Physical Activity Levels for Girls and Young Adult Women versus Boys and Young Adult Men in Spain: A Gender Gap Analysis
Abstract
1. Introduction
2. Materials and Methods
2.1. Participants
2.2. Methods
2.3. Statistical Analysis
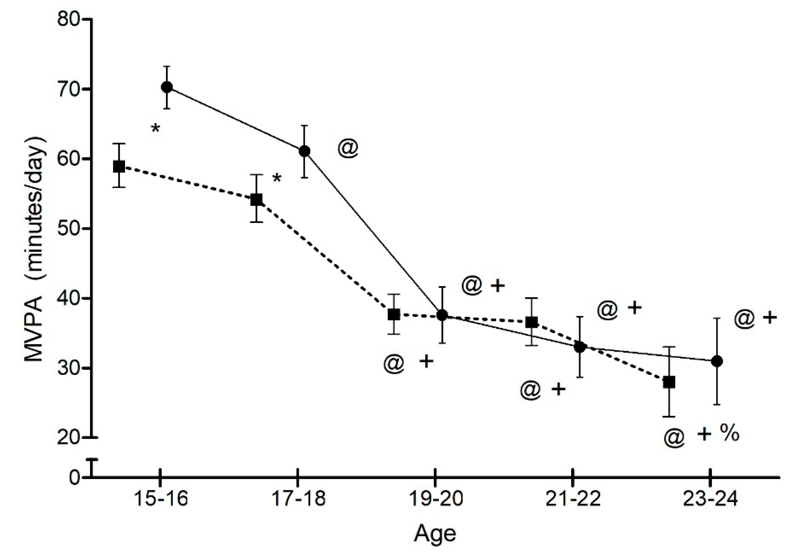
3. Results
4. Discussion
5. Conclusions
Author Contributions
Funding
Conflicts of Interest
References
- Wu, X.Y.; Zhuang, L.H.; Li, W.; Guo, H.W.; Zhang, J.H.; Zhao, Y.K.; Hu, J.W.; Gao, Q.Q.; Luo, S.; Ohinmaa, A.; et al. The influence of physical activity, sedentary behavior on health-related quality of life among the general population of children and adolescents: A systematic review. Qual. Life Res. 2019, 28, 1989–2015. [Google Scholar] [CrossRef] [PubMed]
- Hallal, P.C.; Victora, C.G.; Azevedo, M.R.; Wells, J.C.K. Adolescent physical activity and health: A systematic review. Sports Med. 2006, 36, 1019–1030. [Google Scholar] [CrossRef] [PubMed]
- Telama, R.; Yang, X.; Viikari, J.; Välimäki, I.; Wanne, O.; Raitakari, O. Physical activity from childhood to adulthood: A 21-year tracking study. Am. J. Prev. Med. 2005, 28, 267–273. [Google Scholar] [CrossRef] [PubMed]
- Telama, R.; Yang, X.; Laakso, L.; Viikari, J. Physical Activity in Childhood and Adolescence as Predictor of Physical Activity in Young Adulthood. Am. J. Prev. Med. 1997, 13, 317–323. [Google Scholar] [CrossRef]
- Dumith, S.C.; Gigante, D.P.; Domingues, M.R.; Kohl, H.W. Physical activity change during adolescence: A systematic review and a pooled analysis. Int. J. Epidemiol. 2011, 40, 685–698. [Google Scholar] [CrossRef]
- World Health Organization. Global Action Plan on Physical Activity 2018–2030; World Health Organization: Geneva, Switzerland, 2018; ISBN 9789241599979. [Google Scholar]
- Guthold, R.; Stevens, G.A.; Riley, L.M.; Bull, F.C. Global trends in insufficient physical activity among adolescents: A pooled analysis of 298 population-based surveys with 1·6 million participants. Lancet Child Adolesc. Heal 2020, 4, 23–35. [Google Scholar] [CrossRef]
- Guthold, R.; Stevens, G.A.; Riley, L.M.; Bull, F.C. Worldwide trends in insufficient physical activity from 2001 to 2016: A pooled analysis of 358 population-based surveys with 1·9 million participants. Lancet Glob. Health 2018, 6, e1077–e1086. [Google Scholar] [CrossRef]
- Aubert, S.; Barnes, J.D.; Abdeta, C.; Nader, P.A.; Adeniyi, A.F.; Aguilar-Farias, N.; Tenesaca, D.S.A.; Bhawra, J.; Brazo-Sayavera, J.; Cardon, G.; et al. Global Matrix 3.0 physical activity Report Card grades for children and youth: Results and analysis from 49 countries. J. Phys. Act. Health 2018, 15, S251–S273. [Google Scholar] [CrossRef]
- Roman-Viñas, B.; Marin, J.; Sánchez-López, M.; Aznar, S.; Leis, R.; Aparicio-Ugarriza, R.; Schroder, H.; Ortiz-Moncada, R.; Vicente, G.; González-Gross, M.; et al. Results from Spain’s 2018 report card on physical activity for children and youth. J. Phys. Act. Health 2016, 13, S279–S283. [Google Scholar] [CrossRef]
- Brooke, H.L.; Corder, K.; Griffin, S.J.; Van Sluijs, E.M.F. Physical activity maintenance in the transition to adolescence: A longitudinal study of the roles of sport and lifestyle activities in British youth. PLoS ONE 2014, 9, e89028. [Google Scholar] [CrossRef]
- Van Mechelen, W.; Twisk, J.; Post, B. Physical activity of young people: The Amsterdam Longitudinal Growth and Physical activity of young people: The Amsterdam Longitudinal Growth and Health Study Amsterdam Longitudinal Growth and Health Study. Med. Sci. Sports Exerc. 2000, 32, 1610–1616. [Google Scholar] [CrossRef] [PubMed]
- Sallis, J.F. Epidemiology of Physical Activity and Fitness in Children and Adolescents. Crit. Rev. Food Sci. Nutr. 1993, 33, 403–408. [Google Scholar] [CrossRef] [PubMed]
- Jose, K.A.; Blizzard, L.; Dwyer, T.; McKercher, C.; Venn, A.J. Childhood and adolescent predictors of leisure time physical activity during the transition from adolescence to adulthood: A population based cohort study. Int. J. Behav. Nutr. Phys. Act. 2011, 8, 54. [Google Scholar] [CrossRef] [PubMed]
- Eime, R.M.; Harvey, J.T.; Sawyer, N.A.; Craike, M.J.; Symons, C.M.; Payne, W.R. Changes in sport and physical activity participation for adolescent females: A longitudinal study. BMC Public Health 2016, 16, 533. [Google Scholar] [CrossRef] [PubMed]
- Luque Casado, A.; del Villar Álvarez, F. Mujer Joven y Actividad Física; Fundación MAPFRE: Madrid, Spain, 2019. [Google Scholar]
- Dovey, S.M. Continuity and change in sporting and leisure time physical activities during adolescence. Br. J. Sports Med. 1998, 32, 53–57. [Google Scholar] [CrossRef] [PubMed][Green Version]
- Anderssen, N.; Wold, B.; Torsheim, T. Tracking of physical activity in adolescence. Res. Q. Exerc. Sport 2005, 76, 119–129. [Google Scholar] [CrossRef]
- Benítez-Porres, J.; Alvero-Cruz, J.R.; De Albornoz, M.C.; Correas-Gómez, L.; Barrera-Expósito, J.; Dorado-Guzmán, M.; Moore, J.B.; Carnero, E.A. The influence of 2-year changes in physical activity, maturation, and nutrition on adiposity in adolescent youth. PLoS ONE 2016, 11, e0162395. [Google Scholar] [CrossRef]
- World Health Organization. Global Recommendations on Physical Activity for Health; World Health Organization: Geneva, Switzerland, 2010. [Google Scholar]
- Mayo, X.; Liguori, G.; Iglesias-Soler, E.; Copeland, R.J.; Clavel San Emeterio, I.; Lowe, A.; Del Villar, F.; Jimenez, A. The active living gender’s gap challenge: 2013–2017 Eurobarometers physical inactivity data show constant higher prevalence in women with no progress towards global reduction goals. BMC Public Health 2019, 19, 1677. [Google Scholar] [CrossRef]
- International Physical Activity Questionnaire. Guidelines for Data Processing and Analysis of the International Physical Activity Questionnaire (IPAQ)—Short and Long Forms; IPAQ Group, 2005. [Google Scholar]
- Mayo, X.; Del Villar, F.; Iglesias-Soler, E.; Liguori, G.; Mann, S.; Jimenez, A. A retrospective analysis of policy development on compliance with World Health Organization’s physical activity recommendations between 2002 and 2005 in European Union adults: Closing the gap between research and policy. BMC Public Health 2018, 18, 1081. [Google Scholar] [CrossRef]
- Corder, K.; Winpenny, E.; Love, R.; Brown, H.E.; White, M.; Sluijs, E. Van Change in physical activity from adolescence to early adulthood: A systematic review and meta-analysis of longitudinal cohort studies. Br. J. Sports Med. 2019, 53, 496–503. [Google Scholar] [CrossRef]
- Collings, P.J.; Wijndaele, K.; Corder, K.; Westgate, K.; Ridgway, C.L.; Sharp, S.J.; Atkin, A.J.; Stephen, A.M.; Bamber, D.; Goodyer, I.; et al. Objectively measured physical activity and longitudinal changes in adolescent body fatness: An observational cohort study. Pediatr. Obes. 2016, 11, 107–114. [Google Scholar] [CrossRef] [PubMed]
- Cantera-Garde, M.A.; Devís-Devís, J. Physical Activity Levels of Secondary School Spanish Adolescents. Eur. J. Phys. Educ. 2000, 5, 28–44. [Google Scholar] [CrossRef]
- European Commission; World Health Organization Regional Office for Europe. Spain: Physical Activity Factsheet; European Commission; World Health Organization Regional Office for Europe: Copenhagen, Denmark, 2018. [Google Scholar]
- Beghin, L.; Vanhelst, J.; Drumez, E.; Migueles, J.; Manios, Y.; Moreno, L.A.; De Henauw, S.; Gottrand, F. Influence of meteorological conditions on physical activity in adolescents. J. Epidemiol. Community Health 2020, 74, 395–400. [Google Scholar] [CrossRef] [PubMed]

| Mean (Minutes/Day) | Lower 95% CI (Minutes/Day) | Higher 95% CI (Minutes/Day) | |
|---|---|---|---|
| Ages (years) | |||
| 15–16 years old (n = 2194) | 64.7 | 62.5 | 66.9 | 
| 17–18 years old (n = 1618) | 57.7 * | 55.1 | 60.2 | 
| 19–20 years old (n = 1869) | 37.4 *,# | 35.2 | 40.1 | 
| 21–22 years old (n = 1462) | 34.8 *,# | 32.1 | 37.6 | 
| 23–24 years old (n = 684) | 29.5 *,#,% | 25.5 | 33.5 | 
© 2020 by the authors. Licensee MDPI, Basel, Switzerland. This article is an open access article distributed under the terms and conditions of the Creative Commons Attribution (CC BY) license (http://creativecommons.org/licenses/by/4.0/).
Share and Cite
Mayo, X.; Luque-Casado, A.; Jimenez, A.; del Villar, F. Physical Activity Levels for Girls and Young Adult Women versus Boys and Young Adult Men in Spain: A Gender Gap Analysis. Sustainability 2020, 12, 6265. https://doi.org/10.3390/su12156265
Mayo X, Luque-Casado A, Jimenez A, del Villar F. Physical Activity Levels for Girls and Young Adult Women versus Boys and Young Adult Men in Spain: A Gender Gap Analysis. Sustainability. 2020; 12(15):6265. https://doi.org/10.3390/su12156265
Chicago/Turabian StyleMayo, Xian, Antonio Luque-Casado, Alfonso Jimenez, and Fernando del Villar. 2020. "Physical Activity Levels for Girls and Young Adult Women versus Boys and Young Adult Men in Spain: A Gender Gap Analysis" Sustainability 12, no. 15: 6265. https://doi.org/10.3390/su12156265
APA StyleMayo, X., Luque-Casado, A., Jimenez, A., & del Villar, F. (2020). Physical Activity Levels for Girls and Young Adult Women versus Boys and Young Adult Men in Spain: A Gender Gap Analysis. Sustainability, 12(15), 6265. https://doi.org/10.3390/su12156265
 
        

 
       