Abstract
This study examines how governance mechanisms affect the quality of integrated reporting (IR), which is fast emerging both as a tool to help firms understand their value creation process and to communicate effectively with external stakeholders. This study first developed an index to assess the quality of integrated reports. Subsequently, 132 integrated reports of Sri Lankan public listed companies selected over a three-year period were content analysed. The hypotheses formulated on the relationship between corporate governance and the quality of IR based on the agency theory were analysed using multivariate linear regression and panel regression. The results show that there is limited support from the corporate governance system for providing quality information to stakeholders on the value creation process through IR, except for board size and the availability of a separate risk management committee. This is the result of the heavy emphasis of corporate governance requirements and the resulting mechanisms of Sri Lankan companies on mandatory corporate reporting requirements compared to a voluntary reporting model such as IR. Since many corporate governance aspects are meant to fulfill mandatory reporting requirements, the results imply that the directors have given limited attention to providing quality information through voluntary disclosure practices such as IR, although they use resources to prepare integrated reports.
1. Introduction
Among the various mandatory and voluntary modes of corporate reporting, “integrated reporting [(IR)] has fast emerged as a new accounting practice to help firms understand how they create value and be able to effectively communicate this to external stakeholders” [1] (p. 53). IR involves reporting both financial and non-financial, and environmental, social and governance information in a single document [2]. Being much more than combining financial reporting and sustainability reporting together, IR captures the interconnections between the financial and non-financial drivers of a firm’s performance based on a wide concept of integration [3]. Thus, IR, which promotes integrated thinking in organizations and strong collaboration among functions to improve the firm’s value creation in the short, medium and long term, has developed into an enhanced model of corporate reporting.
Although there is increasing adoption of IR, there are questions about IR quality (IRQ) [4,5,6]. Though several studies have attempted to define IRQ [3,7,8,9], a widely accepted definition is yet to emerge. As IRQ generally refers to the capacity of IR to present the strategic elements that describe the performance and value creation of a firm [10], a much broader perspective should be adopted for evaluating the quality of how companies think, operate, monitor and report their performance in a connected way [11]. Hence, corporate governance structures and the practices that denote the manner in which corporate entities are directed and controlled [12] play a vital role in developing connectivity among different factors that contribute to value creation as expected in IR [13]. Corporate governance structure facilitate the adoption of a holistic view on strategy making, which results in the integration of different facets of value creation in an organization. Similarly, it provides the oversight required for the value generation process and involves discharging the accountability of a firm depicting the connectivity of its value drivers. Hence, it is evident that firms that include IR in their annual reports deliver more transparent financial and non-financial information about an organization [14,15]. Therefore, an effective corporate governance structure would lead to greater value creation in organizations, while providing a basis for IR to provide quality information.
Although many empirical studies have examined how different corporate governance aspects affect the quality of various financial and non-financial corporate reporting modes such as financial reporting [16,17], corporate social responsibility (CSR) reporting [18,19,20], intellectual capital disclosure [21,22], environmental reporting [23,24] and sustainability reporting [25,26], the impact of corporate governance on IRQ can be different to these various forms of mandatory and voluntary modes of reporting, as explained in the preceding paragraph, all of which are yet to be explored [27].
The impact of corporate governance on the quality of information provided by IR can be considered in several ways. On the one hand, stakeholders expect corporate transparency and quality information for decision making, which is facilitated by corporate governance practices by molding the corporate reporting process in this direction [28]. This is particularly important for IR as it is more principle based, and how it is undertaken fall within the discretion of corporate management, compared to financial reporting, which is driven by regulations and sustainability reporting, which determine closely the structure and contents with guidelines (now standards) such as Global Reporting Initiative. Hence, due to the absence of a specific structure and disclosures in IR compared to financial reporting and sustainability reporting, providing quality information to the stakeholders has become a challenge [29], and thereby how corporate governance impacts on IR has become an important concern. Unlike other forms of voluntary disclosures, IR is not focused on specific corporate behaviors such as climate change, corporate social responsibility or intellectual capital management. Rather it affects the whole company, its strategy, performance and connected stakeholders through various forms of capital in creating value over the long term [30]. Therefore, it is important to understand how the governance practices of an organization support the reporting of an organization’s ability to create value as they are expected to play a vital role in developing integration among different factors that contribute to value creation [13]. Hence, the support of corporate governance mechanisms is required for IR to provide a holistic picture of an organization’s performance [31].
On the other hand, the origin of IR can be traced to corporate governance on account of greater demands on corporate leadership to focus on the sustainability, strategy, performance and risks resulting from the increased incidence of environmental disasters, financial crises and corporate scandals [32]. This makes companies focus on how the organization’s governance structure supports its ability to create value in the short, medium and long term [30,31]. Hence, the International Integrated Reporting Framework of the International Integrated Reporting Council requires that the directors and senior management charged with the governance of an organization accept responsibility for creating an appropriate oversight structure to support the ability of the organization to create value and provide quality information on value creation through IR [30]. Although the importance of corporate governance mechanisms on IRQ is clear, their relationship has not been empirically investigated in prior studies. Therefore, this study examines the impact of corporate governance on IRQ in an emerging South Asian economy: Sri Lanka.
Sri Lanka was selected for several reasons. First, Sri Lanka is a country that has recently exhibited a rapid adoption of IR in the corporate sector [6]. Its strong accounting profession and values and beliefs systems have provided a congenial environment for integrated thinking, leading to a high level of IR [33,34]. Second, alongside these developments, in recent years, the country has given great emphasis to corporate governance and has taken many initiatives in this respect. After introducing the first Code of Best Practice in 1997 in line with the UK Cadbury Code of 1992, there have been continuous improvements in the country’s corporate governance systems in line with international developments, and this is now a mandatory requirement of the listing rules of the country’s stock market [35]. Third, the revised versions of the Code in 2013 and 2017 have also emphasized the provision of environmental, social and governance information. For instance, as per Principle A.1.2 of the Code of Best Practices on Corporate Governance [36] issued by the Institute of Chartered Accountants of Sri Lanka, a board should be responsible for considering the need for adopting IR. Hence, Sri Lanka provides the necessary impetus to study the impact of corporate governance on IRQ.
This study offers several theoretical contributions. First, it contributes to addressing the gap that currently exists as to what is meant by IRQ. Despite the large number of studies that examine IR, there is still a lack of consensus on understanding IRQ. Based on the different meanings given to quality in IR and other forms of financial and non-financial literature, this study provides a comprehensive analysis of IRQ. Second, having defined IRQ, this study then develops a comprehensive framework to assess IRQ. This is important, as several scholars have pointed to many issues in IRQ assessment [3,37]. Third, this study extends the discussion on the impact of corporate governance mechanisms on voluntary corporate reporting by incorporating IR. This offers new insights since IR, as a new reporting model, captures the connectivity of strategy, governance, performance and prospectus of organizations and provides a holistic view of the value creation process of an organization, in contrast to other forms of voluntary reporting such as sustainability reporting and corporate social responsibility reporting, where the emphasis is on a specific dimension such as sustainability
The rest of the paper is organized as follows: Section 2 provides the literature review of the study; Section 3 describes the theoretical framework and hypothesis development; Section 4 presents the methodology and measurement; Section 5 presents the results; and Section 6 and Section 7 present the discussion and conclusions, respectively.
2. Literature Review
2.1. Corporate Governance and Reporting Quality
From a traditional perspective, a system of corporate governance deals with the ways in which providers of capital to a firm assure themselves of a return on their investment [38]. It was therefore originally developed to protect shareholder interests due to the separation of ownership and control in modern day organizations [39]. In discharging corporate governance in an organization, the board of directors plays an important and broad role, particularly in monitoring top management [40].
While the traditional definitions of corporate governance focused more on shareholders, a recent view of it considers the other stakeholders of corporations. In the light of recent developments in corporate accountability, there is a substantial broadening of the notion of corporate governance, “which starts to cover some aspects traditionally seen as being part of corporate social responsibility” [41] (p. 16). A notable development in this direction is the Cadbury Report, which shifts the attention of corporate governance more to an external context [41]. Accordingly, corporate governance is now widely accepted as “the system by which companies are directed and controlled” [12] (p. 7). It can be viewed as the internal means by which corporations are operated and controlled [42]. In a broader sense, corporate governance holds the balance between economic and social goals as well as between individual and communal goals [12]. Highlighting the importance of corporate governance in corporate accountability, the Organisation for Economic Co-operation and Development [42] (p. 40) suggests that “together with guiding corporate strategy, the board is chiefly responsible for monitoring managerial performance and achieving an adequate return for shareholders while preventing conflicts of interest and balancing competing demands on the corporation. Accordingly, some of the corporate governance mechanisms that were chiefly aimed at protecting shareholder interests can be effective in extending managerial accountability to a wider set of stakeholders [43].
Many empirical studies have examined the relationship between different corporate governance aspects and the quality of corporate reporting in terms of financial reporting [16,17], corporate social responsibility reporting [18,19,20], intellectual capital disclosures [21,22], environmental reporting [23,24] and sustainability reporting [25,26] (see Table 1). In most of these studies, an index has been frequently used to assess the reporting quality based on the qualitative characteristics [18,20] or guidelines and standard such as the Global Reporting Initiative [25,26].
Table 1.
Studies on the relationship between corporate governance and reporting quality.
The above studies have portrayed different results concerning the corporate governance variables and various forms of reporting quality. For instance, Sharif and Rashid [20] have revealed that independent non-executive directors have a positive impact on the CSR reporting, while Rodrigues et al. [22] and Michelon and Parbonetti [26] have reported a negative relationship. Further, while Rao et al. [24] have reported a significant relationship between the board size and environmental reporting, Amran et al. [25] have identified the relationship between board size and sustainability reporting to be insignificant. Both Hidalgo et al. [21] and Rodrigues et al. [22] have found that an increase in board size up to a maximum point was positively associated with intellectual capital and intangibles, but beyond that, the effect becomes inverted. However, the majority of the findings of these studies reflect the role of corporate governance in the discharge of accountability of organizations through the provision of quality information of the various types of stakeholders [18,19,23].
In these studies, the broad concept of corporate governance has been reflected through different practices and characteristics such as board size, board independence and chief executive officer (CEO) duality, which have been specified in the codes of best practice developed on corporate governance as well as the related laws and regulations on governance (see Table 2). However, differences can be observed with regard to these corporate governance characteristics based on country-specific factors [44]. Therefore, the relationships identified through these studies also differ based on the economic, legal and social contexts. Similarly, corporate governance is expected to have a significant role to play in relation to IR and its quality. However, no empirical evidence is available to prove the relationship between corporate governance and IRQ.
Table 2.
A summary of different corporate governance characteristics.
According to Table 2, the board size, independence of board, CEO duality, gender diversity, independence of the audit committee, and presence of a separate risk management committee can be identified as the widely used corporate governance variables. Table 3 provides a more detailed analysis of the relationship between these variables and reporting quality.
Table 3.
Analysis of the frequently cited corporate governance variables on reporting quality.
2.2. Integrated Reporting (IR)
Over the past few decades, the stakeholders’ demand on environmental, social, non-financial, financial and governance information has greatly increased. This information has been critical, as has the financial information. However, the weaknesses in financial reporting, as well as in the sustainability reporting systems, have encouraged a need for a better form of corporate reporting. This has primarily led to the emergence of IR as a new dimension of corporate reporting [73]. IR is an endeavor to make more effective corporate disclosures in order to improve the efficiency in management and investment decision-making [74]. Similarly, the International Integrated Reporting Council [30] states that IR is a more efficient and interconnected method of corporate reporting, which focuses on improving the quality of information available to the financial capital providers.
According to de Villiers and Hsiao [74], IR engages in environmental, social, non-financial and financial and governance information in one report, to enhance the quality of information presented to the financial capital providers, for the purpose of making better decisions. However, IR is much more than merging financial reporting and sustainability reporting. Instead, it captures the interconnections between the financial and non-financial drivers of the performance of a firm [75], based on a broad notion of integration [3]. Hence, IR, which promotes integrated thinking and a strong association among functions to enhance the firm’s value creation in the short, medium and long terms has been recently developed as a major improvement in corporate reporting [76].
The International Integrated Reporting Council defines IR as “a process founded on integrated thinking that results in a periodic integrated report by an organization about value creation over time and related communications regarding the aspects of value creation” [77]. According to this definition, IR is based on concepts and principles that aim to introduce a more efficient and cohesive reporting system and execute “integrated thinking”, which is focused on distracting internal silos and minimizing repetitions. It enhances the quality of information available to financial capital providers to make productive capital allocation decisions. Capital and value creation, which are the main concept of IR, are used by the organizations to create value over time.
An integrated report is the outcome of IR, and the International Integrated Reporting Council [30] defines it as “a concise communication about how an organization’s strategy, governance, performance, and prospects, in the context of its external environment, lead to the creation of value in the short, medium and long term” (p. 7). An integrated report portrays how well an organization engages in this new reporting practice [78]; thus, it can be used to measure the quality of integrated reporting in an organization.
2.3. Integrated Reporting Quality (IRQ)
Quality is a broad concept and the quality of “something” can be measured comparatively. This adds up to a high level of subjectivity in the measurement of quality [79], as “quality is concerned with fitness for purpose and stakeholders with differing purposes are unlikely to be always of one mind regarding the working out of the concept in practice” [80] (p. 527). Accounting literature, being aware of the complexity and subjectivity of the notion of corporate reporting quality, suggests that various dimensions of quality should be considered in order to gain a rich understanding of reporting and disclosure quality [80,81]. The quality of reporting and disclosure has been discussed in terms of the quality of financial reporting, sustainability reporting and corporate social responsibility reporting, where IR has its origins [28,82,83,84,85]. Reporting quality is an important aspect for related parties to guarantee that the financial and other non-financial reports, minimize any asymmetry of information, and improve the decision usefulness [86].
Similar to other forms of corporate reporting disclosures, IRQ has been described in different ways, leading to non-conclusive meanings and interpretations. For instance, aspects such as quantity [37], compliance with the International Integrated Reporting Framework [7,8,9], and the consideration of the qualitative attributes in the work of [83] have been suggested as IRQ. However, these studies have not provided a comprehensive assessment of IRQ, and emerge from anecdotal cases. The different meanings associated with IRQ suggest that there are many issues regarding IRQ. Hence, how IRQ is best defined and assessed is still an unanswered research question [37].
Since IR is a form of reporting monetary and non-monetary information, IRQ should be assessed in relation to some of the indexes developed for the assessment of the quality of financial and non-financial information, such as the indexes of Jonas and Blanchet [85], van Beest et al. [28] and Braam and van Beest [87]. Further, since IR is also posits as a combination of financial reporting and sustainability reporting [7], the qualitative characteristics of IR can be identified based on the qualitative characteristics of financial reporting and sustainability reporting. Pistoni et al. [3] denote IRQ as the capacity of IR to present the strategic elements that describe firm performance and value creation. This can be regarded as the only definition of IRQ available in the current literature. However, it fails to provide a holistic view of IRQ as it does not give any attention to the qualitative characteristics of IR. This is a significant lapse, as qualitative characteristics aim to assess the quality of different dimensions of information simultaneously to determine the decision on the usefulness of information provided through IR [28]. Therefore, in this study, IRQ is defined as the extent to which an integrated report presents the strategic elements that describe the value creation of a firm using the qualitative characteristics of IR. These qualitative characteristics are derived from the qualitative characteristics of financial reporting, sustainability reporting and guiding principles of IR (see the Methodology and Measurement section for more details).
Owing to the subjectivity and context-dependent nature of quality, there is a need to use a comprehensive model to assess the quality of voluntary disclosures, in this case IR, by focusing on multitudinous dimensions such as the range of themes addressed, the measures of disclosure, the time period, and the credibility of disclosure [80]. In this study, we therefore develop a comprehensive IRQ index by integrating the qualitative characteristics presented under the International Accounting Standard Board’s conceptual framework [88] for financial reporting and the principles for defining report quality presented in the GRI 101 Foundation Standard [89] and guiding principles of the International Integrated Reporting Framework [30] (see the Methods section for more details).
Despite the absence of a common understanding of IRQ and a mechanism to measure it, there are concerns about the adoption of IR and the quality of the information furnished in the integrated reports. A study conducted by International Integrated Reporting Council [90] revealed that, despite the great passion for IR, some companies have not fully implemented the International Integrated Reporting Framework, thus creating gaps in the information supplied. Similarly, in Sri Lanka, despite its rapid adoption, many early adopters of IR have prepared integrated reports merely to join the bandwagon without internalizing the principles of IR [6]. Further, Gunarathne and Senaratne [6] highlight the danger of IR becoming a compliance-based reporting mechanism rather than leading to integrated thinking. In South Africa, there is also a widening gap between those companies who have attempted to prepare a high-quality integrated report by following the International Integrated Reporting Council guidelines and those who have simply labeled their annual reports as integrated reports [91]. This latter group of companies fail to effectively communicate their value creation story due to the poor quality of the disclosed information. Thus, there is increasing evidence that, despite the expected benefits to a range of stakeholders, the adopters of IR have not implemented the International Integrated Reporting Framework in full, leading to poor-quality integrated reports [3]. Since the integrated report is the end outcome of the IR process [30], its quality is of paramount importance to achieving the expected outcomes of IR. As IR is embedded in integrated thinking across organizations, an integrated report must be of high quality for the stakeholders to see value in it [4]. Further, IRQ can be a reflection of the quality of the economic, environmental, social and governance practices of an organization, which, in turn, is indicative of the overall quality of the management of a firm over the long-term [92]. As this study makes use of the agency theory in order to theorize the relationship between corporate governance and IRQ, the next section provides an overview of the agency theory.
2.4. Agency Theory
Agency theory emphasizes that a principal–agent relationship should reflect the efficient organization of information and risk-bearing costs [93]. According to the authors of [94], agency theory literature is split into two wings. The first one is “positivist agency theory”, which focuses on identifying situations in which principals and agents are likely to have contradictory goals, and then describes governance mechanisms that confine the agents’ self-serving behavior [93]. As per Berle and Means [95], this camp of agency theory concentrates specifically on the principal–agent relationship between owners and managers in public corporations. On the other hand, the second wing, “principal–agent research”, emphasizes a general principal–agent relationship that can be applied to different parties, such as employer–employee, lawyer–client, and buyer–supplier [96].
Based on the positivist camp, Berle and Means [95] denote that the agency relationship between the shareholders and the managers, arising from the separation of ownership and control, forms the basic premise of the contractual view of the corporate form of organization. Jensen and Meckling [97] define the agency relationship as a contract under which one or more persons (the principal(s)) engage another person (the agent) to perform some service on their behalf which involves delegating some decision-making authority to the agent. According to agency theory, managers control and manipulate information in order to improve the scope of their decision making, which diminishes the shareholders level of control [98]. This leads to agency problems and eventually creates agency costs and the movement of shareholders’ wealth to managers [99]. Therefore, the agency theory suggests that a mechanism must be established to control the behavior of managers and to compel them to act in the best interests of the shareholders [100,101,102]. Hence, corporate governance mechanisms have been introduced to reduce this agency problem by controlling the behaviour of managers via supervision or monitoring of their performance and ensuring their accountability to shareholders.
Agency theory has commonly been used to describe the relationship between different corporate governance characteristics, such as the board size [103,104], the independence of board [47,105], CEO duality [106], gender diversity [101], the independence of the audit committee [65,66], the presence of a separate risk management committee [107] and reporting quality.
The next section presents the development of our hypotheses.
3. Hypotheses Development
The key concept in corporate governance is accountability, which brings in the connection between corporate governance and corporate reporting as it ensures the provision of information about stakeholders and thereby reduces the information asymmetry resulting from the agency problem of a company. Accordingly, corporate governance and voluntary disclosures can be considered the main driving forces that reduce the costs arising from hiding and manipulating information resulting from the agency problem [108,109]. Thus, a firm with high corporate governance mechanisms is expected to increase the quality of voluntary disclosure in order to minimize agency conflicts [110]. The findings of the studies mentioned in Section 2.1 suggest that promoting stronger governance inspires firms to be more transparent in their reporting [110], which emphasizes the quality of information being disclosed to the stakeholders.
In line with Jizi et al. [43], who opine that corporate governance structures impact on the provision and quality of voluntary disclosure practices such as corporate social responsibility reporting, we argue that these governance mechanisms will affect IRQ. As IR is the outcome of an integrated thinking process, IRQ is a reflection of an organization’s attempt to resolve agency conflicts. Hence, corporate governance mechanisms play a crucial role in enhancing IRQ in order to reduce agency costs. In order to show the relationship between corporate governance and the quality of IR, the hypotheses for this study were developed using the frequently used corporate governance variables (i.e., of board size, the independence of the board, CEO duality, gender diversity, the independence of the audit committee and the presence of a risk management committee) based on the agency theory. The remainder of this section provides the development of these hypotheses of the study.
Board size can be treated as an effective monitoring tool of corporate governance [111], and Samaha et al. [112] argue that companies with large director boards tend to disclose more information. Further, the size of the board signifies managerial ability and minimizes the information asymmetry between managers and stakeholders [103]. In addition, when the number of directors is high, their collective effort with different expertise will improve the quality and quantity of disclosures [45]. More specifically, there is a significant positive relationship between board size and corporate disclosure quality [43,46,47]. Hence, the first hypothesis can be constructed as follows:
Hypothesis 1 (H1).
There is a significant positive relationship between board size and IRQ.
Another important corporate governance mechanism that can affect IRQ is the independence of the board. The agency theory perspective suggests that independent directors pay greater attention to the interests of shareholders and minimize the domination of executive directors in decision making [47]. This invariably leads to the provision of quality information to stakeholders. Lim et al. [106] argue that director boards with many independent directors voluntarily disclose more forward-looking quantitative and strategic information. Many studies have shown a significant positive association between the independence of board of directors and the quality of corporate disclosures [51,52]. Therefore, we hypothesise that:
Hypothesis 2 (H2).
There is a significant positive relationship between the independence of the board and IRQ.
CEO duality, a situation where the same person serves as CEO and as chairman of the company’s board, is an undesirable corporate governance situation that hinders the provision of quality information to stakeholders. A CEO who acts as the chairman has strong power in the decision-making process of a company. He may not consider the well-being of stakeholders, and consequently the level of corporate disclosure can be compromised [54]. This calls for the separation of the CEO’s role from that of the chairman. The arguments about CEO duality in the provision of quality voluntary disclosures are inconclusive, and many studies find a significant negative relationship between CEO duality and IRQ [53,56]. Thus, based on the dominant arguments, we propose the following hypothesis:
Hypothesis 3 (H3).
There is a significant negative relationship between CEO duality and IRQ.
Gender diversity, another aspect of corporate governance, is often argued to have a positive impact on the quality of voluntary disclosures. It is argued that women play an important role in fostering the goodwill of the company by paying more attention to social issues [47]. A high proportion of women directors therefore tend to produce a higher degree of quality voluntary reporting [51]. Further, a significant positive relationship has been found between the quality of environmental disclosures and the proportion of female directors on a board [24]. Hence, we propose our fourth hypothesis as follows:
Hypothesis 4 (H4).
There is a significant positive relationship between gender diversity and IRQ.
The audit committee plays an active role in improving corporate disclosures. Its role is to evaluate the organizational processes of producing financial data and internal controls leading to high quality financial reporting [18]. Abbott et al. [64] argue that independent audit committee members may demand a greater level of assurance and also help the auditor’s demands for more testing. Further, Forker [65] argues that the presence of an audit committee with a higher proportion of independent directors reduces the agency cost and improves the internal controls, thus paving the way to high quality disclosures. Hence, the fifth hypothesis is as follows:
Hypothesis 5 (H5).
There is a significant positive relationship between the percentages of independent non-executive directors on the audit committee and IRQ.
An audit committee might not have the required expertise to cope with the new risks associated with a volatile business environment [68]. Thus, the importance of establishing a separate risk management committee is emphasized in providing financial and non-financial disclosures. Tao and Hutchinson [69] considered the establishment of a separate risk management committee a mechanism to improve the quality of risk-related information disclosure. Moreover, Al-Hadi et al. [68] found a positive association between a stand-alone risk management committee and market risk disclosure quality. Therefore, based on this evidence the sixth hypothesis is as follows:
Hypothesis 6 (H6).
There is a significant positive relationship between the presence of a separate risk management committee and IRQ.
4. Methodology and Measurement
As Healy and Palepu [113] have pointed out, and later Helfaya and Whittington [80] and Helfaya et al. [114] have emphasized, the most challenging obstacle in disclosure studies such as IR or sustainability reporting is the difficulty of measuring the extent of corporate disclosure. Due to the absence of a comprehensive framework to measure IRQ, a multidimensional index was developed in this study by paying attention to various quality models relevant to IR. Since IR is posited as a combination of financial reporting and sustainability reporting [7,73], the qualitative characteristics of IR were identified based on the qualitative characteristics of both financial reporting and sustainability reporting. Hence, the qualitative characteristics presented under the International Accounting Standard Board’s conceptual framework for financial reporting [88] and the principles for defining report quality and content presented in the GRI 101 Foundation Standard [89] were compared with the guiding principles issued by the International Integrated Reporting Council [30] in deciding the qualitative characteristics of IR.
As mentioned above, firstly, the qualitative characteristics prescribed by the International Accounting Standard Board, the Global Reporting Initiative, and the guiding principles of IR as per the International Integrated Reporting Framework were read and compared. Subsequently, the qualitative characteristics with similar meanings were identified. After identifying the similarities and linkages, it was decided to prepare a single list of the qualitative characteristics of IR. Finally, five common qualitative characteristics relevant to IR, which reflect both financial and sustainability aspects, were identified (see Figure 1). The five qualitative characteristics of IR include: relevance (covering the concepts of materiality, predictive value and confirmatory value), faithful representation (which includes neutrality/balance, accuracy/free-from-error, completeness, reliability and verifiability), understandability (which represents clarity and conciseness), comparability (which links with the concept of consistency), and timeliness.
Figure 1.
Qualitative characteristics of integrated reporting (IR).
To ensure the validity of the IRQ index, expert opinions were taken from two IR specialists in Sri Lanka, one from industry and the other from academia. Further, this IRQ index was developed after a rigorous literature review, and the format, the nature of questions, and the scale of the IRQ index were decided based on the extant literature. Accordingly, an index consisting of 30 measurement items related to the qualitative characteristics of IR: relevance (8 items), faithful representation (6 items), understandability (7 items), comparability (8 items), and timeliness (1 item) was developed (see Appendix A). All items of the index were measured on a five-point scale (from 0 to 4). The total score of the index was calculated by adding the sub-scores of each qualitative characteristic.
The multiple trained raters method was used to avoid subjectivity and improve the accuracy of assessing IRQ while ensuring inter-rater reliability [115]. Thus, a pilot content analysis was carried out by one of the researchers and a research assistant using ten integrated reports for three years. The scores of the pilot study were further assessed by another researcher in the research team. After ironing out the discrepancies in the assessments, finally the total of 132 annual reports were independently assessed by a researcher and research assistant. The two scores were tested for inter-rater reliability using Krippendorff’s alpha. The results showed high inter-rater reliability, as the Krippendorff’s alpha was 0.83 (α > 0.70) [116]. This shows that the quality scores were reliable, and the coders agreed on the quality estimations made.
Table 4 elaborates on the operationalization of the variables considered in this study.
Table 4.
Measurement of the variables.
To assess the relationship between the selected corporate governance characteristics and IRQ, a Pearson correlation and a panel regression were run by controlling fixed or random effects. We selected panel regression over pooled Ordinary Least Squares (OLS), as it can be used to analyze samples of the same cross-sectional units observed at multiple points in time [119], whereas pooled OLS is more suitable when different cross-sectional units are available with time-series data [120]. Since our sample consisted of data on the same companies for three consecutive years, the panel regression method was more appropriate than the pooled OLS.
The following regression equation was used in the analysis (the definitions of variables are presented in Table 4):
The population for this study consisted of all the companies listed on the Colombo Stock Exchange. However, the initial analysis of the annual reports of these companies revealed that there were 79 companies that published integrated reports as of 30 June 2018. Since we wanted to assess the impact of corporate governance mechanisms on IRQ over a period longer than in a single year, further analysis revealed that only 44 companies had published integrated reports over a period of three successive years from 2014 to 2017. Accordingly, 132 annual reports, which belonged to different sectors were analyzed in this study. The sectors included: Banking and finance [n] = 18 Insurance [n] = 5; Plantation, food and beverage [n] = 5; Engineering, power and energy [n] = 3; Diversified holdings [n] = 5; Manufacturing, footwear, textiles and motors [n] = 3; and Services [n] = 5.
The findings and discussion are presented in the following section.
5. Results
5.1. Descriptive Statistics
The descriptive statistics results for industry-wise IRQ score, overall IRQ score and other variables are presented in this section.
5.1.1. Industry-Wise IRQ Score
Table 5 presents the descriptive statistics of IRQ, based on the industry classification of the Colombo Stock Exchange. The mean and median values in all sectors were somewhat different from each other, indicating slightly skewed distributions. The IRQ scores of the Manufacturing, footwear, textiles and motors; Banking and finance; Insurance; and the Engineering, power, and energy sectors had relatively greater spread than the other industries. The Engineering, power, and energy sector reported the minimum value, while the Manufacturing, footwear, textiles and motors sector reported the maximum IRQ value.
Table 5.
Industry-wise IRQ score.
5.1.2. Overall Descriptive Statistics
As per Table 6, the mean values and median values of overall IRQ did not show a significant difference indicating an absence of major outliers. Company size and profitability also did not show a major difference in mean and median values, as they were treated for outliers by taking the naturallogarithm of total assets and winsorizing the annual profit, respectively.
Table 6.
Overall descriptive statistics.
5.2. Correlation Analysis
Table 7 reports the results of the Pearson correlation analysis, which identified the association between selected corporate governance characteristics and IRQ. Accordingly, board size and a separate risk management committee showed a significant positive relationship (p < 0.01) with the IRQ score. However, none of the other variables indicated a significant relationship with IRQ at any of the significant levels (p > 0.01, p > 0.05). CEO duality and IRQ showed an unexpected insignificant positive association.
Table 7.
Correlation analysis.
5.3. Panel Regression Analysis
Since this study covers data over a period of three years, we performed a panel regression analysis controlling the year effect. The Hausman test was run to identify the appropriate panel regression model [121], and it recommended the random effect model to run the panel regression as the Prob > is 0.8860 (Prob > > 0.05), which is not significant.
According to Table 8, the panel regression results indicated that board size (p < 0.05) and a separate risk management committee (p < 0.01) have a significant association with IRQ. The other variables do not have significant associations with IRQ. The independence of the board and profitability showed an unexpected negative relationship, while CEO duality indicated a positive association with IRQ.
Table 8.
Panel regression analysis.
The panel regression analysis showed that board size and the presence of a separate risk management committee have a significant positive relationship with IRQ. However, the other variables did not show a significant relationship with IRQ. Thus, H2, H3, H4, H5 are rejected. The research findings are discussed in the next section.
6. Discussion
The overall IRQ score of the Sri Lankan companies indicated a moderate level of disclosure (70.273 out of 120 points), which was slightly higher than the average level of IRQ score in line with the findings of Rivera-Arrubla et al. [122], which revealed that the disclosure levels of the integrated reports published by the International Integrated Reporting Council’s pilot program members reach a medium level of disclosure. This pilot program was conducted in 2011, and one of the Sri Lankan companies assessed in this study participated [6]. Although there has been considerable interest in following new developments in accounting, such as IR, within the corporate sector in Sri Lanka, particularly due to the active propagation of supply-side actors such as professional accounting bodies and business schools [6,33,123], the resulting level of IR disclosure indicated that IRQ has been improved only incrementally over time. Hence, this supports the opinion that many late adopters of IR in Sri Lanka have joined the bandwagon without internalizing the principles of IR to produce better quality reports [6].
According to the industry-wise descriptive analysis, non- financial sector companies have better reporting quality than the companies in the Banking and finance and Insurance sectors. Even though a higher number of banking and financial sector companies adopt IR in Sri Lanka [6], the quality of the information provided is not as high as the other sectors. According to the Association of Chartered Certified Accountants (ACCA) [124], in highly regulated industries, such as banking, finance and insurance, disclosures are generally compliance-driven, and any requests going beyond required disclosures may be seen as secondary. Thus, these companies may have a limited concern with the quality aspect of their reported information. For example, the ACCA [124] have emphasized that companies in highly regulated industries are struggling to strike a balance between reliability and completeness. Therefore, it is suggestive of the fact that the majority of the companies in the Banking and finance, and Insurance sectors prepare integrated reports as a legitimizing or ceremonial practice [78] in the Sri Lankan context.
Hypothesis testing in the study shows that most of the corporate governance aspects do not support the provision of quality information to stakeholders on the value creation process through IR, except for board size (H1) and the availability of a separate risk management committee [H6]. (Table 9 presents a summary of hypotheses testing results).
Table 9.
Summary of hypothesis testing.
The results reveal a significant positive relationship between board size and IRQ. Specifically, a higher number of board members could provide more expertise and knowledge to the firm and may be able to monitor the systems and processes that underpin integrated thinking, which could ultimately lead to disclosures of better quality [See Note 1]. This is in accordance with the findings of de Villiers et al. [125], which suggest that firms with larger boards are more likely to possess the diversity and proficiency required to boost environmental performance. However, the results contradict the argument of Said et al. [18] that the larger boards might decrease the quality of financial disclosures as they may not act efficiently owing to the lack of communication and coordination. Further, studies have also shown that when the number of board members increases, after a tipping point, the impact of board size has an adverse effect on voluntary disclosure due to the limited capacity for supervision, discussion, and control in the decision-making process [21,22]. These inefficiencies will result in high agency costs [104]. Although the study finds a positive relationship between board size and IRQ as in other studies, the existence of contradictory and cautionary findings implies that a firm has to strike a balance when increasing the number of directors to prevent shortcomings such as lack of communication, control, and coordination.
The findings also indicate a significant positive relationship between the presence of a separate risk management committee and IRQ. This implies that the presence of a separate risk management committee significantly improves IRQ. Kakanda et al. [107] highlight that the existence of a separate risk management committee reduces the monitoring cost and therefore mitigates the agency cost and information asymmetry. As emphasized by Al-Hadi et al. [68], a separate risk management committee is essential in today’s business context as the audit committee might not have the required expertise to cope with the new risks that have evolved in the volatile business environment. In the context of Sri Lanka, it is a mandatory requirement to establish separate risk management committees for companies in some industries. For instance, all licensed and specialized banks and other finance companies should establish separate risk management committees as per the directions of the Central Bank of Sri Lanka [126]. This result is not a surprise as 52.27% of the sample consists of companies in the Banking and finance, and Insurance sectors. According to the content analysis results, these companies earned a comparatively higher score for risk-related questions in the IRQ index. Thus, having a separate risk committee helps to closely oversee the current and potential risks and improve the quality of risk disclosure in IR [127,128].
However, the findings indicate that the presence of independent non-executive directors on the board does not materially affect IRQ (i.e., H2 is rejected). This may be due to the ineffective role played by the independent non-executive directors in the Sri Lankan context [129,130]. Further, CEO duality was found to be insignificantly yet positively associated with IRQ (i.e., H3 is rejected). This implies that when CEO and chairman positions are held by the same person, the company has more power and ability to accomplish its objectives and strategies because there is no intervention from one position holder or incongruity between the two positions [18,60]. The results indicate an insignificant positive relationship between gender diversity, as measured by the presence of women on the board, and IRQ (i.e., H4 is rejected). This result is not surprising given the negligible proportion of women representation, which stands at 10% on average. The freedom of this minority group to raise their voice may have been hindered in a patriarchal society, for in societies like Sri Lanka men dominate the board [25]. We therefore assert that there is a non-significant relationship for women directors on IRQ, simply because their representation in corporate boards is minimal as a proportion, which is a result of the patriarchal nature of societies. Moreover, there is no statistically significant relationship between the independence of the audit committee and IRQ (i.e., H5 is rejected). Although audit committees in the sample had an adequate number of independent directors (i.e., 84%), they may not have been actively involved in regularly scheduled meetings to determine the different integrated reporting aspects, due to a lack of real independence, sitting on many different boards, limited time, or insufficient business knowledge [66,131]. Further, this also suggests that appointing independent directors as audit committee members is only a mechanism to fulfil the requirements of corporate governance regulations [66]. Moreover, this may indicate that IR has not yet been mandated for audit committees who are still focused on financial reporting and compliance with accounting standards. This result once again questions the importance and effectiveness of the role of independent non-executive directors, discussed under board independence.
Further, these insignificant results related to the independence of the board, CEO duality, gender diversity and independence of the audit committee do not support claims made in agency theory. This will increase the agency cost by not preventing reporting manipulations and deteriorate the reporting quality of an organization [66,105] while narrowing the ability to understand complexities in the environment [101].
7. Conclusions
This study has investigated the impact of corporate governance characteristics on IRQ. The results indicate that the overall IRQ in Sri Lanka is moderate and has improved incrementally over time. Further, there is limited support from the corporate governance system, except for the board size and the availability of a separate risk management committee, to provide quality information to stakeholders regarding the value creation process. This is because the focus of corporate governance is mainly on financial reporting, which is a mandatory requirement, and not on the broader concept of corporate reporting. This implies that the corporate governance structure has not evolved sufficiently in Sri Lankan organizations to focus on broader stakeholder needs and connectivity and interrelationships between capitals, which denote the different forms of value generated by organizations. Thus, the results imply that the corporate governance structure of Sri Lankan companies has not expanded enough for directors to focus adequately on providing quality information through voluntary disclosure practices such as IR. This leads to an interesting finding in the area of IR in Sri Lanka: although the boards have dedicated corporate resources to preparing an integrated report, they have not given sufficient attention to the quality of the information provided. A possible reason can be the influence of the active propagation of IR in Sri Lanka that has created a bandwagon impact that companies wish to join, but which has not translated to integrated thinking and practices. Another interesting question that emerges concerns who is driving the IR in companies if the board is not interested or not giving the due support? While this calls for further research, it also highlights the need for a change in corporate governance mechanisms to focus on an expanded coverage of reporting to capture information beyond financial statements and to maintain the quality of such non-financial disclosures.
Although this study leads to some important findings, they should be considered with caution due to some of the limitations of the study. Firstly, in this study, only six corporate governance aspects important to the study context were selected. Therefore, future studies can consider other corporate governance aspects to fully grasp their impact on voluntary reporting practices such as IR. Secondly, the study sample consisted of both financial and non-financial sectors, which have several structural differences in corporate governance and reporting practices. Thus, future researchers can replicate this study in more structurally compatible sectors, such as the financial sector or the non-financial sector. Thirdly, in addition to sectorial combination, the size of the sample was low due to the small stock market of Sri Lanka. This fact could potentially impact mostly on the insignificant results of this study. Hence, future studies using a larger sample could produce different results. Fourthly, this study considered only a three-year time period in the data analysis. Future studies can extend the sample to a longer period of time to improve the solidity of the results. Fifthly, this study considered Sri Lanka, a country that has displayed unique characteristics in voluntary reporting practices (see the work of [33,34,132]). Future studies can also analyze the same relationship in other jurisdictions where IR or sustainability reporting is mandatory and/or voluntary in order to validate the findings. Subsequently, our analysis of reporting quality is based on the self-reported products (i.e., integrated reports), in which there is a possible danger of greenwashing. Hence, there are suggestions to use new models, such as Paid, Earned, Shared and Owned media (PESO), rather than simply relying on annual reports to have a more holistic view of IRQ in an organization. PESO is a marketing model which is an effective approach to categorize media contents, as Paid, Earned, Shared and Owned media strategies. This model was introduced to converge different practices in marketing communications in order to identify the best marketing communication strategy for an organization [133]. As PESO offers a broader approach in analyzing a company’s communication’s in four different media types, and analysis of PESO media could be a reliable method to avoid greenwashing.
Even though we have developed our IRQ index, based on prior literature and experts’ advice, we believe that there is a potential for future studies to test and further improve the IRQ index. The current level of IRQ despite the increasing trend in producing integrated reports in Sri Lanka is also a manifestation of the high emphasis of corporate governance mechanisms on financial reporting, which is a statutory requirement. Hence, future research could also investigate what factors lead to low IRQ, how the International Integrated Reporting Council and other propagators of IR can further enhance IRQ, and what internal company mechanisms should be in place to provide quality financial and non-financial information to stakeholders.
Despite these limitations, the study makes several theoretical and practical implications. Since the findings provide contradictory evidence on the agency theory perspective, carefully handling these corporate governance characteristics is essential in order to strike a balance between principle agent relationships to avoid future agency costs. It has several practical implications for regulators and policy-makers, professional accounting bodies, and accounting educators. First, for regulators and policy-makers, this study highlights the need for developing appropriate regulatory measures such as statutory provisions, stock market regulations and sector-specific listing requirements (e.g., in the banking industry) that would make the board of directors responsible for the provision of information to a broader spectrum of stakeholders through mechanisms such as IR. This could encapsulate the changes to the mandatory provisions on the responsibilities of the board of directors, audit committee and risk committee. Second, for academic educators and professional accounting bodies, this study points to the urgent need to make curriculum revisions to reflect the changes in the business context and resulting demands on the accounting profession. Previous studies have demonstrated that the Sri Lankan accounting education system has taken progressive steps to incorporate new developments in accounting such as IR and sustainability reporting in the curricula of academic accounting degree programs and professional accounting bodies [33,34,134]. Although these steps would have led to the creation of awareness of IR, they have not necessarily translated into the adoption of integrated thinking and holistic reporting systems to provide quality information through IR as shown in this study. Accounting educators (i.e., both universities that offer accounting degrees and professional accounting bodies) should therefore now move to the second step of incorporating IR into the accounting curricula by expanding their focus from what is IR to how to adopt IR. As active propagators of IR and sustainability reporting in Sri Lanka [33], professional accounting bodies should also continuously provide guidance for corporate managers to improve the quality of their integrated reports through seminars, continuous professional development activities and workshops.
8. Notes
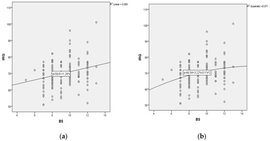
As some studies show, the impact of board size might be non-linear—because, after reaching a particular tipping point, the larger the board gets, the more ineffective it becomes [21,22]—we tested for linearity. We used linear and quadric curve fitting methods in two scatterplot diagrams on the board size and the level of IRQ (see Figure 2). Both diagrams indicated a linear relationship between board size and level of IRQ.
Figure 2.
Relationship between board size and the level of IRQ. (a) Linear curve fitting method; (b) Quadric curve fitting method.
Author Contributions
Writing–original draft, T.C., A.D.N.G. and S.S. All authors have read and agreed to the published version of the manuscript.
Funding
This research was funded by University of Sri Jayewardenepura, Sri Lanka.
Conflicts of Interest
The authors declare no conflict of interest.
Appendix A
Table A1.
IRQ Index.
Table A1.
IRQ Index.
| Qualitative Characteristics | Items | Operationalization | Literature |
|---|---|---|---|
| 1. Relevance | The extent of information included on: | ||
| 1. Relevant material issues. The determination of material issues based on the four steps of materiality determinant process. | 0 = No disclosure. 1 = Only relevant material issues identified. 2 = Relevant material issues with magnitude-likelihood diagram presented. 3 = If first, second and third steps presented. 4 = If all four steps presented. | [30,135,136] | |
| 2. Organization’s overview and external environment. Should include: mission and vision/goals and objectives; culture, ethics and values; ownership and operating structure; principal activities and markets; competitive landscape and market positioning; position within the value chain; and key quantitative information highlighting significant changes from prior periods. | 0 = No disclosure. 1 = Less than three items. 2 = Three to five items. 3 = Six to seven items. 4 = All seven items explained with reference to the relevant IR guiding principles and value creation process. | [30] | |
| 3. Various market events and significant transactions affect the company. | 0 = No feedback. 1 = Only various market evets. 2 = Events, transactions and impact on qualitative or quantitative terms. 3 = Events, transactions and impact both in qualitative and quantitate terms. 4 = Events, transactions and impact both in qualitative and quantitate terms with reference to the relevant IR guiding principles and value creation process. | [28,30,135,137] | |
| 4. Economic/financial, social and environmental performance of the company (in terms of Key Performance Indicators [KPIs]). | 0 = No analysis. 1 = Only financial information. 2 = Financial + social or environmental information. 3 = Financial + social and environmental information. 4 = Financial + social and environmental information with reference to relevant IR guiding principles and value creation process. | [30,137,138] | |
| 5. Relevant capitals. | 0 = No disclosure. 1 = Identified but not relevant to the organization. 2 = Relevant capitals merely identified. 3 = Relevant capitals identified and described but not referred to relevant IR guiding principles and value creation process. 4 = Relevant capitals identified and described with reference to relevant IR guiding principles and value creation process. | [30,139] | |
| 6. Divisional performances. | Same as 1.4. | [30,87,138,139,140] | |
| 7. Outlook of the company. Should include:
| 0 = No disclosure. 1 = Only (a). 2 = Both (a) and (b). 3 = All three. 4 = All three disclosed with reference to relevant IR guiding principles and value creation process. | [30,87] | |
| 8. Risk profile of the company. Specific risks and opportunities that affect the organization’s ability to create value, and how is the organization dealing with them. | 0 = No insights into risk profile. 1 = Only the relevant risks and opportunities identified. 2 = Relevant risks and opportunities identified with sources of risk. 3 = Relevant risks, their sources identified, and a risk assessment provided. 4 = Relevant risks, their sources are identified, a risk assessment, and risk management plan provided. | [30,87,141] | |
| 2. Faithful representation | The extent of valid arguments provided on: | ||
| 1. Assumptions and estimates. For financial/economic or social and environmental information. | 0 = No valid arguments; 1 = Poor argument; 2 = Average argument; 3 = Good argument; 4 = Excellent argument. | [30,85,87,142] | |
| 2. Choice for certain accounting, environmental and social policies. | Same as above. | [85,87,142] | |
| 3. Corporate governance and its impact on value creation. Should include: 1. Leadership structure; 2. Processes used to make strategic decisions and establish and monitor the culture; 3. Particular actions taken to influence and monitor the strategic direction; 4. How the organization’s culture, ethics and values are reflected in its use of and effects on the capitals; 5. Implementation of governance practices that exceed legal requirements; 6. The responsibility for promoting and enabling innovation; 7. How remuneration and incentives are linked to value creation. | 0 = No disclosure. 1 = Only one item. 2 = Two to four items. 3 = Five to six items. 4 = All seven items with reference to the relevant IR guiding principles and value creation process. | [30,85] | |
| 4. Positive and negative events. Financial/ economic, social and environmental information. | 0 = Negative events only. 1 = Emphasis on positive events. 2 = Emphasis on positive events, but negative events mentioned. 3 = Balance positive/negative events. 4 = Impact of these events to the value creation process. | [16,87,143] | |
| 5. Type of the auditors’ report for financial information. | 0 = No opinion given; 1 = Adverse opinion; 2 = Disclaimer of opinion; 3 = Qualified opinion; 4 = Unqualified opinion. | [142,144,145] | |
| 6. Type of assurance for social and environmental information. | Same as above. | [87,89] | |
| 3. Understandability | The extent of the description provided on, | ||
| 1. Business model. Should include: 1. Explicit identification of the key elements; 2. A simple diagram highlighting key elements with an explanation; 3. Logical narrative flow; 4. Identification of critical stakeholder and other dependencies affecting the external environment; 5. Connection to information covered by other content elements. | 0 = No description. 1 = Only identified the key elements. 2 = First three items. 3 = First four items. 4 = All items. | [30,146] | |
| 2. Strategy and resource allocation. Should include: 1. Short-, medium- and long-term strategic objectives; 2. The strategies to achieve those strategic objectives; 3. The resource allocation plans; 4. Measure of achievements and target outcomes. | 0 = No description; 1 = Two or less than two items; 2 = Three items; 3 = All items; 4 = All items and linkages with capitals, other content elements provided. | [30,87,137] | |
| 3. Basis of preparation and presentation of integrated report. Should include: 1. Materiality determination process; 2. Reporting boundary and determination; 3. Frameworks/methods used to decide material matters. | 0 = No description. 1 = Only one of the matters with inadequate information. 2 = Two matters with incomplete information. 3 = All matters described, but gaps exist. 4 = All matters included with complete information. | [30,147] | |
| 4. The extent to which the graphs and/or tables clarify the presented information. | 0 = No graphs and/or tables; 1 = 1–10 graphs and/or tables; 2 = 11–20 graphs and/or tables; 3 = 21–30 graphs or/tables; 4 ≥ 30 graphs and/or tables. | [87,137] | |
| 5. Extent of the technical jargons provided. | 0 = Very extensive; 1 = Extensive; 2 = Moderate; 3 = Limited; 4 = No/hardly. | [30,85,137] | |
| 6. Size of the glossary. | 0 = No glossary; 1 = Less than 1 page; 2 = Approximately 1 page; 3 = 1–2 pages; 4 ≥ 2 pages. | [85,137] | |
| 7. Number of pages in the report. | 0 = More than 200; 1 = From 151 to 200; 2 = From 101 to 150; 3 = From 51 to 100; 4 = Up to 50. | [3] | |
| 4. Comparability | The extent of information included about, | ||
| 1. Changes in accounting and non-accounting policies. | Same as 1.4. | [30,85,89] | |
| 2. Changes in accounting and non-accounting estimates. | Same as above for estimates. | [30,85,89,148] | |
| 3. Comparison and effects of accounting and non-accounting policy changes. | 0 = No comparison; 1 = Actual adjustments (1 year); 2 = 2 years; 3 = 3 years; 4 = 4 or more years. | [30,85,89,149] | |
| 4. Financial/economic index numbers and ratios. | 0 = No comparison; 1 = Only with previous year; 2 = With 5 years; 3 = 5 years + description of implications; 4 = 10 years + description of implications. | [85,150] | |
| 5. Social and environmental indices and ratios. | Same as above. | [87,89] | |
| 6. Competitors and/or industry. | 0 = No ratios; 1 = 1–5 ratios; 2 = 6–10 ratios; 3 = 11–15 ratios; 4 ≥ 15 ratios. | [87,151] | |
| 7. Comparison of the financial/ economic results with previous reporting periods. | Same as above. | [85,149,150] | |
| 8. Comparison of the social and environmental performance results with previous reporting periods. | Same as 1.4. | [87,89] | |
| 5. Timeliness | 1. Number of months taken to publish the integrated report. | 0 = 5 or more; 1 = 4; 2 = 3; 3 = 2; 4 = 1. | [145,152] |
References
- Perego, P.; Kennedy, S.; Whiteman, G. A lot of icing but little cake? Taking integrated reporting forward. J. Clean. Prod. 2016, 136, 3–64. [Google Scholar] [CrossRef]
- De Villiers, C.; Venter, E.R.; Hsiao, P.C.K. Integrated reporting: Background, measurement issues, approaches and an agenda for future research. Account. Financ. 2017, 57, 937–959. [Google Scholar] [CrossRef]
- Pistoni, A.; Songini, L.; Bavagnoli, F. Integrated reporting quality: An empirical analysis. Corp. Soc. Responsib. Environ. Manag. 2018, 24, 489–507. [Google Scholar] [CrossRef]
- ACCA. Insights into Integrated Reporting, Challenges and Best Practice Responses. 2017. Available online: www.accaglobal.com (accessed on 16 July 2018).
- Eccles, R.G.; Krzus, M.P. The Integrated Reporting Movement: Meaning, Momentum, Motives, and Materiality; John Wiley and Sons: Hoboken, NJ, USA, 2014. [Google Scholar]
- Gunarathne, N.; Senaratne, S. Diffusion of integrated reporting in an emerging South Asian (SAARC) nation. Manag. Audit. J. 2017, 32, 524–548. [Google Scholar] [CrossRef]
- Stent, W.; Dowler, T. Early assessments of the gap between integrated reporting and current corporate reporting. Meditari Account. Res. 2015, 23, 92–117. [Google Scholar] [CrossRef]
- Lee, K.W.; Yeo, G.H.H. The association between integrated reporting and firm valuation. Rev. Quant. Financ. Account. 2016, 47, 1221–1250. [Google Scholar] [CrossRef]
- Zhou, S.; Simnett, R.U.; Green, W. Does integrated reporting matter to the capital market. Abacus 2017, 53, 94–132. [Google Scholar] [CrossRef]
- Garegnani, G.M.; Merlotti, E.P.; Russo, A.A. Scoring firms’ codes of ethics: An explorative study of quality drivers. J. Bus. Ethics 2015, 126, 541–557. [Google Scholar] [CrossRef]
- PwC. Value Creation: The Journey Continues: A Survey of JSE Top-40 Companies’ Integrated Reports. 2014. Available online: http://www.pwc.co.za/en_ZA/za/assets/pdf/integratedreporting-survey-2014.pdf (accessed on 17 June 2019).
- Cadbury, S.A. The corporate governance agenda. Corp. Gov. Int. Rev. 2000, 18, 7–15. [Google Scholar] [CrossRef]
- Adams, C.A. The Sustainable Development Goals, Integrated Thinking and the Integrated Report. 2017. Available online: www.iirc.org (accessed on 16 July 2018).
- Pavlopoulos, A.; Magnis, C.; Iatridis, G.E. Integrated reporting: Is it the last piece of the accounting disclosure puzzle. J. Multinatl. Financ. Manag. 2017, 41, 23–46. [Google Scholar] [CrossRef]
- Htay, S.N.N.; Salman, S.A.; Meera, A.K.M. Let’s Move to” Universal Corporate Governance Theory. J. Internet Bank. Commer. 2013, 18, 1–11. [Google Scholar]
- Cohen, J.R.; Krishnamoorthy, G.; Wright, A. The corporate governance mosaic and financial reporting quality. J. Account. Lit. 2004, 23, 87–152. [Google Scholar]
- Klai, N.; Omri, A. Corporate governance and financial reporting quality: The case of Tunisian firms. Int. Bus. Res. 2011, 4, 158–166. [Google Scholar] [CrossRef]
- Said, R.; Zainuddin, Y.H.; Haron, H. The relationship between corporate social responsibility disclosure and corporate governance characteristics in Malaysian public listed companies. Soc. Responsib. J. 2009, 5, 212–226. [Google Scholar] [CrossRef]
- Chalaki, P.; Didar, H.; Riahnezhad, M. Corporate Governance Attributes and Financial Reporting Quality: Empirical Evidence from Iran. Int. J. Bus. Soc. Sci. 2012, 3, 223–229. [Google Scholar]
- Sharif, M.; Rashid, K. Corporate governance and corporate social responsibility (CSR) reporting: An empirical evidence from commercial banks (CB) of Pakistan. Qual. Quant. 2014, 48, 2501–2521. [Google Scholar] [CrossRef]
- Hidalgo, R.L.; García-Meca, E.; Martínez, I. Corporate governance and intellectual capital disclosure. J. Bus. Ethics 2011, 100, 483–495. [Google Scholar] [CrossRef]
- Rodrigues, L.L.; Tejedo-Romero, F.; Craig, R. Corporate governance and intellectual capital reporting in a period of financial crisis: Evidence from Portugal. Int. J. Discl. Gov. 2017, 14, 1–29. [Google Scholar] [CrossRef]
- Iatridis, G.E. Environmental disclosure quality: Evidence on environmental performance, corporate governance and value relevance. Emerg. Mark. Rev. 2013, 14, 55–75. [Google Scholar] [CrossRef]
- Kathy Rao, K.; Tilt, C.A.; Lester, L.H. Corporate governance and environmental reporting: An Australian study. Corp. Gov. Int. J. Bus. Soc. 2012, 12, 143–163. [Google Scholar] [CrossRef]
- Amran, A.; Lee, S.P.; Devi, S.S. The influence of governance structure and strategic corporate social responsibility toward sustainability reporting quality. Bus. Strategy Environ. 2014, 23, 217–235. [Google Scholar] [CrossRef]
- Michelon, G.; Parbonetti, A. The effect of corporate governance on sustainability disclosure. J. Manag. Gov. 2012, 16, 477–509. [Google Scholar] [CrossRef]
- Dilling, P.F.; Caykoylu, S. Determinants of Companies that Disclose High-Quality Integrated Reports. Sustainability 2019, 11, 3744. [Google Scholar] [CrossRef]
- Van Beest, F.; Braam, G.; Boelens, S. Quality of Financial Reporting: Measuring Qualitative Characteristics; Nijmegen Center for Economics (NiCE): Nijmegen, The Netherlands, 2009; pp. 9–108. [Google Scholar]
- Santis, S.; Bianchi, M.; Incollingo, A.; Bisogno, M. Disclosure of Intellectual Capital Components in Integrated Reporting: An Empirical Analysis. Sustainability 2019, 11, 62. [Google Scholar] [CrossRef]
- International Integrared Reporting Council. The International <IR> Framework. 2013. Available online: http://integratedreporting.org/wp-content/uploads/2013/12/13-12-08-THE-INTERNATIONAL-IR-FRAMEWORK-2-1.pdf (accessed on 18 June 2018).
- ACCA. Tenets of Good Corporate Reporting. 2018. Available online: www.accaglobal.com (accessed on 16 July 2018).
- Roxana-Ioana, B.; Petru, S. Integrated Reporting for a Good Corporate Governance. ‘Ovidius’ University Annals. Econ. Sci. Ser. 2017, 17, 424–428. [Google Scholar]
- Gunarathne, N.; Senaratne, S. Country readiness in adopting Integrated Reporting: A Diamond Theory approach from an Asian Pacific economy. In Sustainability Accounting in the Asia Pacific Region; Lee, K., Schaltegger, S., Eds.; Springer: Cham, Switzerland, 2018; pp. 39–66. [Google Scholar]
- World Bank. Report on the Observance of Standards and Codes; Accounting and Auditing- Sri Lanka: Washington, DC, USA, 2015. [Google Scholar]
- Senaratne, S.; Gunaratne, P.S.M. Corporate Governance Development in Sri Lanka: Prospects and Problems. In Proceedings of the International Research Conference on Management and Finance, Faculty of Management and Finance, University of Colombo, Colombo, Sri Lanka, 11 December 2008. [Google Scholar]
- Institute of Chartered Accountants of Sri Lanka. Code of Best Practices on Corporate Governance. 2017. Available online: https://www.casrilanka.com/casl/images/stories/2017/2017_pdfs/code_of_best_practice_on_corporate_governance_2017_final_for_web.pdf (accessed on 20 June 2018).
- Melloni, G.; Caglio, A.; Perego, P. Saying more with less? Disclosure conciseness and completeness in Integrated Reports. J. Account. Public Policy 2017, 36, 220–238. [Google Scholar] [CrossRef]
- Shleifer, A.; Vishny, R.W. A survey of corporate governance. J. Financ. 1997, 52, 737–783. [Google Scholar] [CrossRef]
- John, K.; Senbet, L.W. Corporate governance and board effectiveness. J. Bank. Financ. 1998, 22, 371–403. [Google Scholar] [CrossRef]
- Weisbach, M.S. Outside directors and CEO turnover. J. Financ. Econ. 1988, 20, 431–460. [Google Scholar] [CrossRef]
- Kolk, A.; Pinkse, J. The integration of corporate governance in corporate social responsibility disclosures. Corp. Soc. Responsib. Environ. Manag. 2010, 17, 15–26. [Google Scholar] [CrossRef]
- Organisation for Economic Co-Operation and Development (OECD). OECD Principles of Corporate Governance; OECD: Paris, France, 1999. [Google Scholar]
- Jizi, M.I.; Salama, A.; Dixon, R.; Stratling, R. Corporate governance and corporate social responsibility disclosure: Evidence from the US banking sector. J. Bus. Ethics 2014, 125, 601–615. [Google Scholar] [CrossRef]
- Naveed, F.; Khurshid, M.K.; Shakeel, M. Factors affecting the corporate governance disclosure: An analysis of manufacturing firms of Pakistan. Eur. J. Bus. Manag. 2015, 7, 12–20. [Google Scholar]
- Akhtaruddin, M.; Hossain, M.A.; Hossain, M.; Yao, L. Corporate governance and voluntary disclosure in corporate annual reports of Malaysian listed firms. J. Appl. Manag. Account. Res. 2009, 7, 1–19. [Google Scholar]
- Mahmood, Z.; Kouser, R.; Ali, W.; Ahmad, Z.; Salman, T. Does corporate governance affect sustainability disclosure? A mixed methods study. Sustainability 2018, 10, 207. [Google Scholar] [CrossRef]
- Majumder, M.T.H.; Akter, A.; Li, X. Corporate governance and corporate social disclosures: A meta-analytical review. Int. J. Account. Inf. Manag. 2017, 25, 434–458. [Google Scholar] [CrossRef]
- Hurghis, R. Integrated reporting and Board features. Audit Financ. 2017, 15, 83–92. [Google Scholar] [CrossRef]
- Kiliç, M.; Kuzey, C.; Uyar, A. The impact of ownership and board structure on corporate social responsibility (CSR) reporting in the Turkish banking industry. Corp. Gov. Int. J. Bus. Soc. 2015, 15, 357–374. [Google Scholar] [CrossRef]
- Uyar, A.; Kilic, M.; Nizamettin, B. Association between firm characteristics and corporate voluntary disclosure: Evidence from Turkish listed companies. Intang. Cap. 2014, 9, 1080–1112. [Google Scholar] [CrossRef]
- Ibrahim, A.H.; Hanefah, M.M. Board diversity and corporate social responsibility in Jordan. J. Financ. Report. Account. 2016, 14, 279–298. [Google Scholar] [CrossRef]
- Javaid Lone, E.; Ali, A.; Khan, I. Corporate governance and corporate social responsibility disclosure: Evidence from Pakistan. Corp. Gov. Int. J. Bus. Soc. 2016, 16, 785–797. [Google Scholar] [CrossRef]
- Sundarasen, S.D.D.; Je-Yen, T.; Rajangam, N. Board composition and corporate social responsibility in an emerging market. Corp. Gov. Int. J. Bus. Soc. 2016, 16, 35–53. [Google Scholar] [CrossRef]
- Haniffa, R.M.; Cooke, T.E. Culture, corporate governance and disclosure in Malaysian corporations. Abacus 2002, 38, 317–349. [Google Scholar] [CrossRef]
- Ong, C.H.; Wan, T.W.D. Board Structure, Board Process and Board Performance: A Review & Research Agenda. J. Comp. Int. Manag. 2001, 1–25. [Google Scholar]
- Ling, T.C.; Sultana, N. Corporate social responsibility: What motivates management to disclose. Soc. Responsib. J. 2015, 11, 513–534. [Google Scholar] [CrossRef]
- Pavlopoulos, A.; Magnis, C.; Iatridis, G.E. Integrated reporting: An accounting disclosure tool for high quality financial reporting. Res. Int. Bus. Financ. 2019, 49, 13–40. [Google Scholar] [CrossRef]
- Hu, M.; Loh, L. Board governance and sustainability disclosure: A cross-sectional study of Singapore-listed companies. Sustainability 2018, 10, 2578. [Google Scholar] [CrossRef]
- Majeed, S.; Aziz, T.; Saleem, S. The effect of corporate governance elements on corporate social responsibility (CSR) disclosure: An empirical evidence from listed companies at KSE Pakistan. Int. J. Financ. Stud. 2015, 3, 530–556. [Google Scholar] [CrossRef]
- Giannarakis, G. Corporate governance and financial characteristic effects on the extent of corporate social responsibility disclosure. Soc. Responsib. J. 2014, 10, 569–590. [Google Scholar] [CrossRef]
- Dyduch, J.; Krasodomska, J. Determinants of corporate social responsibility disclosure: An empirical study of Polish listed companies. Sustainability 2017, 9, 1934. [Google Scholar] [CrossRef]
- McMullen, D.A. Audit committee performance: An investigation of the consequences associated with audit committees. Audit. A J. Pract. Theory 1996, 15, 87–103. [Google Scholar]
- Ho, S.S.; Wong, K.S. A study of corporate disclosure practice and effectiveness in Hong Kong. J. Int. Financ. Manag. Account. 2001, 12, 75–102. [Google Scholar] [CrossRef]
- Abbott, L.J.; Parker, S.; Peters, G.F.; Raghunandan, K. The association between audit committee characteristics and audit fees. Audit. A J. Pract. Theory 2003, 22, 17–32. [Google Scholar] [CrossRef]
- Forker, J.J. Corporate governance and disclosure quality. Account. Bus. Res. 1992, 22, 111–124. [Google Scholar] [CrossRef]
- Chariri, A.; Januarti, I. Audit Committee Characteristics and Integrated Reporting: Empirical Study of Companies Listed on the Johannesburg Stock Exchange. Eur. Res. Stud. 2017, 20, 305–318. [Google Scholar] [CrossRef]
- McMullen, D.A.; Raghunandan, K. Enhancing audit committee effectiveness. J. Account. 1996, 182, 79–81. [Google Scholar]
- Al-Hadi, A.; Hasan, M.M.; Habib, A. Risk committee, firm life cycle, and market risk disclosures. Corp. Gov. Int. Rev. 2016, 24, 145–170. [Google Scholar] [CrossRef]
- Tao, N.B.; Hutchinson, M. Corporate governance and risk management: The role of risk management and compensation committees. J. Contemp. Account. Econ. 2013, 9, 83–99. [Google Scholar] [CrossRef]
- Subramaniam, N.; McManus, L.; Zhang, J. Corporate governance, firm characteristics and risk management committee formation in Australian companies. Manag. Audit. J. 2009, 24, 316–339. [Google Scholar] [CrossRef]
- Byard, D.; Li, Y.; Weintrop, J. Corporate governance and the quality of financial analysts’ information. J. Account. Public Policy 2006, 25, 609–625. [Google Scholar] [CrossRef]
- Majiyebo, O.J.; Okpanachi, J.; Nyor, T.; Yahaya, O.A.; Mohammed, A. Audit committee independence, size and financial reporting quality of listed Deposit Money Banks in Nigeria. IOSR J. Bus. Manag. 2018, 20, 40–47. [Google Scholar]
- Rowbottom, N.; Locke, J. The emergence of <IR>. Account. Bus. Res. 2016, 46, 83–115. [Google Scholar]
- De Villiers, C.; Hsiao, P.C.K. Integrated Reporting. In Sustainability Accounting and Integrated Reporting; de Villiers, C., Maroun, W., Eds.; Routledge: Abingdon, WA, USA, 2018; pp. 13–24. [Google Scholar]
- Bernardi, C.; Stark, A.W. Environmental, social and governance disclosure, integrated reporting, and the accuracy of analyst forecasts. Br. Account. Rev. 2018, 50, 16–31. [Google Scholar] [CrossRef]
- Humphrey, C.; O’Dwyer, B.; Unerman, J. The Rise of Integrated Reporting: Understanding Attempts to Institutionalize a New Reporting Framework 2014, Seminar at University of Bergamo. Available online: https://pdfs.semanticscholar.org/67d4/e5f37c575006092baeb57b1c349373f99964.pdf (accessed on 14 May 2020).
- Integrated Reporting <IR>. Available online: https://integratedreporting.org/ (accessed on 12 May 2020).
- Ahmed Haji, A.; Anifowose, M. The trend of integrated reporting practice in South Africa: Ceremonial or substantive. Sustain. Account. Manag. Policy J. 2016, 7, 190–224. [Google Scholar] [CrossRef]
- Smith, P. Tools for measuring quality improvement. Manag. Educ. 1996, 10, 21–23. [Google Scholar] [CrossRef]
- Helfaya, A.; Whittington, M. Does designing environmental sustainability disclosure quality measures make a difference? Bus. Strategy Environ. 2019, 28, 525–541. [Google Scholar] [CrossRef]
- Lee, K.H. Does size matter? Evaluating corporate environmental disclosure in the Australian mining and metal industry: A combined approach of quantity and quality measurement. Bus. Strategy Environ. 2017, 26, 209–223. [Google Scholar] [CrossRef]
- Clarkson, P.M.; Li, Y.; Richardson, G.D.; Vasvari, F.P. Revisiting the relation between environmental performance and environmental disclosure: An empirical analysis. Account. Organ. Soc. 2008, 33, 303–327. [Google Scholar] [CrossRef]
- Diouf, D.; Boiral, O. The quality of sustainability reports and impression management: A stakeholder perspective. Account. Audit. Account. J. 2017, 30, 643–667. [Google Scholar] [CrossRef]
- Hughes, S.B.; Anderson, A.; Golden, S. Corporate environmental disclosures: Are they useful in determining environmental performance. J. Account. Public Policy 2001, 20, 217–240. [Google Scholar] [CrossRef]
- Jonas, G.J.; Blanchet, J. Assessing quality of financial reporting. Account. Horiz. 2000, 14, 353–363. [Google Scholar] [CrossRef]
- Asmar, M.; Abu Alia, M.; Ali, F.H. The Impact of Corporate Governance Mechanisms on Disclosure Quality: Evidence from Companies Listed in The Palestine Exchange. Int. J. Econ. Manag. 2018, 4, 401–417. [Google Scholar]
- Braam, G.; van Beest, F. A Conceptually-Based Empirical Analysis on Quality Differences between UK Annual Reports and US 10-K Reports. J. Mod. Account. Audit. 2013, 9, 1281–1301. [Google Scholar]
- International Accounting Standard Board (IASB). Conceptual Framework for Financial Reporting. 2018. Available online: https://www.ifrs.org/issued-standards/list-of-standards/conceptual-framework/ (accessed on 19 October 2018).
- Global Reporting Initiative. GRI 101: Foundation. 2016. Available online: https://www.globalreporting.org/standards/gri-standards-download-center/gri-101-foundation/ (accessed on 20 October 2018).
- International Integrated Reporting Council. Assurance on IR. Overview Feedback and Call to Action. 2014. Available online: http://integratedreporting.org/ (accessed on 20 June 2018).
- EY. EY’s Excellence in Integrated Reporting Awards. 2016. Available online: https://www.ey.com/Publication/vwLUAssets/ey-excellence-integrated-reporting-awards-2016/$FILE/ey-excellence-integrated-reporting-awards-2016.pdf (accessed on 16 September 2018).
- Churet, C.; Eccles, R.G. Integrated reporting, quality of management, and financial performance. J. Appl. Corp. Financ. 2014, 26, 56–64. [Google Scholar]
- Eisenhardt, K.M. Agency theory: An assessment and review. Acad. Manag. Rev. 1989, 14, 57–74. [Google Scholar] [CrossRef]
- Jensen, M. Organization theory and methodology. Account. Rev. 1983, 56, 319–338. [Google Scholar] [CrossRef]
- Berle, A.A.; Means, G.C. The Modern Corporation and Private Property; Macmillan: New York, NY, USA, 1932. [Google Scholar]
- Harris, M.; Raviv, A. Some results on incentive con- tracts with application to education and employment, health insurance, and law enforcement. Am. Econ. Rev. 1978, 68, 20–30. [Google Scholar]
- Jensen, M.C.; Meckling, W.H. Theory of the firm: Managerial behavior, agency costs and ownership structure. J. Financ. Econ. 2016, 3, 305–360. [Google Scholar] [CrossRef]
- Al-Maskati, M.; Hamdan, A. Corporate governance and voluntary disclosure: Evidence from Bahrain. Int. J. Econ. Account. 2017, 8, 1–28. [Google Scholar] [CrossRef]
- Bouaziz, M.Z. Corporate governance and voluntary financial disclosure by Canadian listed firms. Manag. Rev. Int. J. 2014, 9, 44–69. [Google Scholar]
- Florackis, C.; Ozkan, A. Agency costs and corporate governance mechanisms: Evidence for UK firms. Int. J. Manag. Financ. 2008, 4, 37–59. [Google Scholar] [CrossRef]
- Carter, D.A.; Simkins, B.J.; Simpson, W.G. Corporate governance, board diversity, and firm value. Financ. Rev. 2003, 38, 33–53. [Google Scholar] [CrossRef]
- Bathala, C.T.; Rao, R.P. The determinants of board composition: An agency theory perspective. Manag. Decis. Econ. 1995, 16, 59–69. [Google Scholar] [CrossRef]
- Chen, C.J.; Jaggi, B. Association between independent non-executive directors, family control and financial disclosures in Hong Kong. J. Account. Public Policy 2000, 19, 285–310. [Google Scholar] [CrossRef]
- Gul, S.; Sajid, M.; Razzaq, N.; Afzal, F. Agency Cost, Corporate Governance and Ownership Structure (The case of Pakistan). Int. J. Bus. Soc. Sci. 2012, 3, 268–277. [Google Scholar]
- Hillman, A.J.; Dalziel, T. Boards of directors and firm performance: Integrating agency and resource dependence perspectives. Acad. Manag. Rev. 2003, 28, 383–396. [Google Scholar] [CrossRef]
- Lim, Y.Z.; Talha, M.; Mohamed, J.; Sallehhuddin, A. Corporate social responsibility disclosure and corporate governance in Malaysia. Int. J. Behav. Account. Financ. 2008, 1, 67–89. [Google Scholar] [CrossRef]
- Kakanda, M.M.; Salim, B.; Chandren, S. Corporate governance reform and risk management disclosures: Evidence from Nigeria. Bus. Econ. Horiz. 2017, 13, 357–367. [Google Scholar] [CrossRef]
- El-Chaarani, H. The impact of corporate governance on the performance of Lebanese banks. Int. J. Bus. Financ. Res. 2014, 8, 35–46. [Google Scholar]
- Dey, A. Corporate Governance and Agency Conflicts. J. Account. Res. 2008, 46, 1143–1181. [Google Scholar] [CrossRef]
- Lokman, N.; Mula, J.M.; Cotter, J. Importance of Corporate Governance Quality and Voluntary Disclosures of Corporate Governance Information in Listed Malaysian Controlled Businesses. Int. J. Sustain. Dev. World Policy 2014, 3, 1–24. [Google Scholar]
- Lee, S.P.; Chen, H.J. Corporate governance and firm value as determinants of CEO compensation in Taiwan: 2SLS for panel data model. Manag. Res. Rev. 2011, 34, 252–265. [Google Scholar] [CrossRef]
- Samaha, K.; Dahawy, K.; Abdel-Meguid, A.; Abdallah, S. Propensity and comprehensiveness of corporate internet reporting in Egypt: Do board composition and ownership structure matter. Int. J. Account. Inf. Manag. 2012, 20, 142–170. [Google Scholar] [CrossRef]
- Healy, P.; Palepu, K. Information asymmetry, corporate disclosure, and the capital markets: A review of the empirical disclosure literature. J. Account. Econ. 2001, 31, 405–440. [Google Scholar] [CrossRef]
- Helfaya, A.; Whittington, M.; Alawattage, C. Exploring the quality of corporate environmental reporting: Surveying preparers’ and users’ perceptions. Account. Audit. Account. J. 2019, 32, 163–193. [Google Scholar] [CrossRef]
- Stemler, S.E.; Tsai, J. Best Practices in Interrater Reliability: Three Common Approaches. In Best Practices in Quantitative Methods; Osborne, J.W., Ed.; Sage: Los Angeles, CA, USA, 2008; pp. 29–49. [Google Scholar]
- Krippendorff, K. Content Analysis an Introduction to Its Methodology, 2nd ed.; Sage Publications: Thousand Oaks, CA, USA, 2004. [Google Scholar]
- Chakroun, R.; Hussainey, K. Disclosure quality in Tunisian annual reports. Corp. Ownersh. Control 2014, 11, 58–80. [Google Scholar] [CrossRef]
- Mahboub, R. Main Determinants of Financial Reporting Quality in the Lebanese Banking Sector. Eur. Res. Stud. 2017, 20, 706–726. [Google Scholar] [CrossRef][Green Version]
- Hsiao, C. Analysis of Panel Data; Cambridge University Press: New York, NY, USA, 2014. [Google Scholar]
- Sayrs, L.W. Pooled Time Series Analysis; Sage: Newbury Park, CA, USA, 1989. [Google Scholar]
- Hausman, J.A. Specification tests in econometrics. Econom. J. Econom. Soc. 1978, 46, 1251–1271. [Google Scholar] [CrossRef]
- Rivera-Arrubla, Y.A.; Zorio-Grima, A.; García-Benau, M.A. Integrated reports: Disclosure level and explanatory factors. Soc. Responsib. J. 2017, 13, 155–176. [Google Scholar] [CrossRef]
- Gunarathne, N.; Alahakoon, Y. Environmental management accounting practices and their diffusion: The Sri Lankan experience. NSBM J. Manag. 2016, 2. [Google Scholar] [CrossRef]
- ACCA. Insights into Integrated Reporting 3.0: The Drive for Authenticity. 2019. Available online: https://www.accaglobal.com/content/dam/ACCA_Global/professional-insights/IR-3/pi-insights-IR-3.0.pdf (accessed on 11 May 2020).
- De Villiers, C.; Naiker, V.; van Staden, C.J. The effect of board characteristics on firm environmental performance. J. Manag. 2011, 37, 1636–1663. [Google Scholar] [CrossRef]
- Central Bank of Sri Lanka. Directions, Determinations, and Circulars issued to Licensed Specialized Banks 2013. Available online: https://www.cbsl.gov.lk/en/directions (accessed on 19 October 2018).
- Moolman, J.; Oberholzer, M.; Steyn, M. The effect of integrated reporting on integrated thinking between risk, opportunity and strategy and the disclosure of risks and opportunities. South. Afr. Bus. Rev. 2016, 20, 600–627. [Google Scholar] [CrossRef][Green Version]
- Manes-Rossi, F.; Nicolo, G.; Orelli, R.L. Reshaping Risk Disclosure through Integrated Reporting: Evidence from Italian Early Adopters. Int. J. Bus. Manag. 2017, 12, 11–23. [Google Scholar] [CrossRef]
- Roberts, J.; McNulty, T.; Stiles, P. Beyond agency conceptions of the work of the non-executive director: Creating accountability in the boardroom. Br. J. Manag. 2005, 16, S5–S26. [Google Scholar] [CrossRef]
- Fernando, R.M. How effective are ‘Independent Directors’ in Sri Lanka. In Sunday Times 2015. Available online: http://www.sundaytimes.lk/150712/business-times/how-effective-are-independent-directors-in-sri-lanka-156153.html (accessed on 21 October 2018).
- Ahmed Haji, A. The role of audit committee attributes in intellectual capital disclosures: Evidence from Malaysia. Manag. Audit. J. 2015, 30, 756–784. [Google Scholar] [CrossRef]
- Dissanayake, D.; Tilt, C.; Xydias-Lobo, M. Sustainability reporting by public listed companies in Sri Lanka. J. Clean. Prod. 2016, 129, 169–182. [Google Scholar] [CrossRef]
- Xie, Q.; Neill, M.S.; Schauster, E. Paid, earned, shared and owned media from the perspective of advertising and public relations agencies: Comparing China and the United States. Int. J. Strateg. Commun. 2018, 12, 160–179. [Google Scholar] [CrossRef]
- Senaratne, S.; Gunarathne, A.D.N. Excellence Perspective for Management Education from a Global Accountants’ hub in Asia. In Management Education for Global Leadership; Baporikar, N., Ed.; IGI Global: Hershey, PA, USA, 2017; pp. 158–180. [Google Scholar]
- International Integrated Reporting Council. Materiality Background Paper for <IR> 2013. Available online: https://integratedreporting.org/wp-content/uploads/2013/03/IR-Background-Paper-Materiality.pdf (accessed on 18 June 2018).
- Gelmini, L.; Bavagnoli, F.; Comoli, M.; Riva, P. An Open Question in the Integrated Reporting: Materiality or Conciseness. In Proceedings of the CSEAR Conference, Padova, Italy, 18 September 2014. [Google Scholar]
- International Integrated Reporting Council. Connectivity Background Paper for <IR> 2013. Available online: http://integratedreporting.org/wp-content/uploads/2013/07/IR-Background-Paper-Connectivity.pdf (accessed on 18 June 2018).
- Hubbard, G. Measuring organizational performance: Beyond the triple bottom line. Bus. Strategy Environ. 2009, 18, 177–191. [Google Scholar] [CrossRef]
- International Integrated Reporting Council. Capitals Background Paper for <IR> 2013. Available online: https://integratedreporting.org/wp-content/uploads/2013/03/IR-Background-Paper-Capitals.pdf (accessed on 18 June 2018).
- International Integrated Reporting Council. Value Creation Background Paper for <IR> 2013. Available online: http://integratedreporting.org/wp-content/uploads/2013/08/Background-Paper-Value-Creation.pdf (accessed on 18 June 2018).
- Marrison, C. The Fundamentals of Risk Measurement; McGraw Hill Professional: New York, NY, USA, 2002. [Google Scholar]
- Maines, L.; Wahlen, J. The Nature of Accounting Information Reliability: Inferences from Archival and Experimental Research. Account. Horiz. 2006, 20, 399–425. [Google Scholar] [CrossRef]
- Rezaee, Z. High-quality financial reporting: The six-legged stool. Strateg. Financ. 2003, 84, 26–30. [Google Scholar]
- Gray, G.L.; Turner, J.L.; Coram, P.J.; Mock, T.J. Perceptions and misperceptions regarding the unqualified auditor’s report by financial statement preparers, users, and auditors. Account. Horiz. 2011, 25, 659–684. [Google Scholar] [CrossRef]
- Companies Act, No. 07 of 2007. The Democratic Socialist Republic of Sri Lanka. Available online: http://www.drc.gov.lk/wp-content/uploads/2018/04/Act-7-of-2007-English.pdf (accessed on 15 June 2018).
- International Integrated Reporting Council. Business Model Background Paper for <IR> 2013. Available online: https://integratedreporting.org/wp-content/uploads/2013/03/Business_Model.pdf (accessed on 18 June 2018).
- International Integrated Reporting Council. Basis for Conclusions. 2013. Available online: http://integratedreporting.org/wp-content/uploads/2013/12/13-12-08-Basis-for-conclusions-IR.pdf (accessed on 18 June 2018).
- Schipper, K.; Vincent, L. Earnings quality. Account. Horiz. 2003, 17, 97–110. [Google Scholar] [CrossRef]
- Cole, V.; Branson, J.; Breesch, D. How to measure the comparability of financial statements. Int. J. Manag. Financ. Account. 2009, 1, 379–397. [Google Scholar] [CrossRef]
- Beuselinck, C.; Manigart, S. Financial reporting quality in private equity backed companies: The impact of ownership concentration. Small Bus. Econ. 2007, 29, 261–274. [Google Scholar] [CrossRef]
- Cleary, S. The relationship between firm investment and financial status. J. Financ. 1999, 54, 673–692. [Google Scholar] [CrossRef]
- SEC. Directive: Incorporation of Enforcement Procedures to Be Implemented on Listing Public Companies Violating Listing Requirements of the Colombo Stock Exchange. 2017. Available online: http://www.sec.gov.lk/wp-content/uploads/directive3.pdf (accessed on 15 June 2018).
© 2020 by the authors. Licensee MDPI, Basel, Switzerland. This article is an open access article distributed under the terms and conditions of the Creative Commons Attribution (CC BY) license (http://creativecommons.org/licenses/by/4.0/).

