How Can E-Commerce Businesses Implement Discount Strategies through Social Media?
Abstract
1. Introduction
2. Literature Review
3. Evolutionary Game Model of Social Media Promotion Strategies in E-Commerce
3.1. Model Hypothesis
3.1.1. Purchase Behavior in E-Commerce
3.1.2. Information Dissemination in Social Media
3.1.3. User Strategies in Social Media
3.2. Modeling
- V = (V1, V2, V3…, Vn) is the set of agents.
- E = (e1, e2, e3…, en) is the set of partnerships among the agents.
- I is the set of interactions performed by the agents based on their corresponding strategies.
- U is the set of utility functions of the agents. The utility is the short-term concern of social e-commerce users. Participants improve their own utility by imitating the strategies adopted by other successful participants. Each participant’s utility is the cumulative payoffs obtained from their opponents, formulated as
- R is the set of reputation functions of the agents. The reputation of individual i refers to other people’s history of impression on them due to their behavioral strategy. The more cooperative behavior is, the higher the reputation value becomes. In this model, every social e-commerce user will pay attention to the reputation for the long term; at the same time, users will adjust the relationship according to the reputation.
- B is the purchase intention function. Purchase intention is composed of environmental factors and personal factors. The environment in social e-commerce is composed of users’ social media friends. If the friends forward more advertising information, users will be more likely to purchase.
- P is the threshold of purchasing. Only if individual i’s purchase intention is greater than the purchase threshold, the purchase behavior will occur. Additionally, the concept of user loyalty (the retention rate after APP(Application) is activated for one month) mentioned in the “Meilishuo Case Study Report” published by iResearch in 2013 has set users’ purchase threshold. The report points out that Beauty’s user loyalty is 51%, so a purchase threshold 0.5 is set in our model.
- pc is the group purchase rate. That is, the ratio of the number of buyers to the total number of e-commerce users in the online shopping community.
3.3. Game Setting
3.4. Updating Mechanism
3.4.1. Strategy Updating
3.4.2. Partnership Adjusting
3.4.3. Purchase Intention Updating
3.5. Simulation Tool
- network visualization;
- traditional graph theory algorithm: minimum spanning tree, network flow;
- complex network processing algorithm: random network model, network processing (K-cores, PageRank, Betweenness, motifs), community discovery algorithm.
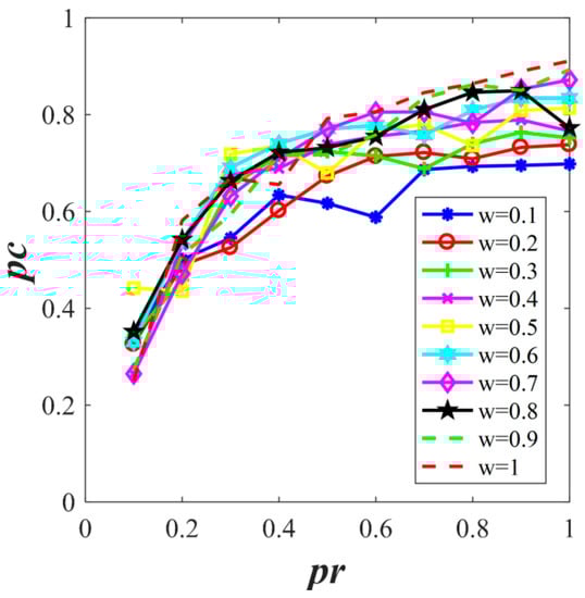
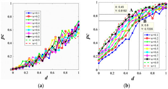
4. Numerical Results
- Simulation noise β = 0.03, disconnecting probability ps = 0.01, reputation memory decay factor σ = 1.
- It is assumed that personal factors and environmental factors have the same weight on individuals, that is, λ1 = λ2 = 0.5.
- Consumers measure the attractiveness of promotional information by the extent of price concessions. Many studies have confirmed the impact of price discounts on consumers’ price perception. This effect is not simply linear. Zhao (2015) confirmed this rule with a large number of empirical studies [70]. Here, formula (12) is used to fit the relationship between daily necessities’ price discount and perceived value.
- According to Meilishuo’s (a famous social e-commerce platform in China) website, 69.5% of the reasons for recommending Meilishuo’s website to others are “providing shopping guidance”. Therefore, set ω1 = 0.7, ω2 = 0.3.
- Individuals discover their neighbors’ forwarding messages with equal probability, that is, θ1 = θ2 = 0.5.
- Average initial purchase threshold μ = 0.5, randomly distributed between 0 and 1.
5. Discussion
6. Conclusions
6.1. Theoretical Implications
6.2. Practical Implications
6.3. Limitations and Future Research
Author Contributions
Funding
Conflicts of Interest
References
- Website of Central People’s Government of the People’s Republic of China. Available online: http://www.gov.cn/xinwen/2020-04/18/content_5503803.htm (accessed on 30 August 2020).
- Mangold, W.G.; Faulds, D.J. Social media: The new hybrid element of the promotion mix. Bus. Horiz. 2009, 52, 357–365. [Google Scholar] [CrossRef]
- Lee, S.Y.T.; Phang, C.W.D. Leveraging social media for electronic commerce in asia: Research areas and opportunities. Electron. Commer. Res. Appl. 2015, 14, 145–149. [Google Scholar] [CrossRef]
- Brandon, V.D.H.; Lim, Y.S. On the conditional cueing of credibility heuristics: The case of online influence. Commun. Res. 2016, 43, 672–693. [Google Scholar]
- Biucky, S.T.; Abdolvand, N.; Harandi, S.R. The effects of perceived risk on social commerce adoption based on TAM model. Int. J. Electron. Commer. Stud. 2017, 8, 173–196. [Google Scholar]
- Kao, S.W.; Luarn, P. Topic Modeling Analysis of Social Enterprises: Twitter Evidence. Sustainability 2020, 12, 3419. [Google Scholar] [CrossRef]
- Tsai, H.; Bagozzi, R.P. Contribution behavior in virtual communities: Cognitive, emotional, and social influences. Manag. Inf. Syst. Q. 2014, 38, 143–164. [Google Scholar] [CrossRef]
- Sun, Y.; Wei, K.K.; Fan, C.; Lu, Y.; Gupta, S. Does social climate matter? On friendship groups in social commerce. Electron. Commer. Res. Appl. 2016, 18, 37–47. [Google Scholar] [CrossRef]
- Bergström, T.; Bäckman, L. Marketing and PR in Social Media: How the Utilization of Instagram Builds and Maintains Customer Relationships. Bachelor’s Thesis, Stockholm University, Stockholm, Sweden, June 2013. Available online: http://urn.kb.se/resolve?urn=urn:nbn:se:su:diva-90410 (accessed on 9 September 2020).
- Bridges, E. Hedonic and utilitarian shopping goals: A decade later. J. Glob. Sch. Mark. Sci. 2018, 28, 282–290. [Google Scholar] [CrossRef]
- Duffett, R. The YouTube Marketing Communication Effect on Cognitive, Affective and Behavioural Attitudes among Generation Z Consumers. Sustainability 2020, 12, 5075. [Google Scholar] [CrossRef]
- Sohu Net. Available online: https://www.sohu.com/a/342633463_135869 (accessed on 30 August 2020).
- Baghdadi, Y. A framework for social commerce design. Inf. Syst. 2016, 60, 95–113. [Google Scholar] [CrossRef]
- Friedrich, T. Analyzing the factors that influence consumers’ adoption of social commerce—A literature review. In Proceedings of the Americas Conference on Information Systems (AMCIS), Puerto Rico, USA, 13–15 August 2015. [Google Scholar]
- Liu, X.; Datta, A.; Rzadca, K. Trust beyond reputation: A computational trust model based on stereotypes. Electron. Commer. Res. Appl. 2013, 12, 24–39. [Google Scholar] [CrossRef]
- Cennamo, C.; Santal, J. Platform Competition: Strategic Trade-offs in Platform Markets. Strateg. Manag. J. 2013, 34, 1331–1350. [Google Scholar] [CrossRef]
- Wang, H.; Ko, E.; Woodside, A.; Jihye, Y. SNS marketing activities as a sustainable competitive advantage and traditional market equity. J. Bus. Res. 2020. [Google Scholar] [CrossRef]
- Lirong, C.; Tao, J.; Wenli, L. Who should pay for online reviews? Design of an online user feedback mechanism. Electron. Commer. Res. Appl. 2017, 23, 38–44. [Google Scholar]
- Oliveira, T.; Alhinho, M.; Rita, P.; Dhillon, G. Modelling and testing consumer trust dimensions in e-commerce. Comput. Hum. Behav. 2017, 71, 153–164. [Google Scholar] [CrossRef]
- Weathers, D.; Sharma, S.; Wood, S.L. Effects of online communication practices on consumer perceptions of performance uncertainty for search and experience goods. J. Retail. 2007, 83, 393–401. [Google Scholar] [CrossRef]
- Yu, J.; Wang, Y.; Jin, X.O.; Cheng, X. Social evolutionary games. In Proceedings of the 2014 5th International Conference on Game Theory for Networks, Beijing, China, 25–27 November 2014; pp. 1–5. [Google Scholar]
- Yu, J.; Wang, Y.; Jin, X.; Li, J.; Cheng, X. Evolutionary analysis on online social networks using a social evolutionary game. In WWW’14 Companion, Proceedings of the 23rd International Conference on World Wide Web, Seoul, Korea, 7–11 April 2014; Association for Computing Machinery: New York, NY, USA, 2014; Volume 30, pp. 415–416. [Google Scholar]
- Wang, Y.Z.; Yu, J.Y.; Qiu, W.; Shen, H.W.; Lin, C. Evolutionary game model and analysis methods for network group behavior. Chin. J. Comput. 2015, 38, 282–300. [Google Scholar]
- Lv, J.; Wang, T.; Wang, H.; Yu, J.; Wang, Y. A SECPG model for purchase behavior analysis in social e-commerce environment. Int. J. Commun. Syst. 2020, 33, e4149. [Google Scholar] [CrossRef]
- Huang, Z.; Benyoucef, M. From e-commerce to social commeice: A close look at design features. Electron. Commer. Res. Appl. 2013, 12, 246–259. [Google Scholar] [CrossRef]
- Syedahmad, S.F.; Murphy, J. Social Networking as a Marketing Tool: The Case of a Small Australian Company. J. Hosp. Mark. Manag. 2010, 19, 700–716. [Google Scholar]
- Xie, K.; Lee, Y.J. Social Media and Brand Purchase: Quantifying the Effects of Exposures to Earned and Owned Social Media Activities in a Two-Stage Decision Making Model. J. Manag. Inf. Syst. 2015, 32, 204–238. [Google Scholar] [CrossRef]
- Erkan, I.; Evans, C. The influence of e-WOM in social media on consumers’ purchase intentions: An extended approach to information adoption. Comput. Hum. Behav. 2016, 61, 47–55. [Google Scholar] [CrossRef]
- Kwahk, K.Y.; Kim, B. Effects of social media on consumers’ purchase decisions: Evidence from Taobao. Serv. Bus. 2017, 11, 803–829. [Google Scholar] [CrossRef]
- Weng, M.L. Toward a Theory of Online Buyer Behavior Using Structural Equation Modeling. Math. Models Methods Appl. Sci. 2013, 7, 34–41. [Google Scholar]
- Weng, M.L.; Ding, H.T. Consumer Acceptance and Continuance of Online Group Buying. J. Comput. Inf. Syst. 2014, 54, 87–96. [Google Scholar]
- Nisar, T.M.; Prabhakar, G.P. What factors determine e-satisfaction and consumer spending in e-commerce retailing? J. Retail. Consum. Serv. 2017, 39, 135–144. [Google Scholar] [CrossRef]
- Kim, N.; Kim, W. Do your social media lead you to make social deal purchases? Consumer-generated social referrals for sales via social commerce. Int. J. Inf. Manag. 2018, 39, 38–48. [Google Scholar] [CrossRef]
- Zhou, H.; Ma, X.; Chen, X. The influence of discount ratio in Price Comparison Advertising on consumers’ positive Feedback Behavior. J. Manag. 2018, 15, 410–419. [Google Scholar]
- Estelami, H. The Effect of Price Presentation Tactics on Consumer Evaluation Effort of Multi-dimensional Prices. J. Mark. Theory Pract. 2003, 11, 1–16. [Google Scholar] [CrossRef]
- Mariola, P.; Delgado, E. The moderating role of price consciousness on the effectiveness of price discounts and premium promotions. J. Prod. Brand Manag. 2009, 18, 306–312. [Google Scholar]
- Teng, L. A comparison of two types of price discounts in shifting consumers’ attitudes and purchase intentions. J. Bus. Res. 2009, 62, 14–21. [Google Scholar] [CrossRef]
- Gupta, S. Impact of sales Promotions on When, What, and How Much to Buy. J. Mark. 1988, 25, 342–355. [Google Scholar] [CrossRef]
- Chen, Y.; Cheng, R. Single Discount or Multiple Discounts: Effects of Price Promotion Framing Messages on Online Consumer Purchase Intention. Int. J. Technol. Hum. Interact. 2019, 15, 1–14. [Google Scholar] [CrossRef]
- Corso, K.B.; Löbler, M.L. Understanding the subject’s behavior in the interaction with a decision support system under time pressure and missing information. J. Inf. Syst. Technol. Manag. JISTEM 2011, 8, 121–152. [Google Scholar]
- Francesca, G.; Alessandro, P. Emotional Text Mining: Customer profiling in brand management. Int. J. Inf. Manag. 2019, 11, 116–132. [Google Scholar]
- Huiling, H.; Stephanie, Q.; Liu, J.K.; Milos, B. Consumer Responses to Scarcity Appeals in Online Booking. Ann. Tour. Res. 2018, 14, 124–147. [Google Scholar]
- Hélène, C.; Hannele, K.R. Managing the transformation of the global commons into luxuries for all. J. Bus. Res. 2016, 16, 109–118. [Google Scholar]
- Khouja, M.; Liu, X. A retailer’s decision to join a promotional event of an e-commerce platform. Int. J. Electron. Commer. 2020, 24, 184–210. [Google Scholar] [CrossRef]
- Gong, H.; Huang, J.; Goh, K.H. The Illusion of Double-Discount: Using Reference Points in Promotion Framing. J. Consum. Psychol. 2019, 29, 483–491. [Google Scholar] [CrossRef]
- Bearden, W.O.; Hardesty, D.M. Consumer evaluations of different promotion types and price presentations: The moderating role of promotional benefit level. J. Retail. 2003, 79, 17–25. [Google Scholar]
- Sheehan, D.; Hardesty, D.M.; Ziegler, A.H.; Chen, H. Consumer reactions to price discounts across online shopping experiences. J. Retail. Consum. Serv. 2019, 51, 129–138. [Google Scholar] [CrossRef]
- Carlson, J.R.; Kukar, K.M. Investigating discounting of discounts in an online context: The mediating effect of discount credibility and moderating effect of online daily deal promotions. J. Retail. Consum. Serv. 2018, 41, 153–160. [Google Scholar] [CrossRef]
- Farzin, M.; Fattahi, M. eWOM through social networking sites and impact on purchase intention and brand image in Iran. J. Adv. Manag. Res. 2018, 15, 161–183. [Google Scholar] [CrossRef]
- Daft, R.L.; Lengel, R.H. Information richness: A new approach to managerial behavior and organizational design. Res. Organ. Behav. 1984, 6, 191–233. [Google Scholar]
- Day, D.; Gan, B.; Gendall, P.; Esslemont, D. Predicting purchase behaviour. Mark. Bull. 1991, 2, 18–30. [Google Scholar]
- Kim, D.J.; Ferrin, D.L.; Rao, H.R. Trust and satisfaction, two stepping stones for successful e-commerce relationships: A longitudinal exploration. Inf. Syst. Res. 2009, 20, 237–257. [Google Scholar] [CrossRef]
- Qiu, W.; Wang, Y.; Yu, J. A game theoretical model of information dissemination in social network. In Proceedings of the IEEE International Conference on Complex Systems, Agadir, Morocco, 5–6 November 2012; pp. 1–6. [Google Scholar]
- Li, B.; Li, H.; Sun, Q.; Chen, X. Evolutionary game analysis of online collective behaviour with the introduction of the degree of psychological identity. Behav. Inf. Technol. 2020, 11, 1–11. [Google Scholar]
- Lu, Y.; Wang, Y.; Yu, J.; Li, J.; Liu, L. Mechanism Analysis of Competitive Information Synchronous Dissemination in Social Networks. In Web Technologies and Applications. APWeb 2016. Lecture Notes in Computer Science; Li, F., Shim, K., Zheng, K., Liu, G., Eds.; Springer: Cham, Switzerland, 2016; Volume 9931. [Google Scholar] [CrossRef]
- Yu, J.; Lv, J.; Wang, Y.; Li, J. Mechanism analysis of competitive information asynchronous dissemination on social networks. Int. J. Mod. Phys. C 2019, 30, 282–416. [Google Scholar] [CrossRef]
- Akar, E.; Dalgic, T. Understanding online consumers’ purchase intentions: A contribution from social network theory. Behav. Inf. Technol. 2018, 37, 1–15. [Google Scholar] [CrossRef]
- Ajzen, I.; Fishbein, M. The prediction of behavior from attitudinal and normative variables. J. Exp. Soc. Psychol. 1970, 6, 466–487. [Google Scholar] [CrossRef]
- Armstrong, J.S.; Morwitz, V.G.; Kumar, V. Sales forecasts for existing consumer products and services: Do purchase intentions contribute to accuracy? Int. J. Forecast. 2000, 16, 383–397. [Google Scholar] [CrossRef]
- Lu, H.; Hsiao, K. The influence of extro/introversion on the intention to pay for social networking sites. Inf. Manag. 2010, 47, 150–157. [Google Scholar] [CrossRef]
- Fu, G.Q. Consumer Behavior, 3rd ed.; China Higher Education Press: Beijing, China, 2015; pp. 19–23. [Google Scholar]
- Zeithaml, V.A. Consumer Perceptions of Price, Quality, and Value: A Means-End Model and Synthesis of Evidence. J. Mark. 1988, 52, 2–22. [Google Scholar] [CrossRef]
- Fraccastero, K.; Burton, S.; Biswas, A. Effective use of advertisements promoting sale prices. J. Consum. Mark. 1993, 10, 61–70. [Google Scholar] [CrossRef]
- Yang, Z. Evolutionary Dynamics of Game and Cooperation in Complex Networks; Xidian University: Xi’an, China, 2014. [Google Scholar]
- Axelrod, R.; Hamilton, W. The evolution of cooperation. Science 1981, 211, 1390–1396. [Google Scholar] [CrossRef]
- Hamilton, W.D. The genetical evolution of social behavior. II. J. Theor. Biol. 1964, 7, 17–52. [Google Scholar] [CrossRef]
- Fu, F.; Hauert, C.; Nowak, M.A.; Wang, L. Reputation-based partner choice promotes cooperation in social networks. Phys. Rev. E 2008, 78, 026117. [Google Scholar] [CrossRef]
- Santos, F.C.; Pacheco, J.M.; Lenaerts, T. Cooperation Prevails When Individuals Adjust Their Social Ties. PLoS Comput. Biol. 2006, 2, e140. [Google Scholar] [CrossRef]
- Szabo, G.; Toke, C. Evolutionary prisoner’s dilemma game on a square lattice. Phys. Rev. E 1998, 58, 69–73. [Google Scholar] [CrossRef]
- Zhao, Y.D. Empirical Research on the Influence of Different Description Methods of Price Discount on Consumers’ Purchase Intention. Master’s Thesis, Southwest Jiaotong University, Chengdu, China, 2015. Available online: http://cdmd.cnki.com.cn/Article/CDMD-10613-1015338940.htm (accessed on 9 September 2020).
- Hu, X.; Huang, Q.; Zhong, X.; Davison, R.M.; Zhao, D. The influence of peer characteristics and technical features of a social shopping website on a consumer’s purchase intention. Int. J. Inf. Manag. 2016, 36, 1218–1230. [Google Scholar] [CrossRef]
- Lin, J.; Luo, Z.; Cheng, X.; Li, L. Understanding the interplay of social commerce affordances and swift guanxi: An empirical study. Inf. Manag. 2019, 56, 213–224. [Google Scholar] [CrossRef]
- Raghubir, P. Coupons in context: Discounting prices or decreasing profits. J. Retail. 2004, 80, 1–12. [Google Scholar] [CrossRef]
- Ba, S.; Pavlou, P.A. Evidence of the effect of trust building technology in electronic markets: Price premiums and buyer behavior. Manag. Inf. Syst. Q. 2002, 26, 243–268. [Google Scholar] [CrossRef]
- Arndt, J. Role of Product-Related Conversations in the Diffusion of a New Product. J. Mark. Res. 1967, 4, 291–295. [Google Scholar] [CrossRef]
- Koshksaray, A.A.; Nabizadeh, E. Internet Advertising Pleasure and Purchase Intention. Int. J. Innov. Digit. Econ. 2018, 8, 30–47. [Google Scholar] [CrossRef]
- Su, Q.; Zhou, F.; Wu, Y.J. Using Virtual Gifts on Live Streaming Platforms as a Sustainable Strategy to Stimulate Consumers’ Green Purchase Intention. Sustainability 2020, 12, 3783. [Google Scholar] [CrossRef]







| Industry | Platform | Measure |
|---|---|---|
| E-commerce | Taobao | The platform is equipped with an online social community, which allows users to post shopping experiences to their online friends. |
| E-commerce | Pinduoduo | Users can invite online friends to click on product links to help them bargain or buy together, and group purchases can get extra discounts. |
| E-commerce | Amazon | It has launched “Amazon Posts” to browse and find products on Amazon’s platform. It functions like social media tweets, allowing each brand to post a series of posts. |
| Social media | TikTok | Internet celebrities with a large number of followers can sell goods live on the platform and add product links in videos or live broadcasts. |
| Social media | It cooperates with multiple e-commerce platforms. Sharing the shopping page with WeChat friends can get users discounts, and it adds the shopping platform “Jingdong” entrance on the home page. | |
| Social media | It has launched the Facebook Shop app, as well as Facebook Live Shopping, where companies can set up Live experiences for specific products and provide links for viewers to buy directly from videos. | |
| Social media | With the ‘Checkout’ feature, people can buy directly from Instagram instead of going directly to the retailer’s website. |
| Research Contents | Author |
|---|---|
| The influence of different ways of price discount | Estelami C [35], Mariola and Delgado [36], Teng [37] |
| The influence of discount frequency | Gupta [38], Chen and Cheng [39] |
| The influence of discount restrictions (time limit, quantity limit) | Corso and Lobler [40], Francesca Greco [41], Huiling and Stephanie [42], Hélène Cristini [43] |
| Influence of quality and scope of discount information | Khouja and Liu [44], Gong et al. [45] |
| Influence of price discount magnitude | Bearden and Hardesty (2003) [46], Sheehan et al. (2019) [47] |
| pr | w | ||||||||||
|---|---|---|---|---|---|---|---|---|---|---|---|
| 0.1 | 0.2 | 0.3 | 0.4 | 0.5 | 0.6 | 0.7 | 0.8 | 0.9 | 1 | ||
| Inflection point d value | 0.55 | 0.55 | 0.6 | 0.5 | 0.5 | 0.6 | 0.6 | 0.55 | 0.55 | 0.6 | |
| 0.5 | lower 1 | 0.973 | 1.026 | 1.077 | 1.044 | 1.026 | 1.006 | 1.006 | 1.058 | 1.045 | 1.03 |
| higher 2 | 0.643 | 0.552 | 0.497 | 0.546 | 0.537 | 0.402 | 0.402 | 0.344 | 0.384 | 0.299 | |
| Inflection point d value | 0.55 | 0.55 | 0.5 | 0.55 | 0.55 | 0.6 | 0.5 | 0.45 | 0.45 | 0.45 | |
| 0.6 | lower 1 | 0.997 | 0.962 | 1.015 | 1.018 | 1.027 | 1.006 | 1.128 | 1.12 | 1.12 | 1.128 |
| higher 2 | 0.618 | 0.623 | 0.563 | 0.464 | 0.379 | 0.365 | 0.386 | 0.483 | 0.475 | 0.475 | |
| Inflection point d value | 0.6 | 0.6 | 0.55 | 0.5 | 0.5 | 0.5 | 0.5 | 0.5 | 0.5 | 0.45 | |
| 0.7 | lower 1 | 1.013 | 1.009 | 1.063 | 1.036 | 1.056 | 1.061 | 1.055 | 1.075 | 1.057 | 1.144 |
| higher 2 | 0.484 | 0.455 | 0.48 | 0.496 | 0.492 | 0.251 | 0.465 | 0.409 | 0.431 | 0.367 | |
| Inflection point d value | 0.6 | 0.6 | 0.55 | 0.5 | 0.45 | 0.5 | 0.5 | 0.5 | 0.45 | 0.45 | |
| 0.8 | lower 1 | 0.991 | 1.025 | 1.028 | 1.036 | 1.049 | 1.101 | 1.074 | 1.105 | 1.073 | 1.1 |
| higher 2 | 0.544 | 0.527 | 0.463 | 0.296 | 0.387 | 0.475 | 0.403 | 0.389 | 0.381 | 0.378 | |
| Inflection point d value | 0.6 | 0.6 | 0.55 | 0.5 | 0.45 | 0.5 | 0.5 | 0.5 | 0.45 | 0.45 | |
| 0.9 | lower 1 | 1.024 | 1.01 | 1.023 | 1.086 | 1.098 | 1.08 | 1.099 | 1.096 | 1.13 | 1.114 |
| higher 2 | 0.541 | 0.477 | 0.432 | 0.45 | 0.405 | 0.402 | 0.275 | 0.262 | 0.311 | 0.345 | |
| Inflection point d value | 0.6 | 0.55 | 0.55 | 0.5 | 0.5 | 0.5 | 0.5 | 0.45 | 0.5 | 0.45 | |
| 1 | lower 1 | 1.04 | 0.996 | 1.015 | 1.087 | 1.103 | 1.08 | 1.143 | 1.193 | 1.065 | 1.135 |
| higher 2 | 0.471 | 0.464 | 0.54 | 0.438 | 0.402 | 0.402 | 0.352 | 0.34 | 0.333 | 0.311 | |
| Social E-Commerce Platform | Number of Complaints | Quarterly Active Users | Number of Complaints per Million People | Reputation | |
|---|---|---|---|---|---|
| 1 | Vipshop | 143 | 53.682 | 266.38 | High |
| 2 | Jumei | 15 | 5.1642 | 290.461 | High |
| 3 | Mogujie | 38 | 11.051 | 343.835 | High |
| 4 | Taobao | 1504 | 396.102 | 379.7 | High |
| 5 | Little Red Book | 63 | 11.643 | 541.056 | High |
| 6 | Jingdong Mall | 1508 | 192.199 | 784.601 | High |
| 7 | Netease Yanxuan | 14 | 1.759 | 795.907 | High |
| 8 | Alibaba | 117 | 12.542 | 932.828 | High |
| 9 | Microshop | 51 | 4.989 | 1022.126 | Low |
| 10 | Tmall | 697 | 47.547 | 1465.912 | Low |
| 11 | Pinduoduo | 3468 | 222.701 | 1557.241 | Low |
| 12 | Yangmatou | 14 | 0.687 | 2036.364 | Low |
| 13 | Suning | 1525 | 41.367 | 3686.433 | Low |
© 2020 by the authors. Licensee MDPI, Basel, Switzerland. This article is an open access article distributed under the terms and conditions of the Creative Commons Attribution (CC BY) license (http://creativecommons.org/licenses/by/4.0/).
Share and Cite
Lv, J.; Wang, Z.; Huang, Y.; Wang, T.; Wang, Y. How Can E-Commerce Businesses Implement Discount Strategies through Social Media? Sustainability 2020, 12, 7459. https://doi.org/10.3390/su12187459
Lv J, Wang Z, Huang Y, Wang T, Wang Y. How Can E-Commerce Businesses Implement Discount Strategies through Social Media? Sustainability. 2020; 12(18):7459. https://doi.org/10.3390/su12187459
Chicago/Turabian StyleLv, Junjie, Zichen Wang, Yuqing Huang, Tong Wang, and Yuanzhuo Wang. 2020. "How Can E-Commerce Businesses Implement Discount Strategies through Social Media?" Sustainability 12, no. 18: 7459. https://doi.org/10.3390/su12187459
APA StyleLv, J., Wang, Z., Huang, Y., Wang, T., & Wang, Y. (2020). How Can E-Commerce Businesses Implement Discount Strategies through Social Media? Sustainability, 12(18), 7459. https://doi.org/10.3390/su12187459
