Abstract
Mergers between companies are motivated by synergy effects that can improve profitability. On February 11, 2015, the Administrative Council for Economic Defense (Cade) approved, the merger between America Latina Logística (ALL), the largest railroad transport company in Brazil and Rumo Logistics (RUMO), an operator with national impact with restrictions, and formed a new entity RUMO-ALL. The approval of this merger suggested that there could be an increase in operational efficiency without compromising the competition. In this work, the operational efficiency of RUMO-ALL is evaluated using Data Envelopment Analysis (DEA) models for the return of adequate scale. Statistical tests of structural break are performed in order to understand if there are an ex-post merger effects on the operational efficiency after the expansion of the service. The results indicate that the rail service after the merger is efficient, but with marginal reduction of production with an increase of input, which is expected according to neoclassical economic theory for monopolies.
1. Introduction
Brazil is a continental country which plays an essential role in the supply of iron ore, soybeans and other products to the global market. These products are mostly produced in the country’s hinterland and need to be transported to its gateway cities to be shipped to other continents [1]. After 1994, mostly due to the economic stability promoted by the Plano Real, Brazil has experienced some increases in market competitiveness [2]. However, almost 60% of all the transportation production, measured in ton-kilometers (t.km), is still by road [2,3]. This transportation strategy raises export costs and diminishes Brazilian competitiveness, mainly due to the significant volume of cargo being transported by trucks over long distances. In other countries with similar territorial and commercial structures, a substantial share of transportation is by rail.
In its origin, the Brazilian regional rail transportation system had received private investments from European countries and local companies, from the mid-nineteenth century to the mid-twentieth century, enabling the construction of an extensive rail transport network considering the occupation of the country’s territory. However, due to a lack of regulation, technical and social aspects like different gauges and low national integration were and still are quite common in the design of Brazilian railways [4]. After World War II, in 1957, the management of most rail tracks was transferred to the state (the control of the government), constituting the National Railroad Network (RFFSA) [4]. State management of the Brazilian railways did not improve the productivity for the system as a whole and, as a result in 1996, a process of a 30-year private concession of the tracks had begun. America Latina Logística (ALL) was one of the largest companies to take over the management of four railroad lines in the south and southeast of the country. Up to 2010, the concession showed a positive impact on the rail freight service in Brazil, seen in increases in traffic, and companies’ profits [4].
By 2015, Cosan SA conglomerate, an important sugar cane and ethanol player in Brazil, proposed to take control of ALL. The vertical merger, Administrative Council for Economic Defense (CADE) inquiry 08700.005719/2014−65, was approved in February of that year, and the companies started the unification, becoming the most significant holder of a rail concession in Brazil [5]. In this context, the four tracks of RUMO-ALL were named: (i) Rumo-North (RMN); (ii) Rumo-West (RMW); (iii) Rumo-South (RMS); and (iv) Rumo-Paulista (RMP).
There were a variety of idiosyncratic reasons that justified not blocking the merger [6]. Avkiran [7] and Garden and Ralston [8] evaluated the ex-post efficiency of financial markets in horizontal mergers and concluded that, in this situation, there were positive gains. Salgado and Castro [9] used the argument of Farrell and colleagues [6] to evaluate ex-post efficiency but in the case of air companies. As in the horizontal merger, it was suggested that efficiency could also be used as evidence to support vertical merger approvals.
Vertical mergers have been assessed through empirical analysis, comparing the vertical integration to separation [10,11]. Nevertheless, these mergers are not necessarily monotonic in terms of synergies, strength, and monopoly, e.g., as in the Brazilian rail context. Instead, there can be increases in the joint profit of the merging companies. A few studies have analysed the trade-off between efficiency and foreclosure effects due to mergers between companies [12,13,14]. It should be noted that although Data Envelopment Analysis (DEA) modeling has been used in merger analysis, it is quite common in horizontal mergers and relatively rare in vertical mergers. This paper implements DEA model in a vertical merger between rail companies and therefore provides an additional and valuable contribution to the wider literature.
Even with the approval of the merger, the process and compliance with the procedural terms continued with the developments. We highlight the Termination of Commitment to Practice (TCC) following the Administrative Inquiry No. 08700.0011102/2013−06, which observes inadequacy to the approval restrictions of process 08700.005719/2014−65. Further information on technical remedies of the merger can be found in CADE [15], highlighting the adopted ones, up-front buyer, trustees, and market tests, in addition to a high percentage of application of behavioral remedies. In the case studied, the up-front buyer can result in ex-post efficiency, as the vertically merged companies are characterized as suppliers and buyers, which results in upstream and downstream gains.
In the Brazilian context, where so many structural changes took over the past two decades, the railways are an example of a case of natural monopoly, well described in the literature, presenting economies of scale [16] and functioning in a structure of network economies. Also, railroads present long-term returns on investments [17] and railroad production also requires returns on density and cost subadditivity, as explained by Ivaldi and McCullogh and Bitzan [18,19]. Thus, it becomes relevant to evaluate the impacts of initiatives that change the management structure of Brazilian railroads.
The economic concept of operational efficiency has been considered in the literature for this type of analysis. DEA models are instruments for measuring static or dynamic efficiency with the support of indexes such as the Malmquist [20], established in academia. However, the analyses are concentrated on the aspects of efficiency, per se, with an adjacent link to some phenomena, thus making few attempts to establish a causal relationship between the processes that impact transport and operational efficiency. There is also the possibility of exploring the implications of public policies and efficiency gains or losses, as developed by Mazzanati [21] for the case of airport concessions and mergers. An in-depth analysis of the case of mergers concerning hospitals was performed by Dalmau-Matarrodona and Puig-Juno [22]. The results indicated that the number of competitors in the market contributes positively to efficiency and that the differences in efficiency scores are attributed to several environmental factors such as ownership, market structure, and regulation effects. Li [23] analyzed a regulated market regarding efficiency and productivity gains, concluding that firms do not need to be privatized to be more technically efficient. However, a privatized firm is more capable of enhancing the growth of its total factor productivity (TFP), efficiency upgrading, and technological innovation in the production process in a shorter period. From the perspective of these authors, non-parametric methods are adequate to evaluate the ex-post results of mergers.
Henceforth, considering the DEA approach and the questioning of whether or not the antitrust agency is assertive in authorizing mergers to increase ex-post efficiency, this paper aims to evaluate the changes in the level of efficiency of a group of railways vertically merged by another conglomerate (Cosan SA) and operating together (RUMO-ALL). Through DEA models, the efficiency in terms of the return of adequate scale to the operation of RUMO-ALL is evaluated, and statistical tests of structural break and event analysis are performed in order to understand if there was an ex-post merger effect on the operational efficiency after the merger was established and put into practice.
The paper is organized into five sections: (i) introduction and context of rail efficiency analysis; (ii) background knowledge about the analysis of rail productivity and efficiency measurement; (iii) mergers and operational efficiency; (iv) DEA model; (v) application and analysis of results from the DEA model; and (vi) final remarks.
2. Rail Production and Efficiency Measurement
In this section, we discuss the characteristics of rail operation and the importance of the efficient production of this transportation mode. We also present a literature review on DEA techniques used to measure rail efficiency in Brazil and around the world.
2.1. Rail Production
It is impossible to dissociate freight transportation from a country’s economic activity. Regional rail transportation plays an essential role in the economic growth and development of territory [3,24]. The effectiveness of regional railways, both in the socio-economic development of regions and as a sustainable business, is dependent on its operation and utilization [24,25]. In this context, different authors [26,27] have explored the economic efficiency of railways, own competitiveness, and operation-related particularities of the service provided. Woroniuk and colleagues [28] developed a time-series analysis to study the performance of private rail freight companies in the EU.
In Brazil, almost 90% of the iron ore is carried out by rail. It is a very profitable business.
In the south of Brazil, the sugar cane industry has an important impact on the economy, and the rail transportation service available is essential to assist in both improving the performance of this sector and decreasing the respective costs. Other authors [3,29,30,31] investigated the efficiency of rail operations in Brazil, mostly regarding environmental factors, but without developing approaches to understanding the changes that occurred due to interventions, such as mergers between different companies.
Rail efficiency modeling is challenging and demands an understanding of the particularities of the rail system being modeled [20]. Rail system is composed of static an dynamic resources, namely: tracks, rolling stock, terminals and signaling/communication. The management of these resources is essential for the operational efficiency of the system. The rail operation has as function the coordination and utilization of all rail resources/assets [32,33]. When the operational efficiency is not correctly measured, then the changes along the lifecycle of the rail operators cannot be correctly captured and explained by any time series modeling. This is due to the unit root presence or any other hypothesis not sustained.
The rail operation can be divided into two sub-systems: (i) movement of trains between yards and terminals; (ii) operations with trains in yards and terminals. For each of these sub-systems, inefficiencies are arising from the mismanagement of assets and personal resources (inputs) or the inability to properly coordinate these assets that make it possible to efficiently operate the trains, yards, and terminals [32,33,34,35,36,37,38,39,40]. In Table 1, we present the main assets and operational issues that can limit or enhance the productivity of railways.
Table 1.
Composition of rail operation.
To effectively administer the rail sub-systems, different key performance indicators (KPI) are considered by the rail management. According to the definition of efficiency or productivity, the leading indicators considered to measure railroad operating performance, except for those used to measure accidents, are associated with supply and demand (production), and the relationships between production and the use of resources allocated to this process [32,33,34]. In Table 2, we present the main KPIs considered for measuring production levels (outputs) and productivity (output/input) [41,42,43].
Table 2.
Key performance indicators (KPIs).
2.2. Efficiency Measurement
The World Bank Institute (WBI) Development Studies, performed by Coelli and colleagues [44], is the main guideline towards efficiency and productivity analysis related to transportation investigations (see Table 3).
Table 3.
Summary of studies on productivity and efficiency in railways.
Although there is substantial literature on rail economics, production costs and analysis of rail productivity, research work on rail production analysis using econometric approaches and efficiency analysis are not extensive in Brazil. According to the best of our knowledge, only six studies have been identified touching upon this topic [3,29,30,31,45,46], where two of them [45,46] were solely presented in national conferences.
DEA modeling is the fundamental approach considered in these works to assess the efficiency of transportation systems and, therefore, we are focusing on the operational aspects of the railroad with emphasis on the choice of variables and assumption of returns of scale. There are several international and national research projects including rail transportation, highlighting: (a) international: presentation of theoretical developments in the measurement of railway total factor productivity—TFP [47]; measurement of the efficiency of European railways via panel data [48]; and comparison between parametric and non-parametric distance functions with application to the case of European railways [49]; and (b) national: estimation of cost functions for high-speed rail transport [50]; measurement of TFP of railway companies [51]; and efficiency of high-speed rail transport with DEA [52]. Of the above studies, two [47,51] are closely related to this work, the first concerning measuring the productivity of Brazilian concessionaires and the second because they used data from a panel of different railroads. However, in this work, we explore not only the degree of the efficiency achieved by the operators but also the parameters that determine the dynamics associated with productive efficiency.
3. Mergers and Operational Efficiency
The efficiency generated in horizontal mergers is detailed in Motta and Salgado [53]. The arguments concern “synergy” or “non-synergy” gains. The first indicates close integration among players, with “unique assets of the parties, difficult to commercialize”, recommending the affirmative acceptance of this act. The second refers to the “non-synergetic” gains, which could be the mere reorganization of the productive factors. Other authors have discussed in detail the relationship between efficiency gains and mergers, and the consensus is that synergies not obtained unilaterally should be considered. In general, different efficiencies—allocative, productive, and dynamic—can impact well-being, reducing consumer surpluses through various mechanisms: Darwinian selection, management relaxation, reduction in the number of companies, among others [53]. In monopolized structures, this is latent and may involve different static and dynamic aspects of the process, therefore, for the merger to be carried out, significant operational efficiency gains should be demonstrated.
Evidence indicates that human resource management (HRM) has particular importance for the success of the Merger and Acquisitions (M&A) process [54]. The number of competitors, ownership, market structure, regulations, other effects in the market contribute to the efficiency scores [22]. It is observed that regulated firms demonstrate efficiency gains in a much shorter time [23,44,48].
In the ex-post analysis presented in this paper, we evaluate whether or not the decision made by the antitrust agency was ruinous to the market, and, therefore, assertive or erratic.
It should be noted that the merger is not only concerned about the ruinous/benefit aspects that the act might bring to the financial market. The synergies that can result in gains of scale and efficiency in the new operation are also considered and weighed. To the attention of the interested reader, there is an alternative approach proposed by Eckbo [55] to evaluate efficiency gains due to mergers, performed through the observation of price changes in the stock market, but this is not explored in this paper.
4. DEA Model
In this section, we present the DEA model developed for the purposes of this discussion. The data used to define the production function model and the efficiency measures expiated and observed are discussed in this section as well.
4.1. Characteristics of the Rail Operation in Each Track of Rumo
The demand profile and some rail operational characteristics are presented in order to characterize the four rail tracks subject of the analysis. We also present the spatial location of this rail operator.
4.2. Descriptive Statistics of the Data
The data considered in this paper were taken from Agência Nacional de Transportes Terrestres—ANTT’s 2018 Statistical Annual Report [56], with the variables accounted from 2006 to 2018 regarding the freight movement and operational issues for the Brazilian railways. According to ANTT, the contents of the publication are informative and come from the data sent monthly by the railway concessionaires through the SAFF—Sistema de Acompanhamento e Fiscalização do Transporte Ferroviária (Railway Transport Monitoring and Inspection System), under the terms of ANTT Resolution nr. 2.502/2007. Thus, the data may not faithfully represent the reality of production and inputs used by the railroads explained in Section 2.1, since no audits are carried out on such data. Nevertheless, we have considered this information since they are the data available.
The variables considered for the efficiency analysis were: net freight tons per month (FT); net freight tons-kilometer per month (FTK); the number of trains per month (#TR); trains-km (TRK); hours of locomotive per month (LH); locomotive-km (LK); hours of wagon per month (WH); wagon-km (WK); tons per wagon (TW); tons-km per wagon (TKW). We chose these variables for two reasons: (i) these are the performance indicators available for the tracks being analysed, and (ii) the variables represent inputs and outputs of the rail operation system.
Even with the possible problems about quality of information, the data were structured in a panel of 156 observations for each of the four tracks of Rumo, being, therefore, monthly observations of ten variables, which totaled 624 observations per variable and 13 years of monitoring of the concessionaires’ variables each month. The input for the tracks under investigation formed three different datasets: (i) all the observations for each track of Rumo; (ii) the time-series from 2006 to 2014; and (iii) the time-series from 2015 to 2018. The three time-series were justified in this analysis since we intended to identify possible efficiency gains before and after the merger between ALL and Rumo rail companies.
After the organization of the data, we built and analyzed boxplots for the three time-series. Also, we measured the relationship among variables through the Pearson correlation coefficient (matrix correlogram), concerning the pair of dependent variables considered for the modeling, FT and FTK, and the eight input variables as described earlier in this section. These identified the selection of variables to be used for modeling.
4.3. DEA Modeling
Production functions require monotonicity as the behavior of the constant and continuous function for a given input value, and the envelope value is always more significant than the efficiency of a given unit of analysis; the concavity implies the linear dependence of input values on outputs; it indicates that the envelope function (feasible production) is always higher than the individual value of a unit, and the maximum extrapolation suggests that there can still be a more significant envelope function than the one under investigation, implying that efficiency can always be improved.
A relevant feature is the scale returns that reflect the response of total output when all production factors increase proportionally. According to Samuelson and Nordhaus [57], the production reveals increasing, decreasing, or constant returns of scale when a proportional increase in all factors of production leads to a more than proportional, less than proportional, or equally proportional increase in production. Once the production function is known, we can optimize the use of production factors and obtain economies of scale to ensure maximum economic efficiency in production.
The efficiency (θ) is calculated by obtaining a relationship between the vector of outputs and inputs, being between zero and one and is represented by Equation (1), where the vector of data is and the vector of outputs is , where is the weights of inputs e and outputs.
Equation (1) can assume the following CRS (Constant Return Scale) and VRS (Variable Return Scale) strands. The CRS model allows an objective assessment of overall efficiency and identifies sources and estimates of inefficiencies amounts. However, the VRS model distinguishes between technical and scale inefficiencies, estimating pure technical efficiency, at a given scale of operations, and identifying increasing, decreasing, and constant scale gains for future exploitation. The CRS model can be used by setting the inputs (CRS-IN) or outputs (CRS-OUT) for the efficiency analysis. This efficiency is measured by the ratio of the distance from the point where the Decision Making Units (DMU) is to the efficiency boundary. A dual form, which seeks to minimize inputs while maintaining the same output, can be applied, and its expression is as follows:
Subject to the restrictions:
where ERC is the function that measures the efficiency of the DMU, minimizing θ (efficiency function) for a vector , which defines the benchmarking according to constraints 3–5 that Y and X are, respectively, the vectors of inputs and outputs. The measure of efficiency can take several forms: radial, additive, maximum average, or minimum average. Radial measures are used for the calculation of technical efficiency (resource utilization coefficient). Through the concept of radial measurement, it is possible to seek the maximum equiproportional reduction of inputs or the maximum equiproportional expansion of outputs, as suggested by Debreu (1951).
The efficiency calculations by radial measurement are obtained by Equations (6)–(8).
Not oriented:
Oriented to input
Oriented to output
where is the vector of inputs, o the vector of outputs, is the efficiency function, and is the domain of the production function.
Based on the operational aspects and the several studies made previously, it is possible to choose input and output variables, and specify the adequate return of scale the representation of the railway operation, and the orientation to be taken in the model that will be presented; for this, considerations will be made in the next section as to the methodology adopted to evaluate the efficiency and characteristics of the model.
According to the literature, there are many possibilities for structural break tests, namely: endogenous breaks in which the date of the break is determined following some identification criterion through the use of some abnormal or exceptional observation that is distant from the rest of the data, with emphasis on the Chow Test; and endogenous tests. Sánchez [58] has used the time series in Malmquist analysis, but there is no approach using the structural break in DEA efficiency parameters. This new way to see the results can be fruitful for new researchers, but a deep analysis in the properties of temporal efficiency series and the structural breaks tests is an open field to theoretical approaches that is not the aim of this paper. The next section explains how the structural breaks tests work.
4.4. Testing Structural Breaks
Many authors [59,60,61,62,63,64,65] have discussed structural breaks tests regarding the advantages and disadvantages to see events effects. However, in this article, the event was well defined (fusion RUMO-ALL), so based on the series of efficiencies estimated in the DEA Model, a structural break test was performed using a natural extension from the Chow test. We calculated the F statistics for all potential change points or for all in an interval and to reject if any of those statistics get too high. The respective equations are 12, 13, and 14. Therefore, the first step was to compute the F statistics Fi for . Andrews [66] and Andrews and Ploberger [67], respectively, suggested three different test statistics and examined their asymptotic distribution:
The supF and the aveF statistics, respectively, reject the testing procedures that have been described above. According to both, the null hypothesis is rejected when the maximal or the mean F statistic becomes too high. A third possibility is to reject the hypothesis when the expF statistic becomes too high. The aveF and expF tests have specific optimality properties [67], and a procedure to a model test supF as well as other statistics that is applied in many academic works as the procedure also tests the power of structural breaks tests [68].
5. Results and Discussion
In this work, the operational efficiency of four rail tracks, namely RMN, RMW, RMP, and RMS, currently belonging to RUMO-ALL, was studied using a DEA model. In this section we discuss the results.
5.1. Characteristics of the Rail Operation in Each Track of Rumo
The main products transported by this operator are grain commodities, which correspond to 70% to 80% of the total volume (freight tons) moved. There are some interchangeable. Most of the transport performed is for exporting commodities. The only exception is the southern track, that presents many short-distance flows between origins and destinations in the hinterland. The freight shipping for the international market is mainly composed of soybean, corn, cellulose, iron ore, fuel, sugar, and containerized cargo. These flows are exported through the seaports Santos, Paranaguá, Itajaí, and the Rio Grande. The rail network and the respective ports can be located in Figure 1.
Figure 1.
Rail network operated by RUMO-ALL.
It is essential to highlight that there are different gauges within the tracks operated by Rumo. The most considerable extension of the railway sections RMN and RMP are built in a metric gauge. Meanwhile, the RMS and RMW tracks are constructed in a 5ft 3in gauge. This difference limits the interchangeability of rolling stock among the lines operated by Rumo, which can interfere with the efficiency of the operation.
In Table 4 [56], we present the main flows transported in the Rumo rail system for the international market, which represent more than 80% of the total of freight moved. Concerning RMN and RMP, most of the freight transport has origin in Rondonópolis (TRO—the last station of RMN, in Mato Grosso) and destination in Marco Inicial (TIM). It is composed of grains (soybean and corn), fuel, and containers. From the station, Marco Inicial (TIM) to Santos Port (Paratinga—ZPT and Perequê—ZPG), the soybean and corn, together with containers and cellulose, are transported.
Table 4.
Freight and distance traveled by trains with export and import demand.
There is only one transport service in the other direction, which is composed of fuel and other trains that go from Santos (ZPT and ZPG) and Araraquara (ZAR) to TRO haul empty wagons. RMS is the track where most of the flows are served at a short distance, and some of the trains are composed of different products. The most significant transport service in this track concerns soybean and corn to the international market, shipped mainly from Paranaguá. RMW presents the most significant import flow, being hauled from Bauru (ZBU), in São Paulo, to Corumbá (JCB), the last station of this track in the central east of Brazil (Mato Grosso do Sul).
5.2. Descriptive Statistics of the Data
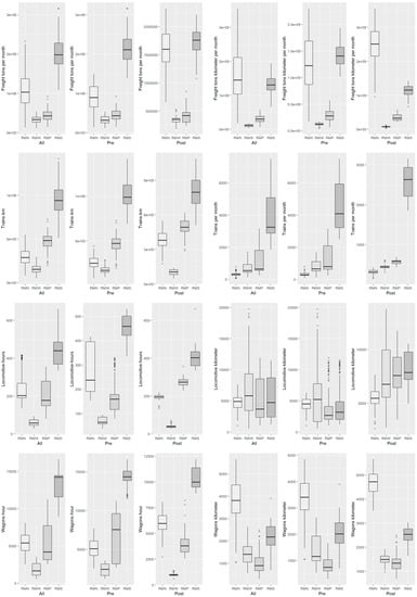
To understand the changes concerning the variables considered in this analysis, we built boxplot graphics for three time-series: all the observations, from 2006 to 2014 and 2015 to 2018, as explained. The court in time series was thought as ex-ante/ex-post analyses. In Figure 2, we show a graphical representation of the results.

Figure 2.
Boxplots of Rumo-North (RMN), Rumo-West (RMW), Rumo-South (RMS), and Rumo-Paulista (RMP) railways from 2006 to 2018. Source: Prepared by the authors based on ANTT data [56].
RMN and RMS are the tracks of Rumo that have the highest median for FT and FTK per month, although RMS has far more short-distance flows. Moreover, these two tracks showed greater dispersion among the months investigated for these two statistics, probably due to grain circulation and, consequently, the effect of seasonality. An increase in the amount of cargo moved between the pre- and post-merger periods is noticeable for these two tracks, but the increase was more significant for the RMN. However, it is interesting to note that FTK rose between the incremental periods for RMN and reduced for RMS. This is possibly due to a demand reconfiguration, with flows operated to a reduced extent despite the increase in the FT transported. This phenomenon, perceived for RMS, may result in a loss of scale and, consequently, in the case of rail transport, of efficiency. The RMW showed less dispersion and a reduction of both FT and FTK dispersion in the two incremental periods. There is no significant grain movement in this track, which makes the seasonality effect of the harvest almost non-significant when compared to that perceived in the RMN and RMS tracks. As presented in Table 4, the main products moved in the RMW section are cellulose and steel.
Despite the increase in the amount of cargo handled (FT) and tons-kilometer (FTK) for the RMN and RMS tracks, there was a reduction in locomotive allocation hours. Three operational changes could have caused this behavior: (i) change in demand with lower density product flows; (ii) reallocation of trains in the time-table in a more efficient manner; and (iii) change in the operational model with locomotives remaining in the tracks, without waiting at the terminal. However, when we observed locomotive allocation hours and the monthly extension covered by these machines, it was possible to notice that concerning the extension, all the tracks suffered an increase. Nevertheless, RMP was the only track with an increase in the hours of locomotives in operation. This behavior may reflect in an improvement in the allocation of locomotive input for the other three tracks, which leads us to conclude that there may have been an exchange of machines between tracks or the acquisition/sale of a higher power hauling fleet.
There was an increase in the number of trains monthly formed for all tracks, which indicates that either more cargo was transported or there was an operational rearrangement concerning the scheduling. On the contrary, RMW perceived a reduction of trains-km (TRK), which may indicate loss of efficiency in this scenario of an increase in the number of trains formed and dispatched. It is interesting to highlight that, in the three time-windows considered, the RMN section was the one that presented the smallest number of dispatched trains, despite being the section with the highest transport production (FTK). This behavior indicates that it is the track with the longest trains and, possibly, the most efficient one of Rumo.
It is possible to notice that RMN is the track with the largest wagon-km (WK), although it has fewer wagon-hours than RMS, possibly due to the diversity of flows, with more expressive terminal times for this last track. However, observing the time-windows before and after the merger, it is possible to notice that the increase in the efficiency of wagons was more expressive for RMP, due to the reduction of wagon-hour (WH) and the slight growth of km traveled per unit of this asset.
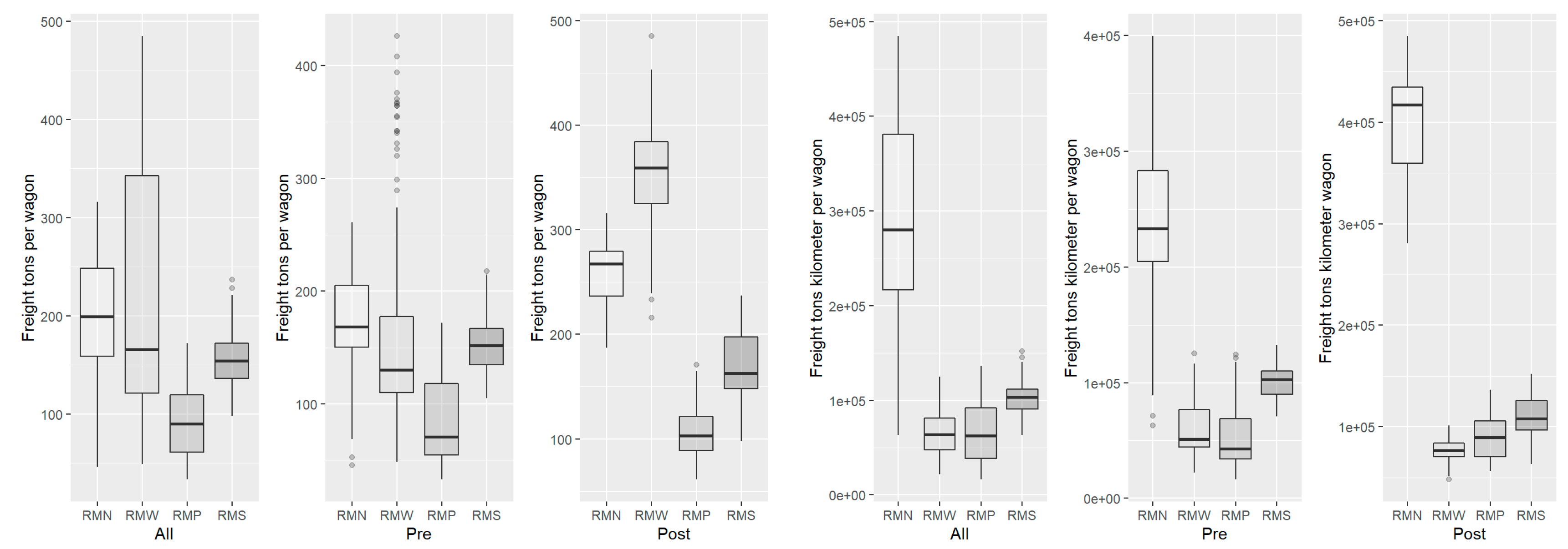
The only two rail tracks with increasing freight tons per wagon are RMN and RMW. In contrast, RMW reduced the production per vehicle (TKW), which can be the result of an increment in the wagon capacity, due to shifts in the portfolio of clients. Steel and iron ore are products that might have a high occupancy rate of bigger wagons, since this track has the greatest TW of Rumo. On the other hand, the increase in transport production (FT and FTK) associated with the number of wagons regarding RMW indicates a possible increase in the efficiency of this track.
Considering the relationships among the analyzed variables, as detailed in the methodological approach section, the correlation matrix, presented in Figure 3, was computed. The heat map (Figure 3) indicates the correlations between the variables and serves as a preliminary choice of variables that can be used to explain efficiency and avoid overlapping information. This is a frequent procedure in the DEA modeling process. The dendrogram associated with the correlation matrix shows a strong relationship between FT and FTK, which was expected, as FTK was obtained from FT.
Figure 3.
Heat map showing the Pearson correlation among variables. Source: Prepared by the authors based on ANTT Data [56].
The economic literature indicates that capital and labor variables are important to compose the production function. Nevertheless, we did not observe all variables to describe the production process separately, as described in Section 2.1. The modeling was carried out by an ad hoc selection of variables, understanding the superposition of information in each observed component of the rail system. With the information presented in Table 1 and Figure 3, we analyzed the input variables, one by one, with some possible combinations of variables to compose the model, despite the eventual strong statistical correlation presented in Figure 3. The number of trains per period has a direct relationship with rail production. Similarly, the consumption of fuel has a direct relationship with the freight tons kilometers, although there may be differences among concessionaires because the locomotives may be more or less modern and due to operational models. A different relationship can be observed among the usage of locomotives, which has a direct relationship with production and is likely to be also directly related to the number of trains and the consumption of fuel. This is a result of the locomotives being vital assets as part of every train and spending fuel in their operations; the usage of wagons presents a direct and positive correlation with the freight tons kilometer variable, since the increase in the usage of wagons is conditioned to the demand for freight that needs to be accommodated in these vehicles. The DEA model specified, therefore, considers constant returns of scale based on statistical tests, and input orientation was used, given the operating aspects of the Brazilian railroads analyzed and the minimization of input observed in 13 years of the concession. The variables chosen were two in order to propose a more parsimonious but robust model: production variable (TRK), and demand variable (WH).
The complete time-series of rail transport production, in freight tons kilometer (FTK), is presented in Figure 4. The transport production had a slight reduction trend along the period under analysis (2006–2018) for Rumo, as given before, except for the RMN track. The other segments of Rumo presented practically constant production levels, excluding the intra-annual seasonality. Still, the intra-annual seasonal structure was less significant in the RMW section. Both RMS and RMN sections presented lower production levels at the beginning of the year and an increase during the first semester due to the soybean harvest and export shipping. The only track that did not experience seasonality was RMW, due to the nature of the products transported.
Figure 4.
Transport production (FTK) Rumo rail sections from January 2006 to December 2018. Source: Prepared by the authors based on ANTT Data [56].
Regarding the complete time series, in Figure 5, we present the number of trains dispatched in each Rumo track. It is essential to highlight that before the merger, from 2008 to 2010, the RMS track might have experienced a decrease in demand, possibly due to the global economic crisis and the diverse nature of products transported. It is interesting to note that all the tracks regained efficiency after 2012, but only RMN got a less distressing effect from the global economic recession, possibly due to grain movement.
Figure 5.
The number of trains operated in Rumo rail sections from January 2006 to December 2018. Source: Prepared by the authors based on ANTT Data [56].
5.3. DEA Modeling
A test procedure was performed assuming the restriction that the sum of the coefficients of the logarithm of train-km (TRK) and of wagons-hour (WH) is equal to 1, to infer the returns of scale to be adopted, obtaining statistical test: F(1, 621) = 4.24, with p-value = 0.04; therefore, one cannot reject the null hypothesis of constant returns at 5%. For the other models, according to the restriction test below: one cannot reject the null hypothesis of constant returns.
The DEA model assumed constant returns of scale given the nature of monopoly and test above, see Figure 6, we ran a model with constant returns with the use of train-km (TRK) and wagons-hour (WH) as input, since there were missing values in other variables that impaired a joint estimation when using the log-log model. The objective of using this specification was to verify if there were increasing or decreasing returns of scale.
Figure 6.
Dispersion analysis among production and input variables. Source: Prepared by the authors based on ANTT Data [56].
Also, the model proposal aimed at parsimony in the analysis. In a complementary way, justifying the uniformity in the railroad sub-sample adopted for the investigation, a panel test was made to verify if fixed or random effects panel models would be adequate, with the first suggested. The indication of a fixed effect is suitable when idiosyncratic errors are serially uncorrelated (as well as homoscedastic). The Wald test for every model indicated that one cannot reject the null hypothesis of no heteroscedasticity. These tests corroborated the possibility of using DEA, since the groups could be considered for all homogeneous effects and, therefore, the assumption of similar DMUs was adequate.
The summary of the DEA results is presented in Table 5. The statistics suggest that there were many periods of inefficiency, with 75% of the results between 0 and 0.3 of efficiency, with only four periods with maximum efficiency. The average efficiency for the four companies was 0.315. Notice that the model was input-oriented. Thus, the models aimed at the maximum movement towards the frontier through the proportional reduction of inputs, keeping constant the outputs; therefore, it was about reducing inputs. This could not be what regulated companies wanted, but, in practice, it was observed within the Brazilian rails, where there is a prioritization of the heavy load tracks, indicating that for the private concessionaires, optimizing the usage of inputs in a constant production level is the choice. The inquiry of process 08700.005719/2014−65 indicated some points concerning this behavior, since, in the privatization process, the contracts were performed by different corporations, but they had been working conglomerated, interchanging rolling stock, before the merger was accepted.
Table 5.
Summary of RMN, RMP, RMS, and RMW efficiencies from 2006 to 2018 for the input-oriented CRS model.
Graphically, in Figure 7, we show the production curve versus the two inputs used, adjusting the borderline. There is a formation of groups further away and closer to the frontier. This behavior can occur due to gains or losses of efficiencies during the months of analysis.
Figure 7.
Graphs of production frontiers concerning the inputs adopted in the model.
We can now see how efficient or inefficient RMN, RMP, RMS, and RMW were in the graphics showed in Figure 8. Overall, RMN was the most efficient and RMW the least efficient rail track. It is also noted that there was a tendency for RMP and RMW to increase efficiency after 2012. The RMS was stable regarding inefficiency until 2015, showing a slight growth after that. For RMN, RMP, and RMS, there was a significant impact of the seasonality of the demand in the efficiency. On the other hand, there was little seasonality effect in the RMW rail, since there are no grains and respective harvesting periods related to rail production intensively.
Figure 8.
(a) RMO, (b) RMN, (c) RMP, (d) RMS efficiency time-series from 2006 to 2018.
5.4. Testing Structural Breaks
In February 2015, Cosan SA merged with ALL rail concession in Brazil, resulting in four track sections: RMN, RMP, RMS, and RMW. We suppose that after the merger, the operational efficiency changed. Graphically, we can now see this for RMP and RMW, but for the other operators, this phenomenon is not evident. As described above, some changes have begun in 2008, 2012, and 2015, suggested by this descriptive analysis as shown in Figure 8.
To corroborate with the graphical interpretation, we considered a procedure to search automatically for structural breaks [68]. We performed this using StrucBreak package for gretl [69]. The results are presented in Table 6. In bold, we can see structural breaks periods that can have a relationship with the merger process. We can infer that the ex-post efficiency might have changed, but there can also be an ex-ante effect, since the assets are interchanged even before the legal merger processes, creating synergies.
Table 6.
Structural breaks between 2006 and 2018 in RMN, RMP, RMS, and RMW concessions.
6. Final Remarks
The Brazilian rail system has been impacted by different structural changes including infrastructure and superstructure, integration of operational model, and location of the network. Since 1996, due to significant operational inefficiency, a process of transforming the Brazilian railways to private enterprises through concession has begun. The whole rail system in Brazil at that time was state-owned, mostly managed by a government-owned company named Rede Ferroviária Federal SA (Federal Railway Network inc.). In this process, the logistics company America Latina Logística (ALL) took over the concession of some of the railway lines that provide access to ports located in São Paulo and the lines that cover the southern region of Brazil. By 2015, a merger between ALL and Cosan SA (a Brazilian producer of sugar cane and ethanol) was legally established. The RUMO-ALL new entity was formed.
In this paper, we analyzed the ex-post efficiency of the rail transport system operated by RUMO-ALL using Data Envelopment Analysis (DEA) models. The analysis looked at the return of operational scale and conducted statistical tests of a structural break. The operational aspects related to the production and productivity of the rail tracks RMN, RMP, RMS, RMW were analyzed and discussed. A characterization of rail tracks was performed. The variables chosen were train-kilometer and wagons-hour. The intention was to build a more parsimonious but robust model. The data were taken from ANTT’s 2018 Statistical Annual Report, covering the years from 2006 to 2018 [56].
The statistical tests performed for the operational efficiency analysis indicated that both null hypotheses, (i) of constant returns at 5% and (ii) no heteroscedasticity, could not be rejected. The results also indicated many periods of inefficiency, with 75% of the results being between 0 and 0.3 efficiency. The average efficiency for the four companies was 0.315. A thorough analysis showed that the models aimed at the frontier through the proportional reduction of inputs, keeping the outputs constant, suggesting that there might have been a prioritization of the heavy load tracks. In other words, for the private concessionaires, it is essential to optimize the usage of inputs in a constant production level. Even in the Brazilian context, which has included so many structural changes over the years, the railways are an example of a case of natural monopoly, demonstrating economies of scale. The structural break periods might have a relation with the merging process.
Further conclusions are conditioned to a more detailed analysis of the characteristics of the historical series in time, which was not the objective of this work. Thus, the procedure for the break analysis was exploratory and should be expanded in future studies. Nevertheless, DEA modeling is not frequently applied to study vertical mergers, hence this paper brings a real contribution to the current state of the art.
Author Contributions
Writing – original draft, F.G.F.d.S.; Writing – review & editing, M.M. and R.L.M.d.O.; Validation, M.M. All authors have read and agreed to the published version of the manuscript.
Funding
This study was funded by Conselho Nacional de Desenvolvimento Científico e Tecnológico (CNPq) through grants 422898/2018-0.
Conflicts of Interest
The authors declare no conflict of interest.
References
- Jank, M.S.; Leme, M.F.P.; Nassar, A.M.; Filho, P.F. Concentration and internationalization of Brazilian agribusiness exporters. Int. Food Agribus. Manag. Rev. 1999, 2, 359–374. [Google Scholar] [CrossRef]
- Wanke, P.; Barros, C.P.; Figueiredo, O. Measuring efficiency improvement in Brazilian trucking: A Distance Friction Minimization approach with fixed factors. Measurement 2014, 54, 166–177. [Google Scholar] [CrossRef]
- Marchetti, D.; Wanke, P. Brazil’s rail freight transport: Efficiency analysis using two-stage DEA and cluster-driven public policies. Socioecon. Plann. Sci. 2016, 59. [Google Scholar] [CrossRef]
- Thompson, L.S.; Kohon, J.C. Developments in rail organization in the Americas, 1990 to present and future directions. J. Rail Transp. Plan. Manag. 2012, 2, 51–62. [Google Scholar] [CrossRef]
- Soliani, R.D.; Vivaldini, M.; Neto, S. A Merger Between Logistics Companies in the Context of the Brazilian Agribusiness: Rumo (Cosan) and All (Latin America Logistics). Eng. Manag. Res. 2015, 5, 1. [Google Scholar] [CrossRef][Green Version]
- Farrell, J.; Pautler, P.A.; Vita, M.G. Economics at the FTC: Retrospective merger analysis with a focus on hospitals. Rev. Ind. Organ. 2009, 35, 369–385. [Google Scholar] [CrossRef]
- Avkiran, N.K. The evidence on efficiency gains: The role of mergers and the benefits to the public. J. Bank. Financ. 1999, 23, 991–1013. [Google Scholar] [CrossRef]
- Garden, K.A.; Ralston, D.E. The x-efficiency and allocative efficiency effects of credit union mergers. J. Int. Financ. Mark. Inst. Money 1999, 9, 285–301. [Google Scholar] [CrossRef]
- de Castro, K.P.; Salgado E Silva, L.H.; Marinho, A. Analysis of the Merger between Azul & Trip under the Optics of the Efficiency Gains. Rev. Econ. Contemp. 2019, 23. [Google Scholar] [CrossRef]
- Slade, M.E. Vertical Mergers: A Survey of Ex Post Evidence and Ex Ante Evaluation Methods; Available online: https://pdfs.semanticscholar.org/36ff/7b9756cfffb576b6391f1a3675682fedb92b.pdf (accessed on 8 June 2020).
- Salop, S.C.; Culley, D.P. Vertical Merger Enforcement Actions: 1994–2015: Appendix to Revising the Vertical Merger Guidelines: Policy Issues and an Interim Guide for Practitioners. SSRN Electron. J. 2015. [Google Scholar] [CrossRef]
- Lafontaine, F.; Slade, M.E. Transaction Cost Economics and Vertical Market Restrictions—Evidence. Antitrust Bull. 2010, 55, 587–611. [Google Scholar] [CrossRef]
- Lafontaine, F.; Slade, M.E. Vertical Integration and Firm Boundaries: The Evidence. J. Econ. Lit. 2007, 45, 629–685. [Google Scholar] [CrossRef]
- Hombert, J.; Pouyet, J.; Schutz, N. Anticompetitive Vertical Merger Waves. J. Ind. Econ. 2019, 67, 484–514. [Google Scholar] [CrossRef]
- ECONÔMICA CADE-CONSELHO ADMINISTRATIVO DE DEFESA. Decisão Técnica no 257; CADE: Brasília, Brazil, 2012.
- Baumol, W.; Panzar, J.; Willig, R. Contestable Markets and the Theory of Industry Structure; Harcourt Brace Jovanovich Inc.: New York, NY, USA, 1982. [Google Scholar]
- Betarelli, A.A.; Domingues, E.P.; Hewings, G.J.D. Transport policy, rail freight sector and market structure: The economic effects in Brazil. Transp. Res. Part A Policy Pract. 2020, 135, 1–23. [Google Scholar] [CrossRef]
- Ivaldi, M.; McCullough, G.J. Subadditivity Tests for Network Separation with an Application to U.S. Railroads. SSRN Electron. J. 2004. [Google Scholar] [CrossRef]
- Bitzan, J.D. Railroad Costs and Competition: The Implications of Introducing Competition to Railroad Networks. J. Transp. Econ. Policy 2003, 37, 201–225. [Google Scholar]
- Marchetti, D.; Wanke, P.F. Efficiency in rail transport: Evaluation of the main drivers through meta-analysis with resampling. Transp. Res. Part A Policy Pract. 2019, 120, 83–100. [Google Scholar] [CrossRef]
- Mazzanati, G.V. Eficiência Em Aeroportos Internacionais: Avaliação E Caracterização De Benchmarks; Mestrado Universidade Estadual de Campinas Faculdade de Ciências Aplicadas–Limeira: São Paulo, Brazil, 2018. [Google Scholar]
- Dalmau-Atarrodona, E.; Puig-Junoy, J. Market Structure and Hospital Efficiency: Evaluating Potential Effects of Deregulation in a National Health Service. Rev. Ind. Organ. 1998, 13, 447–466. [Google Scholar] [CrossRef]
- Li, Y. A Firm-Level Panel-Data Approach to Efficiency, Total Factor Productivity, Catch-up and Innovation and Mobile Telecommunications Reform (1995–2007); ESRC Centre for Competition Policy Working Paper 09-6; ESRC: Norwich, UK, 2009. [Google Scholar]
- Dolinayova, A.; Danis, J.; Cerna, L. Regional Railways Transport-Effectiveness of Regional Rail Line. In Sustainable Rail Transport: Proceedings of RailNewcastle 2017; Fraszczyk, A., Marinov, M., Eds.; Springer: Berlin/Heidelberg, Germany, 2019. [Google Scholar]
- Potti, P.; Marinov, M.; Sweeney, E. A Simulation Study on the Potential of Moving Urban Freight by a Cross-City Railway Line. Sustainable 2019, 11, 6088. [Google Scholar] [CrossRef]
- Waters, W.G. Evolution of Railroad Economics. Res. Transp. Econ. 2007, 20, 11–67. [Google Scholar] [CrossRef]
- Azambuja, A.M.V. Análise de. Nálise de Eficiência na Gestão do Transporte Urbano por Ônibus em Municípios Brasileiros; UFSC: Florianópolis, Brazil, 2002. [Google Scholar]
- Woroniuk, C.; Marinov, M.; Zunder, T.; Mortimer, P. Time series analysis of rail freight services by the private sector in Europe. Transp. Policy 2013, 25, 81–93. [Google Scholar] [CrossRef][Green Version]
- Rentizelas, A.; Melo, I.C.; Alves Junior, P.N.; Campoli, J.S.; Aparecida do Nascimento Rebelatto, D. Multi-criteria efficiency assessment of international biomass supply chain pathways using Data Envelopment Analysis. J. Clean. Prod. 2019, 237. [Google Scholar] [CrossRef]
- Suárez-Alemán, A.; Serebrisky, T.; Perelman, S. Benchmarking economic infrastructure efficiency: How does the Latin America and Caribbean region compare? Util. Policy 2019, 58, 1–15. [Google Scholar] [CrossRef]
- Wanke, P.F. Capacity shortfall and efficiency determinants in Brazilian airports: Evidence from bootstrapped DEA estimates. Socioecon. Plann. Sci. 2012, 46, 216–229. [Google Scholar] [CrossRef]
- Hay, W.W. An Introduction to Transportation Engineering; John Wiley & Sons, Inc.: Hoboken, NJ, USA, 1978. [Google Scholar]
- Kutz, M. Handbook of Transportation Engineering Volume I Volume II, 2nd ed.; McGraw-Hill Education: New York, NY, USA, 2011. [Google Scholar]
- de Rosa, R.A. Operação Ferroviária-Planejamento, Dimensionamento e Acompanhamento, 1st ed.; LTC: Brazil, 2017; ISBN 9788521625087. [Google Scholar]
- Marinov, M.; Viegas, J. A simulation modelling methodology for evaluating flat-shunted yard operations. Simul. Model. Pract. Theory 2009, 17, 1106–1129. [Google Scholar] [CrossRef]
- Marinov, M.; Viegas, J. Analysis and evaluation of double-ended flat-shunted yard performance employing two yard crews. J. Transp. Eng. 2011, 137, 319–326. [Google Scholar] [CrossRef]
- Marinov, M.; Viegas, J. A mesoscopic simulation modelling methodology for analyzing and evaluating freight train operations in a rail network. Simul. Model. Pract. Theory 2011, 19, 516–539. [Google Scholar] [CrossRef]
- Marinova, M.V.; Viegas, J.M. Tactical management of rail freight transportation services: Evaluation of yard performance. Transp. Plan. Technol. 2011, 34, 363–387. [Google Scholar] [CrossRef]
- Marinov, M.; Di Giovanni, L.; Bellisai, G.; Clevermann, J.; Mastellou, A.; Victόria, D.; Deleva, L. Analysis of rail yard and terminal performances. J. Transp. Lit. 2014, 8, 178–200. [Google Scholar] [CrossRef][Green Version]
- Sabu, B.; Marinov, M. An Obstacle Detection System for Freight Yards; IF Ingegneria Ferroviaria: Rome, Italy, 2018. [Google Scholar]
- Noori, S.; Ghannadpour, S.F. Locomotive assignment problem with train precedence using genetic algorithm. J. Ind. Eng. Int. 2012, 8, 1. [Google Scholar] [CrossRef]
- ADB. Railway Rolling Stock Operations Improvement Project. Available online: https://www.adb.org/sites/default/files/project-documents/50312/50312-003-tar-en.pdf (accessed on 8 June 2020).
- Eilenberg, J.; Crane, T. Locomotive asset management: Integration of GPS, mobile telemetry, and GIS technologies. Trans. Built Environ. 1996, 18. [Google Scholar] [CrossRef]
- T.J., C.; Estache, A.; Perelman, S.; Trujillo, L. A Primer on Efficiency Measurement for Utilities and Transport Regulators; World Bank: Washington, DC, USA, 2003. [Google Scholar]
- Da Silva, F.G.F. Estudo da Produção de Ferrovias Tipo Heavy Haul Brasileiras a Luz da Teoria Econômica. In Proceedings of the 32o Congresso de Ensino e Pesquisa em, Gramado, Brazil, 4–7 November 2018. [Google Scholar]
- Da Silva, F.G.F.; Martins, F.G.D.; Rocha, C.H.; Araújo, C.E.F. Um estudo exploratório da eficiência produtiva de concessionárias de transporte ferroviário de carga no brasil. In Proceedings of the XXIV ANPET-Congresso de Pesquisa e Ensino em Transportes, Salvador, Bahia, Brazil, 2010. [Google Scholar]
- Dodgson, J.S. A survey of recent developments in the Measurements of Rail Total Factor Productivity. Int. Railw. Econ. 1985, 13–48. [Google Scholar]
- Gathon, H.-J.; Perelman, S. Measuring technical efficiency in European railways: A panel data approach. J. Product. Anal. 1992, 3, 135–151. [Google Scholar] [CrossRef]
- Coelli, T.; Perelman, S. A comparison of parametric and non-parametric distance functions: With application to European railways. Eur. J. Oper. Res. 1999, 117, 326–339. [Google Scholar] [CrossRef]
- Pozdena, R.J.; Merewitz, L. Estimating cost functions for rail rapid transit properties. Transp. Res. 1978, 12, 73–78. [Google Scholar] [CrossRef]
- Obeng, K.; Assar, N.; Benjamin, J. Total factor productivity in transit systems: 1983–1988. Transp. Res. Part A Policy Pract. 1992, 26, 447–455. [Google Scholar] [CrossRef]
- Novaes, A.G. Avaliação da produtividade de serviços de transportes através da análise por envelopamento de dados. In Proceedings of the Anais do X Congresso de Pesquisa e Ensino em Transportes, Brasília, Brazil, 1996. [Google Scholar]
- Motta, M.; Salgado, L.H. Política de Concorrência: Teoria e Prática e Sua Aplicação no Brasil; Elsevier: Amsterdam, The Netherlands, 2015. [Google Scholar]
- José-Luis, R.-S.; Eva-María, M.-V.; Marta, O.-U.-C. Human resource management in merger and acquisition planning. J. Organ. Chang. Manag. 2019, 33, 16–28. [Google Scholar]
- Eckbo, B. Horizontal mergers, collusion, and stockholder wealth. J. Financ. Econ. 1983, 11, 241–273. [Google Scholar] [CrossRef]
- ANTT. Statistics Annual; ANTT: Brasília, Brazil, 2018. [Google Scholar]
- Samuelson, P.A.; Nordhaus, W.D. Economia; McGraw-Hill Education: Lisboa, Portugal, 1993. [Google Scholar]
- Sánchez, J.J.V. Malmquist Index with Time Series to Data Envelopment Analysis. In Multi-Criteria Methods and Techniques Applied to Supply Chain Management; Salomon, V.A.P., Ed.; IntechOpen: Rijeka, Croatia, 2018. [Google Scholar]
- Zivot, E.; Andrews, D.W.K. Further Evidence on the Great Crash, the Oil-Price Shock, and the Unit-Root Hypothesis. J. Bus. Econ. Stat. 1992, 10, 251–270. [Google Scholar]
- Perron, P.; Vogelsang, T. Nonstationarity and Level Shifts With an Application to Purchasing Power Parity. J. Bus. Econ. Stat. 1992, 10, 301–320. [Google Scholar]
- Perron, P. Further evidence on breaking trend functions in macroeconomic variables. J. Econom. 1997, 80, 355–385. [Google Scholar] [CrossRef]
- Clemente, J.; Montanes, A.; Reyes, M. Testing for a unit root in variables with a double change in the mean. Econ. Lett. 1998, 59, 175–182. [Google Scholar] [CrossRef]
- Shrestha, M.B.; Chowdhury, K. A sequential procedure for testing unit roots in the presence of strictiral break in time series data: An application to quarterly data of nepal, 1970–2003. Int. J. Appl. Econom. Quant. Stud. 2005, 2, 1–16. [Google Scholar]
- Baum, C.F. Stata: The Language of Choice for Time-Series Analysis? Stata J. 2005, 5, 46–63. [Google Scholar] [CrossRef]
- Enders, W. Applied Econometric Time Series; John Wiley & Sons: Hoboken, NJ, USA, 2014. [Google Scholar]
- Andrews, D.W. Tests for Parameter Instability and Structural Change with Unknown Change Point. Econometrica 1993, 61, 821–856. [Google Scholar] [CrossRef]
- Andrews, D.; Ploberger, W. Optimal Tests When a Nuisance Parameter is Present Only under the Alternative. Econometrica 1994, 62, 1383–1414. [Google Scholar] [CrossRef]
- Bai, J.; Perron, P. Computation and analysis of multiple structural change models. J. Appl. Econom. 2003, 18, 1–22. [Google Scholar] [CrossRef]
- Lucchetti, R.; Schreiber, S. StrucBreak Package for Gretl Preliminary Version 0.21; Available online: http://ricardo.ecn.wfu.edu/gretl/cgi-bin/current_fnfiles/unzipped/StrucBreak.pdf (accessed on 8 June 2020).
© 2020 by the authors. Licensee MDPI, Basel, Switzerland. This article is an open access article distributed under the terms and conditions of the Creative Commons Attribution (CC BY) license (http://creativecommons.org/licenses/by/4.0/).








