How Does Licensing Remanufacturing Affect the Supply Chain Considering Customer Environmental Awareness?
Abstract
:1. Introduction
- (1)
- From the supply chain perspective, should the supplier raise or reduce the wholesale price when his downstream manufacturer develops technology licensing remanufacturing via a TPR? In turn, how does the manufacturer adjust his quantity of orders from the supplier?
- (2)
- From an environmental perspective, how does customer environmental awareness affect the decisions, and what impact does the remanufacturing have on the environment?
2. Literature Review
3. Models and Equilibrium Results
3.1. Model Description
3.1.1. A Closed-Loop Supply Chain
3.1.2. Customer Choice Behavior with Environmental Awareness
- a customer with willingness to pay will buy the new product;
- a customer with willingness to pay will buy the remanufactured product;
- and a customer with willingness to pay and will buy nothing.
3.1.3. Demand Functions
3.1.4. Return Function
3.1.5. Production Cost
3.2. Models and Equilibrium Results
3.2.1. No-Remanufacturing Model (Model NR)
3.2.2. Licensing Remanufacturing Model (Model LR)
- Case 1: When , TPR carries out remanufacturing, given the wholesale price of the supplier, the corresponding manufacturer’s decision problem is as follows:
- Case 2: When , TPR does not have any incentives to undertake remanufacturing, therefore, given the wholesale price of the supplier, the manufacturer’s decision problem becomes
- Case 1: When the TPR recycles EOL products and undertakes remanufacturing, the supplier’s decision problem is
- Case 2: When the TPR does not remanufacture, the supplier’s decision problem is
4. Equilibrium Analysis
5. Environment-Related Analysis
5.1. Effect of Customer Environmental Awareness
5.2. Effect of Technology Licensing Remanufacturing Operations
6. Conclusions and Future Research
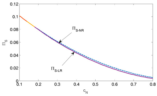
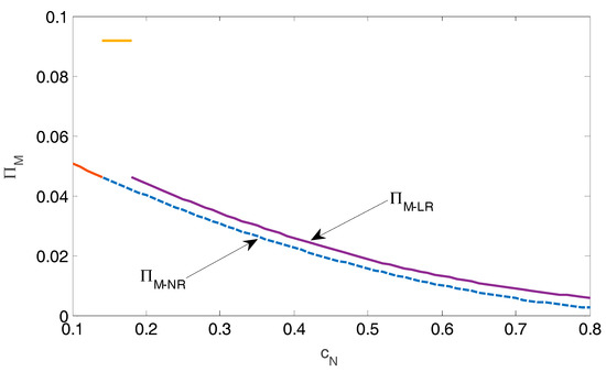
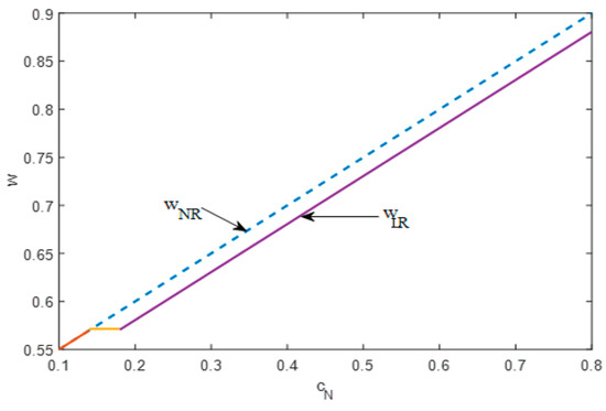
- From the supply chain perspective, we find that when remanufacturing is a potential threat to the supplier, the performance of the supply chain is improved and the double marginalization effect is effectively eliminated. Moreover, we find that remanufacturing by technology licensing only improves the profit of the manufacturer, but harms the profit of the supplier. Therefore, in order to induce the manufacturer to abandon licensing remanufacturing or decrease the quantity of remanufactured products, the supplier may lower the wholesale price of the components. Interestingly, contrary to traditional wisdom, the existence of remanufactured products does not reduce the quantity of new products. This result is different from the existing literature (such as Zou et al. [3] and Atasu et al. [12]), in which remanufactured products usually cannibalize the market of new products, no matter who carries out the remanufacturing.
- From an environmental perspective, we see from Section 5.1 that, as customer environmental awareness grows, the manufacturer has a stronger incentive to adopt licensing remanufacturing, but the supplier may lower the wholesale price to induce the manufacturer to abandon this strategy. However, only under certain conditions will the manufacturer abandon licensing remanufacturing when the supplier lowers its wholesale price. Moreover, we find from the analysis in Section 5.2 that remanufacturing by technology licensing may not always make the environment better, although the customers in the market have environmental awareness that facilitates remanufacturing. This result is also different from Atasu et al. [37] and Souza [38], where remanufacturing reduces the environmental impacts.
Author Contributions
Funding
Acknowledgments
Conflicts of Interest
Appendix A. All proofs
- (a)
- When , that is, ,
- (b)
- When , that is ,
- When , the remanufacturer conducts remanufacturing,
- and when , the remanufacturer does not remanufacture.
- (a)
- When , i.e., , the remanufacturer conducts partial remanufacturing. The manufacturer’s optimal decision combination isAt this time, the manufacturer’s profit is
- (b)
- When , that is , the TPR does not remanufacture, and the manufacturer’s optimal decision combination isAt this time, the profit of the manufacturer is
- (a)
- When , that is , the wholesale price of the supplier isThe profit of the supplier is
- (b)
- When , that is , the wholesale price of the supplier isThe profit of the supplier is
- (a)
- When , that is , the optimal wholesale price of the supplier is:The profit of the supplier is,
- (b)
- When , that is , the optimal wholesale price of the supplier isThe profit of the supplier is
References
- Wu, X.L.; Zhou, Y. Does the Entry of Third-Party Remanufacturers Always Hurt Original Equipment Manufacturers? Decis. Sci. 2016, 47, 762–780. [Google Scholar] [CrossRef]
- Chen, J.M.; Chang, C.I. The economics of a closed-loop supply chain with remanufacturing. J. Oper. Res. Soc. 2012, 63, 1323–1335. [Google Scholar] [CrossRef]
- Zou, Z.B.; Wang, J.J.; Deng, G.S.; Chen, H.Z. Third-party remanufacturing mode selection: Outsourcing or authorization? Transp. Res. Part E Logist. Trans. Rev. 2016, 87, 1–19. [Google Scholar] [CrossRef]
- Ferguson, M. Strategic issues in closed-loop supply chains with remanufacturing. In Closed-Loop Supply Chains: New Developments to Improve the Sustainability of Business Practices; Ferguson, M.E., Souza, G.C., Eds.; Auerbach Publications: Boca Raton, FL, USA, 2009; pp. 9–21. [Google Scholar]
- Hauser, W.M.; Lund, R.T. Remanufacturing: Operating Practices and Strategies; Boston University: Boston, MA, USA, 2008. [Google Scholar]
- Huang, Y.T.; Wang, Z.J. Closed-loop supply chain models with product tack-back and hybrid remanufacturing under technology licensing. J. Clean. Prod. 2017, 142, 3917–3927. [Google Scholar] [CrossRef]
- Hong, X.P.; Govindan, K.; Xu, L.; Du, P. Quantity and collection decisions in a closed-loop supply chain with technology licensing. Eur. J. Oper. Res. 2017, 256, 820–829. [Google Scholar] [CrossRef]
- Huang, Y.T.; Wang, Z.J. Information sharing in a closed-loop supply chain with technology licensing. Int. J. Prod. Econ. 2017, 191, 113–127. [Google Scholar] [CrossRef]
- Ma, Z.J.; Zhou, Q.; Dai, Y.; Guan, G.F. To license or not to license remanufacturing business? Sustainability 2018, 10, 347. [Google Scholar] [CrossRef]
- Zhang, J.H.; Yang, B.; Chen, M. Challenges of the development for automotive parts remanufacturing in China. J. Clean. Prod. 2017, 140, 1087–1094. [Google Scholar] [CrossRef]
- Xiong, Y.; Zhou, Y.; Li, G.D.; Chan, H.K.; Xiong, Z.K. Don’t forget your supplier when remanufacturing. Eur. J. Oper. Res. 2013, 230, 15–25. [Google Scholar] [CrossRef]
- Atasu, A.; Sarvary, M.; Van Wassenhove, L.N. Remanufacturing as a Marketing Strategy. Manag. Sci. 2008, 54, 1731–1746. [Google Scholar] [CrossRef]
- Hashiguchi, M.S. Recycling efforts and patent rights protection in the Unit States and Japan. Columbia J. Environ. Law 2008, 33, 169–179. [Google Scholar]
- Oraiopoulos, N.; Ferguson, M.E.; Toktay, L.B. Relicensing as a secondary market strategy. Manag. Sci. 2012, 58, 1022–1037. [Google Scholar] [CrossRef]
- Abdulrahman, M.D.A.; Subramanian, N.; Liu, C.; Shu, C.Q. Viability of remanufacturing practice: A strategic decision making framework for Chinese auto-parts companies. J. Clean. Prod. 2015, 105, 311–323. [Google Scholar] [CrossRef]
- Niu, B.Z.; Zou, Z.B. Better demand signal, better decisions? Evaluation of big data in a licensed remanufacturing supply chain with environmental risk considerations. Risk Anal. 2017, 37, 1550–1565. [Google Scholar] [CrossRef] [PubMed]
- Toyasaki, F.; Boyaci, T.; Verter, V. An analysis of monopolistic and competitive take-back schemes for WEEE recycling. Prod. Oper. Manag. 2011, 20, 805–823. [Google Scholar] [CrossRef]
- Hammond, D.; Beullens, P. Closed-loop supply chain network equilibrium under legislation. Eur. J. Oper. Res. 2007, 183, 895–908. [Google Scholar] [CrossRef]
- Atasu, A.; Van Wassenhove, L.N. An operations perspective on product take-back legislation for E-Waste: Theory, practice, and research needs. Prod. Oper. Manag. 2012, 21, 407–422. [Google Scholar] [CrossRef]
- Atasu, A.; Subramanian, R. Extended producer responsibility for E-Waste: Individual or collective producer responsibility? Prod. Oper. Manag. 2012, 21, 1042–1059. [Google Scholar] [CrossRef]
- Jacobs, B.W.; Subramanian, R. Sharing Responsibility for Product Recovery Across the Supply Chain. Prod. Oper. Manag. 2012, 21, 85–100. [Google Scholar] [CrossRef]
- Dobos, I. The effects of emission trading on production and inventories in the Arrow-Karlin model. Int. J. Prod. Econ. 2005, 93–94, 301–308. [Google Scholar] [CrossRef]
- Choi, T.M. Local sourcing and fashion quick response system: The impacts of carbon footprint tax. Transp. Res. Part E Logist. Trans. Rev. 2013, 55, 43–54. [Google Scholar] [CrossRef]
- Shen, B.; Ding, X.M.; Chen, L.Z.; Chan, H.L. Low carbon supply chain with energy consumption constraints: Case studies from China’s textile industry and simple analytical model. Supply Chain Manag. Int. J. 2017, 22, 258–269. [Google Scholar] [CrossRef]
- Dong, C.W.; Shen, B.; Chow, P.S.; Yang, L.; Ng, C.T. Sustainability investment under cap-and-trade regulation. Ann. Oper. Res. 2016, 240, 509–531. [Google Scholar] [CrossRef]
- Shi, X.; Qian, Y.; Dong, C. Economic and environmental performance of fashion supply chain: The joint effect of power structure and sustainable investment. Sustainability 2017, 9, 961. [Google Scholar] [CrossRef]
- Shi, X.; Zhang, X.; Dong, C.; Wen, S. Economic Performance and Emission Reduction of Supply Chains in Different Power Structures: Perspective of Sustainable Investment. Energies 2018, 11, 983. [Google Scholar] [CrossRef]
- Sinayi, M.; Rasti-Barzoki, M. A game theoretic approach for pricing, greening, and social welfare policies in a supply chain with government intervention. J. Clean. Prod. 2018, 196, 1443–1458. [Google Scholar] [CrossRef]
- Hong, Z.F.; Guo, X.L. Green product supply chain contracts considering environmental responsibilities. Omega-Int. J. Manag. Sci. 2019, 83, 155–166. [Google Scholar] [CrossRef]
- Banyai, T. Real-time decision making in first mile and last mile logistics: How smart scheduling affects energy efficiency of hyperconnected supply chain solutions. Energies 2018, 11, 1833. [Google Scholar] [CrossRef]
- Bakal, I.S.; Akcali, E. Effects of random yield in reverse supply chains with price-sensitive supply and demand. Prod. Oper. Manag. 2006, 15, 407–420. [Google Scholar] [CrossRef]
- Savaskan, R.C.; Bhattacharya, S.; Van Wassenhove, L.N. Closed-loop supply chain models with product remanufacturing. Manag. Sci. 2004, 50, 239–252. [Google Scholar] [CrossRef]
- Wang, Z.B.; Wang, Y.Y.; Wang, J.C. Optimal distribution channel strategy for new and remanufacturing products. Electron. Commer. Res. 2016, 16, 269–296. [Google Scholar] [CrossRef]
- Raz, G.; Druehl, C.T.; Blass, V. Design for the environment: Life-cycle approach using a newsvendor model. Prod. Oper. Manag. 2013, 22, 940–957. [Google Scholar] [CrossRef]
- Atasu, A.; Souza, G.C. How does product recovery affect quality choice? Prod. Oper. Manag. 2013, 22, 991–1010. [Google Scholar] [CrossRef]
- Örsdemir, A.; Kemahlıoğlu-Ziya, E.; Parlaktürk, A.D. Competitive quality choice and remanufacturing. Prod. Oper. Manag. 2014, 23, 48–64. [Google Scholar] [CrossRef]
- Atasu, A.; Guild, V.D.; Van Wassenhove, L.N. So what if remanufacturing cannibalizes my new product sales? Calif. Manag. Rev. 2010, 52, 1–21. [Google Scholar] [CrossRef]
- Souza, G. Closed-loop supply chains: A critical review, and future research. Decis. Sci. 2013, 44, 7–38. [Google Scholar] [CrossRef]
- Lai, X.F.; Tao, Y.; Wang, F.; Zou, Z.B. Sustainability investment in maritime supply chain with risk behavior and information sharing. Int. J. Prod. Econ. 2019. [Google Scholar] [CrossRef]
- Shen, B.; Choi, T.M.; Minner, S. A review on supply chain contracting with information considerations: Information updating and information asymmetry. Int. J. Prod. Res. 2018. [Google Scholar] [CrossRef]
- Shen, B.; Chan, H. Forecast information sharing for managing supply chains in the big data era: Recent development and future research. Asia Pac. J. Oper. Res. 2017, 34, 136–144. [Google Scholar] [CrossRef]








| Remanufacturing Company | Form | Remanufactured Product |
|---|---|---|
| Weichai Power Remanufacturing Co. Ltd. | Manufacturers | Diesel engine |
| Jinan Diesel Engine Co. Ltd. | Manufacturers | Diesel engine |
| Shanghai Diesel Engine Remanufacturing Co. Ltd. | Licensing Remanufacturing | Diesel engine |
| Yuchai Remanufacturing Services (Suzhou) Co. Ltd. | Manufacturers | Diesel engine |
| Wuxi Dahao Power Co. Ltd. | Manufacturers | Diesel engine |
| Shanghai Xingfu Rebuild Power train Co. Ltd. | Licensing Remanufacturing | Gasoline engine |
| Zhangjiagang Furui Special Equipment Co. Ltd. | Independent Remanufacturing | LNG engine |
| Shanghai Xinfumei Transmission Technology Service Co. Ltd. | Independent Remanufacturing | Automatic transmission |
| PICO (Changshu) Auto Motor Remanufacturer | Independent Remanufacturing | Starter, Alternator |
| Shanghai Bentuo Turbocharger System Co. Ltd. | Licensing Remanufacturing | Turbocharger |
| Caterpillar Remanufacturing Service (Shanghai) Co. Ltd. | Manufacturers | Fuel pump, Cylinder Cover, etc. |
| Kangyue Technology Co. Ltd. | Manufacturers | Turbocharger |
| Papers\Issues | Environmental Impact (Sustainability) | Customer Choice Behavior | Customer Environmental Awareness | Licensing | Other Types of Remanufacturing |
|---|---|---|---|---|---|
| Choi [23], Shen et al. [24], Shi et al. [27], Sinayi and Rasti-Barzoki [28], Banyai [30] | √ | ||||
| Toyasaki et al. [17], Hammond and Beullens [18], Atasu and Subramanian [20] | √ | ||||
| Huang and Wang [5], Huang and Wang [8], Hashiguchi [13], Oraiopoulos et al. [14] | √ | √ | |||
| Atasu and Van Wassenhove [19], Jacobs and Subramanian [21] | √ | √ | |||
| Dong et al. [25], Shi et al. [26] | √ | √ | |||
| Dobos [22] | √ | √ | |||
| Hong and Guo [29] | √ | √ | √ | ||
| Hong et al. [7], Ma et al. [9] | √ | √ | √ | ||
| Zou et al. [3], Niu and Zou [16] | √ | √ | √ | √ | |
| This paper | √ | √ | √ | √ | √ |
© 2019 by the authors. Licensee MDPI, Basel, Switzerland. This article is an open access article distributed under the terms and conditions of the Creative Commons Attribution (CC BY) license (http://creativecommons.org/licenses/by/4.0/).
Share and Cite
Zou, Z.; Wang, F.; Lai, X.; Hong, J. How Does Licensing Remanufacturing Affect the Supply Chain Considering Customer Environmental Awareness? Sustainability 2019, 11, 1898. https://doi.org/10.3390/su11071898
Zou Z, Wang F, Lai X, Hong J. How Does Licensing Remanufacturing Affect the Supply Chain Considering Customer Environmental Awareness? Sustainability. 2019; 11(7):1898. https://doi.org/10.3390/su11071898
Chicago/Turabian StyleZou, Zongbao, Fan Wang, Xiaofan Lai, and Jingxian Hong. 2019. "How Does Licensing Remanufacturing Affect the Supply Chain Considering Customer Environmental Awareness?" Sustainability 11, no. 7: 1898. https://doi.org/10.3390/su11071898
APA StyleZou, Z., Wang, F., Lai, X., & Hong, J. (2019). How Does Licensing Remanufacturing Affect the Supply Chain Considering Customer Environmental Awareness? Sustainability, 11(7), 1898. https://doi.org/10.3390/su11071898

