Relationship between Ability-Based Emotional Intelligence, Cognitive Intelligence, and Job Performance
Abstract
:1. Introduction
2. Theoretical Development
2.1. Cascading Model of EI and Job Performance
2.2. CI and Emotion Understanding
2.3. Compensatory Model between CI and EI
3. Methods
3.1. Ethical Statement
3.2. Sample
3.3. Procedure
3.4. Measures
3.5. Controls
4. Results
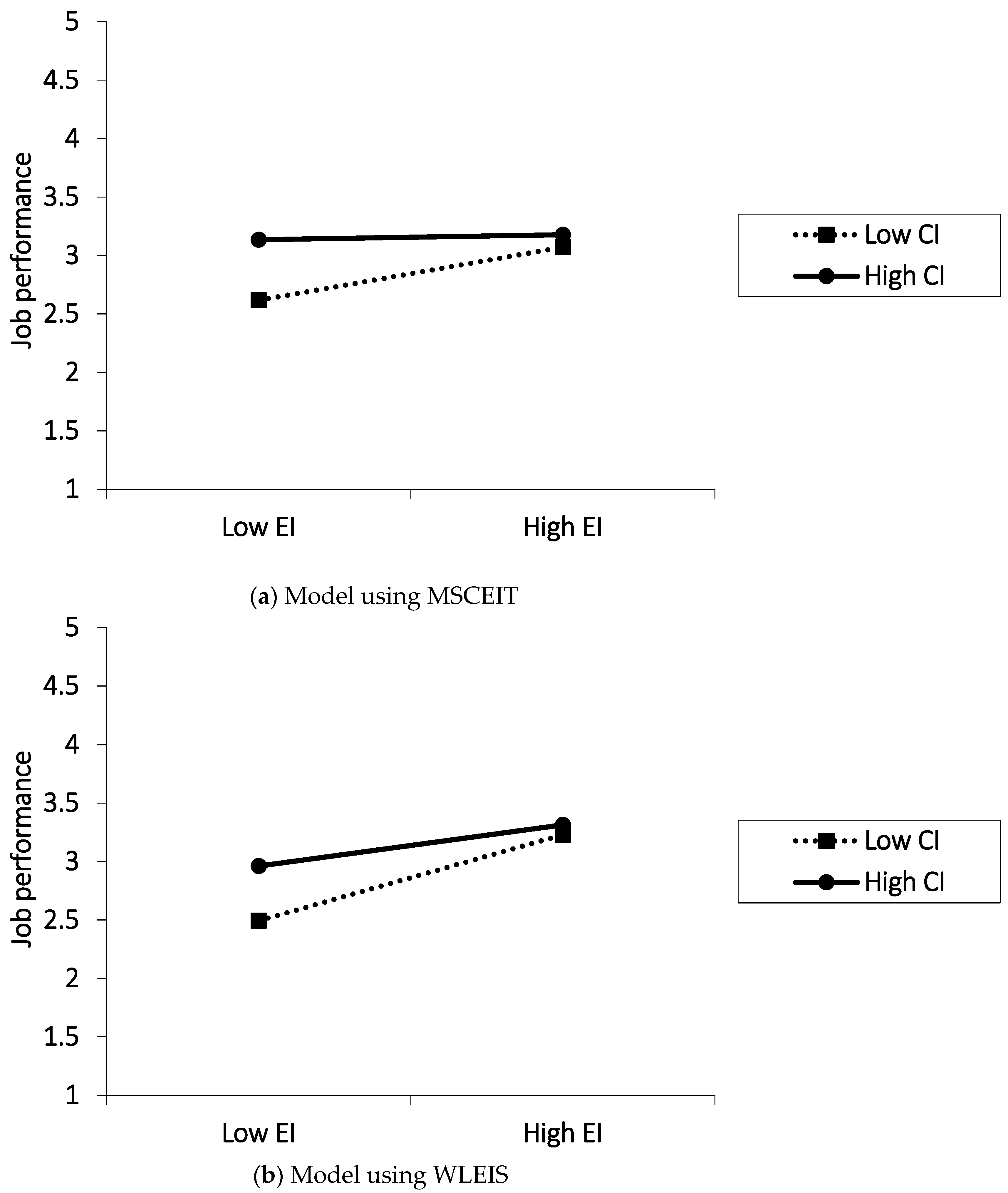
5. Discussion
6. Conclusions
6.1. Theoretical Contributions
6.2. Practical Implications
6.3. Limitations and Future Research Direction
Supplementary Materials
Author Contributions
Funding
Conflicts of Interest
References
- Farh, C.I.; Seo, M.G.; Tesluk, P.E. Emotional intelligence, teamwork effectiveness, and job performance: The moderating role of job context. J. Appl. Psychol. 2012, 97, 890–900. [Google Scholar] [CrossRef] [PubMed]
- Sy, T.; Tram, S.; O’Hara, L.A. Relation of employee and manager emotional intelligence to job satisfaction and performance. J. Vocat. Behav. 2006, 68, 461–473. [Google Scholar] [CrossRef]
- Wong, C.S.; Law, K.S. The effects of leader and follower emotional intelligence on performance and attitude: An exploratory study. Leadersh. Q. 2002, 13, 243–274. [Google Scholar] [CrossRef]
- Vratskikh, I.; Al-Lozi, M.; Maqableh, M. The impact of emotional intelligence on job performance via the mediating role of job satisfaction. Int. J. Bus. Manag. 2016, 11, 69–91. [Google Scholar] [CrossRef]
- Day, A.L.; Carroll, S.A. Using an ability-based measure of emotional intelligence to predict individual performance, group performance, and group citizenship behaviours. Pers. Individ. Differ. 2004, 36, 1443–1458. [Google Scholar] [CrossRef]
- Kluemper, D.H.; DeGroot, T.; Choi, S. Emotion management ability: Predicting task performance, citizenship, and deviance. J. Manag. 2013, 39, 878–905. [Google Scholar] [CrossRef]
- Joseph, D.L.; Newman, D.A. Emotional intelligence: An integrative meta-analysis and cascading model. J. Appl. Psychol. 2010, 95, 54–78. [Google Scholar] [CrossRef]
- Cote, S.; Miners, C.T. Emotional intelligence, cognitive intelligence, and job performance. Adm. Sci. Q. 2006, 51, 1–28. [Google Scholar] [CrossRef]
- Palmer, B.R.; Gignac, G.; Manocha, R.; Stough, C.A. Psychometric evaluation of the Mayer-Salovey-Caruso emotional intelligence test version 2.0. Intelligence 2005, 33, 285–305. [Google Scholar] [CrossRef]
- Rossen, E.; Kranzler, J.H.; Algina, J. Confirmatory factor analysis of the Mayer–Salovey–Caruso emotional intelligence test V 2.0 (MSCEIT). Pers. Individ. Differ. 2008, 44, 1258–1269. [Google Scholar] [CrossRef]
- O’Boyle, E.H., Jr.; Humphrey, R.H.; Pollack, J.M.; Hawver, T.H.; Story, P.A. The relation between emotional intelligence and job performance: A meta-analysis. J. Organ. Behav. 2011, 32, 788–818. [Google Scholar] [CrossRef]
- Joseph, D.L.; Jin, J.; Newman, D.A.; O’boyle, E.H. Why does self-reported emotional intelligence predict job performance? A meta-analytic investigation of mixed EI. J. Appl. Psychol. 2015, 100, 298–342. [Google Scholar] [CrossRef]
- Śmieja, M.; Orzechowski, J.; Stolarski, M.S. TIE: An ability test of emotional intelligence. PLoS ONE 2014, 9, e103484. [Google Scholar] [CrossRef]
- Herpertz, S.; Nizielski, S.; Hock, M.; Schütz, A. The relevance of emotional intelligence in personnel selection for high emotional labor jobs. PLoS ONE 2016, 11, e0154432. [Google Scholar] [CrossRef]
- Petrides, K.V.; Furnham, A. Trait emotional intelligence: Psychometric investigation with reference to established trait taxonomies. Eur. J. Pers. 2001, 15, 425–448. [Google Scholar] [CrossRef]
- Van der Linden, D.; Pekaar, K.A.; Bakker, A.B.; Schermer, J.A.; Vernon, P.A.; Dunkel, C.S.; Petrides, K.V. Overlap between the general factor of personality and emotional intelligence: A meta-analysis. Psychol. Bull. 2017, 143, 36–52. [Google Scholar] [CrossRef]
- MacCann, C.; Joseph, D.L.; Newman, D.A.; Roberts, R.D. Emotional intelligence is a second-stratum factor of intelligence: Evidence from hierarchical and bifactor models. Emotion 2014, 14, 358. [Google Scholar] [CrossRef]
- Brackett, M.A.; Mayer, J.D. Convergent, discriminant, and incremental validity of competing measures of emotional intelligence. Pers. Soc. Psychol. Bull. 2003, 29, 1147–1158. [Google Scholar] [CrossRef]
- Law, K.S.; Wong, C.S.; Huang, G.H.; Li, X. The effects of emotional intelligence on job performance and life satisfaction for the research and development scientists in China. Asia Pac. J. Manag. 2008, 25, 51–69. [Google Scholar] [CrossRef]
- Curci, A.; Lanciano, T.; Soleti, E.; Zammuner, V.L.; Salovey, P. Construct validity of the Italian version of the Mayer–Salovey–Caruso emotional intelligence test (MSCEIT) v2.0. J. Pers. Assess. 2013, 95, 486–494. [Google Scholar] [CrossRef]
- Sanchez-Garcia, M.; Extremera, N.; Fernandez-Berrocal, P. The factor structure and psychometric properties of the Spanish version of the Mayer-Salovey-Caruso Emotional Intelligence Test. Psychol. Assess. 2016, 28, 1404–1415. [Google Scholar] [CrossRef]
- Iliescu, D.; Ilie, A.; Ispas, D.; Ion, A. Examining the Psychometric Properties of the Mayer-Salovey-Caruso Emotional Intelligence Test. Eur. J. Psychol. Assess. 2013, 29, 121–128. [Google Scholar] [CrossRef]
- Mao, W.C.; Chen, L.F.; Chi, C.H.; Lin, C.H.; Kao, Y.C.; Hsu, W.Y.; Hsieh, J.C. Traditional Chinese version of the Mayer Salovey Caruso Emotional Intelligence Test (MSCEIT-TC): Its validation and application to schizophrenic individuals. Psychiatry Res. 2016, 243, 61–70. [Google Scholar] [CrossRef]
- Karim, J.; Weisz, R. Cross-cultural research on the reliability and validity of the Mayer-Salovey-Caruso Emotional Intelligence Test (MSCEIT). Cross Cult. Res. 2010, 44, 374–404. [Google Scholar] [CrossRef]
- Libbrecht, N.; Beuckelaer, A.D.; Lievens, F.; Rockstuhl, T. Measurement invariance of the Wong and Law emotional intelligence scale scores: Does the measurement structure hold across far Eastern and European countries? Appl. Psychol. 2014, 63, 223–237. [Google Scholar] [CrossRef]
- Podsakoff, P.M.; Organ, D.W. Self-reports in organizational research: Problems and prospects. J. Manag. 1986, 12, 531–544. [Google Scholar] [CrossRef]
- Caruso, D.R.; Mayer, J.D.; Salovey, P. Emotional intelligence and emotional leadership. In Multiple Intelligences and Leadership; Riggio, R.E., Murphy, S.E., Pirozzolo, F.J., Eds.; Lawrence Erlbaum Associates Publishers: Mahwah, NJ, USA, 2002; pp. 55–74. [Google Scholar]
- Fredrickson, B.L. The role of positive emotions in positive psychology: The broaden-and-build theory of positive emotions. Am. Psychol. 2001, 56, 218–226. [Google Scholar] [CrossRef] [PubMed]
- Tsai, W.C.; Chen, C.C.; Liu, H.L. Test of a model linking employee positive moods and task performance. J. Appl. Psychol. 2007, 92, 1570–1583. [Google Scholar] [CrossRef] [PubMed]
- Butler, E.A.; Egloff, B.; Wilhelm, F.H.; Smith, N.C.; Erickson, E.A.; Gross, J.J. The social consequences of expressive suppression. Emotion 2003, 3, 48–67. [Google Scholar] [CrossRef]
- Gross, J.J.; John, O.P. Individual differences in two emotion regulation processes: Implications for affect, relationships, and well-being. J. Pers. Soc. Psychol. 2003, 85, 348–362. [Google Scholar] [CrossRef]
- Beal, D.J.; Weiss, H.M.; Barros, E.; MacDermid, S.M. An episodic process model of affective influences on performance. J. Appl. Psychol. 2005, 90, 1054–1068. [Google Scholar] [CrossRef]
- Kanfer, R.; Ackerman, P.L.; Heggestad, E.D. Motivational skills & self-regulation for learning: A trait perspective. Learn. Individ. Differ. 1996, 8, 185–209. [Google Scholar]
- Gross, J.J. Emotion and emotion regulation: Personality processes and individual differences. In Handbook of Personality: Theory and Research; John, O.P., Robins, R.W., Pervin, L.A., Eds.; Guilford Press: New York, NY, USA, 2008; pp. 701–724. [Google Scholar]
- Mayer, J.D.; Salovey, P. What is emotional intelligence? In Emotional Development and Emotional Intelligence: Educational Implications; Salovey, P., Sluyter, D.J., Eds.; Basic Books: New York, NY, USA, 1997; pp. 3–31. [Google Scholar]
- Kintsch, W. The control of knowledge activation in discourse comprehension. In Control of Human Behavior, Mental Processes, and Consciousness: Essays in Honor of the 60th Birthday of August Flammer; Perrig, W.J., Grob, A., Eds.; Lawrence Erlbaum Associates Publishers: Mahwah, NJ, USA, 2000; pp. 137–146. [Google Scholar]
- Schmidt, F.L.; Hunter, J. General mental ability in the world of work: Occupational attainment and job performance. J. Pers. Soc. Psychol. 2004, 86, 162–173. [Google Scholar] [CrossRef]
- Trentacosta, C.J.; Izard, C.E.; Mostow, A.J.; Fine, S.E. Children’s emotional competence and attentional competence in early elementary school. Sch. Psychol. Q. 2006, 21, 148–170. [Google Scholar] [CrossRef]
- Carroll, J.B. Human Cognitive Abilities: A Survey of Factor-Analytic Studies; Cambridge University Press: Cambridge, UK, 1993. [Google Scholar]
- Viswesvaran, C.; Ones, D.S. Agreements and disagreements on the role of general mental ability (GMA) in industrial, work, and organizational psychology. Hum. Perform. 2002, 15, 211–231. [Google Scholar]
- Cattell, R.B.; Cattell, A.K.S. Culture Fair Intelligence Tests: CFIT; Institute for Personality & Ability Testing: Champaign, IL, USA, 1973. [Google Scholar]
- Tsui, A.S.; Pearce, J.L.; Porter, L.W.; Tripoli, A.M. Alternative approaches to the employee-organization relationship: Does investment in employees pay off? Acad. Manag. J. 1997, 40, 1089–1121. [Google Scholar] [CrossRef]
- Adler, S.; Campion, M.; Colquitt, A.; Grubb, A.; Murphy, K.; Ollander-Krane, R.; Pulakos, E.D. Getting rid of performance ratings: Genius or folly? A debate. Ind. Organ. Psychol. 2016, 9, 219–252. [Google Scholar] [CrossRef]
- James, L.R.; Demaree, R.G.; Wolf, G. Estimating within-group interrater reliability with and without response bias. J. Appl. Psychol. 1984, 69, 85–98. [Google Scholar] [CrossRef]
- Bliese, P.D. Within-group agreement, non-independence, and reliability: Implications for data aggregation and analysis. In Multilevel Theory, Research, and Methods in Organizations: Foundations, Extensions, and New Directions; Klein, K.J., Kozlowski, S.W.J., Eds.; Jossey-Bass: San Francisco, CA, USA, 2000; pp. 349–381. [Google Scholar]
- Kozlowski, S.W.; Klein, K.J. A multilevel approach to theory and research in organizations: Contextual, temporal, and emergent processes. In Multilevel Theory, Research, and Methods in Organizations: Foundations, Extensions, and New Directions; Klein, K.J., Kozlowski, S.W.J., Eds.; Jossey-Bass: San Francisco, CA, USA, 2000; pp. 3–90. [Google Scholar]
- Hu, L.T.; Bentler, P.M. Fit indices in covariance structure modeling: Sensitivity to underparameterized model misspecification. Psychol. Methods 1998, 3, 424–453. [Google Scholar] [CrossRef]
- Mayer, J.D.; Caruso, D.R.; Salovey, P. Emotional intelligence meets traditional standards for an intelligence. Intelligence 1999, 27, 267–298. [Google Scholar] [CrossRef]
- Hodzic, S.; Scharfen, J.; Ripoll, P.; Holling, H.; Zenasni, F. How efficient are emotional intelligence trainings: A meta-analysis. Emot. Rev. 2018, 10, 138–148. [Google Scholar] [CrossRef]
- Mattingly, V.; Kraiger, K. Can emotional intelligence be trained? A meta-analytical investigation. Hum. Resour. Manag. R. 2019, 29, 140–155. [Google Scholar] [CrossRef]
- Mayer, J.D.; Cobb, C.D. Educational policy on emotional intelligence: Does it make sense? Educ. Psychol. Rev. 2000, 12, 163–183. [Google Scholar] [CrossRef]



| Variables | Mean | SD | 1 | 2 | 3 | 4 | 5 | 6 | 7 | 8 | 9 | 10 | 11 |
|---|---|---|---|---|---|---|---|---|---|---|---|---|---|
| 1. MSCEIT Emotion Perception | 94.52 | 17.99 | |||||||||||
| 2. MSCEIT Emotion Understanding | 82.16 | 10.09 | 0.356 ** | ||||||||||
| 3. MSCEIT Emotion Regulation | 83.06 | 10.83 | 0.206 ** | 0.322 ** | |||||||||
| 4. Cognitive Intelligence | 111.93 | 19.34 | −0.030 | −0.066 | −0.225 ** | ||||||||
| 5. Job Performance | 2.81 | 0.393 | 0.021 | 0.052 | 0.197 ** | 0.269 ** | |||||||
| 6. WLEIS OEA | 3.92 | 0.991 | −0.048 | 0.089 | 0.173 * | 0.051 | 0.221 ** | ||||||
| 7. WLEIS Emotion Regulation | 4.11 | 0.808 | −0.018 | 0.114 | 0.184 * | 0.004 | 0.377 ** | 0.419 ** | |||||
| 8. WLEIS SEA | 4.03 | 0.992 | 0.074 | 0.096 | 0.181 * | 0.038 | 0.353 ** | 0.366 ** | 0.454 ** | ||||
| 9. Age | 29.01 | 4.15 | −0.016 | 0.020 | 0.073 | 0.036 | 0.123 | −0.113 | −0.047 | −0.084 | |||
| 10. Gender | 0.539 | 0.499 | 0.023 | −0.008 | −0.119 | −0.029 | −0.103 | −0.042 | −0.092 | −0.095 | −0.216 ** | ||
| 11. Tenure | 4.93 | 3.56 | −0.095 | 0.052 | 0.032 | 0.084 | 0.142 * | 0.011 | 0.071 | −0.039 | 0.870 ** | −0.180 * | |
| 12. Type of job | 0.612 | 0.488 | −0.028 | −0.005 | −0.115 | 0.018 | −0.045 | 0.115 | 0.048 | 0.103 | −0.102 | −0.045 | −0.132 |
| CR | AVE | MSV | ASV | 1. | 2. | 3. | 4. | |
|---|---|---|---|---|---|---|---|---|
| 1. SEA | 0.902 | 0.697 | 0.270 | 0.187 | 0.835 | |||
| 2. OEA | 0.891 | 0.674 | 0.235 | 0.142 | 0.362 | 0.821 | ||
| 3. Emotion Regulation | 0.849 | 0.586 | 0.270 | 0.235 | 0.520 | 0.485 | 0.765 | |
| 4. Job Performance | 0.863 | 0.512 | 0.201 | 0.140 | 0.398 | 0.244 | 0.448 | 0.715 |
| Paths | Model using MSCEIT | Model using WLEIS | |||||
|---|---|---|---|---|---|---|---|
| Estimate | p | Estimate | p | ||||
| Hypothesis 1-MSCEIT | Emotion Perception | → | Emotion Understanding | 0.355 | 0.002 | ||
| Emotion Understanding | → | Emotion Regulation | 0.322 | 0.004 | |||
| Emotion Regulation | → | Job Performance | 0.248 | 0.001 | |||
| Hypothesis 2-WLEIS | SEA | → | Emotion Regulation | 0.418 | 0.003 | ||
| OEA | → | Emotion Regulation | 0.337 | 0.003 | |||
| Emotion Regulation | → | Job Performance | 0.497 | 0.004 | |||
| Hypothesis 3-MSCEIT | CI | → | Emotion Understanding | −0.055 | 0.458 | ||
| Hypothesis 4-WLEIS | CI | → | SEA | 0.035 | 0.623 | ||
| CI | → | OEA | 0.048 | 0.590 | |||
| Hypothesis 5 | CI | → | Job Performance | 0.311 | 0.001 | 0.268 | 0.001 |
| EI * CI | → | Job Performance | −0.201 | 0.007 | −0.196 | 0.041 | |
© 2019 by the authors. Licensee MDPI, Basel, Switzerland. This article is an open access article distributed under the terms and conditions of the Creative Commons Attribution (CC BY) license (http://creativecommons.org/licenses/by/4.0/).
Share and Cite
Nguyen, N.N.; Nham, P.T.; Takahashi, Y. Relationship between Ability-Based Emotional Intelligence, Cognitive Intelligence, and Job Performance. Sustainability 2019, 11, 2299. https://doi.org/10.3390/su11082299
Nguyen NN, Nham PT, Takahashi Y. Relationship between Ability-Based Emotional Intelligence, Cognitive Intelligence, and Job Performance. Sustainability. 2019; 11(8):2299. https://doi.org/10.3390/su11082299
Chicago/Turabian StyleNguyen, Nhu Ngoc, Phong Tuan Nham, and Yoshi Takahashi. 2019. "Relationship between Ability-Based Emotional Intelligence, Cognitive Intelligence, and Job Performance" Sustainability 11, no. 8: 2299. https://doi.org/10.3390/su11082299
APA StyleNguyen, N. N., Nham, P. T., & Takahashi, Y. (2019). Relationship between Ability-Based Emotional Intelligence, Cognitive Intelligence, and Job Performance. Sustainability, 11(8), 2299. https://doi.org/10.3390/su11082299

