Exploring Perceived Well-Being from Urban Parks: Insights from a Megacity in Latin America
Abstract
1. Introduction
2. Materials and Methods
2.1. Research Setting
2.2. Study Site
2.3. Sampling
2.4. Survey and Statistical Analysis
3. Results
3.1. Word Associations
3.2. Park Attributes and Preferences
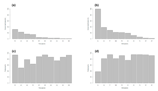
3.3. Ecological Knowledge
3.4. Exploring the Relationship between Knowledge and Well-Being
4. Discussion
Supplementary Materials
Author Contributions
Funding
Acknowledgments
Conflicts of Interest
Appendix A

References
- Martin, L.J.; Blossey, B.; Ellis, E. Mapping where ecologists work: Biases in the global distribution of terrestrial ecological observations. Front Ecol. Environ. 2012, 10, 195–201. [Google Scholar] [CrossRef]
- Grimm, N.B.; Faeth, S.H.; Golubiewski, N.E.; Redman, C.L.; Wu, J.; Bai, X.; Briggs, J.M. Global change and the ecology of cities. Science 2008, 319, 756–760. [Google Scholar] [CrossRef] [PubMed]
- Grimm, N.B.; Foster, D.; Groffman, P.; Grove, J.M.; Hopkinson, C.S.; Nadelhoffer, K.J.; Pataki, D.; Peters, D.P. The changing landscape: Ecosystem responses to urbanization and pollution across climatic and societal gradients. Front. Ecol. Environ. 2008, 6, 264–272. [Google Scholar] [CrossRef]
- Alberti, M. The effects of urban patterns on ecosystem function. Int. Reg. Sci. Rev. 2005, 28, 168–192. [Google Scholar] [CrossRef]
- McKinney, M.L. Effects of urbanization on species richness: A review of plants and animals. Urban Ecosyst. 2008, 11, 161–176. [Google Scholar] [CrossRef]
- Kaye, J.P.; Groffman, P.M.; Grimm, N.B.; Baker, L.A.; Pouyat, R.V. A distinct urban biogeochemistry? Trends Ecol. Evol. 2006, 21, 192–199. [Google Scholar] [CrossRef]
- Elmqvist, T.; Fragkias, M.; Goodness, J.; Güneralp, B.; Marcotullio, P.J.; McDonald, R.I.; Parnell, S.; Schewenius, M.; Sendstad, M.; Seto, K.C.; et al. Stewardship of the Biosphere in the Urban Era. In Urbanization, Biodiversity and Ecosystem Services: Challenges and Opportunities, 1st ed.; Elmqvist, T., Fragkias, M., Goodness, J., Güneralp, B., Marcotullio, P.J., McDonald, R.I., Parnell, S., Schewenius, M., Sendstad, M., Seto, K.C., et al., Eds.; Springer: Dordrecht, The Netherlands, 2013; pp. 719–746. [Google Scholar] [CrossRef]
- Cox, D.T.C.; Gaston, K.J. Human–nature interactions and the consequences and drivers of provisioning wildlife. Phil. Trans. R. Soc. B Biol. Sci. 2018, 373, 20170092. [Google Scholar] [CrossRef]
- Shanahan, D.F.; Lin, B.B.; Gaston, K.J.; Bush, R.; Fuller, R.A. Socio-economic inequalities in access to nature on public and private lands: A case study from Brisbane, Australia. Landsc. Urban Plan. 2014, 130, 14–23. [Google Scholar] [CrossRef]
- Soga, M.; Gaston, K.J. Extinction of experience: The loss of human-nature interactions. Front. Ecol. Environ. 2016, 14, 94–101. [Google Scholar] [CrossRef]
- Dallimer, M.; Irvine, K.N.; Skinner, A.M.J.; Davies, Z.G.; Rouquette, J.R.; Maltby, L.L.; Warren, P.H.; Armsworth, P.R.; Gaston, K.J. Biodiversity and the Feel-Good Factor: Understanding Associations between Self-Reported Human Well-being and Species Richness. BioScience 2012, 62, 47–55. [Google Scholar] [CrossRef]
- Fuller, R.A.; Irvine, K.N.; Devine-Wright, P.; Warren, P.H.; Gaston, K.J. Psychological benefits of greenspace increase with biodiversity. Biol. Lett. 2007, 3, 390–394. [Google Scholar] [CrossRef] [PubMed]
- Russell, R.; Guerry, A.D.; Balvanera, P.; Gould, R.K.; Basurto, X.; Chan, K.M.A.; Klain, S.; Levine, J.; Tam, J. Humans and nature: How knowing and experiencing nature affect well-being. Annu. Rev. Environ. Resour. 2013, 38, 473–502. [Google Scholar] [CrossRef]
- Cox, D.T.C.; Hudson, H.L.; Shanahan, D.F.; Fuller, R.A.; Gaston, K.J. The rarity of direct experiences of nature in an urban population. Landsc. Urban Plan. 2017, 160, 79–84. [Google Scholar] [CrossRef]
- Soga, M.; Gaston, K.J. Shifting baseline syndrome: Causes, consequences, and implications. Front. Ecol. Environ. 2018, 16, 222–230. [Google Scholar] [CrossRef]
- Soga, M.; Gaston, K.J.; Koyanagi, T.F.; Kurisu, K.; Hanaki, K. Urban residents’ perceptions of neighbourhood nature: Does the extinction of experience matter? Biol. Conserv. 2016, 203, 143–150. [Google Scholar] [CrossRef]
- Soga, M.; Gaston, K.J.; Yamaura, Y.; Kurisu, K.; Hanaki, K. Both direct and vicarious experiences of nature affect children’s willingness to conserve biodiversity. Int. J. Environ. Res. Public Health 2016, 13, 529. [Google Scholar] [CrossRef]
- Miller, J.R. Biodiversity conservation and the extinction of experience. Trends Ecol. Evol. 2005, 20, 430–434. [Google Scholar] [CrossRef]
- Wilson, E.O. Biophilia; Harvard University: Cambridge, MA, USA, 1984. [Google Scholar]
- Cameron, R.W.; Brindley, P.; Mears, M.; McEwan, K.; Ferguson, F.; Sheffield, D.; Jorgensen, A.; Riley, J.; Goodrick, J.; Ballard, L.; et al. Where the wild things are! Do urban green spaces with greater avian biodiversity promote more positive emotions in humans? Urban Ecosyst. 2020, 23, 301–317. [Google Scholar] [CrossRef]
- Ballouard, J.M.; Brischoux, F.; Bonnet, X. Children prioritize virtual exotic biodiversity over local biodiversity. PLoS ONE 2011, 6, e23152. [Google Scholar] [CrossRef]
- Bermúdez, G.; De Longhi, A. La educación ambiental y la ecología como ciencia. Revista Electrónica Enseñanza de las Ciencia 2008, 7, 275–297. [Google Scholar]
- Campos, C.M.; Nates, J.; Lindemann-Matthies, P. Percepción y conocimiento de la biodiversidad por estudiantes urbanos y rurales de las tierras áridas del centro-oeste de Argentina. Ecol. Austral. 2013, 23, 174–183. [Google Scholar]
- Celis-Diez, J.L.; Muñoz, C.E.; Abades, S.; Marquet, P.A.; Armesto, J.J. Biocultural homogenization in Urban settings: Public knowledge of birds in city parks of Santiago, Chile. Sustainability 2017, 9, 485. [Google Scholar] [CrossRef]
- Pilgrim, S.E.; Cullen, L.C.; Smith, D.J.; Pretty, J. Ecological knowledge is lost in wealthier communities and countries. Environ. Sci. Technol. 2008, 42, 1004–1009. [Google Scholar] [CrossRef] [PubMed]
- Robinson, B.S.; Inger, R.; Gaston, K.J. A rose by any other name: Plant identification knowledge & socio-demographics. PLoS ONE 2016, 11, e0156572. [Google Scholar] [CrossRef]
- Cox, D.T.C.; Gaston, K.J. Likeability of garden birds: Importance of species knowledge & richness in connecting people to nature. PLoS ONE 2015, 10, e0141505. [Google Scholar] [CrossRef]
- Rumble, H.; Angeoletto, F.; Connop, S.; Goddard, M.A.; Nash, C. Understanding and Applying Ecological Principles in Cities. In Planning Cities with Nature, 1st ed.; Lemes de Oliveira, F., Mell, I., Eds.; Springer: New York, NY, USA, 2019; pp. 217–234. [Google Scholar]
- Kraas, F. Megacities and global change in East, Southeast and South Asia. Asien 2007, 103, 9–22. [Google Scholar]
- Web Diseminación Censo. Available online: http://resultados.censo2017.cl/ (accessed on 20 July 2020).
- Myers, N.; Mittermeier, R.; Mittermeier, C.; da Fonseca, G.; Kent, J. Biodiversity hotspots for conservation priorities. Nature 2000, 403, 853–858. [Google Scholar] [CrossRef]
- Rozzi, R.; Massardo, F.; Silander, J., Jr.; Dollenz, O.; Connolly, B.; Anderson, C.; Turner, N. Árboles nativos y exóticos en las plazas de Magallanes. Native and exotic tree species in the squares of the Magellan Region. An. Inst. Patagon. 2003, 31, 27–42. [Google Scholar]
- Figueroa, J.A.; Castro, S.A.; Reyes, M.; Teillier, S. Urban park area and age determine the richness of native and exotic plants in parks of a Latin American city: Santiago as a case study. Urban Ecosyst. 2018, 21, 645–655. [Google Scholar] [CrossRef]
- Reyes-Paeke, S.; Aldunce, I.M.F. Distribution, size and accessibility of green areas in Santiago de Chile. EURE 2010, 36, 89–110. [Google Scholar] [CrossRef]
- Urban Green Spaces and Health: A Review of Evidence. Available online: https://www.euro.who.int/__data/assets/pdf_file/0005/321971/Urban-green-spaces-and-health-review-evidence.pdf (accessed on 20 July 2020).
- Plan Verde: Un Instrumento Para la Gestión y el Fomento de áreas Verdes en el Gran Santiago. Available online: http://redalyc.uaemex.mx/pdf/198/19800805.pdf (accessed on 20 July 2020).
- Gelcich, S.; Cinner, J.; Donlan, C.; Tapia-Lewin, S.; Godoy, N.; Castilla, J.C. Fishers’ perceptions on the Chilean coastal TURF system after two decades: Problems, benefits, and emerging needs. Bull. Mar. Sci. 2017, 93, 53–67. [Google Scholar] [CrossRef]
- R Core Team. R: A Language and Environment for Statistical Computing; R Foundation for Statistical Computing: Vienna, Austria, 2020; Available online: https://www.R-project.org/ (accessed on 20 July 2020).
- RStudio Team. RStudio: Integrated Development for R. RStudio; PBC: Boston, MA, USA, 2020; Available online: http://www.rstudio.com/ (accessed on 20 July 2020).
- Marín, A.; Gelcich, S.; Castilla, J.C. Ecosystem services and abrupt transformations in a coastal wetland social-ecological system: Tubul-Raqui after the 2010 Earthquake in Chile. Ecol. Soc. 2014, 9, 1983. [Google Scholar] [CrossRef]
- Lohr, V.I.; Pearson-Mims, C.H.; Tarnai, J.; Dillman, D.A. How urban residents rate tree benefits and problems. Arboric. J. 2002, 30, 28–35. [Google Scholar]
- Perelman, P.; Breuste, J.; Madanes, N.; Gropper, C.; Melignani, E.; Faggi, A. Use of visitors’ perception in urban reserves in the Buenos Aires metropolis. Urban Ecosyst. 2012, 16, 841–851. [Google Scholar] [CrossRef]
- Durán, G.; Kremerman, M. Los bajos salarios de Chile. Análisis de la Encuesta CASEN 2015. Ideas Para el Buen Vivir 2017, 14, 1–8. [Google Scholar]
- Pyšek, P. Alien and native species in Central European urban floras: A quantitative comparison. J. Biogeogr. 1998, 25, 155–163. [Google Scholar] [CrossRef]
- Cox, D.T.C.; Hudson, H.L.; Plummer, K.E.; Siriwardena, G.M.; Anderson, K.; Hancock, S.; Devine-Wright, P.; Gaston, K.J. Covariation in urban birds providing cultural services or disservices and people. J. Appl. Ecol. 2018, 55, 2308–2319. [Google Scholar] [CrossRef]
- Corney, H.; Neave, M. I can hear the birds: Using audio recordings to assess perceptions of amenity in urban riparian environments. Urban Ecosyst. 2019, 22, 235–247. [Google Scholar] [CrossRef]
- Muratet, A.; Pellegrini, P.; Dufour, A.B.; Arrif, T.; Chiron, F. Perception and knowledge of plant diversity among urban park users. Landsc. Urban Plan. 2015, 137, 95–106. [Google Scholar] [CrossRef]
- Suchocka, M.; Jankowski, P.; Błaszczyk, M. Perception of urban trees by polish tree professionals vs. nonprofessionals. Sustainability 2019, 11, 211. [Google Scholar] [CrossRef]
- Shanahan, D.F.; Lin, B.B.; Gaston, K.J.; Bush, R.; Fuller, R.A. What is the role of trees and remnant vegetation in attracting people to urban parks? Landsc. Ecol. 2015, 30, 153–165. [Google Scholar] [CrossRef]
- Wandersee, J.H.; Schussler, E.E. Toward a theory of plant blindness. Plant Sci. Bull 2001, 47, 2–9. [Google Scholar]
- Taylor, L.; Hahs, A.K.; Hochuli, D.F. Wellbeing and urban living: Nurtured by nature. Urban Ecosyst. 2017, 21, 197–208. [Google Scholar] [CrossRef]
- Fuller, R.A.; Warren, P.H.; Armsworth, P.R.; Barbosa, O.; Gaston, K.J. Garden bird feeding predicts the structure of urban avian assemblages. Divers. Distrib. 2008, 14, 131–137. [Google Scholar] [CrossRef]
- Moss, S.A. Bird in the Bush. In A Social History of Bird Watching; Aurum Press Ltd.: London, UK, 2004. [Google Scholar]
- Suphoronski, S.A.; de Freitas Raso, T.; Weinert, N.C.; Seki, M.C.; Carrasco, A.D.O.T. Occurrence of Salmonella sp. and Escherichia coli in free-living and captive wild birds from 2010–2013 in Guarapuava, Paraná, Brazil. Afr. J. Microbiol. Res. 2015, 9, 1778–1782. [Google Scholar] [CrossRef][Green Version]
- Belaire, J.A.; Westphal, L.M.; Whelan, C.J.; Minor, E.S. Urban residents’ perceptions of birds in the neighborhood: Biodiversity, cultural ecosystem services, and disservices. Condor 2015, 117, 192–202. [Google Scholar] [CrossRef]
- Southon, G.E.; Jorgensen, A.; Dunnett, N.; Hoyle, H.; Evans, K.L. Perceived species-richness in urban green spaces: Cues, accuracy and well-being impacts. Landsc. Urban Plan. 2018, 172, 1–10. [Google Scholar] [CrossRef]
- Lumber, R.; Richardson, M.; Sheffield, D. Beyond knowing nature: Contact, emotion, compassion, meaning, and beauty are pathways to nature connection. PLoS ONE 2017, 12, e0177186. [Google Scholar] [CrossRef]
- Berkes, F.; Colding, J.; Folke, C. Rediscovery of Traditional Ecological Knowledge as Adaptive Management. Ecol. Appl. 2000, 10, 1251–1262. [Google Scholar] [CrossRef]
- Harvey, C.; Hallam, J.; Richardson, M.; Wells, R. The good things children notice in nature: An extended framework for reconnecting children with nature. Urban For. Urban Green. 2020, 49, 126573. [Google Scholar] [CrossRef]
- Taylor, L.; Hochuli, D.F. Creating better cities: How biodiversity and ecosystem functioning enhance urban residents’ wellbeing. Urban Ecosyst. 2015, 18, 747–762. [Google Scholar] [CrossRef]
- Patrick, P.; Tunnicliffe, S.D. What Plants and Animals Do Early Childhood and Primary Students’ Name? Where Do They See Them? J. Sci. Educ. Technol. 2011, 20, 630–642. [Google Scholar] [CrossRef]




© 2020 by the authors. Licensee MDPI, Basel, Switzerland. This article is an open access article distributed under the terms and conditions of the Creative Commons Attribution (CC BY) license (http://creativecommons.org/licenses/by/4.0/).
Share and Cite
Parra-Saldívar, A.; Abades, S.; Celis-Diez, J.L.; Gelcich, S. Exploring Perceived Well-Being from Urban Parks: Insights from a Megacity in Latin America. Sustainability 2020, 12, 7586. https://doi.org/10.3390/su12187586
Parra-Saldívar A, Abades S, Celis-Diez JL, Gelcich S. Exploring Perceived Well-Being from Urban Parks: Insights from a Megacity in Latin America. Sustainability. 2020; 12(18):7586. https://doi.org/10.3390/su12187586
Chicago/Turabian StyleParra-Saldívar, Andrea, Sebastián Abades, Juan L. Celis-Diez, and Stefan Gelcich. 2020. "Exploring Perceived Well-Being from Urban Parks: Insights from a Megacity in Latin America" Sustainability 12, no. 18: 7586. https://doi.org/10.3390/su12187586
APA StyleParra-Saldívar, A., Abades, S., Celis-Diez, J. L., & Gelcich, S. (2020). Exploring Perceived Well-Being from Urban Parks: Insights from a Megacity in Latin America. Sustainability, 12(18), 7586. https://doi.org/10.3390/su12187586

