to enable the spinning of yarn [4,5,6,7,8]. Further, the choice of yarn spinning method is limited by the short fiber content. Ring spinning cannot handle such short fibers. Thus, rotor or friction spinning is used. Limited research has focused on the spinning of fibers from recycled textiles. Merati and Okamura [4] used friction spinning to blend recycled fibers with 51% virgin CO, adding a PES filament core that increased the regularity and strength in a yarn of count 30 tex. Wanassi et al. [5] used rotor spinning to produce yarn of 50/50 recycled and virgin CO fibers. Pre-consumer waste from, e.g., the CO spinning industry have some similarities to torn fibers; the main one being a high amount of short fibers.
Mohamed Taher et al. [6] managed to incorporate 25% CO waste into rotor spun yarn without any change in appearance, regularity, or uniformity. Duru and Babaarslan [7] investigated the effect of the opening roller speed on a 60/40 blend of virgin PES and waste fibers. Khan, Hossain, and Sarker [8] found that the blend ratio significantly affected the yarn strength of rotor spun yarn, although higher cylinder speed could increase the quality with a higher percentage of added waste. Several researchers have performed similar work and adopted similar methods to spin yarn from recycled fibers. The yarn spinning process and final textile character is greatly influenced by the frictional behavior of the fibers [9,10].
The friction coefficient is not easily measured between staple fibers due to the difficulties of controlling a continual addition of normal load on the fibers. For comparison purposes, the frictional behavior of staple fibers can be measured with a cohesion test. Inter-fiber cohesion is often defined as the ability of a fiber arrangement to hold its shape or the energy needed to separate a fiber assembly [11,12]. Fiber cohesion is influenced by fiber friction, the shape of the fiber, and the flexural rigidity of the fibers, as well as the fiber length and denier [11,13]. As the inter-fiber cohesion is dependent on fibers’ individual properties as well as the arrangement of the fibers, cohesion tests are typically comparative tests. Fiber cohesion of staple fibers can be measured dynamically by measuring the mean drafting force of slivers or rovings with, e.g., a Westpoint cohesion tester or a modified rotorring. Dynamic cohesion tests measure the force of straightening the fibers and, over a certain draft ratio, the sliding of fibers, but rarely reach the maximum force needed to break a fiber arrangement. A cohesion test was developed by Barella in 1953 that measured the minimum twist of cohesion, which is the minimum twist needed to hold a sliver or yarn together during the tensioning from a weight [14,15]. A static cohesion test can be performed with a tensile tester on a sliver, roving, or carded web [16,17,18]. The American standard ASTM D2612-99 [17] describes a static cohesion test on slivers and tops. Scardino and Lyons [18] performed a similar test on carded webs where they normalized the maximum force to the linear density and called it the maximum cohesive tenacity.
When performing fiber cohesion tests on fiber samples treated with different loadings of finishes and lubricants, the difference between samples shows the lubrication effect on inter-fiber friction [19]. An encouraging effect of lubricant on inter-fiber friction has been shown when the fibers were treated with an optimum lubricant concentration. The inter-fiber friction is at its lowest when the fibers are treated at this concentration, and the friction increases on further increase of lubricant after which the friction may decrease; this effect has been reported in previous studies [9,20,21]. The explanation for this phenomenon is that there are three zones for the loading of lubrication: (a) low concentration, where a mono-layer is formed; (b) intermediate zone, where hydrodynamic resistance is created; and (c) a high loading of lubricant with hydrodynamic flow conditions [9]. Depending on fiber type and lubricant, the optimum lubricant concentration is usually found between 0.1 and 0.5% [9,20,21].
Polyethylene glycol (PEG) is used in the textile industry to lower friction and, e.g., increase spinnability or to improve the hand of a fabric [22]. However, it is not a lubricant used in the industry with CO. Other lubricants often used are hydrophobic oils; however, these are attracted to synthetic fibers, which makes removal difficult [23]. PEG is non-toxic and soluble in water, which facilitate ease of application and removal [24,25].
Due to the harsh tearing process, which shortens the fiber length, mechanical recycling of textiles has traditionally resulted in low value products, such as rags or stuffing for insulation. To increase the quality of recycled fibers and enable reassembling to yarn and textiles, the fiber length needs to be retained to a larger degree. This paper describes how a comparative method to quantify inter-fiber cohesion was utilized to suggest suitable PEG 4000 pretreatment loading on off-the-shelf fabrics before mechanical recycling. The effects of variation of the PEG loading upon tearing outcome were studied for CO, PES, and cotton/polyester (CO/PES) plain weave fabrics.

2. Materials and Methods

2.1. Materials

For inter-fiber cohesion measurement, carded webs of CO and PES staple fibers were made. CO fibers were 25 mm mean length and had a linear density of 2.0 dtex, which was calculated from micronaire. PES fibers of 52 mm with a fiber linear density of 2.2 dtex were utilized, as per information given by supplier.
The fabrics used for tearing were 100% CO, 100% PES, and 50/50% CO and PES blend (CO/PES) of plain weaves supplied by Whaleys Bradford Ltd.; see Table 1 for analysis and reverse engineering details. The metric measurement of the weight of a fabric was measured after laundering, using a 1 dm2 cutter.
The materials were treated with polyethylene glycol (PEG) 4000, supplied by Merck. The treatment solutions were prepared by mixing PEG with deionized water heated to 60 °C.

2.2. Methods

2.2.1. Fiber Web Treatment

Fiber batches of 40 g were opened in a La Roche edge opener and carded once in a Mesdan 337A laboratory carding machine. Each batch was treated with 20 mL PEG solution with concentrations in accordance with Table 2. The blend CO/PES constituted 50% of each fiber. PEG concentrations were based on fiber weight, e.g., for 0.25 wt.%, 100 mg PEG was diluted with deionized water. The solution was sprayed on the fibers using a high pressure spray gun set at a pressure of 0.02 MPa and subsequently left to dry for 2 h at room temperature. After drying, two 40 g fiber batches were carded twice into 80 g webs used for inter-fiber cohesion testing; see Figure 1 for a process overview.

2.2.2. Fabrics Treatment

The concentrations for fabric treatments were chosen following the results from the inter-fiber cohesion tests; see Table 3. We used the higher percentage of PEG to verify the effect in the tearing process and to see if the fiber length would be preserved with the higher concentration.
All fabrics were laundered prior to treatment to get rid of any chemicals used in manufacturing, such as sizing. Laundering was performed according to standard ISO 6330:2012 Textiles—Domestic washing and drying procedures for textile testing. Household detergent was used. Washing programs from Annex B were followed, both with one washing cycle and four rinses. The program 6N was used for PES and CO/PES, with a washing temperature of 60 °C. Cotton was washed twice with a temperature of 92 °C according to program 9N. The treatment of the textiles was performed by padding and nipping in a Mathis HVF lab scale foulard. Fabrics were folded into three layers and treated at a speed of 2 m/min. The pressure between rollers was set to 3.5 bar for CO, 4 bar for PES, and 2 bar for CO/PES. The bath volume was calculated according to each fabric’s water uptake with 10% added. The fabrics were subsequently flat dried at 50 °C in a drying cabinet.

2.2.3. Inter-Fiber Cohesion Measurement

Ten 250 × 100 mm specimens were cut from each web with the fibers positioned lengthwise. The specimen weight was 3.3 g (±0.4 g). Each specimen was conditioned in 65% humidity and 20 °C for 24 h before testing and weighed before testing for normalization of the tensile test result. Tensile tests were performed on a 3 kN Mesdan lab tensile tester with a load cell of 100 N and pneumatic yarn grips. Starting gauge length was 75 mm and rate of extension was 300 mm/min.
The tensile test was performed along the fiber direction, which means that maximum force, Fmax (N), represent the cohesion between fibers. The maximum force was normalized by the web strip mass, m (g), to obtain cohesion force (CF) in accordance with Equation (1). Nine replications were made.
C F = F m a x m

2.2.4. Textile Tearing

The shredding process took place at RISE IVF, Mölndal, Sweden. The untreated and treated fabrics were cut into smaller pieces in fabric cutter NSX-QD350 and then fed twice into a shredder consisting of four drums. The first drum was NSX-FS1040 with 8 mm long saw teeth, and the subsequent three drums were of type NSX-QT310 with 4 mm saw teeth. The fabric cutter and shredder were from the manufacturer New Shun Xing Environmental Technology.

2.2.5. Fiber Analysis

The recycled fibers were analyzed to measure the efficiency of the tearing process with different pre-treatments of fabrics. Firstly, neps and unopened threads were manually separated from the bulk, and weight percentage was calculated. Secondly, the fiber length was measured by image analysis. This method was chosen to include all lengths of fibers, especially short fibers, which can often be missed in most other fiber measurement methods [26]. A random sample of fibers was carded by hand, and 0.02 g of these were then carefully aligned and placed on green paper. A high resolution picture was taken, and from this picture the fiber length was determined by image analysis (Figure 2). This is a well-established method [26,27,28].
The mean length of the fibers, lm, was determined by the following equation, as found in the literature [29] (p. 138):
M e a n   l e n g t h   o f   t h e   f i b e r s   ( l m ) =   f i l i f i =   f i l i N
In the equation, lm is the mean length of the fibers, li is fiber length (mm), fi is number of fibers with the same length, and N is the total number of fibers.

2.2.6. Yarn Spinning and Testing

The recovered fibers from the textile tearing process were carded in the above mentioned carding machine and then drawn into slivers in a Mesdan 3371 stiro-roving lab machine, ready for the rotor machine. The total draft ratio was 1.43.
The rotor spinning of the recycled fibers was performed at RISE IVF in Mölndal on a SDL Atlas Quickspin lab scale spinning machine. A rotor diameter of 40 mm was used together with an OS21 opening roller. The yarn tenacity was tested on a Mesdan lab tensile tester according to standard SS-ISO 2062. Residual lubricant in the yarn is likely to affect the inter-fiber cohesion and thereby also the yarn tenacity. Hence, the yarns were tensile tested, both as received and with the lubricant rinsed away. The yarn linear density was measured.

2.2.7. Statistical Analysis

The CF test and yarn tensile test data were analyzed for statistical significance. The software Minitab 17 was used to perform one-way and two-way ANOVA, and Tukey Pairwise Comparisons and Tukey simultaneous tested the differences of means. A significance level of 0.05 was applied.

3. Results and Discussions

The main drawback of mechanical recycling of textiles is the loss of fiber length. During the recycling process, the fiber interlocking within and between yarns cause frictional forces to break the fibers rather than disentangling it. The aim was to reduce the cohesion with the use of a lubricant pre-treatment and thereby retain fiber length. Further, a method was developed to test fiber cohesion in order to predict the effectiveness of the tearing process.

3.1. Inter-Fiber Cohesion Measurement

Cohesion test result for CO, PES, and CO/PES fiber webs with different treatment concentrations of PEG (Table 1) are shown in Figure 3. The trend is that the CF decreases at 0.25 wt.%, after which the cohesion seems to increase for PES and stay at approximately the same level for CO before increasing at 0.75 wt.%. For PES fibers, the cohesion decreases at 0.75–1.00 wt.% before increasing again. For both PES and CO, the CF increase at 1.25 wt.%. The trend for CO/PES is a decrease in cohesion with the lowest point at 0.75 wt.%. Previous research on how lubricant concentrations affect the friction or cohesion of fibers show that, after an initial increase, friction decreases and is subsequently followed by a further increase [20]. Another work found a minimum friction value at low concentration [21]. The low concentration minimum is explained by a mono-layer of lubricant filling the grooves of the fiber [20,21]. With higher concentration, the lubricant sticks to itself between fibers, increasing the cohesion between fibers [20]. However, to our knowledge, there is no research that describes the effects of PEG concentration dependence on fiber-fiber interactions.
The ANOVA analysis on CF results showed that there are significant differences between one or more treatment concentrations for all fiber types. Tukey pairwise comparisons showed that, for CO, 1.25 wt.% is significantly different from all other concentrations, and for PES, 0.25 and 1.25 wt.% are the only concentrations significantly different from each other. For CO/PES, 0.75 and 1.25 wt.% are significantly different from untreated fiber webs, and 0.5 and 0.75 wt.% are significantly different from each other. The results show that there are trends and some significant differences; however, it will be the analysis of recycled fibers that shows how the lubricant treatment affects the recycling process.

3.2. Recovered Fiber Analysis

Recycling was performed on three samples of each fabric material; one test for non-treated fabric and two with different pre-treatment PEG concentrations. This was to quantify the effect of pre-treatment on the quality of recycled fibers. A low concentration of PEG 4000 (0.1 or 0.2 wt.%) was chosen for the three types of fabrics to identify the effect of a small amount of lubricant. Further, a second higher pre-treatment concentration value was chosen where we tried to achieve the optimal value (minimum CF) obtained from the results of inter fiber cohesion measurements presented in Figure 3. Unfortunately, there were some unforeseen experimental difficulties with the CO/PES material, which is why there is a difference between the higher pre-treatment concentration and the lowest CF detected; see Table 3 for concentrations on pre-treatments on fabrics.
Table 4 shows the result of the analysis on the recycled fibers. A higher concentration of PEG gave a decreased fraction of unopened fiber and preserved fiber length for all fabrics. The decrease of neps and threads is shown to be 21% for CO, 50% for PES, and 18% for CO/PES. As the presence of neps is an indication of fiber breakage and mechanical stresses [30], the recycling process for treated fabrics is shown to be gentler.
The length of recycled cotton fibers was 4.3 mm longer for higher concentration treated CO fiber compared to untreated fabric. For PES, the fiber length difference was even higher; fabric treated with 0.7 wt.% PEG gave 9.4 mm longer fibers compared to untreated fabrics. Recycled CO/PES fabric treated with 0.5 wt.% PEG gave 3.7 mm longer fibers compared to untreated fabrics.
For all fabric materials, the tearing process was gentler at the highest PEG loading. Additionally, for PES, there were areas of melted fibers in untreated recycled fabric, which completely disappeared for the treated fractions. This could be seen as evidence that there is in fact a decrease of cohesion during the tearing process for lubricant treated fabrics.
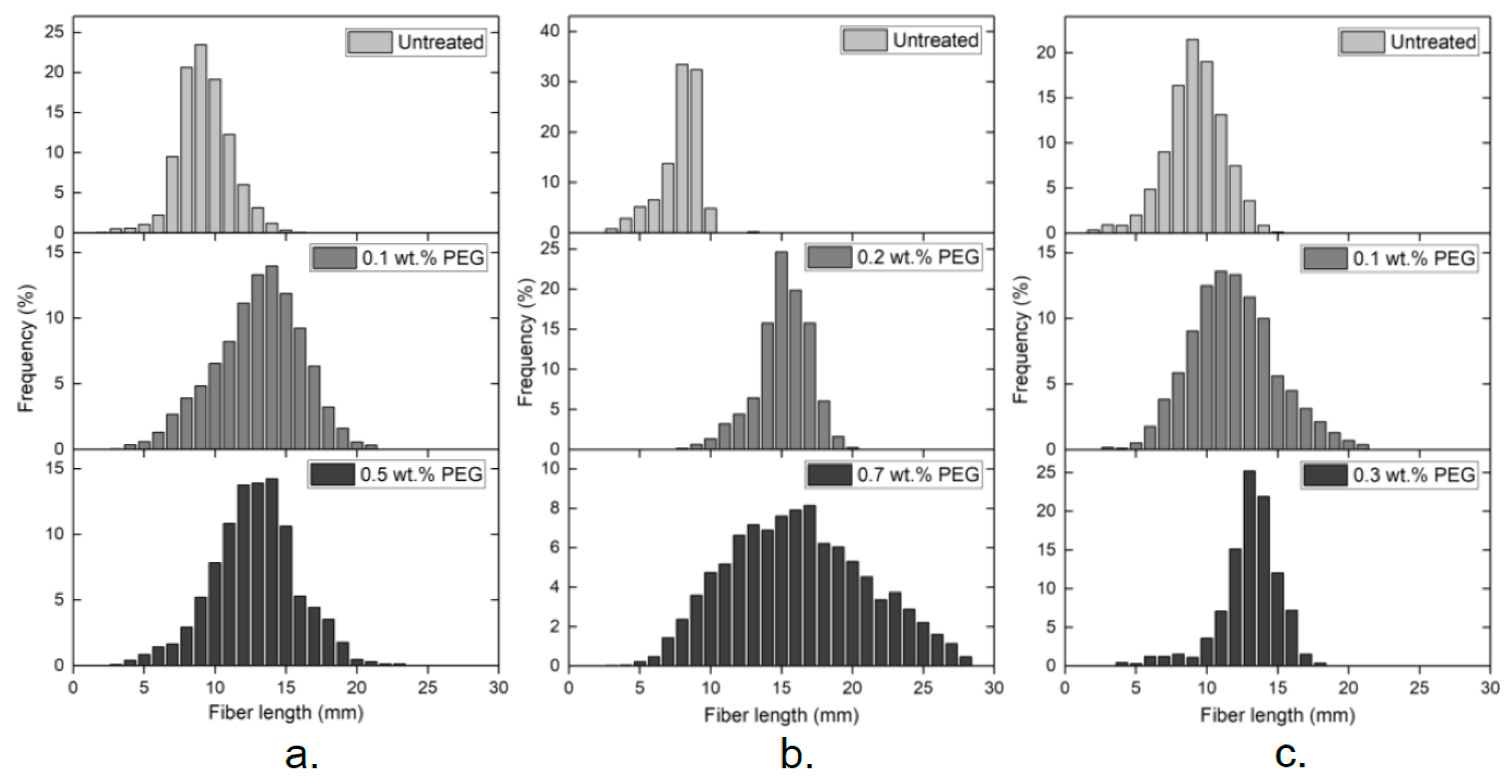
The average length of these fibers increased on PEG treatment of fabrics before the tearing process, as seen in Table 4. The fiber length distribution for recycled fibers can be seen in Figure 4. The concentration of PEG affected the fiber length. The change was most pronounced in PES, and it can be seen that the treatment with 0.7 wt.% PEG gave fibers as long as 28 mm, while the longest for the 0.2 wt.% PEG was 20 mm and 10 mm for the untreated fabric. Fiber length distribution was also generally wider after the treatment. This could be due to the fact that the fibers in the treated fabric broke less during processing and thus gave a wider range of lengths. These results fall in line with other results in this work.
Effect of lubricant on the efficiency of the tearing process was evident on CO and PES fiber samples, which is shown in Figure 5. This representation of the recycled fibers shows visually what has been shown in numbers in Table 4 and fiber length distribution in Figure 4. Especially for PES, the length of fibers increased with a higher loading of PEG. In Figure 5a,b, it can be seen that the treated samples are more wooly, less dense and less threads and neps are visible. The CO/PES fiber samples also show a difference between treatments in Figure 5c, albeit a less distinct change.

3.3. Yarn Spinning

The possibility to rotor spin yarn from 100% recycled fibers was examined to further study the effect of the pre-treatment by a lubricant. During the preparation, it was discovered that it was not possible to process the recycled fibers from CO/PES and untreated PES in the drawing frame, as it was not possible to attain an even sliver. For the CO/PES this can be explained by the high difference in fiber length between the recycled CO and PES. For untreated PES, carding difficulties are related to neps of partly molten fibers that appear to have fused together in the recycled fibers.
During the manufacturing of yarn from recycled CO and PES, it was noted that most neps and threads were removed during the production of sliver and during rotor spinning. This gave the positive outcome that the yarn quality was largely unaffected by the amount of unopened material. The PES fibers treated with 0.2 wt.% PEG were difficult to spin into yarn, which is why we chose a relatively high linear density for all yarns. The linear densities of the yarns are shown in Table 5.
Tensile test results for rotor spun yarn of recycled CO are presented in Figure 6. It can be seen that the tenacity of 100% recycled CO rotor spun yarns decrease with the increased concentration of lubricant pre-treatment even though the fiber length was better preserved. For the recycled PES yarns (Figure 7), the tenacity increase with the fiber length, even though the concentration of lubricant is increased.
To understand the effect of lubricant in the tenacity of recycled yarn, the yarns were washed and the tenacity was retested after washing. Figure 8 show that the tenacity of each yarn is higher after washing. Due to the difficulties in producing yarn from PES treated with 0.2 wt.% PEG, the quantity of yarn was not enough to test the tenacity after washing.
When analyzing this result statistically, ANOVA showed that the pre-treatment did not have a significant effect on CO yarn tenacity, while the washing did. Further analysis with the Tukey Simultaneous test showed that the tenacity was significantly different after washing for all samples except for untreated CO. Further, neither treated yarns were significantly different from untreated yarn before washing.
After washing, only the 0.3 wt.% for CO had significantly higher tenacity than the untreated samples. For PES yarns, ANOVA showed that both washing and pre-treatment concentration had a significant effect on the tenacity. The Tukey Simultaneous test confirmed this.
The yarns containing the lubricant PEG had lower tenacity, while the same yarns showed higher strength after washing. This shows that the presence of PEG alters the mechanical properties of the yarn as normally longer fibers give a stronger yarn. This is explained by the lubricant effect of PEG; PEG decreases the cohesion between fibers and thus the strength of the yarn. However, during washing, PEG is removed and the fiber length influences the yarn strength positively. After washing, the fiber cohesion between the longer fibers of pre-treated recycled fibers gave strength to the yarns.

4. Conclusions

In this paper, we investigated a method to preserve the fiber length upon mechanically recycling fibers using PEG 4000 treatment. The lubricant PEG reduced cohesion between fibers in the cohesion test and in the tearing process. The fabrics disassembled more easily, and the effect was visible on the recycled fibers. The inter-fiber cohesion test proved successful in predicting a more efficient tearing process with lubricant treated fabrics. Pre-treatment with PEG resulted in:
  • Decreased inter-fiber cohesion;
  • A tearing process with higher efficiency;
  • Decreased fiber length reduction during tearing;
  • Enabling rotor spun yarn from 100% recycled fibers.
The lubricating effect on yarn tenacity was also shown by the increase of strength after removal of lubricant through washing. This further proves the inter-fiber cohesion reduction effect of PEG.
This paper shows the potential of lubricant treatment to decrease inter-fiber cohesion during tearing and to increase the value of mechanically recycled fibers. As textile waste can constitute many different fiber types, in the future it would be valuable to study suitable lubricants for different fibers and different fiber blends.

Author Contributions

Conceptualization, K.L., T.S., A.P., and N.K.; data curation, K.L. and T.S.; formal analysis, K.L., T.S., A.P., and N.K.; funding acquisition, A.P. and N.K.; investigation, K.L. and T.S.; methodology, K.L., T.S., A.P., and N.K.; project administration, K.L. and T.S.; resources, A.P.; software, N.K.; supervision, A.P. and N.K.; validation, K.L., A.P., and N.K.; visualization, K.L. and T.S.; writing—original draft, K.L.; writing—review and editing, K.L., T.S., A.P., and N.K. All authors have read and agreed to the published version of the manuscript.

Funding

This work was part of a project funded by Region Västra Götaland.

Acknowledgments

This work was made in collaboration with RISE IVF.

Conflicts of Interest

The authors declare no conflict of interest.

References

  1. Sandin, G.; Peters, G. Environmental Impact of Textile Reuse And Recycling—A Review. J. Clean. Prod. 2018, 184, 353–365. [Google Scholar] [CrossRef]
  2. Ellen MacArthur Foundation, Circular Fashion—A New Textiles Economy: Redesigning Fashion’s Future. 2017. Available online: https://www.ellenmacarthurfoundation.org/publications/a-new-textiles-economy-redesigning-fashions-future (accessed on 20 August 2020).
  3. Aronsson, J.; Persson, A. Tearing of Post-Consumer Cotton T-Shirts and Jeans of Varying Degree of Wear. J. Eng. Fibers Fabr. 2020, 15. [Google Scholar] [CrossRef]
  4. Merati, A.A.; Okamura, M. Producing Medium Count Yarns from Recycled Fibers with Friction Spinning. Text. Res. J. 2004, 74, 646–651. [Google Scholar] [CrossRef]
  5. Wanassi, B.; Azzouz, B.; Ben Hassen, M. Value-Added Waste Cotton Yarn: Optimization of Recycling Process and Spinning of Reclaimed Fibers. Ind. Crop. Prod. 2016, 87, 27–32. [Google Scholar] [CrossRef]
  6. Taher, H.M.; Bechir, A.; Mohamed, B.H.; Faouzi, S. Influence of Spinning Parameters and Recovered Fibers From Cotton Waste on the Uniformity and Hairiness of Rotor Spun Yarn. J. Eng. Fibers Fabr. 2009, 4, 36–44. [Google Scholar]
  7. Duru, P.N.; Babaarslan, O. Determining an Optimum Opening Roller Speed for Spinning Polyester/Waste Blend Rotor Yarns. Text. Res. J. 2003, 73, 907–911. [Google Scholar] [CrossRef]
  8. Khan, K.R.; Hossain, M.M.; Sarker, R.C. Statistical Analyses and Predicting the Properties of Cotton/Waste Blended Open-End Rotor Yarn Using Taguchi OA Design. Int. J. Text. Res. 2015, 4, 27–35. [Google Scholar]
  9. Nikonova, E.A.; Pakshver, A.B. The Friction Properties of Textile Yarns. Fibre Chem. 1973, 4, 657–660. [Google Scholar] [CrossRef]
  10. Campos, R.; Bechtold, T.; Rohrer, C. Fiber Friction in Yarn—A Fundamental Property of Fibers. Text. Res. J. 2003, 73, 721–726. [Google Scholar] [CrossRef]
  11. Waggett, G. The Tensile Properties of Card and Drawframe Slivers. J. Text. Inst. Trans. 1952, 43, T380–T395. [Google Scholar] [CrossRef]
  12. Ghosh, S.; Rodgers, J.E.; Ortega, A.E. RotorRing Measurement of Fiber Cohesion and Bulk Properties of Staple Fibers. Text. Res. J. 1992, 62, 608–613. [Google Scholar] [CrossRef]
  13. Deluca, L.B.; Thibodeaux, D.P. The Relative Importance of Fiber Friction and Torsional and Bending Rigidities in Cotton Sliver, Roving, and Yarn. Text. Res. J. 1992, 62, 192–196. [Google Scholar] [CrossRef]
  14. Barella, A.; Sust, A. Cohesion Phenomena in Cotton Rovings and Yarns: Part I: General Study. Text. Res. J. 1962, 32, 217–226. [Google Scholar] [CrossRef]
  15. Barella, A.; Sust, A. Cohesion Phenomena in Cotton Rovings and Yarns: Part III: Influence of Fiber Characteristics on the Cohesion of Nontwisted Slivers. Text. Res. J. 1964, 34, 283–290. [Google Scholar] [CrossRef]
  16. Subramaniam, V.; Sreenivasan, K.; Pillay, P.R. Studies in Fibre Friction: Part I-Effect of Friction on Fibre Properties and Processing Performance of Cotton. Ind. J. Text. Res. 1981, 6, 9–15. [Google Scholar]
  17. ASTM D2612-99(2018) Standard Test Method for Fiber Cohesion in Sliver and Top (Static Tests). Available online: https://www.astm.org/Standards/D2612.htm (accessed on 2 July 2020).
  18. Scardino, F.L.; Lyons, W.J. Influence of Fiber Geometry on the Mechanical Properties of Assemblies during Processing: Part I: Polyester Fibers in Webs and Slivers. Text. Res. J. 1970, 40, 559–570. [Google Scholar] [CrossRef]
  19. Olsen, J.S. Measurement of Sliver Drafting Forces. Text. Res. J. 1974, 44, 852–855. [Google Scholar] [CrossRef]
  20. Berberi, P.G. Effect of Lubrication on Spinning Properties of Dyed Cotton Fibers. Text. Res. J. 1991, 61, 285–288. [Google Scholar] [CrossRef]
  21. Olsen, J.S. Frictional Behavior of Textile Yarns. Text. Res. J. 1969, 39, 31–37. [Google Scholar] [CrossRef]
  22. Ajayi, A. Friction in Woven Fabrics. In Friction in Textile Materials; Gupta, B.S., Ed.; Woodhead Publishing Limited: Cambridge, UK, 2008; pp. 351–385. [Google Scholar]
  23. Stepanova, T.Y. The Effect of Lubricants on Tribological Characteristics of Fibrous Materials. J. Frict. Wear 2016, 37, 430–434. [Google Scholar] [CrossRef]
  24. Kobayashi, M.; Koide, T.; Hyon, S.H. Tribological Characteristics of Polyethylene Glycol (PEG) as a Lubricant for Wear Resistance of Ultra-High-Molecular-Weight Polyethylene (UHMWPE) in Artificial Knee Join. J. Mech. Behav. Biomed. Mater. 2014, 38, 33–38. [Google Scholar] [CrossRef] [PubMed]
  25. Zarrintaj, P.; Saeb, M.R.; Jafari, S.H.; Mozafari, M. Application of Compatibilized Polymer Blends in Biomedical Fields. Compat. Polym. Blends 2019, 511–537. [Google Scholar] [CrossRef]
  26. Ikiz, Y.; Rust, J.P.; Jasper, W.J.; Trussell, H.J. Fiber Length Measurement by Image Processing. Text. Res. J. 2001, 71, 905–910. [Google Scholar] [CrossRef]
  27. Pinter, P.; Bertram, B.; Weidenmann, K.A. A Novel Method for the Determination of Fibre Length Distributions from µCT-data. In Proceedings of the 6th Conference on Industrial Computed Tomography (iCT) 2016, Wels, Austria, 9–12 February 2016. [Google Scholar]
  28. Wang, H. Fiber Property Characterization by Image Processing; Texas Tech University: Lubbock, TX, USA, 2007. [Google Scholar]
  29. Hearle, J.; Morton, W. Physical Properties of Textile Fibres, 4th ed.; Woodhead Publishing Limited: Cambridge, UK, 2008. [Google Scholar]
  30. Van Der Sluijs, M.H.J.; Hunter, L. A Review on the Formation, Causes, Measurement, Implications and Reduction of Neps during Cotton Processing a Review on The Formation, Causes, Measurement, Implications and Reduction of Neps During Cotton Processing. Text. Prog. 2016, 48, 221–323. [Google Scholar] [CrossRef]
Figure 1. Treatment of fiber webs.
Figure 1. Treatment of fiber webs.
Sustainability 12 08706 g001
Figure 2. Fiber length measurement method.
Figure 2. Fiber length measurement method.
Sustainability 12 08706 g002
Figure 3. Results from developed inter-fiber cohesion test. CF of CO, PES, and CO/PES fiber webs.
Figure 3. Results from developed inter-fiber cohesion test. CF of CO, PES, and CO/PES fiber webs.
Sustainability 12 08706 g003
Figure 4. Fiber length distributions for (a) CO, (b) PES, and (c) CO/PES recycled fibers.
Figure 4. Fiber length distributions for (a) CO, (b) PES, and (c) CO/PES recycled fibers.
Sustainability 12 08706 g004
Figure 5. Recycled fibers, 0.05 g of (a) CO, (b) PES, and (c) CO/PES.
Figure 5. Recycled fibers, 0.05 g of (a) CO, (b) PES, and (c) CO/PES.
Sustainability 12 08706 g005aSustainability 12 08706 g005b
Figure 6. Tenacity of rotor spun yarn from 100% recycled fibers for CO.
Figure 6. Tenacity of rotor spun yarn from 100% recycled fibers for CO.
Sustainability 12 08706 g006
Figure 7. Tenacity of rotor spun yarn from 100% recycled fibers for PES.
Figure 7. Tenacity of rotor spun yarn from 100% recycled fibers for PES.
Sustainability 12 08706 g007
Figure 8. Tenacity of rotor spun yarn from 100% recycled fibers; before and after washing of the yarn.
Figure 8. Tenacity of rotor spun yarn from 100% recycled fibers; before and after washing of the yarn.
Sustainability 12 08706 g008
Table 1. Fabric specification.
Table 1. Fabric specification.
MaterialFabric Surface
Weight
WarpWeftFiber Length (mm)
WarpWeft
CO170 g/m2Ring spun, 29 tex
26 threads/cm
Ring spun, 28 tex
25.8 threads/cm
20.627.6
PES152 g/m2Multifilament, 18 tex
29.4 threads/cm
Ring spun, 39 tex
22.2 threads/cm
Filament28.0
CO/PES142 g/m2Ring spun, 23 tex
30.7 threads/cm
Ring spun, 23 tex
25.4 threads/cm
25.428.8
Table 2. Concentrations of PEG 4000 in treatment solutions of fibers.
Table 2. Concentrations of PEG 4000 in treatment solutions of fibers.
CO FiberPES FiberCO/PES Fiber
PEG 4000
conc. wt.%
0.00.00.0
0.250.250.5
0.50.50.75
0.750.751.25
1.01.0
1.251.25
Table 3. Concentrations of PEG in treatment solutions of fabrics.
Table 3. Concentrations of PEG in treatment solutions of fabrics.
CO FabricPES FabricCO/PES Fabric
PEG
conc. wt.%
0.00.00.0
0.10.20.1
0.30.70.5
Table 4. Fiber analysis of the fiber length and neps and unopened threads. Reference values from Table 1.
Table 4. Fiber analysis of the fiber length and neps and unopened threads. Reference values from Table 1.
MaterialPre-TreatmentNeps and Threads Weight %Mean Fiber Length (mm)
COReference 20.6/27.6
0.0 wt.% PEG23.2%9.1
0.1 wt.% PEG21.2%11.9
0.3 wt.% PEG18.4%13.4
PESReference -/28.0
0.0 wt.% PEG44.4%7.8
0.2 wt.% PEG41.2%15.1
0.7 wt.% PEG22.0%17.2
CO/PESReference 25.4/28.8
0.0 wt.% PEG22.4%9.4
0.1 wt.% PEG22.4%12.9
0.5 wt.% PEG18.4%13.1
Table 5. Linear density of rotor spinning yarn.
Table 5. Linear density of rotor spinning yarn.
COPES
PEG conc. (wt.%)0.00.10.30.00.20.7
Yarn linear density (tex)999892 96104
Publisher’s Note: MDPI stays neutral with regard to jurisdictional claims in published maps and institutional affiliations.

Share and Cite

MDPI and ACS Style

Lindström, K.; Sjöblom, T.; Persson, A.; Kadi, N. Improving Mechanical Textile Recycling by Lubricant Pre-Treatment to Mitigate Length Loss of Fibers. Sustainability 2020, 12, 8706. https://doi.org/10.3390/su12208706

AMA Style

Lindström K, Sjöblom T, Persson A, Kadi N. Improving Mechanical Textile Recycling by Lubricant Pre-Treatment to Mitigate Length Loss of Fibers. Sustainability. 2020; 12(20):8706. https://doi.org/10.3390/su12208706

Chicago/Turabian Style

Lindström, Katarina, Therese Sjöblom, Anders Persson, and Nawar Kadi. 2020. "Improving Mechanical Textile Recycling by Lubricant Pre-Treatment to Mitigate Length Loss of Fibers" Sustainability 12, no. 20: 8706. https://doi.org/10.3390/su12208706

APA Style

Lindström, K., Sjöblom, T., Persson, A., & Kadi, N. (2020). Improving Mechanical Textile Recycling by Lubricant Pre-Treatment to Mitigate Length Loss of Fibers. Sustainability, 12(20), 8706. https://doi.org/10.3390/su12208706

Note that from the first issue of 2016, this journal uses article numbers instead of page numbers. See further details here.

Article Metrics

Back to TopTop