Variation of Greenhouse Gases Fluxes and Soil Properties with Addition of Biochar from Farm-Wastes in Volcanic and Non-Volcanic Soils
Abstract
1. Introduction
2. Materials and Methods
2.1. Soils
2.2. Feedstock
2.3. Pyrolysis Process
2.4. Chemical and Physical Characterization of Dry Manure and BCs
2.5. Incubation Experiments
2.6. Gas Emissions Measurement
2.7. Soil Organic Carbon Content
2.8. Biological Parameters
2.9. Statistical Analysis
3. Results and Discussion
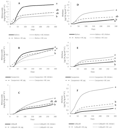
3.1. GHG Emissions
3.2. Soil Carbon Content and CO2-eq
3.3. pH
3.4. Microbial Biomass and Enzymatic Activity
3.5. Relation Between Parameters
4. Conclusions
Author Contributions
Funding
Acknowledgments
Conflicts of Interest
References
- Paustian, K.; Lehmann, J.; Ogle, S.; Reay, D.; Robertson, G.P.; Smith, P. Climate-smart soils. Nature 2016, 532, 49–57. [Google Scholar] [CrossRef] [PubMed]
 - Powlson, D.S.; Whitmore, A.P.; Goulding, K.W. Soil carbon sequestration to mitigate climate change: A critical re-examination to identify the true and the false. Eur. J. Soil Sci. 2011, 62, 42–55. [Google Scholar] [CrossRef]
 - Schmidt, H.P. European Biochar Certificate—Guidelines for a Sustainable Production of Biochar; Version 6.1 of 19 June 2015; European Biochar Foundation (EBC): Arbaz, Switzerland, 2012. [Google Scholar]
 - DeLuca, T.H.; Gundale, M.J.; MacKenzie, M.D.; Jones, D.L. Biochar effects on soil nutrient transformations. In Biochar for Environmental Management: Science, Technology and Implementation, 2nd ed.; Lehmann, J., Joseph, S., Eds.; Earths Can: London, UK, 2015; pp. 420–454. [Google Scholar]
 - Van Zwieten, L.; Kimber, S.; Morris, S.; Chan, K.Y.; Downie, A.; Rust, J.; Joseph, S.; Cowie, A. Effects of biochar from slow pyrolysis of papermill waste on agronomic performance and soil fertility. Plant Soil 2010, 327, 235–246. [Google Scholar] [CrossRef]
 - Houben, D.; Sonnet, P.; Cornelis, J.-T. Biochar from Miscanthus: A potential silicon fertilizer. Plant Soil 2014, 374, 871–882. [Google Scholar] [CrossRef]
 - Li, Z.; Delvaux, B.; Yans, J.; Dufour, N.; Houben, D.; Cornelis, J.-T. Phytolith-rich biochar increases cotton biomass and silicon-mineralomass in a highly weathered soil. J. Plant Nutr. Soil Sci. 2018, 181, 537–546. [Google Scholar] [CrossRef]
 - Laird, D.A.; Fleming, P.; Davis, D.D.; Horton, R.; Wang, B.; Karlen, D.L. Impact of biochar amendments on the quality of a typical Midwestern agricultural soil. Geoderma 2010, 158, 443–449. [Google Scholar] [CrossRef]
 - Masiello, C.A.; Dugan, B.; Brewer, C.E.; Spokas, K.A.; Novak, J.M.; Liu, Z.; Sorrenti, G. Biochar effects on soil hydrology. In Biochar for Environmental Management: Science, Technology and Implementation, 2nd ed.; Lehmann, J., Joseph, S., Eds.; Earths Can: London, UK, 2015; pp. 543–562. [Google Scholar]
 - Lehmann, J.; Abiven, S.; Kleber, M.; Pan, G.; Singh, B.P.; Sohi, S.P.; Zimmerman, A.R. Persistence of biochar in soil. In Biochar for Environmental Management: Science, Technology and Implementation, 2nd ed.; Lehmann, J., Joseph, S., Eds.; Earths Can: London, UK, 2015; pp. 235–274. [Google Scholar]
 - Cayuela, M.L.; Van Zwieten, L.; Singh, B.P.; Jeffery, S.; Roig, A.; Sánchez-Monedero, M.A. Biochar’s role in mitigating soil nitrous oxide emissions: A review and meta-analysis. Agric. Ecosyst. Environ. 2014, 191, 5–16. [Google Scholar] [CrossRef]
 - Cayuela, M.L.; Jeffery, S.; Van Zwieten, L. The molar H: Corg ratio of biochar is a key factor in mitigating N2O emissions from soil. Agric. Ecosyst. Environ. 2015, 202, 135–138. [Google Scholar] [CrossRef]
 - Gascó, G.; Paz-Ferreiro, J.; Cely, P.; Plaza, C.; Méndez, A. Influence of pig manure and its biochar on soil CO2 emissions and soil enzymes. Ecol. Eng. 2016, 95, 19–24. [Google Scholar] [CrossRef]
 - Wu, D.; Senbayram, M.; Zang, H.; Ugurlar, F.; Aydemir, S.; Brüggemann, N.; Blagodatskaya, E. Effect of biochar origin and soil pH on greenhouse gas emissions from sandy and clay soils. Appl. Soil Ecol. 2018, 129, 121–127. [Google Scholar] [CrossRef]
 - Wang, Z.; Zheng, H.; Luo, Y.; Deng, X.; Herbert, S.; Xing, B. Characterization and influence of biochars on nitrous oxide emission from agricultural soil. Environ. Pollut. 2013, 174, 289–296. [Google Scholar] [CrossRef] [PubMed]
 - Yang, X.; Meng, J.; Lan, Y.; Chen, W.; Yang, T.; Yuan, J.; Liu, S.; Han, J. Effects of maize stover and its biochar on soil CO2 emissions and labile organic carbon fractions in Northeast China. Agric. Ecosyst. Environ. 2017, 240, 24–31. [Google Scholar] [CrossRef]
 - Troy, S.M.; Lawlor, P.G.; O’ Flynn, C.J.; Healy, M.G. Impact of biochar addition to soil on greenhouse gas emissions following pig manure application. Soil Biol. Biochem. 2013, 60, 173–181. [Google Scholar] [CrossRef]
 - Muñoz, C.; Góngora, S.; Zagal, E. Use of biochar as a soil amendment: A brief review. Chil. J. Agric. Anim. Sci. Agro-Cien. 2016, 32, 37–47. [Google Scholar]
 - Pokharel, P.; Kwak, J.H.; Ok, Y.S.; Chang, S.X. Pine sawdust biochar reduces GHG emission by decreasing microbial and enzyme activities in forest and grassland soils in a laboratory experiment. Sci. Total Environ. 2018, 625, 1247–1256. [Google Scholar] [CrossRef]
 - Song, X.; Pan, G.; Zhang, C.; Zhang, L.; Wang, H. Effects of biochar application on fluxes of three biogenic greenhouse gases: A meta-analysis. Ecosyst. Health Sustain. 2016, 2, e01202. [Google Scholar] [CrossRef]
 - He, Y.; Zhou, X.; Jiang, L.; Li, M.; Du, Z.; Zhou, G.; Shao, J.; Wang, X.; Xu, Z.; Hosseini Bai, S.; et al. Effects of biochar application on soil greenhouse gas fluxes: A meta-analysis. GCB Bioenergy 2017, 9, 743–755. [Google Scholar] [CrossRef]
 - Padarian, J.; Minasny, B.; Mcbratney, A.B. Chile and the Chilean soil grid: A contribution to Global Soil Map. Geoderma Reg. 2017, 9, 17–28. [Google Scholar] [CrossRef]
 - Besoain, E. Los suelos volcánicos. In Suelos Volcánicos de Chile; Tosso, J., Ed.; Instituto de Investigaciones Agropecuarias (INIA): Providencia, Chile, 1985; pp. 25–106. [Google Scholar]
 - Doetterl, S.; Stevens, A.; Six, J.; Merckx, R.; Van Oost, K.; Casanova-Pinto, M.; Casanova-Katny, A.; Muñoz, C.; Boudin, M.; Zagal, E.; et al. Soil carbon storage controlled by interactions between geochemistry and climate. Nat. Geosci. 2015, 8, 780–783. [Google Scholar] [CrossRef]
 - Muñoz, C.; Cruz, B.; Rojo, F.; Campos, J.; Casanova, M.; Doetterl, S.; Boeckx, P.; Zagal, E. Temperature sensitivity of carbon decomposition in soil aggregates along a climatic gradient. J. Soil Sci. Plant Nutr. 2016, 16, 461–476. [Google Scholar] [CrossRef]
 - Stolpe, N. Descripciones de los Principales suelos de la VIII Región de Chile; Publications of Department of Soils and Natural Resources, Faculty of Agronomy, Universidad de Concepción: Chillán, Chile, 2006. [Google Scholar]
 - Wang, T.; Camps-Arbestain, M.; Hedley, M.; Singh, B.P.; Calvelo Pereira, R.; Wang, C. Determination of carbonate-C in biochar. Soil Res. 2014, 52, 495–504. [Google Scholar] [CrossRef]
 - Calvelo Pereira, R.; Camps-Arbestain, M.; Wang, T.; Enders, A. Inorganic carbon. In Biochar: A Guide to Analytical Methods, 1st ed.; Singh, B., Camps-Arbestain, M., Lehmann, J., Eds.; Csiro Publishing: Boca Raton, FL, USA; London, UK; New York, NY, USA, 2017; pp. 51–63. [Google Scholar]
 - Camps-Arbestain, M.; Amonette, J.E.; Singh, B.; Wang, T.; Schmidt, H.P. A Biochar classification system and associated test methods. In Biochar for Environmental Management: Science, Technology and Implementation, 2nd ed.; Lehmann, J., Joseph, S., Eds.; Earths Can: London, UK, 2015; pp. 165–193. [Google Scholar]
 - Sadzawka, A.; Carrasco, M.A.; Grez, R.; Mora, M.L. Métodos de Análisis de Compost; Serie Actas Inia No 30; Instituto de Investigaciones Agropecuarias: Santiago, Chile, 2005; 142p. [Google Scholar]
 - Cheng, C.-H.; Lehmann, J.; Thies, J.E.; Burton, S.D.; Engelhard, M.H. Oxidation of black carbon by biotic and abiotic processes. Org. Geochem. 2006, 37, 1477–1488. [Google Scholar] [CrossRef]
 - Cheng, C.-H.; Lehmann, J.; Thies, J.E.; Burton, S.D. Stability of black carbon in soils across a climatic gradient. J. Geophys. Res. Biogeosci. 2008, 113, G02027. [Google Scholar] [CrossRef]
 - Muñoz, C.; Quilodrán, C.; Navia, R. Evaluation of biochar-plant extracts complexes on soil nitrogen dynamics. J. Biobased Mater. Bioenergy 2014, 8, 377–385. [Google Scholar] [CrossRef]
 - IPCC. Climate Change 2007: The Physical Science Basis. Summary for Policymakers. Contribution of Working Group I to the Fourth Assessment Report of the Intergovernmental Panel on Climate Change (IPCC); Solomon, S., Qin, D., Manning, M., Chen, Z., Marquis, M., Averyt, K.B., Tignor, M., Miller, H.L., Eds.; Cambridge University Press: Cambridge, UK, 2007; pp. 1–18. [Google Scholar]
 - Alef, K.; Nannipieri, P. (Eds.) Methods in Applied Soil Microbiology and Biochemistry; Academic Press: London, UK, 1995. [Google Scholar]
 - Sastre-Conde, I.; Lobo, M.C. Técnicas de Análisis de Parámetros Bioquímicos en Suelos: Medida de Actividades Enzimáticas y Biomasa Microbiana; García, C., Gil, F., Hernández, T., Trasar, C., Eds.; Ediciones Mundi-Prensa: Madrid, España, 2003; pp. 123–147. [Google Scholar]
 - Eivazi, F.; Tabatabai, M. Glucosidases and galactosidases in soils. Soil Biol. Biochem. 1988, 20, 601–606. [Google Scholar] [CrossRef]
 - Mahibbur, R.M.; Govindarajulu, Z. A modification of the test of Shapiro and Wilks for normality. J. Appl. Stat. 1997, 24, 219–235. [Google Scholar]
 - Di Rienzo, J.A.; Casanoves, F.; Balzarini, M.G.; Gonzalez, L.; Tablada, M.; Robledo, C.W. InfoStat, versión 2008; Grupo InfoStat, FCA, Universidad Nacional de Córdoba: Córdoba, Argentina, 2008.
 - IBI. Standardized Products Definition and Product Testing Guidelines for Biochar that Is Used in Soil. International Biochar Initiative. 2012. Available online: www.biochar-international.org (accessed on 15 March 2019).
 - Song, W.; Guo, M. Quality variations of poultry litter biochar generated at different pyrolysis temperatures. J. Anal. Appl. Pyrolysis 2012, 94, 138–145. [Google Scholar] [CrossRef]
 - Lehmann, J.; Czimczik, C.; Laird, D.; Sohi, S. Stability of Biochar in Soil. In Biochar for Environmental Management: Science and Technology; Lehmann, J., Joseph, S., Eds.; Earths Can: London, UK, 2009; pp. 183–205. [Google Scholar]
 - Šlapáková, B.; Jeřábková, J.; Voříšek, K.; Tejnecký, V.; Drábek, O. The biochar effect on soil respiration and nitrification. Plant Soil Environ. 2018, 64, 114–119. [Google Scholar] [CrossRef]
 - Sheng, Y.; Zhu, L. Biochar alters microbial community and carbon sequestration potential across different soil pH. Sci. Total Environ. 2018, 622–623, 1391–1399. [Google Scholar] [CrossRef] [PubMed]
 - Reay, D.; Hewitt, C.N.; Smith, K.; Grace, J. (Eds.) Greenhouse Gas Sinks; CAB International: Wallingford, UK, 2007; 290p. [Google Scholar]
 - Jugold, A.; Althoff, F.; Hurkuck, M.; Greule, M.; Lenhart, K.; Lelieveld, J.; Keppler, F. Non-microbial methane formation in oxic soils. Biogeosciences 2012, 9, 5291–5301. [Google Scholar] [CrossRef]
 - Serrano-Silva, N.; Sarria-Guzmán, Y.; Dendooven, L.; Luna-Guido, M. Methanogenesis and Methanotrophy in Soil: A Review. Pedosphere 2014, 24, 291–307. [Google Scholar] [CrossRef]
 - Navarro Blaya, S.; Navarro García, G. (Eds.) Química Agrícola. El Suelo y los Elementos Químicos Esenciales Para la Vida Vegetal; Mundi-Prensa: Madrid, España, 2003; pp. 183–217. [Google Scholar]
 - Gregorutti, C.C.; Caviglia, O.P. Nitrous oxide emission after the addition of organic residues on soil surface. Agric. Ecosyst. Environ. 2017, 246, 234–242. [Google Scholar] [CrossRef]
 - Yue, Q.; Ledo, A.; Cheng, K.; Albanito, F.; Lebender, U.; Sapkota, T.B.; Hillier, J. Re-assessing nitrous oxide emissions from croplands across Mainland China. Agric. Ecosyst. Environ. 2018, 268, 70–78. [Google Scholar] [CrossRef]
 - Millar, N.; Urrea, A.; Kahmark, K.; Shcherbak, I.; Robertson, G.P.; Ortiz-monasterio, I. Nitrous oxide (N2O) flux responds exponentially to nitrogen fertilizer in irrigated wheat in the Yaqui Valley, Mexico. Agric. Ecosyst. Environ. 2018, 261, 125–132. [Google Scholar] [CrossRef]
 - Muñoz, C.; Saggar, S.; Berben, P.; Giltrap, D.; Jha, N. Influence of waiting time after insertion of base chamber. Chil. J. Agric. Res. 2011, 71, 610–614. [Google Scholar] [CrossRef]
 - Chan, K.Y.; Xu, Z. Biochar: Nutrient Properties and Their Enhancement. In Biochar for Environmental Management: Science and Technology; Lehmann, J., Joseph, S., Eds.; Earths Can: London, UK, 2009; pp. 67–84. [Google Scholar]
 - Jeffery, S.; Verheijen, F.G.A.; Kammann, C.; Abalos, D. Biochar effects on methane emissions from soils: A meta-analysis. Soil Biol. Biochem. 2016, 101, 251–258. [Google Scholar] [CrossRef]
 - He, X.; Yin, H.; Sun, X.; Han, L.; Huang, G. Effect of different particle-size biochar on methane emissions during pig manure/wheat straw aerobic composting: Insights into pore characterization and microbial mechanisms. Bioresour. Technol. 2018, 268, 633–637. [Google Scholar] [CrossRef]
 - Genesio, L.; Vaccari, F.P.; Miglietta, F. Black carbon aerosol from biochar threats its negative emission potential. Global Chang. Biol. 2016, 22, 2313–2314. [Google Scholar] [CrossRef] [PubMed]
 - Maienza, A.; Genesio, L.; Acciai, M.; Miglietta, F.; Pusceddu, E.; Vaccari, F.P. Impact of Biochar Formulation on the Release of Particulate Matter and on Short-Term Agronomic Performance. Sustainability 2017, 9, 1131. [Google Scholar] [CrossRef]
 - Van Zwieten, L.; Kimber, S.; Morris, S.; Downie, A.; Berger, E.; Rust, J.; Scheer, C. Influence of biochars on flux of N2O and CO2 from Ferrosol. Aust. J. Soil Res. 2010, 48, 555–568. [Google Scholar] [CrossRef]
 - Lammirato, C.; Miltner, A.; Kaestner, M. Effects of wood char and activated carbon on the hydrolysis of cellobiose by b-glucosidase from Aspergillusniger. Soil Biol. Biochem. 2011, 43, 1936–1942. [Google Scholar] [CrossRef]
 - Teutscherova, N.; Lojka, B.; Houška, J.; Masaguer, A.; Benito, M.; Vazquez, E. Application of holm oak biochar alters dynamics of enzymatic and microbial activity in two contrasting Mediterranean soils. Eur. J. Soil Biol. 2018, 88, 15–26. [Google Scholar] [CrossRef]
 


| Soils | Climate | Soil Taxonomy | Parental Material | Clay Content (%) | 
|---|---|---|---|---|
| Bulnes | Mediterranean humid | Thermic Duric Argixerolls 1 | Ancient volcanic ash, evolved on a fluvio glacial substrate, highly decomposed, with the presence of grave. 1 | 29.2 | 
| Cauquenes | Mediterranean arid | Fine, mixed, active, mesic, Ultic Palexeralfs 1 | Granite and/or granodiorite 1 | 39.0 | 
| Collipulli | Mediterranean humid | Very fine, halloysitic, mesic Xeric Paleumults 1 | Old ash volcanic 1 | 45.7 | 
| Soils | Total C (%) | Total N  (%)  | pH | SB  (cmol kg−1) 1  | Olsen P  (mg kg−1)  | Al Sat.  (%) 2  | 
|---|---|---|---|---|---|---|
| Bulnes | 2.84 | 0.25 | 5.4 | 7.93 | 7.4 | 0.07 | 
| Cauquenes | 1.45 | 0.13 | 5.7 | 3.93 | 3.9 | 0.14 | 
| Collipulli | 2.80 | 0.17 | 5.4 | 8.51 | 21 | 1.05 | 
| Materials | Total C (%) | Total N (%) | C/N Ratio | Corg | H/Corg Ratio 1 | pH | Nitrate  (mg kg−1)  | Ammonium  (mg kg−1)  | Total P (%) | Total K (%) | 
|---|---|---|---|---|---|---|---|---|---|---|
| Chicken manure | 16.2 | 1.2 | 14 | -- | -- | 8.7 | 612.9 | 157.3 | 4.83 | 1.37 | 
| Pig manure | 40.7 | 1.8 | 23 | -- | -- | 7.39 | 134 | 1739.1 | 2.33 | 1.09 | 
| Cow manure | 40.5 | 1.2 | 34 | -- | -- | 8.21 | 47.3 | 101.4 | 0.43 | 0.6 | 
| BC-chicken | 11.5 | 0.6 | 19 | 6.84 | 0.07 | 10.5 | 2.27 | 9.6 | 2.26 | 1.34 | 
| BC-pig | 43.6 | 1.8 | 24 | 42.28 | 0.32 | 10.0 | 2.07 | 2.9 | 2.05 | 2.27 | 
| BC-cow | 38.0 | 1.4 | 27 | 36.96 | 0.28 | 10.7 | 3.53 | 5.1 | 0.39 | 1.14 | 
| Treatments | Time of Incubation (Months) | C Stock  (t ha−1)  | CO2-eq  (kg ha−1y−1)  | |||
|---|---|---|---|---|---|---|
| 0 | 4 | 10 | ||||
| Bulnes | Control | 2.84b | 2.66c | 2.72c | 35.36 | 2144.93a | 
| + BC-chicken | 2.91b | 2.80bc | 2.66d | 34.52 | 1110.69a | |
| + BC-pig | 3.27ab | 3.26a | 3.16a | 41.08 | 1398.52a | |
| + BC-cow | 3.41a | 3.23ab | 3.08b | 40.04 | 1357.63a | |
| Cauquenes | Control | 1.45b | 1.51b | 1.39b | 20.16 | 565.15ab | 
| + BC-chicken | 1.60ab | 1.56b | 1.52ab | 22.04 | 618.07a | |
| + BC-pig | 1.97a | 1.83ab | 1.81a | 26.25 | 569.97a | |
| + BC-cow | 1.99a | 2.06a | 1.81a | 26.25 | 422.49b | |
| Collipulli | Control | 2.80b | 2.33b | 2.57b | 36.49 | 312.87b | 
| + BC-chicken | 2.91b | 2.79ab | 2.66b | 37.70 | 497.36a | |
| + BC-pig | 3.27a | 3.25a | 3.11a | 44.09 | 323.14b | |
| + BC-cow | 3.31a | 3.23ab | 3.15a | 44.66 | 333.92b | |
| Treatments | pH | Microbial Biomass | B-Glucosidase | Urease Activity | |
|---|---|---|---|---|---|
| (µg fluorescein g dry soil−1) | (μmol PNF g dry soil−1 h−1) | (μg N-NH3 g−1 h−1) | |||
| Bulnes soil | Control | 5.18d | 9.13a | 2.11a | 47.20a | 
| + BC-chicken | 6.30a | 6.45c | 1.44b | 43.05b | |
| + BC-pig | 6.02b | 7.12bc | 1.57b | 30.64c | |
| + BC-cow | 5.35c | 7.95b | 1.27c | 23.21d | |
| Cauquenes soil | Control | 5.33d | 3.70a | 2.16a | 15.75c | 
| + BC-chicken | 7.06a | 3.16a | 1.49bc | 19.94b | |
| + BC-pig | 6.79b | 3.11a | 1.55b | 25.18a | |
| + BC-cow | 6.33c | 3.18a | 1.35c | 21.40b | |
| Collipulli soil | Control | 5.94c | 4.58b | 1.15a | 6.24c | 
| + BC-chicken | 6.71a | 4.69b | 0.75b | 6.22c | |
| + BC-pig | 6.56a | 9.33a | 1.12a | 14.69a | |
| + BC-cow | 6.37b | 8.02a | 0.88b | 13.24b | |
| Parameter | CO2 Emission | N2O Emission | CH4 Emission | pH | Total C | Total N | MB ** | β-Glucosidase Activity | Urease Activity | 
|---|---|---|---|---|---|---|---|---|---|
| CO2 emission | 1.00 | ||||||||
| N2O emission | 0.52 * | 1.00 | |||||||
| CH4 emission | 0.43 * | −0.10 | 1.00 | ||||||
| pH | 0.01 | −0.57 * | 0.50 * | 1.00 | |||||
| Total C | 0.16 | 0.30 | 0.10 | −0.18 | 1.00 | ||||
| Total N | 0.59 * | 0.72 * | 0.10 | −0.40 * | 0.78 * | 1.00 | |||
| MB ** | 0.04 | 0.49 * | −0.12 | −0.38 * | 0.83 * | 0.77 * | 1.00 | ||
| β-glucosidase activity | 0.11 | 0.52 * | −0.43 * | −0.54 * | −0.44 * | 0.06 | −0.06 | 1.00 | |
| Urease activity | 0.59 * | 0.73 * | −0.10 | −0.33 * | 0.09 | 0.65 * | 0.32 * | 0.60 * | 1.00 | 
© 2019 by the authors. Licensee MDPI, Basel, Switzerland. This article is an open access article distributed under the terms and conditions of the Creative Commons Attribution (CC BY) license (http://creativecommons.org/licenses/by/4.0/).
Share and Cite
Muñoz, C.; Ginebra, M.; Zagal, E. Variation of Greenhouse Gases Fluxes and Soil Properties with Addition of Biochar from Farm-Wastes in Volcanic and Non-Volcanic Soils. Sustainability 2019, 11, 1831. https://doi.org/10.3390/su11071831
Muñoz C, Ginebra M, Zagal E. Variation of Greenhouse Gases Fluxes and Soil Properties with Addition of Biochar from Farm-Wastes in Volcanic and Non-Volcanic Soils. Sustainability. 2019; 11(7):1831. https://doi.org/10.3390/su11071831
Chicago/Turabian StyleMuñoz, Cristina, Milagros Ginebra, and Erick Zagal. 2019. "Variation of Greenhouse Gases Fluxes and Soil Properties with Addition of Biochar from Farm-Wastes in Volcanic and Non-Volcanic Soils" Sustainability 11, no. 7: 1831. https://doi.org/10.3390/su11071831
APA StyleMuñoz, C., Ginebra, M., & Zagal, E. (2019). Variation of Greenhouse Gases Fluxes and Soil Properties with Addition of Biochar from Farm-Wastes in Volcanic and Non-Volcanic Soils. Sustainability, 11(7), 1831. https://doi.org/10.3390/su11071831
        