Impact of Climate Change in West Africa on Cereal Production Per Capita in 2050
Abstract
1. Introduction
2. Method and Data
2.1. Climate Projections in West Africa
2.2. Population Data
2.3. Yield Simulation
2.3.1. SARRA-O Model
2.3.2. The Concentration of CO2 and the Integration in SARRA-O
2.3.3. Estimation of Crop Yields
2.4. Estimation of Cereal Production per Capita
3. Results
3.1. Climatic Evolution
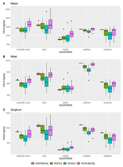
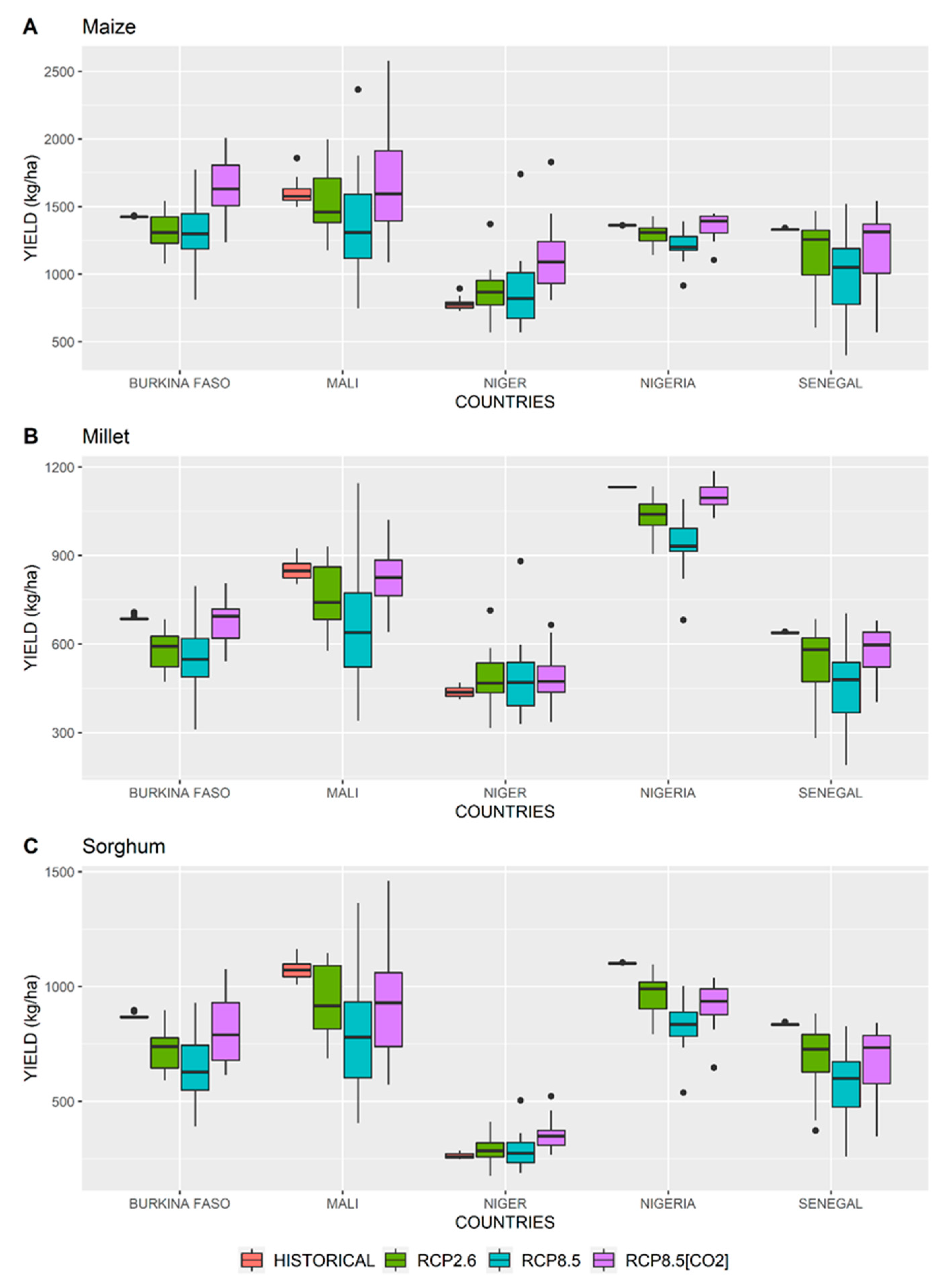
3.2. Evolution of Yields across Five Countries in West Africa
- -
- a negative and relatively homogeneous effect of a strong temperature increase on the reduction of the cycle and the reduction of the biomass produced by an increase in maintenance respiration),
- -
- a predominantly negative effect and a fairly small decrease in solar radiation,
- -
- an effect that can be opposite and more or less strongly marked depending on the evolution, positive or negative, of precipitations according to the areas described above,
- -
- an effect of reducing the impact of water stress by reducing the transpiration demand of plants, less water consumption in the soil, this effect expressing itself all the more strongly as we are in areas where the lack of water is the most marked (Sahel Belt).
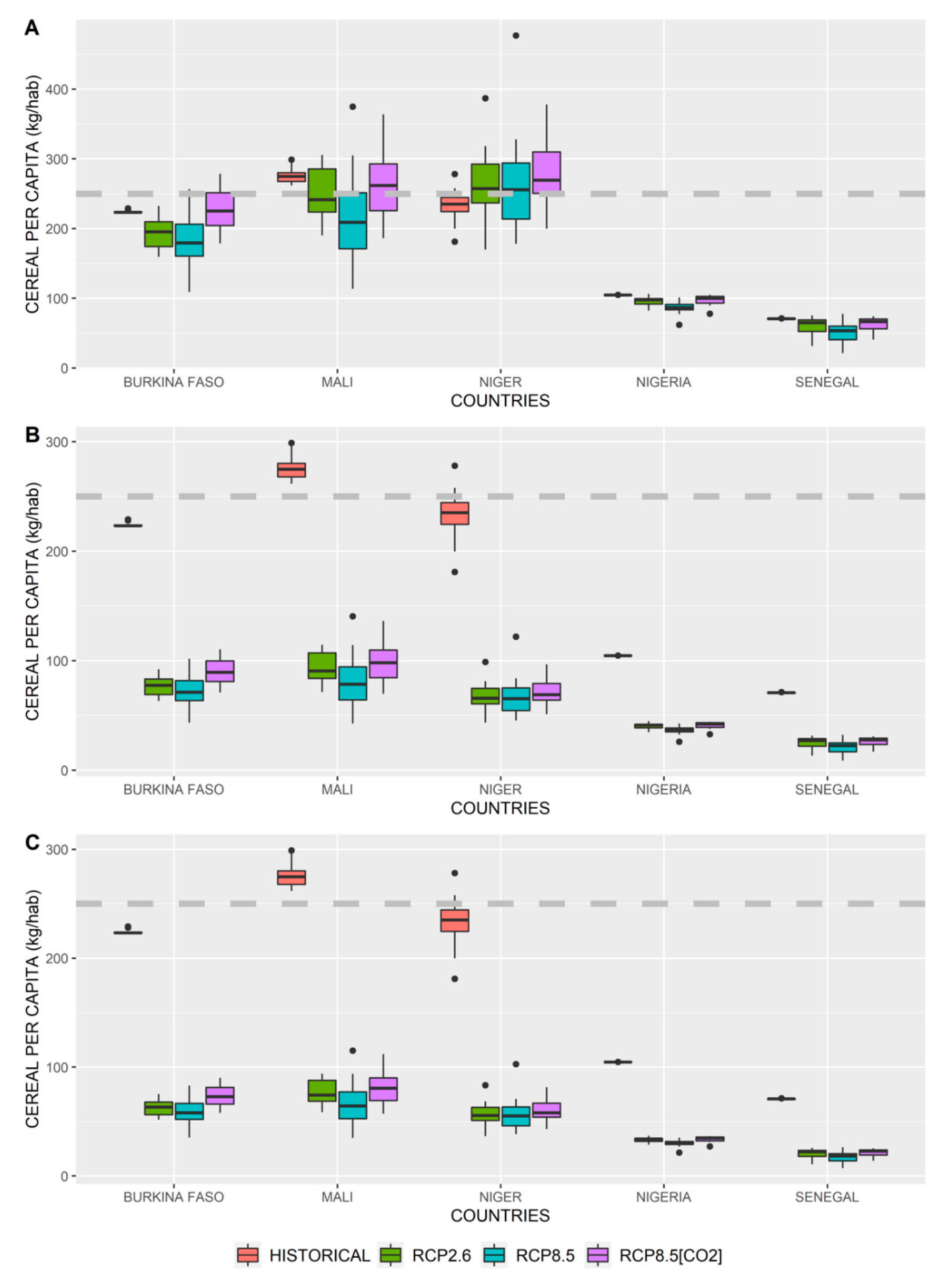
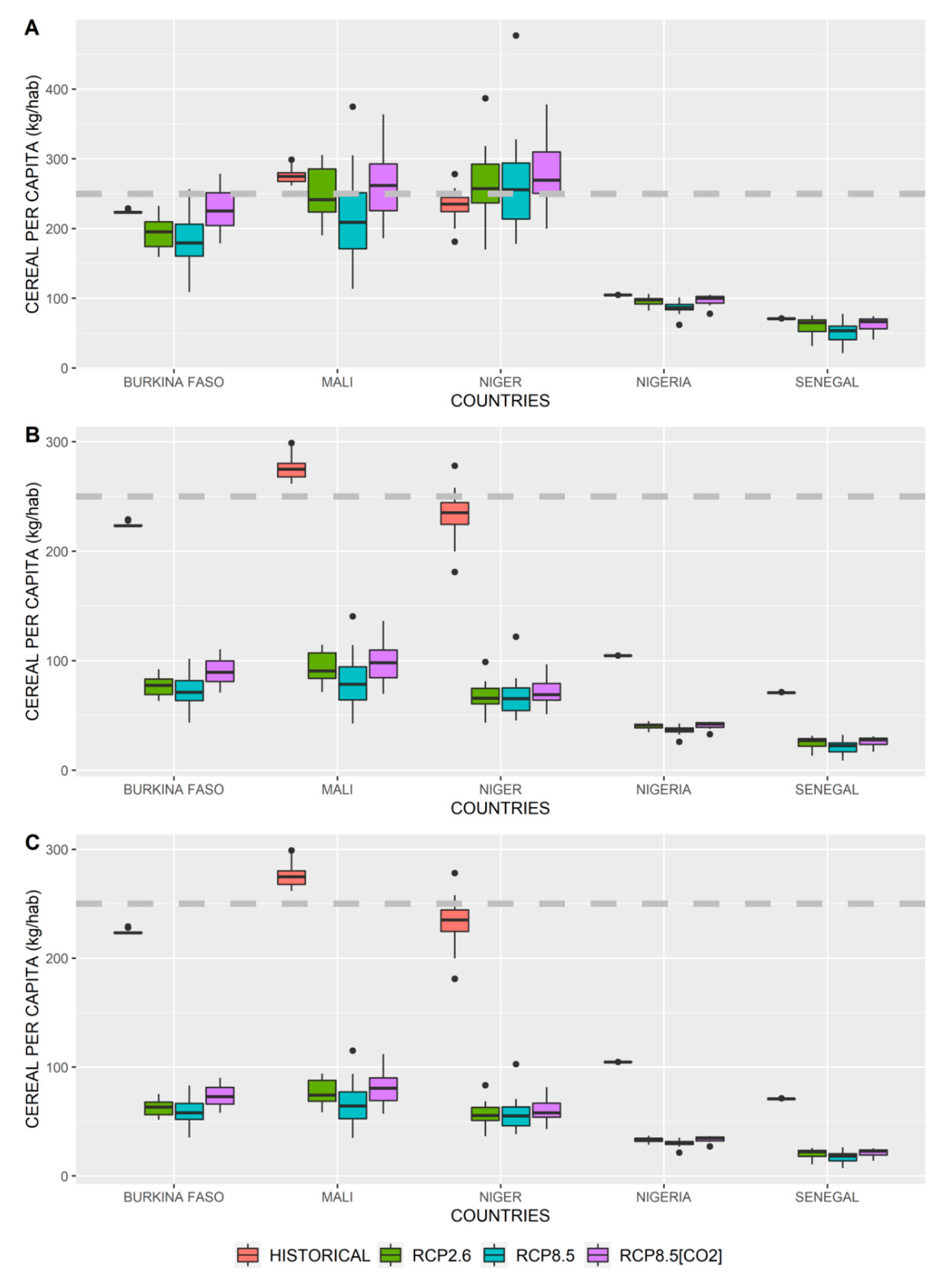
3.3. Evolution of Agronomic Yields Production per Capita
4. Discussion
4.1. Uncertainty on the Crop Yield in View of Climate Constraint
4.2. The CO2 Effects on the Crop Yield
4.3. Impacts on Population and Adaptation
5. Conclusions
Supplementary Materials
Author Contributions
Funding
Conflicts of Interest
References
- Ickowicz, A.; Ancey, V.; Corniaux, C.; Duteurtre, G.; Poccard-Chappuis, R.; Touré, I.; Vall, E.; Wane, A. Crop-livestock production systems in the Sahel—Increasing resilience for adaptation to climate change and preserving food security. In Proceedings of the Building Resilience for Adaptation to Climate Change in the Agriculture Sector, Rome, Italy, 23–24 April 2012; pp. 261–294. [Google Scholar]
- Taylor, K.E.; Stouffer, R.J.; Meehl, G.A. An overview of CMIP5 and the experiment design. Bull. Am. Meteorol. Soc. 2012, 93, 485–498. [Google Scholar] [CrossRef]
- Kirtman, B.; Power, S.B.; Adedoyin, J.A.; Boer, G.J.; Bojariu, R.; Camilloni, I.; Doblas-Reyes, F.J.; Fiore, A.M.; Kimoto, M.; Meehl, G.A.; et al. Near-term climate change: Projections and predictability. In Climate Change 2013: The Physical Science Basis. Contribution of Working Group I to the Fifth Assessment Report of the Intergovernmental Panel on Climate Change; Cambridge University Press: Cambridge, UK; New York, NY, USA, 2013. [Google Scholar]
- Christensen, J.H.; Krishna Kumar, K.; Aldrian, E.; An, S.-I.; Cavalcanti, I.F.A.; de Castro, M.; Dong, W.; Goswami, P.; Hall, A.; Kanyanga, J.K.; et al. Climate phenomena and their relevance for future regional climate change. In Climate Change 2013: The Physical Science Basis. Contribution of Working Group I to the Fifth Assessment Report of the Intergovernmental Panel on Climate Change; Stocker, T.F.D., Qin, G.-K., Plattner, M., Tignor, S.K., Allen, J., Boschung, A., Nauels, Y.X., Eds.; Cambridge University Press: Cambridge, UK; New York, NY, USA, 2013. [Google Scholar]
- Oettli, P.; Sultan, B.; Baron, C.; Vrac, M. Are regional climate models relevant for crop yield prediction in West Africa? Env. Res. Lett. 2011, 6, 14008. [Google Scholar] [CrossRef]
- Famien, A.M.; Janicot, S.; Ochou, A.D.; Vrac, M.; Defrance, D.; Sultan, B.; Noël, T. A bias-corrected CMIP5 dataset for Africa using the CDF-t method—A contribution to agricultural impact studies. Earth Syst. Dyn. 2018, 9, 313–338. [Google Scholar] [CrossRef]
- Knox, J.; Hess, T.; Daccache, A.; Wheeler, T. Climate change impacts on crop productivity in Africa and South Asia. Env. Res. Lett. 2012, 7, 34032. [Google Scholar] [CrossRef]
- Kellner, J.; Houska, T.; Manderscheid, R.; Weigel, H.; Breuer, L.; Kraft, P. Response of maize biomass and soil water fluxes on elevated CO2 and drought—From field experiments to process-based simulations. Glob. Chang. Biol. 2019, 25, 2947–2957. [Google Scholar] [CrossRef]
- Durand, J.L.; Delusca, K.; Boote, K.; Lizaso, J.; Manderscheid, R.; Weigel, H.J.; Ruane, A.C.; Rosenzweig, C.; Jones, J.; Ahuja, L.; et al. How accurately do maize crop models simulate the interactions of atmospheric CO2 concentration levels with limited water supply on water use and yield? Eur. J. Agron. 2018, 100, 67–75. [Google Scholar] [CrossRef]
- KC, S.; Lutz, W. The human core of the shared socioeconomic pathways: Population scenarios by age, sex and level of education for all countries to 2100. Glob. Environ. Chang. 2014, 42, 181–192. [Google Scholar] [CrossRef]
- United Nations—Department of Economic and Social Affairs. World Population Prospects: The 2017 Revision; United Nations: New York, NY, USA, 2017. [Google Scholar]
- United Nations—Department of Economic and Social Affairs. World Population Prospects Database. Available online: https://population.un.org/wpp/ (accessed on 22 February 2019).
- Sultan, B.; Parkes, B.; Gaetani, M. Direct and indirect effects of CO2 increase on crop yield in West Africa. Int. J. Clim. 2019, 39, 2400–2411. [Google Scholar] [CrossRef]
- Parkes, B.; Defrance, D.; Sultan, B.; Ciais, P.; Wang, X. Projected changes in crop yield mean and variability over West Africa in a world 1.5K warmer than the pre-industrial era. Earth Syst. Dyn. 2018, 9, 119–134. [Google Scholar] [CrossRef]
- Kogo, B.K.; Kumar, L.; Koech, R.; Langat, P. Modelling impacts of climate change on maize (Zea mays L.) Growth and productivity: A review of models, outputs and limitations. J. Geosci. Env. Prot. 2019, 7, 76–95. [Google Scholar]
- Michelangeli, P.; Vrac, M.; Loukos, H. Probabilistic downscaling approaches: Application to wind cumulative distribution functions. Geophys. Res. Lett. 2009, 36, 11. [Google Scholar] [CrossRef]
- Vrac, M.; Drobinski, P.; Merlo, A.; Herrmann, M.; Lavaysse, C.; Li, L.; Somot, S. Dynamical and statistical downscaling of the French Mediterranean climate: Uncertainty assessment. Nat. Hazards Earth Syst. Sci. 2012, 12, 2769–2784. [Google Scholar] [CrossRef]
- Weedon, G.P.; Balsamo, G.; Bellouin, N.; Gomes, S.; Best, M.J.; Viterbo, P. The WFDEI meteorological forcing data set: WATCH Forcing Data methodology applied to ERA-Interim reanalysis data. Water Resour. Res. 2014, 50, 7505–7514. [Google Scholar] [CrossRef]
- Moss, R.H.; Edmonds, J.A.; Hibbard, K.A.; Manning, M.R.; Rose, S.K.; van Vuuren, D.P.; Carter, T.R.; Emori, S.; Kainuma, M.; Kram, T.; et al. The next generation of scenarios for climate change research and assessment. Nature 2010, 463, 747–756. [Google Scholar] [CrossRef]
- Collins, M.; Knutti, R.; Arblaster, J.; Dufresne, J.-L.; Fichefet, T.; Friedlingstein, P.; Gao, X.; Gutowski, W.J.; Johns, T.; Krinner, G.; et al. Long-term climate change: Projections, commitments and irreversibility. In Climate Change 2013: The Physical Science Basis. Contribution of Working Group I to the Fifth Assessment Report of the Intergovernmental Panel on Climate Change; Stocker, T.F.D., Qin, G.-K., Plattner, M., Tignor, S.K., Allen, J., Boschung, A., Nauels, Y.X., Eds.; Cambridge University Press: Cambridge, UK; New York, NY, USA, 2013. [Google Scholar]
- Baron, C.; Sultan, B.; Balme, M.; Sarr, B.; Traore, S.; Lebel, T.; Janicot, S.; Dingkuhn, M. From GCM grid cell to agricultural plot: Scale issues affecting modelling of climate impact. Philos. Trans. R. Soc. B Biol. Sci. 2005, 360, 2095–2108. [Google Scholar] [CrossRef]
- Dingkuhn, M.; Baron, C.; Bonnal, V.; Maraux, F.; Sarr, B.; Sultan, B.; Forest, F. Decision support tools for rainfed crops in the Sahel at the plot and regional scales. In Decision Support Tools for Smallholder Agriculture in Sub-Saharan Africa—A Practical Guide’; IFDC: Muscle Shoals, AL, USA, 2003; pp. 127–139. [Google Scholar]
- Kouressy, M.; Dingkuhn, M.; Vaksmann, M.; Bryan, A. Adaptation to diverse semi-arid environments of sorghum genotypes having different plant type and sensitivity to photoperiod. Agr. For. Meteorol. 2008, 148, 357–371. [Google Scholar] [CrossRef]
- Traoré, S.B.; Alhassane, A.; Muller, B.; Kouressy, M.; Somé, L.; Sultan, B.; Oettli, P.; Siéné Laopé, A.C.; Sangaré, S.; Vaksmann, M. Characterizing and modeling the diversity of cropping situations under climatic constraints in West Africa. Atmos. Sci. Lett. 2011, 12, 89–95. [Google Scholar] [CrossRef]
- Sultan, B.; Roudier, P.; Quirion, P.; Alhassane, A.; Muller, B.; Dingkuhn, M.; Ciais, P.; Guimberteau, M.; Traore, S.; Baron, C. Assessing climate change impacts on sorghum and millet yields in the Sudanian and Sahelian savannas of West Africa. Environ. Res. Lett. 2013, 8, 014040. [Google Scholar] [CrossRef]
- Sultan, B.; Defrance, D.; Iizumi, T. Evidence of crop production losses in West Africa due to historical global warming in two crop models. Sci. Rep. 2019, 9, 12834. [Google Scholar] [CrossRef]
- Baron, C.; Bonnal, V.; Dingkuhn, M.; Maraux, F.; Sarr, M. SARRA-H: Système d’analyse regional des risques agroclimatiques-habille (System for regional analysis of agro-climatic risks). In Decision Support Tools for Smallholder Agriculture in Sub-saharan Africa: A Practical Guide; IFDC: Muscle Shoals, AL, USA, 2003; pp. 192–194. [Google Scholar]
- Ramarohetra, J.; Sultan, B. Impact of ET 0 method on the simulation of historical and future crop yields: A case study of millet growth in Senegal. Int. J. Climatol. 2017, 38, 2. [Google Scholar] [CrossRef]
- Bunce, J.A. Carbon dioxide effects on stomatal responses to the environment and water use by crops under field conditions. Oecologia 2004, 140, 1–10. [Google Scholar] [CrossRef]
- Olioso, A.; Huard, F.; Guilioni, L. Prise en compte des effets du CO2 sur le calcul de l’évapotranspiration de référence. In Proceedings of the Climator 2010, Versailles, France, 17–18 June 2010. [Google Scholar]
- Calvet, J.-C.; Noilhan, J.; Roujean, J.-L.; Bessemoulin, P.; Cabelguenne, M.; Olioso, A.; Wigneron, J.-P. An interactive vegetation SVAT model tested against data from six contrasting sites. Agric. Meteorol. 1998, 92, 73–95. [Google Scholar] [CrossRef]
- Erbs, M.; Manderscheid, R.; Luig, A.; Kage, H.; Weigel, H.-J. A field experiment to test interactive effects of elevated CO2 concentration (FACE) and elevated canopy temperature (FATE) on wheat. Procedia Env. Sci. 2015, 29, 60–61. [Google Scholar] [CrossRef][Green Version]
- Manderscheid, R.; Erbs, M.; Weigel, H.-J. Interactive effects of free-air CO2 enrichment and drought stress on maize growth. Eur. J. Agron. 2014, 52, 11–21. [Google Scholar] [CrossRef]
- Biasutti, M. Forced Sahel rainfall trends in the CMIP5 archive. J. Geophys. Res. Atmos. 2013, 118, 1613–1623. [Google Scholar] [CrossRef]
- Challinor, A.J.; Parkes, B.; Ramirez-Villegas, J. Crop yield response to climate change varies with cropping intensity. Glob. Chang. Biol. 2015, 21, 1679–1688. [Google Scholar] [CrossRef]
- Ahmed, K.F.; Wang, G.; Yu, M.; Koo, J.; You, L. Potential impact of climate change on cereal crop yield in West Africa. Clim. Chang. 2015, 133, 321–334. [Google Scholar] [CrossRef]
- Faye, B.; Webber, H.; Naab, J.B.; MacCarthy, D.S.; Adam, M.; Ewert, F.; Lamers, J.P.A.; Schleussner, C.F.; Ruane, A.; Gessner, U.; et al. Impacts of 1.5 versus 2.0 °C on cereal yields in the West African Sudan Savanna. Environ. Res. Lett. 2018, 13, 034014. [Google Scholar] [CrossRef]
- Fusillier, J.-L. Bilan et perspectives de diffusion de la maïsiculture en zone de savane d’Afrique de l’Ouest. In Proceedings of the valorisation du maïs à l’échelon villageois en Afrique de l’Ouest: Actes du séminaire “Maîs prospère", Cotonou, Bénin, 25–28 January 1994. [Google Scholar]
- Rowell, D.P.; Senior, C.A.; Vellinga, M.; Graham, R.J. Can climate projection uncertainty be constrained over Africa using metrics of contemporary performance? Clim. Chang. 2016, 134, 621–633. [Google Scholar] [CrossRef]
- Adeniyi, M.O. The consequences of the IPCC AR5 RCPs 4.5 and 8.5 climate change scenarios on precipitation in West Africa. Clim. Chang. 2016, 139, 245–263. [Google Scholar] [CrossRef]
- Biasutti, M.; Sobel, A.H. Delayed Sahel rainfall and global seasonal cycle in a warmer climate. Geophys. Res. Lett. 2009, 36, 1–5. [Google Scholar] [CrossRef]
- Monerie, P.-A.; Sanchez-Gomez, E.; Boé, J. On the range of future Sahel precipitation projections and the selection of a sub-sample of CMIP5 models for impact studies. Clim. Dyn. 2016, 48, 2751–2770. [Google Scholar] [CrossRef]
- Deryng, D.; Elliott, J.; Folberth, C.; Müller, C.; Pugh, T.A.M.; Boote, K.J.; Conway, D.; Ruane, A.C.; Gerten, D.; Jones, J.W.; et al. Regional disparities in the beneficial effects of rising CO2 concentrations on crop water productivity. Nat. Clim. Chang. 2016, 6, 786–790. [Google Scholar] [CrossRef]
- Caldwell, J.C. The Sahelian Drought and Its Demographic Implications; University of Wisconsin Press: Madison, WI, USA, 1976. [Google Scholar]
- Afolayan, A.A.; Adelekan, I.O. The role of climatic variations on migration and human health in Africa. Environmentalist 1999, 18, 213–218. [Google Scholar] [CrossRef]
- Ezra, M. Demographic responses to environmental stress in the drought- and famine-prone areas of Northern Ethiopia. Int. J. Popul. Geogr. 2001, 7, 259–281. [Google Scholar] [CrossRef]
- Tian, X.; Yu, X. Crop yield gap and yield convergence in African countries. Food Secur. 2019, 11, 1305–1319. [Google Scholar] [CrossRef]
- van Ittersum, M.K.; van Bussel, L.G.J.; Wolf, J.; Grassini, P.; van Wart, J.; Guilpart, N. Can sub-Saharan Africa feed itself ? PNAS 2016, 113, 14964–14969. [Google Scholar] [CrossRef]
- Challinor, A.J.; Watson, J.; Lobell, D.B.; Howden, S.M.; Smith, D.R.; Chhetri, N. A meta-analysis of crop yield under climate change and adaptation. Nat. Clim. Chang. 2014, 4, 287–291. [Google Scholar] [CrossRef]
- Lebel, S.; Fleskens, L.; Forster, P.M. Evaluation of In situ rainwater harvesting as an adaptation strategy to climate change for maize production in Rainfed Africa. Water Resour. Manag. 2015, 4803–4816. [Google Scholar] [CrossRef]
- Sultan, B.; Guan, K.; Kouressy, M.; Biasutti, M.; Piani, C.; Hammer, G.L.; McLean, G.; Lobell, D.B. Robust features of future climate change impacts on sorghum yields in West Africa. Env. Res. Lett. 2014, 9, 104006. [Google Scholar] [CrossRef]
- Turner, N.C.; Rao, K.P.C. Simulation analysis of factors affecting sorghum yield at selected sites in eastern and southern Africa, with emphasis on increasing temperatures. Agric. Syst. 2013, 121, 53–62. [Google Scholar] [CrossRef]
- Guan, K.; Sultan, B.; Biasutti, M.; Baron, C.; Lobell, D.B. Agricultural and forest meteorology assessing climate adaptation options and uncertainties for cereal systems in West Africa. Agric. Meteorol. 2017, 232, 291–305. [Google Scholar] [CrossRef]
- Oweis, T.; Hachum, A. Optimizing supplemental irrigation: Tradeoffs between profitability and sustainability. Agric. Water Manag. 2009, 96, 511–516. [Google Scholar] [CrossRef]
- Bren, C.; Reitsma, F.; Baiocchi, G.; Barthel, S.; Güneralp, B.; Erb, K. Future urban land expansion and implications for global croplands. PNAS 2017, 114, 8939–8944. [Google Scholar] [CrossRef]
- Chamberlin, J.; Jayne, T.S.; Headey, D. Scarcity amidst abundance ? Reassessing the potential for cropland expansion in Africa. Food Policy 2015, 48, 51–65. [Google Scholar] [CrossRef]
- McLeman, R.A.; Hunter, L.M. Migration in the context of vulnerability and adaptation to climate change: Insights from analogues. Wiley Interdiscip. Rev. Clim. Chang. 2010, 1, 450–461. [Google Scholar] [CrossRef]
- Missirian, A.; Schlenker, W. Asylum applications respond to temperature fluctuations. Science 2017, 358, 1610–1614. [Google Scholar] [CrossRef]
- Feng, S.; Krueger, A.B.; Oppenheimer, M. Linkages among climate change, crop yields and Mexico–US cross-border migration. Proc. Natl. Acad. Sci. USA 2010, 107, 14257–14262. [Google Scholar] [CrossRef]
- Van der Geest, K. North-South migration in Ghana: What role for the environment? Int. Migr. 2011, 49, e69–e94. [Google Scholar] [CrossRef]



| Country | Sorghum | Millet | Maize | Total |
|---|---|---|---|---|
| Burkina Faso | 39% | 23% | 31% | 93% |
| Mali | 19% | 24% | 26% | 69% |
| Niger | 28% | 69% | 1% | 98% |
| Nigeria | 27% | 11% | 37% | 75% |
| Senegal | 9% | 39% | 16% | 64% |
| Country. | Current Population (2010) | Lower Projection | Higher Projection |
|---|---|---|---|
| Burkina Faso | 15.60 | 39.14 (2.51) | 47.44 (3.04) |
| Mali | 15.07 | 39.99 (2.65) | 48.22 (3.20) |
| Niger | 16.42 | 63.10 (3.84) | 74.00 (4.51) |
| Nigeria | 158.58 | 374.16 (2.36) | 448.53 (2.83) |
| Senegal | 12.92 | 30.83 (2.39) | 37.35 (2.89) |
| Western Africa | 307.78 | 735.78 (2.39) | 886.70 (2.88) |
| Country and Cereals | Historical Yields (kg/ha) | % RCP2.6 | % RCP8.5 | % RCP8.5 [CO2]a |
|---|---|---|---|---|
| Burkina Faso (SB and Humid) | Pr = 4%; SR = 0%; T = 1.1 °C | Pr = 4%; SR = 0%; T = 2.2 °C | Pr = 4%; SR = 0%; T = 2.2 °C | |
| Maize | 1422 | −8% | −9% | 15% |
| Millet | 684 | −14% | −20% | 1% |
| Sorghum | 867 | −15% | −28% | −9% |
| Mali (SB and Humid) | Pr = 4%; SR = 0%; T = 1.2 °C | Pr = 4%; SR = −1%; T = 2.5°C | Pr = 4%; SR = −1%; T = 2.5 °C | |
| Maize | 1575 | −7% | −17% | 1% |
| Millet | 848 | −13% | −24% | −3% |
| Sorghum | 1071 | −15% | −27% | −13% |
| Niger (SB and driest) | Pr = 13%; SR = 0%; T = 1.3 °C | Pr = 22%; SR = −1%; T = 2.5 °C | Pr = 22%; SR = −1%; T = 2.5 °C | |
| Maize | 775 | 12% | 6% | 40% |
| Millet | 435 | 7% | 8% | 9% |
| Sorghum | 259 | 10% | 6% | 34% |
| Nigeria (most humid) | Pr = 1%; SR = 1%; T = 1 °C | Pr = 0%; SR = 0%; T = 1.9 °C | Pr = 0%; SR = 0%; T = 1.9 °C | |
| Maize | 1360 | −4% | −11% | 2% |
| Millet | 1131 | −8% | −18% | −3% |
| Sorghum | 1100 | −10% | −24% | −15% |
| Senegal (SB and coastal) | Pr = 1%; SR = 0%; T = 1 °C | Pr = -15%; SR = 0%; T = 1.7 °C | Pr = -15%; SR = 0%; T = 1.7 °C | |
| Maize | 1328 | −6% | −21% | −1% |
| Millet | 638 | −9% | −25% | −6% |
| Sorghum | 834 | −13% | −28% | −12% |
© 2020 by the authors. Licensee MDPI, Basel, Switzerland. This article is an open access article distributed under the terms and conditions of the Creative Commons Attribution (CC BY) license (http://creativecommons.org/licenses/by/4.0/).
Share and Cite
Defrance, D.; Sultan, B.; Castets, M.; Famien, A.M.; Baron, C. Impact of Climate Change in West Africa on Cereal Production Per Capita in 2050. Sustainability 2020, 12, 7585. https://doi.org/10.3390/su12187585
Defrance D, Sultan B, Castets M, Famien AM, Baron C. Impact of Climate Change in West Africa on Cereal Production Per Capita in 2050. Sustainability. 2020; 12(18):7585. https://doi.org/10.3390/su12187585
Chicago/Turabian StyleDefrance, Dimitri, Benjamin Sultan, Mathieu Castets, Adjoua Moise Famien, and Christian Baron. 2020. "Impact of Climate Change in West Africa on Cereal Production Per Capita in 2050" Sustainability 12, no. 18: 7585. https://doi.org/10.3390/su12187585
APA StyleDefrance, D., Sultan, B., Castets, M., Famien, A. M., & Baron, C. (2020). Impact of Climate Change in West Africa on Cereal Production Per Capita in 2050. Sustainability, 12(18), 7585. https://doi.org/10.3390/su12187585

