The Role of Education in Increasing Awareness and Reducing Impact of Natural Hazards
Abstract
1. Introduction
- Self-efficacy [21], which relates to the confidence and competence of an individual to take action/responsibility. Accordingly, a successful past experience but also educational accomplishment impact on self-efficacy.
- (1)
- relationships between the components of WRI were analysed,
- (2)
- an education factor independent of WRI was created,
- (3)
- the frequency, magnitude and exposure of natural hazards of extreme event character in selected countries were analysed, and
- (4)
- the relations between the education factor and WRI components among the countries were put forward to create the index.
2. Material and Methods
- (1)
- analysis of WRI parameters determining relationships between components;
- (2)
- selection of countries for which all relevant information was available for the detailed analysis between the WRI, its components and the education factor;
- (3)
- analysis of exposure to and frequency and magnitude of natural hazards of extreme events in the selected countries;
- (4)
- creation of an education parameter independent of WRI;
- (5)
- analysis of the relationship between the WRI, its components and the education parameter.
2.1. World Risk Index
2.2. Selection of Countries for Detailed Analysis
2.3. Frequency, Magnitude and Exposure to Natural Hazards
- (1)
- 10 or more fatalities;
- (2)
- 100 or more people affected;
- (3)
- declaration of a state of emergency;
- (4)
- a call for international assistance.
2.4. Education Factor
2.5. Relationship between WRI, Its Components and the Education Factor
3. Results and Discussion
3.1. Frequency and Magnitude of and Exposure to Natural Hazards
3.2. Relationship between the WRI and Its Components
3.3. Education Factor
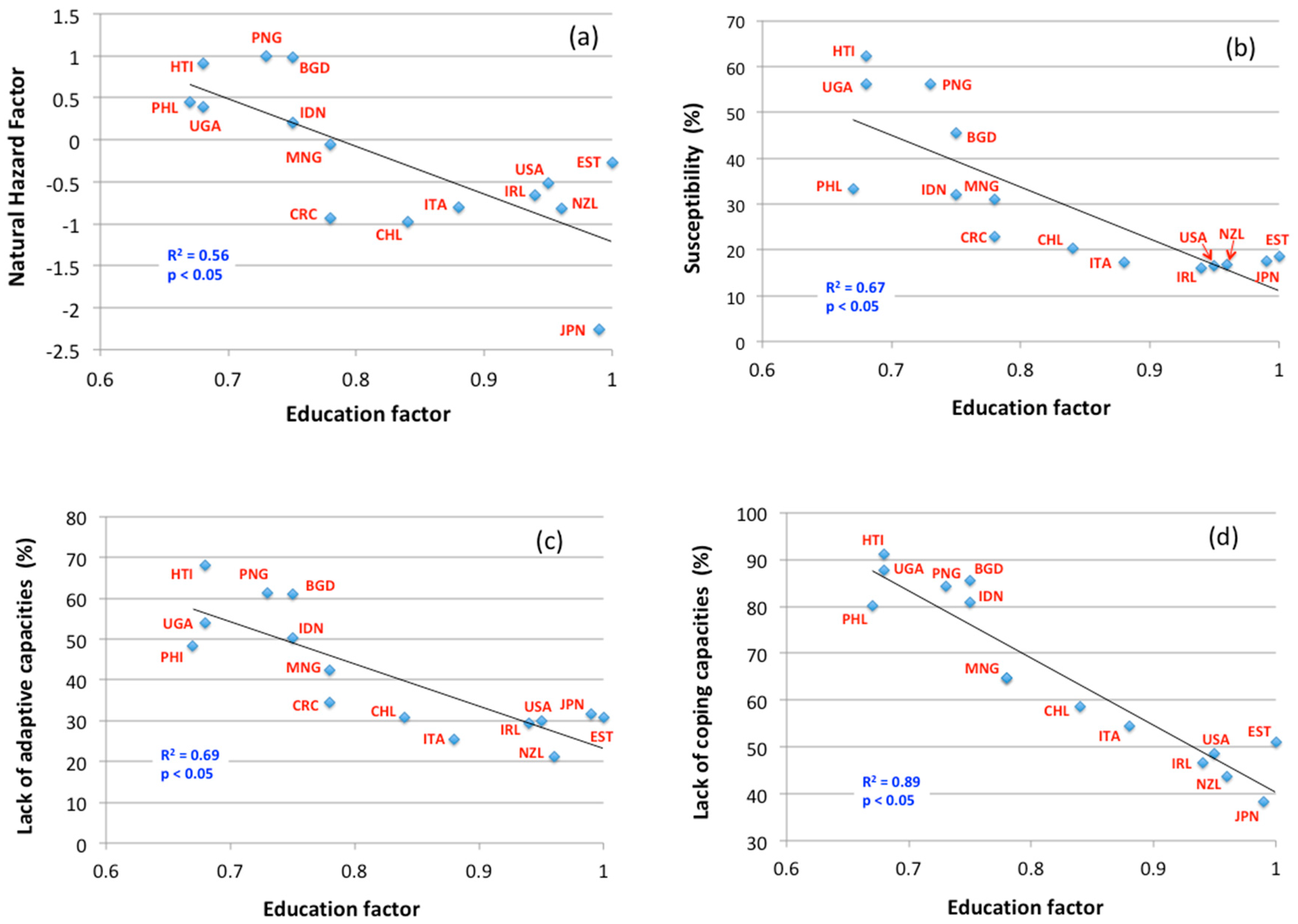
3.4. Relationship between the Natural Hazard Factor and Education Factor
4. Conclusions
Supplementary Materials
Author Contributions
Funding
Acknowledgments
Conflicts of Interest
References
- Gregg, C.; Houghton, B. Natural Hazards. In Disaster Resilience: An Integrated Approach; Paton, D., Johnston, D., Eds.; Charles C Thomas: Springfifield, IL, USA, 2006; pp. 19–39. [Google Scholar]
- Pescaroli, G.; Aexander, D. Critical infrastructure, panarchies and the vulnerability paths of cascading disasters. Nat. Hazards 2016, 82, 175–192. [Google Scholar] [CrossRef]
- AghaKouchak, A.; Huning, L.S.; Chiang, F.; Sadegh, F.; Vahedifard, F.; Mazdiyasni, O.; Moftakhari, H.; Mallakpour, I. How do natural hazards cascade to cause disasters? Nature 2018, 561, 458–460. [Google Scholar] [CrossRef] [PubMed]
- Birkmann, J.; Garschagen, M.; Mucke, P.; Schauder, A.; Seibert, T.; Welle, T.; Rhyner, J.; Kohler, S.; Loster, T.; Reinhard, D.; et al. World Risk Report 2014; Bündnis Entwicklung Hilft and UNU-EHS: Berlin, Germany, 2014. [Google Scholar]
- Dunbar, P. Increasing public awareness of natural hazards via the Internet. Nat. Hazards 2007, 42, 529–536. [Google Scholar] [CrossRef]
- United Nations International Strategy for Disaster Reduction. Terminology on Disaster Risk Reduction; UNISDR: Geneva, Switzerland, 2009; p. 30. [Google Scholar]
- Sivakumar, M. Impacts of Natural Disasters in Agriculture, Rangeland and Forestry: An Overview. In Natural Disasters and Extreme Events in Agriculture; Sivakumar, M., Motha, R.P., Das, H.P., Eds.; Springer: Berlin/Heidelberg, Germany; New York, NY, USA, 2005; pp. 1–22. [Google Scholar]
- Emergency Events Database (EM-DAT). The International Disaster Database. Available online: http://www.emdat.be/advanced_search/index.html (accessed on 28 July 2020).
- National Oceanic and Atmospheric Administration. Natural Hazards Data, Images and Education. Available online: https://ngdc.noaa.gov/hazard/hazards.shtml (accessed on 16 September 2020).
- Stocker, T.F.; Qin, D.; Plattner, G.-K.; Tignor, M.; Allen, S.K.; Boschung, J.; Nauels, A.; Xia, Y.; Bex, V.; Midgley, P.M. (Eds.) Intergovernmental Panel on Climate Change. Summary for Policymakers. In Climate Change 2013: The Physical Science Basis. Contribution of Working Group I to the Fifth Assessment Report of the Intergovernmental Panel on Climate Change; Cambridge University Press: Cambridge, UK; New York, NY, USA, 2013. [Google Scholar]
- Adger, W.N.; Hughes, T.P.; Folke, C.; Carpenter, S.R.; Rockström, J. Social-ecological resilience to coastal disasters. Science 2005, 309, 1036–1039. [Google Scholar] [CrossRef] [PubMed]
- Temmerman, S.; Meire, P.; Bouma, T.J.; Herman, P.M.J.; Ysebaert, T.; De Vriend, H.J. Ecosystem-based coastal defence in the face of global change. Nature 2013, 504, 79–83. [Google Scholar] [CrossRef] [PubMed]
- Ribeiro, R.R.R.; Sulaiman, S.N.; Bonatti, M.; Sieber, S.; Lana, M.A. Perception of natural hazards in rural areas: A case study examination of the influence of seasonal weather. Sustainability 2020, 12, 2251. [Google Scholar] [CrossRef]
- Welle, T.; Birkmann, J. The World Risk Index—An approach to assess risk and vulnerability on a global scale. J. Extrem. Events 2015, 2, 1. [Google Scholar] [CrossRef]
- International Organization for Migration. Committee on Communication for Behavior Change in the 21st Century. In Improving the Health of Diverse Populations. Speaking of Health: Assessing Health Communication Strategies for Diverse Populations; National Academy Press: Washington, DC, USA, 2002. [Google Scholar]
- Paton, D.; Houghton, B.; Gregg, C.; Gill, D.; Ritchie, L.; McIvor, D.; Larin, P.; Meinhold, S.; Horan, J.; Johnston, D. Managing tsunami risk in coastal communities: Identifying predictors of preparedness. Aust. J. Emerg. Manag. 2008, 23, 4–9. [Google Scholar]
- Paton, D.; Bajek, R.; Okada, N.; McIvor, D. Predicting community earthquake preparedness: A cross-cultural comparison of Japan and New Zealand. Nat. Hazards 2010, 54, 765–781. [Google Scholar] [CrossRef]
- Oyao, S.; Holbrook, J.; Rannikmäe, M.; Pagunsan, M. A Competence-based Science Learning Framework illustrated through the Study of Natural Hazards and Disaster Risk Reduction. Int. J. Sci. Educ. 2015, 37, 2237–2263. [Google Scholar] [CrossRef]
- Fishbein, M.; Ajzen, I. Predicting and Changing Behavior: The Reasoned Action Approach; Psychology Press: New York, NY, USA, 2010; p. 538. [Google Scholar]
- Fishbein, M.; Ajzen, I. Belief, Attitude, Intention and Behavior: An Introduction to Theory and Research; Addison-Wesley: Reading, MA, USA, 1975; p. 575. [Google Scholar]
- Bandura, A. Self-Efficacy: The Exercise of Control; W.H. Freeman and Company: New York, NY, USA, 1997; p. 604. [Google Scholar]
- Esteban, M.; Tsimopoulou, V.; Mikami, T.; Yun, N.; Suppasri, A.; Shibayama, T. Recent tsunami events and preparedness: Development of tsunami awareness in Indonesia, Chile and Japan. Int. J. Disaster Risk Reduc. 2013, 5, 84–97. [Google Scholar] [CrossRef]
- Esteban, M.; Bricker, J.D.; Arce, R.O.S.C.; Takagi, H.; Yun, N.Y.; Chaiyapa, W.; Sjoegren, A.; Shibayama, T. Tsunami awareness: A comparative assessment between Japan and the USA. Nat. Hazards 2018, 93, 1507–1528. [Google Scholar] [CrossRef]
- Esteban, M.; Valenzuela, V.; Namyi, Y.; Mikami, T.; Shibayama, T.; Matsumaru, R.; Takagi, H.; Thao, N.; de Leon, M.; Oyama, T.; et al. Typhoon Haiyan 2013 evacuation preparations and awareness. Int. J. Sustain. Future Hum. Secur. 2015, 31, 37–45. [Google Scholar] [CrossRef]
- Leelawat, N.; Mateo, C.; Gaspay, S.; Suppasri, A.; Imamura, F. Filipinos “views on the disaster information for the 2013 Super Typhoon Haiyan in the Philippines”. Int. J. Sustain. Future Hum. Secur. 2013, 2, 61–73. [Google Scholar] [CrossRef]
- Heller, K.; Alexander, D.B.; Gatz, M.; Knight, B.G.; Rose, T. Social and personal factors as predictors of earthquake preparation: The role of support provision, network discussion, negative effect, age, and education. J. Appl. Soc. Psychol. 2005, 35, 399–422. [Google Scholar] [CrossRef]
- Mulilis, J.-P.; Duval, T.S.; Bovalino, K. Tornado preparedness of students, nonstudent renters, and nonstudent owners: Issues of PrE-theory. J. Appl. Soc. Psychol. 2000, 30, 1310–1329. [Google Scholar] [CrossRef]
- Santos-Reyes, J.R.; Gouzeva, T. High School Students’ Knowledge and Seismic Risk Perception: The Case of Mexico City. In IEEE International Conference on Industrial Engineering and Engineering Management 2017-December; IEEE: Piscataway, NJ, USA, 2018; pp. 1227–1231. [Google Scholar]
- Davidson, R.; Shah, H. An Urban Earthquake Disaster Risk Index; The John A Blume Earthquake Engineering Center Stanford University: Stanford, CA, USA, 1997; p. 269. [Google Scholar]
- Peduzzi, P.; Dao, H.; Herold, C.; Mouton, F. Assessing global exposure and vulnerability towards natural hazards: The Disaster Risk Index. Nat. Hazards Earth Syst. Sci. 2009, 9, 1149–1159. [Google Scholar] [CrossRef]
- Lavell, A.; Oppenheimer, M.; Diop, C.; Hess, J.; Lempert, R.; Li, J.; Muir-Wood, R.; Myeong, S. Climate Change: New Dimensions in Disaster Risk, Exposure, Vulnerability, and Resilience. In Managing the Risks of Extreme Events and Disasters to Advance Climate Change Adaptation. A Special Report of Working Groups I and II of the Intergovernmental Panel on Climate Change; IPCC, Ed.; Cambridge University Press: Cambridge, UK; New York, NY, USA, 2012; pp. 25–64. [Google Scholar]
- Birkmann, J.; Welle, T.; Krause, D.; Wolfertz, J.; Suarez, D.-C.; Setiadi, N. World Risk Index: Concept and Results. In Bündnis Entwicklung Hilft, World Risk Report 2011; Bündnis Entwicklung Hilft (Alliance Development Works): Berlin, Germany, 2011; pp. 13–41. [Google Scholar]
- United Nations University—Institute for Environment and Human Security. World Risk Report. 2016. Available online: https://collections.unu.edu/eserv/UNU:5763/WorldRiskReport2016_small_meta.pdf (accessed on 16 September 2020).
- Schleicher, A. PISA 2018: Insights and Interpretations; OECD: Paris, France, 2019; p. 363. [Google Scholar]
- Tonmoy, F.N.; El-Zein, A.; Hinkel, J. Assessment of vulnerability to climate change using indicators: A meta-analysis of the literature. Wiley Interdiscip. Rev. Clim. Chang. 2014, 5, 775–792. [Google Scholar] [CrossRef]
- Cerulli, D.; Holbrook, J.; Mander, Ü. Devising an instrument for determining students’ preparedness for an Education through Science learning approach within the topic of Natural Hazards. Sci. Educ. Int. 2016, 27, 59–87. [Google Scholar]
- World Bank. List of Countries by GDP (Nominal). Available online: https://en.wikipedia.org/wiki/List_of_countries_by_GDP_(nominal) (accessed on 28 July 2020).
- World Population Review. Education Rankings by Country 2020. Available online: https://worldpopulationreview.com/country-rankings/education-rankings-by-country (accessed on 16 September 2020).
- United Nations Development Programme. Human Development Data 1990–2018. Education Index. Available online: http://hdr.undp.org/en/data (accessed on 28 July 2020).
- Symaco, L.P. Geographies of social exclusion: Education access in the Philippines. Comp. Educ. 2013, 49, 361–373. [Google Scholar] [CrossRef]
- Comte, A.; Pendleton, L.H.; Bailly, D.; Quillérou, E. Conceptual advances on global scale assessments of vulnerability: Informing investments for coastal populations at risk of climate change. Mar. Policy 2019, 99, 391–399. [Google Scholar] [CrossRef]





| Country | PISA Science Scores 2018 | Rank | Education Factor (EF) |
|---|---|---|---|
| Bangladesh 1 | 399 | 10 | 0.75 |
| Chile | 444 | 7 | 0.84 |
| Costa Rica | 416 | 8 | 0.78 |
| Estonia | 530 | 1 | 1.00 |
| Haiti 1 | 358 | 14 | 0.68 |
| Indonesia | 396 | 11 | 0.75 |
| Ireland | 496 | 5 | 0.94 |
| Italy | 468 | 6 | 0.88 |
| Japan | 529 | 2 | 0.99 |
| Mongolia 1 | 411 | 9 | 0.78 |
| New Zealand | 508 | 3 | 0.96 |
| Papua New Guinea 1 | 386 | 12 | 0.73 |
| Philippines | 357 | 15 | 0.67 |
| Uganda 1 | 359 | 13 | 0.68 |
| USA | 502 | 4 | 0.95 |
| Country | Relative Vulnerability (RV) | Rank | Natural Hazard Factor (NHF) |
|---|---|---|---|
| Bangladesh | 4.17 | 2 | 0.98 |
| Chile | −4.20 | 14 | −0.98 |
| Costa Rica | −4.03 | 13 | −0.94 |
| Estonia | −1.13 | 8 | −0.27 |
| Haiti | 3.89 | 3 | 0.91 |
| Indonesia | 0.88 | 6 | 0.21 |
| Ireland | −2.82 | 10 | −0.66 |
| Italy | −3.42 | 11 | −0.80 |
| Japan | −9.64 | 15 | −2.26 |
| Mongolia | −0.21 | 7 | −0.05 |
| New Zealand | −3.49 | 12 | −0.82 |
| Papua New Guinea | 4.27 | 1 | 1.00 |
| Philippines | 1.93 | 4 | 0.45 |
| Uganda | 1.65 | 5 | 0.39 |
| USA | −2.21 | 9 | −0.52 |
© 2020 by the authors. Licensee MDPI, Basel, Switzerland. This article is an open access article distributed under the terms and conditions of the Creative Commons Attribution (CC BY) license (http://creativecommons.org/licenses/by/4.0/).
Share and Cite
Cerulli, D.; Scott, M.; Aunap, R.; Kull, A.; Pärn, J.; Holbrook, J.; Mander, Ü. The Role of Education in Increasing Awareness and Reducing Impact of Natural Hazards. Sustainability 2020, 12, 7623. https://doi.org/10.3390/su12187623
Cerulli D, Scott M, Aunap R, Kull A, Pärn J, Holbrook J, Mander Ü. The Role of Education in Increasing Awareness and Reducing Impact of Natural Hazards. Sustainability. 2020; 12(18):7623. https://doi.org/10.3390/su12187623
Chicago/Turabian StyleCerulli, David, Michael Scott, Raivo Aunap, Ain Kull, Jaan Pärn, Jack Holbrook, and Ülo Mander. 2020. "The Role of Education in Increasing Awareness and Reducing Impact of Natural Hazards" Sustainability 12, no. 18: 7623. https://doi.org/10.3390/su12187623
APA StyleCerulli, D., Scott, M., Aunap, R., Kull, A., Pärn, J., Holbrook, J., & Mander, Ü. (2020). The Role of Education in Increasing Awareness and Reducing Impact of Natural Hazards. Sustainability, 12(18), 7623. https://doi.org/10.3390/su12187623

