Winter Irrigation Effects on Soil Moisture, Temperature and Salinity, and on Cotton Growth in Salinized Fields in Northern Xinjiang, China
Abstract
1. Introduction
2. Materials and Methods
2.1. Experimental Site
2.2. Experimental Design
2.3. Measurements
2.3.1. Soil Salinity
2.3.2. Soil Temperature and Soil Water Content
2.3.3. Seedling Emergence Rate and Crop Yield
2.4. Statistical Analysis
3. Results and Analysis
3.1. Effects of Different Winter Irrigation Rates on Soil Temperature in Cotton Fields with Different Levels of Salinization
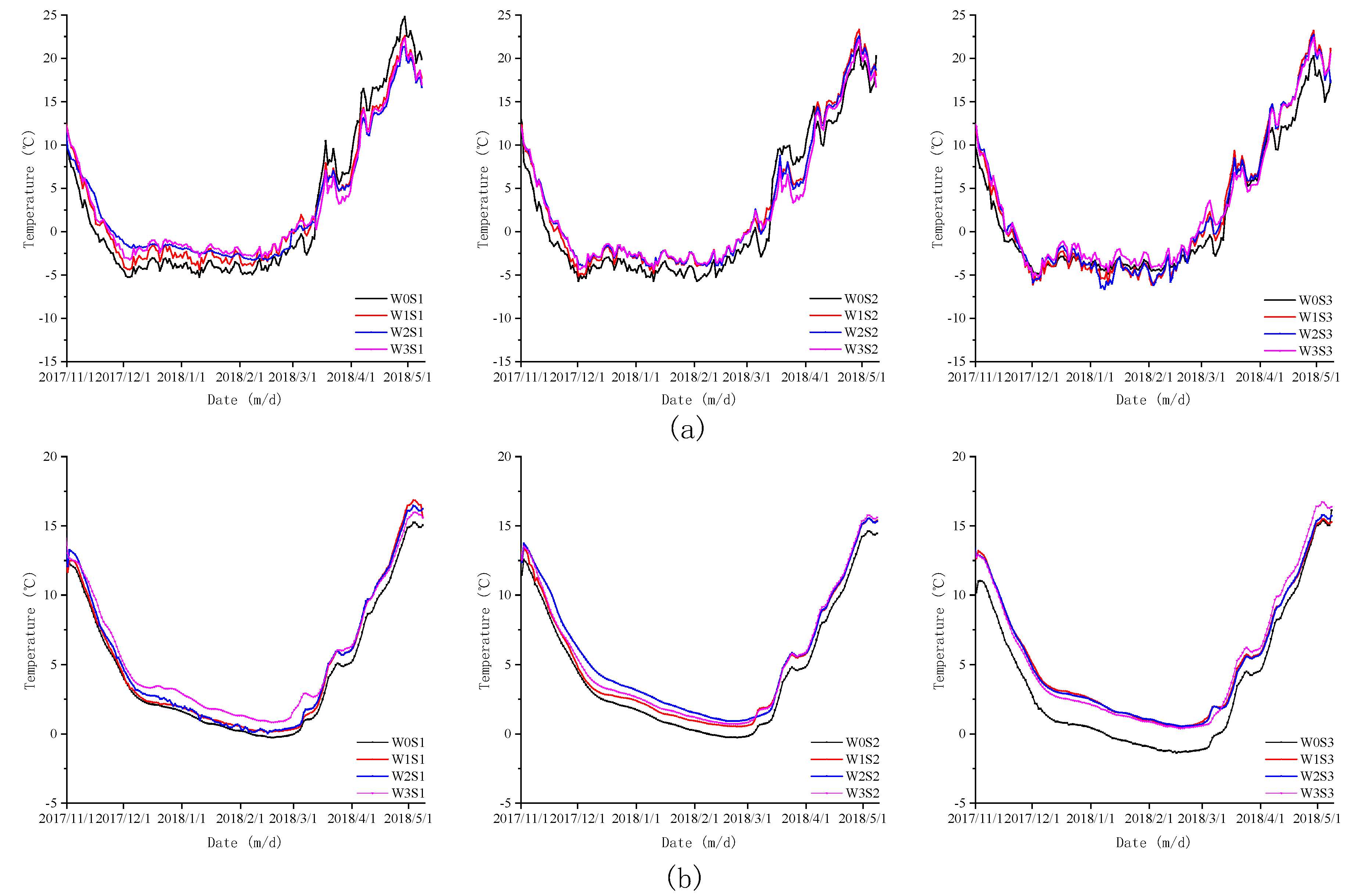
3.1.1. Changes in Soil Temperature
3.1.2. Changes in Soil Freezing–Thawing Index
3.2. Effects of Different Winter Irrigation Rates on Soil Moisture in Soil With Different Salinities
3.2.1. Temporal and Spatial Variation of Soil Moisture
3.2.2. Changes in Soil Water Content
3.3. Effects of Winter Irrigation Rate on Soil Salinity in Fields with Different Salinity Levels
3.3.1. Temporal and Spatial Variation of Soil Salinity
3.3.2. Changes in Total Soil Salt Content
3.4. Effects of Different Winter Irrigation Rates on Cotton Seedling Emergence and Yield in Cotton Fields with Different Salinity Levels
3.5. Correlation Analysis and Data Fitting
3.5.1. Correlation Analysis
3.5.2. Data Fitting
4. Discussion
5. Conclusions
Author Contributions
Funding
Acknowledgments
Conflicts of Interest
References
- Hu, M.F.; Tian, C.L.; Zhao, Z.Y.; Wang, L.X. Salinization causes and research progress of technologies improving saline-alkali soil in Xinjiang. J. Northwest A F Univ. (Nat. Sci. Ed.) 2012, 40, 111–117. [Google Scholar]
- Tian, C.L.; Mai, W.X.; Zhao, Z.Y. Study on key technologies of ecological management of saline alkali land in arid area of Xinjiang. Acta Ecol. Sin. 2016, 36, 7064–7068. [Google Scholar]
- Liu, B.; Zhao, W.; Wen, Z.; Yang, Y.; Chang, X.; Yang, Q.; Meng, Y.; Liu, C. Mechanisms and feedbacks for evapotranspiration-induced salt accumulation and precipitation in an arid wetland of China. J. Hydrol. 2018, 568, 403–415. [Google Scholar] [CrossRef]
- Wu, D.Y.; Zhou, X.Y.; Jiang, X.Y. Water and Salt Migration with Phase Change in Saline Soil during Freezing and Thawing Processes. Groundwater 2017, 56, 742–752. [Google Scholar] [CrossRef] [PubMed]
- Hu, H.C.; Tian, F.Q.; Zhang, Z.; Yang, P.J.; Ni, G.H.; Li, B. Soil salt leaching in non-growth period and salinity dynamics under mulched drip irrigation in arid area. J. Hydraul. Eng. 2015, 46, 1037–1046. [Google Scholar]
- Liang, Y.J.; Li, X.Y.; Zheng, J.Y.; Gong, Z.L.; Ai, X.T.; Guo, J.P.; Maimaiti, M.M.; Wang, J.D. Overview of Cotton Industry Situation and Existing Problems and Strategies in Xinjiang in 2019. Cotton Sci. 2020, 42, 14–20. [Google Scholar]
- Zhang, K.W.; Song, J.L.; Chen, X.G.; Yin, T.T.; Liu, C.B.; Li, K.P.; Zhang, J.R. Expression of the Thellungiella halophila vacuolar H+-pyrophosphatase gene (TsVP) in cotton improves salinity tolerance and increases seed cotton yield in a saline field. Euphytica 2016, 211, 231–244. [Google Scholar] [CrossRef]
- Wang, C.X.; Wang, Q.J.; Liu, J.J.; Su, L.J.; Dan, Y.Y.; Zhuang, L. Effects of mineralization of irrigation water and soil salinity on cotton emergence rate in Southern Xinjiang Uygur Autonomous Region of China. Trans. CSAE 2010, 26, 28–33. [Google Scholar]
- Zhi, Z.; Hu, H.C.; Tian, F.Q.; Hu, H.P.; Yao, X.H.; Zhong, R.S. Soil salt distribution under mulched drip irrigation in an arid area of northwestern China. J. Arid Environ. 2014, 104, 23–33. [Google Scholar]
- Guan, Z.L.; Jia, Z.F.; Zhao, Z.Q.; You, Q.Y. Dynamics and Distribution of Soil Salinity under Long-Term Mulched Drip Irrigation in an Arid Area of Northwestern China. Water 2019, 11, 1125. [Google Scholar] [CrossRef]
- He, P.R.; Zhang, F.C.; Hou, X.H.; Liu, N.J.; Meng, X.C.; Zhang, C.Y.; Cheng, H.L. Effects of Soil Water Regulation on Cotton Yield and Soil Water-Salt Distribution Under Drip Irrigation in Southern Xinjiang. Res. Soil Water Conserv. 2020, 27, 84–92. [Google Scholar]
- Wu, J.; Li, H.; Niu, J.; Liu, T.; Miao, S. Water Uptake Patterns of Alfalfa under Winter Irrigation in Cold and Arid Grassland. Water 2020, 12, 1093. [Google Scholar] [CrossRef]
- Li, J.; He, Z.B.; Du, J.; Chen, L.F.; Lin, P.F.; Zhu, X.; Fang, S.; Zhao, M.M.; Tian, Q.Y. Effects of winter irrigation on soil hydro-thermal features in desert oasis farmland in arid area during freezing and thawing period. Trans. Chin. Soc. Agric. Eng. (Trans. CSAE) 2018, 34, 105–112. [Google Scholar]
- Firth, A.G.; Baker, B.H.; Brooks, J.P.; Smith, R.; Iglay, R.B.; Davis, J.B. Low external input sustainable agriculture: Winter flooding in rice fields increases bird use, fecal matter and soil health, reducing fertilizer requirements. Agric. Ecosyst. Environ. 2020, 300, 106962. [Google Scholar] [CrossRef]
- Nira; Miura. Rice yield and soil fertility of an organic paddy system with winter flooding. Soil Sci. Plant Nutr. 2019, 65, 1–9. [Google Scholar]
- Mu, H.C.; Wang, Z.H.; Chen, X.Q.; LI, W.H. The Characteristics of Soil Water and Salinity Distribution under Different Winter Irrigation Methods in the Northern Xinjiang Cotton Fields are Suitable for Irrigation. Acta Agric. Boreali Sin. 2017, 32, 319–324. [Google Scholar]
- Yang, P.N.; Zia-Khan, S.M.L.; Wei, G.H.; Zhong, R.S.; Aguila, M. Winter Irrigation Effects in Cotton Fields in Arid Inland Irrigated Areas in the North of the Tarim Basin, China. Water 2016, 8, 47. [Google Scholar] [CrossRef]
- Liu, Z.P.; Jiao, X.Y.; Lu, S.H.; Zhu, C.L.; Zhai, Y.M.; Guo, W.H. Effects of winter irrigation on soil salinity and jujube growth in arid regions. PLoS ONE 2019, 14, 6. [Google Scholar] [CrossRef]
- Sun, S.M.; An, Q.X. Studies on the Effect of Winter Irrigation on Salt Movement in Tarim Irrigation Area. Xinjiang Farml. Reclam. Sci. Technol. 2009, 32, 40–41. [Google Scholar]
- Yao, B.L. Study on Rules and Regulation of Soil Water-Heat-Salt Spatiotemporal Transfer Under No Winter and Spring Irrigation Cotton Fields in South Xinjiang. Ph.D. Thesis, China Agricultural University, Beijing, China, 2017. [Google Scholar]
- Shi, H.B.; Li, D.P.; Yang, S.Q. Theoretical Study on Water, Heat and Salt Migration and Water Saving Irrigation in Saline Soil; China Water Power Press: Beijing, China, 2011. [Google Scholar]
- Li, W.H.; Wang, Z.H.; Zheng, X.R.; Zhang, J.Z. Effects of freezing and thawing on soil salinity in cotton fields by long-term drip irrigation of saline-alkaline soil in North Xinjiang. Agric. Res. Arid Areas 2015, 33, 40–46. [Google Scholar]
- Yao, B.L.; Li, G.Y.; Wang, F. Effects of winter irrigation and soil surface mulching during freezing-thawing period on soil water-heat-salt for cotton fields in south Xinjiang. Trans. Chin. Soc. Agric. Eng. (Trans. CSAE) 2016, 32, 114–120. [Google Scholar]
- Lu, Z.; Xian, S.H.; Yao, H.L.; Fang, R.; She, J.B. Influence of freeze-thaw cycles in the presence of a supplementary water supply on mechanical properties of compacted soil. Cold Reg. Sci. Technol. 2019, 157, 42–52. [Google Scholar] [CrossRef]
- Larson, L.L.; Kiemnec, G.L.; Johnson, D.E. Influence of Freeze-Thaw Cycle on Silt Loam Soil in Sagebrush Steppe of Northeastern Oregon. Rangel. Ecol. Manag. 2019, 72, 69–72. [Google Scholar] [CrossRef]
- Bing, H.; He, P.; Zhang, Y. Cyclic freeze–thaw as a mechanism for water and salt migration in soil. Environ. Earth Sci. 2015, 74, 675–681. [Google Scholar] [CrossRef]
- Fu, Q.; Li, T.N.; Li, T.X.; Cui, S. Influence of Straw Mulching on Soil Moisture Characteristics during Seasonal Freeze-thaw Period. Trans. Chin. Soc. Agric. Mach. 2015, 46, 141–146. [Google Scholar]
- Lu, X.H.; Shi, H.B.; Li, R.P.; Liang, J.C.; Xu, Z.; Bu, H.L. NMR-based Research on Unfrozen Water and Pore Water in Salted. J. Soil Water Conserv. 2017, 31, 111–116. [Google Scholar]
- Chen, H.R.; Peng, Z.Y.; Zeng, W.Z.; Wu, J.W. Salt Movement during Soil Freezing Events in Inner Mongolia, China. J. Coast. Res. 2018, 82, 55–63. [Google Scholar]
- Wu, M.S.; Huang, J.S.; Wu, J.W.; Tan, X.; Jansson, P.E. Experimental study on evaporation from seasonally frozen soils under various water, solute and groundwater conditions in Inner Mongolia, China. J. Hydrol. 2016, 535, 46–53. [Google Scholar] [CrossRef]
- Cui, L.H.; Zhu, Y.; Zhao, T.X.; Yang, J.Z.; Wu, J.W. Soil ion components and soil salts transport in frozen layer in seasonal freezing-thawing areas. Trans. Chin. Soc. Agric. Eng. (Trans. CSAE) 2019, 35, 75–82. [Google Scholar]
- Xiao, Y.Q.; Yang, P.N.; Wu, B.; Liu, J.; Guo, T. Analysis of Arid Oasis Areas Soil Nitrogen Accumulation and Winter Irrigation Effect. Water Sav. Irrig. 2018, 2, 17. [Google Scholar]
- Zhang, H.; Yang, P.N.; Wang, C.S.; Li, X.Z. Effect of Winter Irrigation Amount on Soil Moisture and Salt Distribution in Arid Area. J. Irrig. Drain. 2016, 35, 42–46. [Google Scholar]
- Li, Z.G.; Ye, H.C.; Xiao, R. Influence of Less & Free Effect of Winter and Spring Irrigation on Soil Water and Salt Distribution in Cotton Non-Growth Period. Water Sav. Irrig. 2014, 12, 10–15. [Google Scholar]
- Chen, X.Q.; Wang, Z.H.; He, X.L.; Li, W.H.; Jiang, G.J. Effects of Winter Irrigation Methods on Soil Moisture, Salt and Temperature Distribution in Cotton Fields in North Xinjiang. J. Soil Water Conserv. 2014, 28, 132–137. [Google Scholar]
- Tatiana, C.A.; Simone, R.d.S.; Sérgio, F.A.; Bruna, d.A.B.; Edypol, G.B.; Ligia, B.M. Water status and productivity of ‘Hass’ avocado trees in response to supplemental irrigation during winter. Pesquisa Agropecuária Brasileira 2019, 54. [Google Scholar]
- Ma, W.G.; Hu, X.T.; Zhou, S.W.; Wang, W.E.; Ran, H. Winter Irrigation Effect and Its Variation with Time under Different Irrigation Quotas. Water Sav. Irrig. 2019, 2, 47–50. [Google Scholar]
- Zhao, B.; Wang, Z.H.; Li, W.H. Effects of winter drip irrigation mode and quota on water and salt distribution in cotton field soil and cotton growth next year in northern Xinjiang. Trans. Chin. Soc. Agric. Eng. (Trans. CSAE) 2016, 32, 139–148. [Google Scholar]










| Soil Depth/cm | Soil Texture | Sand/% | Silt/% | Clay/% | Bulk Density/(g·cm−3) |
|---|---|---|---|---|---|
| 0–20 | Sandy loam | 62.65 | 32.74 | 4.61 | 1.47 |
| 20–40 | Sandy loam | 63.29 | 34.82 | 3.88 | 1.48 |
| 40–60 | Sandy loam | 71.93 | 22.46 | 5.61 | 1.51 |
| 60–80 | Sandy loam | 68.92 | 26.76 | 4.32 | 1.49 |
| 80–100 | Sandy loam | 73.08 | 23.49 | 3.43 | 1.52 |
| Treatment | Initial Salt Concentration/(g·kg−1) | Winter Irrigation Rate/(m3·hm-2) |
|---|---|---|
| W0S1 | 5.15 | 0 |
| W1S1 | 5.15 | 3000 |
| W2S1 | 5.15 | 3600 |
| W3S1 | 5.15 | 4200 |
| W0S2 | 8.17 | 0 |
| W1S2 | 8.17 | 3000 |
| W2S2 | 8.17 | 3600 |
| W3S2 | 8.17 | 4200 |
| W0S3 | 11.15 | 0 |
| W1S3 | 11.15 | 3000 |
| W2S3 | 11.15 | 3600 |
| W3S3 | 11.15 | 4200 |
| Growth Stage | Irrigation Date/(mm.dd) | Irrigation Rate/(m3·hm-2) | Fertilization Rate/(kg·hm-2) |
|---|---|---|---|
| Emergence | 04.24–04.25 | 600 | 0 |
| 05.03–05.05 | 525 | 110 | |
| Seeding | 05.23–05.25 | 525 | 100 |
| Budding | 06.19–06.21 | 600 | 110 |
| 06.30–07.01 | 525 | 100 | |
| 07.10–07.12 | 525 | 100 | |
| Flower bol | 07.20–07.22 | 600 | 110 |
| 07.31–08.02 | 525 | 100 | |
| 08.09–08.11 | 525 | 110 | |
| 08.17–08.19 | 525 | 100 | |
| Boll-opening | 08.27–08.29 | 600 | 110 |
| Treatment | M1 Soil Water Storage before Winter Irrigation (mm) | M2 Soil Water Storage before Spring Plowing (mm) | (M2–M1)/M1 Changes in Soil Water Content (%) | ||||
|---|---|---|---|---|---|---|---|
| Initial Salt Concentration/(g·kg−1) | Winter Irrigation Rate/(m3·hm-2) | 0–40 cm | 0–100 cm | 0–40 cm | 0–100 cm | 0–40 cm | 0–100 cm |
| S1 | W0 | 147.59b | 354.98b | 98.79i | 303.03g | −33.07% | −14.63% |
| W1 | 150.71a | 355.64b | 136.76c | 388.03b | −9.26% | +9.11% | |
| W2 | 150.91a | 363.86a | 146.02a | 403.26a | −3.24% | +10.83% | |
| W3 | 151.36a | 355.76b | 141.83ab | 405.57a | −6.30% | +14.00% | |
| S2 | W0 | 124.28de | 298.03de | 87.67j | 252.03h | −29.46% | −15.43% |
| W1 | 123.62e | 294.02e | 117.72g | 343.14e | −4.76% | +16.71% | |
| W2 | 128.53c | 302.09cd | 125.41e | 372.3c | −2.43% | +23.24% | |
| W3 | 125.59d | 304.06c | 130.97cd | 389.46b | +4.29% | +28.08% | |
| S3 | W0 | 108.54g | 258.82g | 77.96k | 217.97i | −28.17% | −15.78% |
| W1 | 113.14f | 257.34g | 109.77h | 311.62f | −2.98% | +21.09% | |
| W2 | 112.04f | 268.27f | 117.29g | 351.44d | +4.69% | +31.00% | |
| W3 | 106.16h | 257.14g | 121.29f | 349.83d | +14.26% | +36.05% | |
| W | ns | ns | ** | ** | ** | ** | |
| S | * | * | * | ** | * | ** | |
| W × S | ns | ns | ** | ** | ** | ** | |
| Treatment | C1 Total Soil Salt Content before Winter Irrigation/(g) | C2 Total Soil Salt Content before Spring Plowing/(g) | (C2–C1)/C1 Relative Changes in Total Soil Salt/(%) | ||||
|---|---|---|---|---|---|---|---|
| Initial Salt Concentration/(g·kg−1) | Winter Irrigation Rate/(m3·hm-2) | 0–40 cm | 0–100 cm | 0–40 cm | 0–100 cm | 0–40 cm | 0–100 cm |
| S1 | W0 | 3836.97f | 7356.13e | 3634.42e | 8326.92f | −5.28% | +13.20% |
| W1 | 3779.06fg | 7251.77e | 1755.68h | 4105.88i | −53.54% | −43.38% | |
| W2 | 3707.95fg | 7131.53e | 1847.95h | 3868.47i | −50.16% | −45.76% | |
| W3 | 3642.33g | 7226.10e | 1762.48h | 3875.14i | −51.61% | −46.37% | |
| S2 | W0 | 5854.82c | 11,663.78c | 5366.74b | 13,387.89b | −8.34% | +14.78% |
| W1 | 5759.94cd | 11,732.04c | 3082.55f | 7435.41g | −46.48% | −36.62% | |
| W2 | 5638.14de | 11,299.05d | 2849.45g | 6704.38h | −49.46% | −40.66% | |
| W3 | 5590.19e | 11,773.17c | 2767.87g | 6722.17h | −50.49% | −42.90% | |
| S3 | W0 | 7643.98b | 15,915.8b | 7692.66a | 18,593.89a | +0.64% | +16.83% |
| W1 | 7844.88a | 16267.21a | 3834.98d | 11,243.06c | −51.11% | −30.89% | |
| W2 | 7746.26ab | 15,810.72b | 3667.53e | 9956.62d | −52.65% | −37.03% | |
| W3 | 7628.45b | 16,040.77ab | 3972.49c | 9276.96e | −47.93% | −42.17% | |
| W | ns | ns | ns | ** | ** | ** | |
| S | * | ** | ** | ** | ** | ** | |
| W × S | ns | ns | ns | ** | ** | ** | |
| Control Variate | Index | Yield | Emergence Rate | Freezing–Thawing Indices | Soil Water Content before Spring Plowing | Total Soil Salt Content before Spring Plowing | ||||
|---|---|---|---|---|---|---|---|---|---|---|
| Freezing Index | Thawing Index | 0–40 cm | 0–100 cm | 0–40 cm | 0–100 cm | |||||
| No | Yield | 1 | ||||||||
| Emergence rate | 0.99 ** | 1 | ||||||||
| Freezing– thawing indices | Freezing index | 0.86 ** | 0.87 ** | 1 | ||||||
| Thawing index | −0.87 ** | −0.87 ** | −0.82 ** | 1 | ||||||
| Soil water content before spring plowing | 0–40 cm | 0.84 ** | 0.85 ** | 0.91 ** | −0.85 ** | 1 | ||||
| 0–100 cm | 0.85 ** | 0.86 ** | 0.88 ** | −0.86 ** | 0.97 ** | 1 | ||||
| Total soil salt before spring plowing | 0–40 cm | −0.90 ** | −0.91 ** | −0.82 ** | 0.89** | −0.92 ** | −0.94 ** | 1 | ||
| 0–100 cm | −0.94 ** | −0.95 ** | −0.85 ** | 0.89** | −0.92 ** | −0.94 ** | 0.99 ** | 1 | ||
| Initial salt concentration | −0.81 ** | −0.82 ** | −0.56 ** | 0.66** | −0.50 ** | −0.50 ** | 0.65 ** | 0.72 ** | ||
| Winter irrigation rate | 0.54 ** | 0.54 ** | 0.76 ** | −0.63 ** | 0.85 ** | 0.85 ** | −0.71 ** | −0.67 ** | ||
| Initial salt content and Winter irrigation rate | Yield | 1 | ||||||||
| Emergence rate | 0.85 ** | 1 | ||||||||
| Freezing– thawing indices | Freezing index | 0.16 * | 0.16 * | 1 | ||||||
| Thawing index | −0.02 | 0.01 | 0.13 * | 1 | ||||||
| Soil water content before spring plowing | 0–40 cm | −0.29 ** | −0.24 ** | −0.11 | 0.30 * | 1 | ||||
| 0–100 cm | 0.10 | 0.14 * | −0.50 ** | −0.09 | 0.49 ** | 1 | ||||
| Total soil salt before spring plowing | 0–40 cm | 0.03 | −0.01 * | 0.72 ** | 0.15 * | −0.171 | −0.40 ** | 1 | ||
| 0–100 cm | −0.22 ** | −0.25 ** | 0.62 ** | 0.09 | −0.09 | −0.48 ** | 0.87 ** | 1 | ||
© 2020 by the authors. Licensee MDPI, Basel, Switzerland. This article is an open access article distributed under the terms and conditions of the Creative Commons Attribution (CC BY) license (http://creativecommons.org/licenses/by/4.0/).
Share and Cite
Li, L.; Liu, H.; He, X.; Lin, E.; Yang, G. Winter Irrigation Effects on Soil Moisture, Temperature and Salinity, and on Cotton Growth in Salinized Fields in Northern Xinjiang, China. Sustainability 2020, 12, 7573. https://doi.org/10.3390/su12187573
Li L, Liu H, He X, Lin E, Yang G. Winter Irrigation Effects on Soil Moisture, Temperature and Salinity, and on Cotton Growth in Salinized Fields in Northern Xinjiang, China. Sustainability. 2020; 12(18):7573. https://doi.org/10.3390/su12187573
Chicago/Turabian StyleLi, Ling, Hongguang Liu, Xinlin He, En Lin, and Guang Yang. 2020. "Winter Irrigation Effects on Soil Moisture, Temperature and Salinity, and on Cotton Growth in Salinized Fields in Northern Xinjiang, China" Sustainability 12, no. 18: 7573. https://doi.org/10.3390/su12187573
APA StyleLi, L., Liu, H., He, X., Lin, E., & Yang, G. (2020). Winter Irrigation Effects on Soil Moisture, Temperature and Salinity, and on Cotton Growth in Salinized Fields in Northern Xinjiang, China. Sustainability, 12(18), 7573. https://doi.org/10.3390/su12187573

