Multi-Objective Optimization of Smallholder Apple Production: Lessons from the Bohai Bay Region
Abstract
1. Introduction
2. Materials and Methods
2.1. Survey Location and Data Collection
2.2. P Flow in Apple Orchards
2.3. P Gray Water Footprint
2.4. Economic Benefit and Partial Factor Production of Chemical P Fertilizer
2.5. Pareto-Based Multi-Objective Optimization
2.6. Data Analysis
3. Results
3.1. P Inputs and P Flow in Orchard
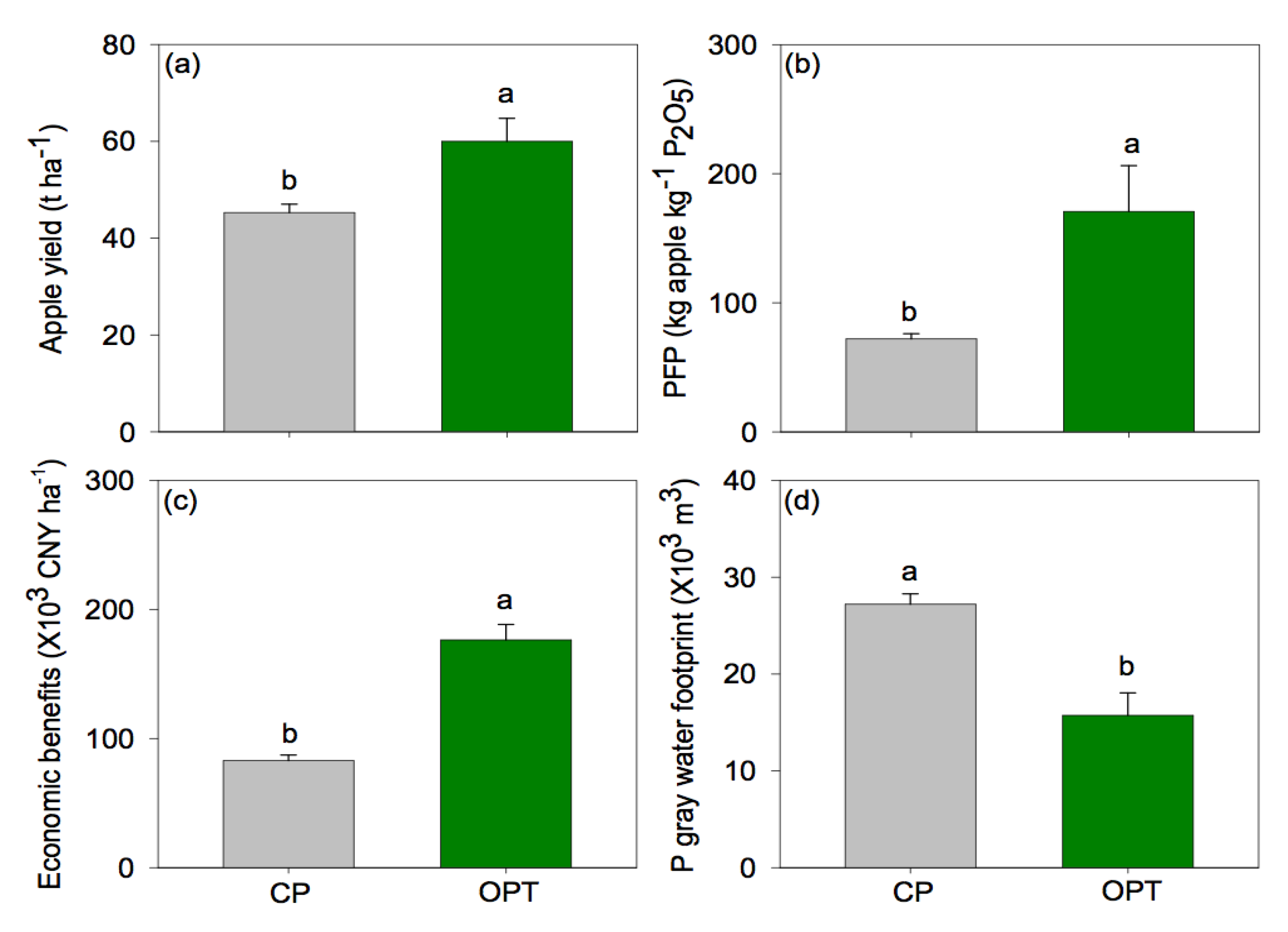
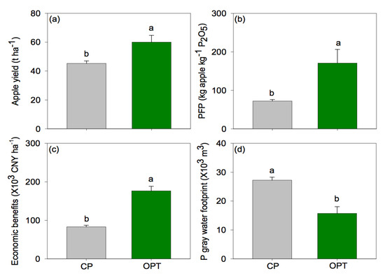
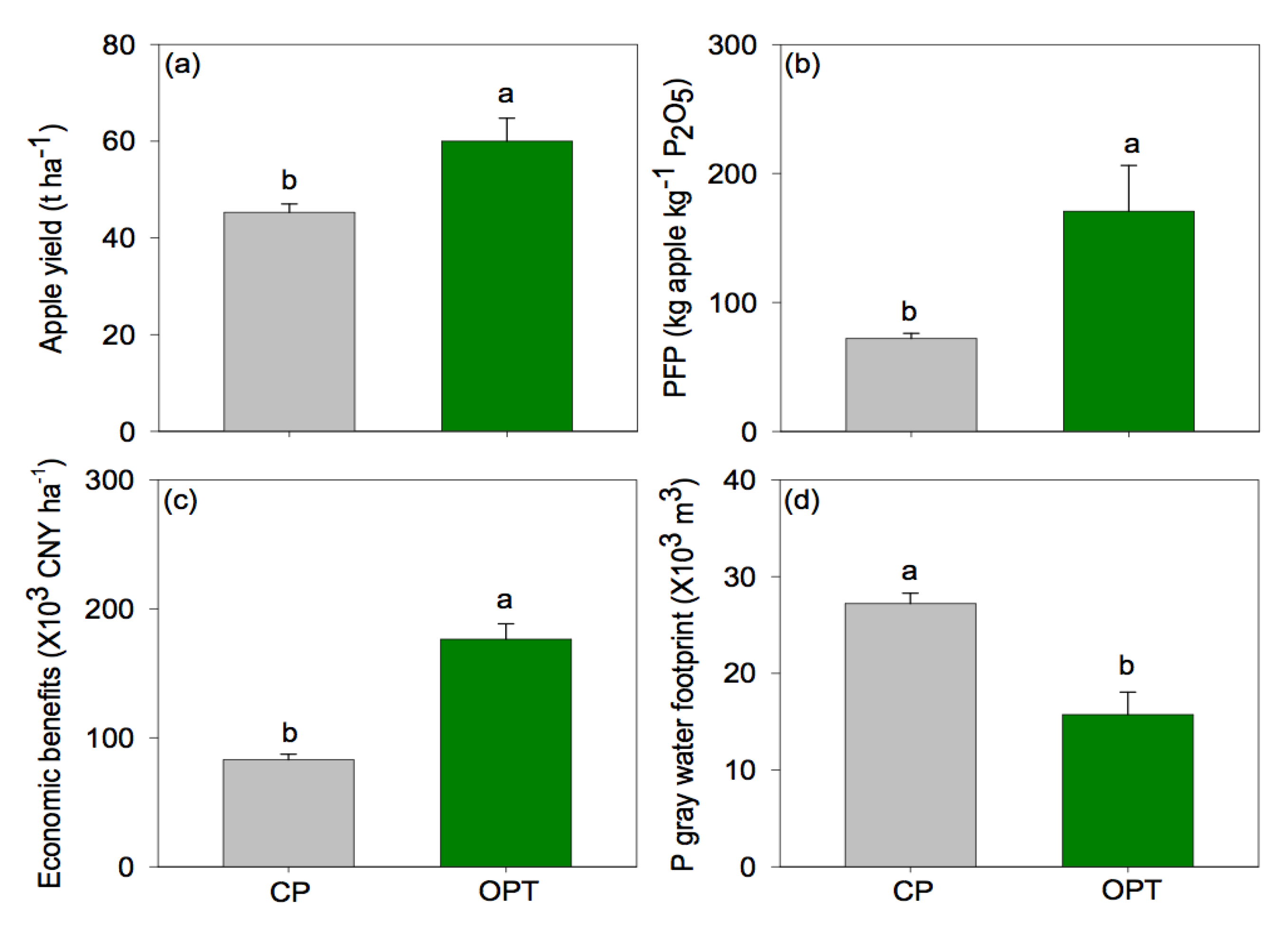
3.2. Performance Indicators in Grower Practices and Pareto-Based Optimal Growers
3.3. Four Objectives and Corresponding Integrated Horticulture Practices
3.4. Characteristics of Five Solutions Near the Extremes (Minima or Maxima) of the Four Objectives
4. Discussion
4.1. Trade-Off between Objectives
4.2. Achieving Multi-Objective Apple Production by Smallholder Growers
5. Conclusions
Supplementary Materials
Author Contributions
Funding
Conflicts of Interest
References
- Wang, N.; Joost, W.; Zhang, F. Towards sustainable intensification of apple production in China-Yield gaps and nutrient use efficiency in apple farming systems. J. Integr. Agric. 2016, 15, 716–725. [Google Scholar] [CrossRef]
- Zhai, H.; Shi, D.; Shu, H. Current status and developing trend of apple industry in China. J. Fruit Sci. 2007, 24, 355–360, (In Chinese with English Abstract). [Google Scholar]
- The Food and Agriculture Organization (FAO). Available online: http://www.fao.org/faostat/en/#data/QC4 (accessed on 19 January 2018).
- Ma, W.; Abdulai, A. The economic impacts of agricultural cooperatives on smallholder farmers in rural China. Agribusiness 2017, 33, 537–551. [Google Scholar] [CrossRef]
- Suo, G.; Xie, Y.; Zhang, Y.; Cai, M.; Wang, X.; Chuai, J. Crop load management (CLM) for sustainable apple production in China. Sci. Hortic. 2016, 211, 213–219. [Google Scholar] [CrossRef]
- Wang, G.; Zhang, X.; Wang, Y.; Xu, X.; Han, Z. Key minerals influencing apple quality in Chinese orchard identified by nutritional diagnosis of leaf and soil analysis. J. Integr. Agric. 2015, 14, 864–874. [Google Scholar] [CrossRef]
- Jiang, Y.; Ge, S.; Mao, Z.; Chen, X. Balanced fertilization technology of apple. China Fruits 2017, 13, 1–4, (In Chinese with English Abstract). [Google Scholar]
- Zhao, Y.; Li, Z.; Liu, M.; Xiao, X.; Wang, C.; Sun, D.; Lun, F. Phosphorus budgets and their associated environmental risks in the main apple orchard areas in China from 2006 to 2016. J. Agro-Environ. Sci. 2019, 38, 2779–2787, (In Chinese with English Abstract). [Google Scholar]
- Damon, P.; Bowden, B.; Rose, T.J.; Rengel, Z. Crop residue contributions to phosphorus pools in agricultural soils: A review. Soil Biol. Biochem. 2014, 74, 127–137. [Google Scholar] [CrossRef]
- Drechsel, P.; Heffer, P.; Magen, H.; Mikkelsen, H.; Singh, H.; Wichelns, D. Managing Water and Nutrients to Ensure Global Food Security, While Sustaining Ecosystem Services; Iwmi Books Reports; IWMI: Paris, France, 2015. [Google Scholar]
- Wu, H.; Gao, L.; Yuan, Z.; Wang, S. Life cycle assessment of phosphorus use efficiency in crop production system of three crops in Chaohu Watershed, China. J. Clean Prod. 2016, 139, 1298–1307. [Google Scholar] [CrossRef]
- Laurent, A.S.; Merwin, I.A.; Thies, J.E. Long-term orchard groundcover management systems affect soil microbial communities and apple replant disease severity. Plant Soil 2008, 304, 209–225. [Google Scholar] [CrossRef]
- Das, B.; Ahmad, N.; Srivastava, K.K.; Ranjan, P. Top working method and bloom density of pollinizers as productive determinant for spur type apple (Malus × domestica Borkh.) cultivars. Sci. Hortic. 2011, 129, 642–648. [Google Scholar] [CrossRef]
- Djodjic, F.; Bergström, L.; Grant, C.A. Phosphorus management in balanced agricultural systems. Soil Use Manag. 2005, 21, 94–101. [Google Scholar] [CrossRef]
- Vandamme, E.; Rose, T.; Saito, K.; Jeong, K.; Wissuwa, M. Integration of P acquisition efficiency, P utilization efficiency and low grain P concentrations into P-efficient rice genotypes for specific target environments. Nutr. Cycl. Agroecosyst. 2015, 104, 413–427. [Google Scholar] [CrossRef]
- Zhang, D.; Wang, C.; Li, X.; Yang, X.; Zhao, L.; Xia, S. Correlation of production constraints with the yield gap of apple cropping systems in Luochuan County, China. J. Integr. Agric. 2019, 18, 1714–1725. [Google Scholar] [CrossRef]
- Zhou, J.; Shen, R. Dictionary of Soil Science; Science Press: Beijing, China, 2013. [Google Scholar]
- Zeller, M.; Diagne, A.; Mataya, C. Market access by smallholder farmers in Malawi: Implications for technology adoption, agricultural productivity and crop income. Agric. Econ. 1998, 19, 219–229. [Google Scholar] [CrossRef]
- Mueller, N.D.; Gerber, J.S.; Johnston, M.; Ray, D.K.; Ramankutty, N.; Foley, J.A. Closing yield gaps through nutrient and water management. Nature 2012, 490, 254–257. [Google Scholar] [CrossRef]
- Sterk, B.; Van Ittersum, M.K.; Leeuwis, C. How, when, and for what reasons does land use modelling contribute to societal problem solving? Environ. Model. Softw. 2011, 26, 310–316. [Google Scholar] [CrossRef]
- Groot, J.C.; Rossing, W.A. Model-aided learning for adaptive management of natural resources: An evolutionary design perspective. Methods Ecol. Evol. 2011, 2, 643–650. [Google Scholar] [CrossRef]
- Jiao, X.; Lyu, Y.; Wu, X.; Li, H.; Cheng, L.; Zhang, C.; Yuan, L.; Jiang, R.; Jiang, B.; Rengel, Z.; et al. Grain production versus resource and environmental costs: Towards increasing sustainability of nutrient use in China. J. Exp. Bot. 2016, 67, 4935–4949. [Google Scholar] [CrossRef]
- Cassman, K.G.; Dobermann, A.; Walters, D.T. Agro-ecosystems, nitrogen-use efficiency, and nitrogen management. AMBIO 2002, 31, 132–140. [Google Scholar] [CrossRef]
- Du, E.; De Vries, W.; Han, W.; Liu, X.; Yan, Z.; Jiang, Y. Imbalanced phosphorus and nitrogen deposition in China’s forests. Atmos. Chem. Phys. 2016, 16, 8571–8579. [Google Scholar] [CrossRef]
- Liu, X.; Sheng, H.; Jiang, S.; Yuan, Z.; Zhang, C.; Elser, J. Intensification of phosphorus cycling in China since the 1600s. Proc. Natl. Acad. Sci. USA 2015, 113, 2609–2614. [Google Scholar] [CrossRef] [PubMed]
- Dris, R.; Niskanen, R.; Fallahi, E. Relationships between leaf and fruit minerals and fruit quality attributes of apples grown under northern conditions. J. Plant Nutr. 1999, 22, 1839–1851. [Google Scholar] [CrossRef]
- Peng, S.; Buresh, R.J.; Huang, J.; Zhong, X.; Zou, Y.; Yang, J.; Wang, G. Improving nitrogen fertilization in rice by site-specific N management. A review. Agron. Sustain. Dev. 2010, 30, 649–656. [Google Scholar] [CrossRef]
- Li, H.; Liu, J.; Li, G.; Shen, J.; Lars, B.; Zhang, F. Past, present, and future use of phosphorus in Chinese agriculture and its influence on phosphorus losses. AMBIO 2015, 44, 274–285. [Google Scholar] [CrossRef]
- Sattari, S.Z.; Van Ittersum, M.K.; Giller, K.E.; Zhang, F.; Bouwman, A.F. Key role of China and its agriculture in global sustainable phosphorus management. Environ. Res. Lett. 2014, 9, 054003. [Google Scholar] [CrossRef]
- Liu, T.; Fan, Y. Changes in production regions and influencing factors in China major apple producing areas. Agric. Econ. 2012, 10, 36–42, (In Chinese with English Abstract). [Google Scholar]
- Sattari, S.Z.; Bouwman, A.F.; Giller, K.E.; Van Ittersum, M.K. Residual soil phosphorus as the missing piece in the global phosphorus crisis puzzle. Proc. Natl. Acad. Sci. USA 2012, 109, 6348–6353. [Google Scholar] [CrossRef]
- Ju, X.; Gu, B.; Wu, Y.; Galloway, N. Reducing China’s fertilizer use by increasing farm size. Glob. Environ. Chang. 2016, 41, 26–32. [Google Scholar] [CrossRef]
- Ma, L.; Velthofd, G.L.; Wang, F.; Qin, W.; Zhang, W.; Liu, Z.; Zhang, Y.; Wei, J.; Lesschend, J.P.; Ma, W.; et al. Nitrogen and phosphorus use efficiencies and losses in the food chain in China at regional scales in 1980 and 2005. Sci. Total Environ. 2012, 434, 51–61. [Google Scholar] [CrossRef]
- Withers, P.J.; Sylvesterbradley, R.; Jones, D.L.; Healey, J.R.; Talboys, P.J. Feed the Crop Not the Soil: Rethinking Phosphorus Management in the Food Chain. Environ. Sci. Technol. 2014, 48, 6523–6530. [Google Scholar] [CrossRef] [PubMed]
- Withers, P.J.; Rodrigues, M.; Soltangheisi, A.; De Carvalho, T.S.; Guilherme, L.R.G.; Benites, V.D.M.; Gatiboni, L.C.; De Sousa, D.M.J.; Nunes, R.D.S.; Rosolem, C.A.; et al. Transitions to sustainable management of phosphorus in Brazilian agriculture. Sci. Rep. 2018, 8, 2537. [Google Scholar] [CrossRef] [PubMed]
- Siddique, M.; Siddique, M.T.; Ali, S.; Javed, A.S. Macronutrient assessment in apple growing region of Punjab. Soil Environ. 2009, 28, 184–192. [Google Scholar]
- Zhang, F.; Cui, Z.; Chen, X.; Ju, X.; Shen, J.; Chen, Q.; Liu, X.; Zhang, W.; Mi, G.; Fan, M.; et al. Integrated Nutrient Management for Food Security and Environmental Quality in China. Adv. Agron. 2012, 116, 1–40. [Google Scholar]
- Shen, J.; Yuan, L.; Zhang, J.; Li, H.; Bai, Z.; Chen, X.; Zhang, W.; Zhang, F. Phosphorus Dynamics: From Soil to Plant. Plant Physiol. 2011, 156, 997–1005. [Google Scholar] [CrossRef]
- Che, M.; Yuan, Y.; Zhao, Y.; Jia, Z.; Li, H.; Ge, S. Root configuration and phosphorus utilization response of apple seedings to local phosphorus supply. China Fruits 2019, 5, 16–19, (In Chinese with English Abstract). [Google Scholar]
- Wang, H.; Wang, X.; Bi, L.; Wang, Y.; Fan, J.; Zhang, F.; Hou, X.; Cheng, M.; Hua, W.; Wu, L.; et al. Multi-objective optimization of water and fertilizer management for potato production in sandy areas of northern China based on TOPSIS. Field Crop. Res. 2019, 240, 55–68. [Google Scholar] [CrossRef]
- Shen, J.; Li, C.; Mi, G.; Li, L.; Yuan, L.; Jiang, R.; Zhang, F. Maximizing root/rhizosphere efficiency to improve crop productivity and nutrient use efficiency in intensive agriculture of China. J. Exp. Bot. 2013, 64, 1181–1192. [Google Scholar] [CrossRef]
- Groot, J.C.; Oomen, G.J.; Rossing, W.A. Multi-objective optimization and design of farming systems. Agric. Syst. 2012, 110, 63–77. [Google Scholar] [CrossRef]
- Todman, L.C.; Coleman, K.; Milne, A.E.; Gil, J.D.; Reidsma, P.; Schwoob, M.; Treyer, S.; Whitmore, A.P. Multi-objective optimization as a tool to identify possibilities for future agricultural landscapes. Sci. Total Environ. 2019, 687, 535–545. [Google Scholar] [CrossRef]
- Chen, X.; Cui, Z.; Vitousek, P.; Cassman, K.; Matson, P.; Bai, J.; Meng, Q.; Hou, P.; Yue, S.; Reonheld, V.; et al. Integrated soil-crop system management for food security. Proc. Natl. Acad. Sci. USA 2011, 108, 6399–6404. [Google Scholar] [CrossRef] [PubMed]
- Zoppolo, R.; Stefanelli, D.; Bird, G.W.; Perry, R.L. Soil properties under different orchard floor management systems for organic apple production. Organ. Agric. 2011, 1, 231–246. [Google Scholar] [CrossRef]
- Meyer, A.H.; Wooldridge, J.; Dames, J.F. Effect of conventional and organic orchard floor management practices on enzyme activities and microbial counts in a ‘Cripp’s Pink’/M7 apple orchard. S. Afr. J. Plant Soil 2015, 32, 105–112. [Google Scholar] [CrossRef]
- Yuri, J.A.; Talice, J.G.; Verdugo, J.; Pozo, A.D. Responses of fruit growth, quality, and productivity to crop load in apple cv. Ultra Red Gala/MM111. Sci. Hortic. 2011, 127, 305–312. [Google Scholar] [CrossRef]
- Gjamovski, V.; Kiprijanovski, M. Influence of nine dwarfing apple rootstocks on vigour and productivity of apple cultivar ‘Granny Smith’. Sci. Hortic. 2011, 129, 742–746. [Google Scholar] [CrossRef]
- Gu, M.; Choi, H.; Curt, R. Effects of different organic apple production systems on seasonal nutrient variations of soil and leaf. Sci. Hortic. 2011, 129, 9–17. [Google Scholar]
- Bellec, F.L.; Velu, A.; Fournier, P.; Squin, T.L.; Michels, T.; Tendero, A.; Bockstaller, C. Helping farmers to reduce herbicide environmental impacts. Ecol. Indic. 2015, 54, 207–216. [Google Scholar] [CrossRef]
- Wang, L.; Tian, L. Study on the prevention and treatment of tapetum lucidum pollution in Orchard of Yantai city. Yantai Fruits 2019, 1, 5–6. (In Chinese) [Google Scholar]
- Neilsen, G.; Neilsen, D.; Ferree, D.; Warrington, I. Nutritional requirements of apple. In Apples: Botany, Production and Uses; Ferree, D.C., Warrington, I.J., Eds.; CABI Publishing: Wallingford, Oxon, UK, 2003; pp. 267–302. [Google Scholar]
- Lombi, E.; McLaughlin, M.J.; Johnston, C.; Armstrong, R.E.; Holloway, R. Mobility, solubility and lability of fluid and granular forms of P fertiliser in calcareous and non-calcareous soils under laboratory conditions. Plant Soil 2005, 269, 25–34. [Google Scholar] [CrossRef]
- Zhang, G.; Wang, J.; Liu, T.; William, G.; Chu, G. Effect of water and P fertilizer coupling on corn yield, P uptake, and P utilization efficiency with drip irrigation in a calcareous soil. Plant Nutr. Fert. Sci. 2014, 20, 1103–1109. [Google Scholar]
- George, T. Why crop yields in developing countries have not kept pace with advances in agronomy. Glob. Food Secur. 2014, 3, 49–58. [Google Scholar] [CrossRef]
- Wu, L.; Cui, Z.; Chen, X.; Yue, S.; Sun, Y.; Zhao, R.; Deng, Y.; Zhang, W.; Chen, K. Change in phosphorus requirement with increasing grain yield for Chinese maize production. Field Crop. Res. 2015, 180, 216–220. [Google Scholar] [CrossRef]
- Zhang, W.; Cao, G.; Li, X.; Zhang, H.; Wang, C.; Liu, Q.; Chen, X.; Cui, Z.; Shen, J.; Jiang, R.; et al. Closing yield gaps in China by empowering smallholder farmers. Nature 2016, 537, 671–674. [Google Scholar] [CrossRef] [PubMed]
- Pan, D.; Kong, F.; Zhang, N.; Ying, R. Knowledge training and the change of fertilizer use intensity: Evidence from wheat farmers in China. J. Environ. 2017, 197, 130–139. [Google Scholar] [CrossRef] [PubMed]






| Items | Variable | CP | Highest Apple Yield | Highest PFP | Highest Economic Benefit | Lowest P Gray Water Footprint | ||||
|---|---|---|---|---|---|---|---|---|---|---|
| Value | Δ (%) | Value | Δ (%) | Value | Δ (%) | Value | Δ (%) | |||
| Objectives | Apple yield (t ha−1) | 45.3 | 75 | 52.5 | 67.5 | 52.5 | ||||
| PFP (kg apple kg−1 P2O5) | 72 | 122.4 | 309.6 | 136.3 | 309.6 | |||||
| Economic benefit (×103 CNY ha−1) | 83 | 158 | 169 | 221 | 169 | |||||
| P gray water footprint (m3 ha−1) | 27,212.9 | 17342.6 | 6718.8 | 19,617.8 | 6718.8 | |||||
| Horticultural practices | Chemical N use (kg N ha−1) | 822.6 | 803 | −2.4 | 366.5 | −55.4 | 505.4 | −38.6 | 366.5 | −55.4 |
| Chemical P use (kg P ha−1) | 211.5 | 301.5 | 42.6 | 74.1 | −65.0 | 216.3 | 2.3 | 74.1 | −65.0 | |
| Chemical P fertilizer cost (CNY ha−1) | 3745.2 | 3763.1 | 0.5 | 924.7 | −75.3 | 2699.9 | −27.9 | 924.7 | −75.3 | |
| Total cost of chemical fertilizer (CNY ha−1) | 19,149.2 | 14,917.6 | −22.1 | 8810.3 | −54.0 | 20,831.15 | 8.8 | 8810.3 | −54.0 | |
| Cultivated area (mu) | 3.2 | 6.8 | 112.5 | 3.2 | 0.0 | 3 | −6.3 | 3.2 | 0.0 | |
| Tree age (years) | 13.8 | 12.5 | −9.4 | 27 | 95.7 | 11 | −20.3 | 27 | 95.7 | |
| Proportion of growth regulators used (%) | 6.8 | 0 | −6.8 | 0 | −6.8 | 0 | −6.8 | 0 | −6.8 | |
| Proportion of reflective transfer film used (%) | 43.4 | 100 | 56.6 | 100 | 56.6 | 0 | 43.4 | 100 | 56.6 | |
| Proportion of herbicide used (%) | 40.5 | 50 | 9.5 | 0 | 40.5 | 0 | 40.5 | 0 | 40.5 | |
© 2020 by the authors. Licensee MDPI, Basel, Switzerland. This article is an open access article distributed under the terms and conditions of the Creative Commons Attribution (CC BY) license (http://creativecommons.org/licenses/by/4.0/).
Share and Cite
Jiang, S.; Zhang, H.; Cong, W.; Liang, Z.; Ren, Q.; Wang, C.; Zhang, F.; Jiao, X. Multi-Objective Optimization of Smallholder Apple Production: Lessons from the Bohai Bay Region. Sustainability 2020, 12, 6496. https://doi.org/10.3390/su12166496
Jiang S, Zhang H, Cong W, Liang Z, Ren Q, Wang C, Zhang F, Jiao X. Multi-Objective Optimization of Smallholder Apple Production: Lessons from the Bohai Bay Region. Sustainability. 2020; 12(16):6496. https://doi.org/10.3390/su12166496
Chicago/Turabian StyleJiang, Shan, Hongyan Zhang, Wenfeng Cong, Zhengyuan Liang, Qiran Ren, Chong Wang, Fusuo Zhang, and Xiaoqiang Jiao. 2020. "Multi-Objective Optimization of Smallholder Apple Production: Lessons from the Bohai Bay Region" Sustainability 12, no. 16: 6496. https://doi.org/10.3390/su12166496
APA StyleJiang, S., Zhang, H., Cong, W., Liang, Z., Ren, Q., Wang, C., Zhang, F., & Jiao, X. (2020). Multi-Objective Optimization of Smallholder Apple Production: Lessons from the Bohai Bay Region. Sustainability, 12(16), 6496. https://doi.org/10.3390/su12166496

