Options for Sustainable Intensification of Maize Production in Ethiopia
Abstract
1. Introduction
2. Materials and Methods
2.1. Study Area and Simulation Units
2.2. Model Setup and Description
2.3. Dataset for Maize Model Calibration
2.4. Dataset for Groundnut Model Calibration
2.5. Statistical Tools Used
- The mean relative error (MR) as
- The mean residual error (ME) aswhere n is the sample number, x is the observed, and y is the simulated value. A value of 0 for ME indicates no systematic bias between the simulated and measured values. The MR gives an indication of the mean magnitude of the error in relation to the observed value. Small values indicate little difference between the simulated and measured values.
- Root mean square error (RMSE) aswhere Si is the simulated yield, Oi is the observed yield, and n is the total number of observations.
2.6. Datasets Used at the National Level
2.6.1. Climate and Soil Data
2.6.2. Crop Yield and Fertilizer Application Data
2.7. Intensification Scenarios
3. Results
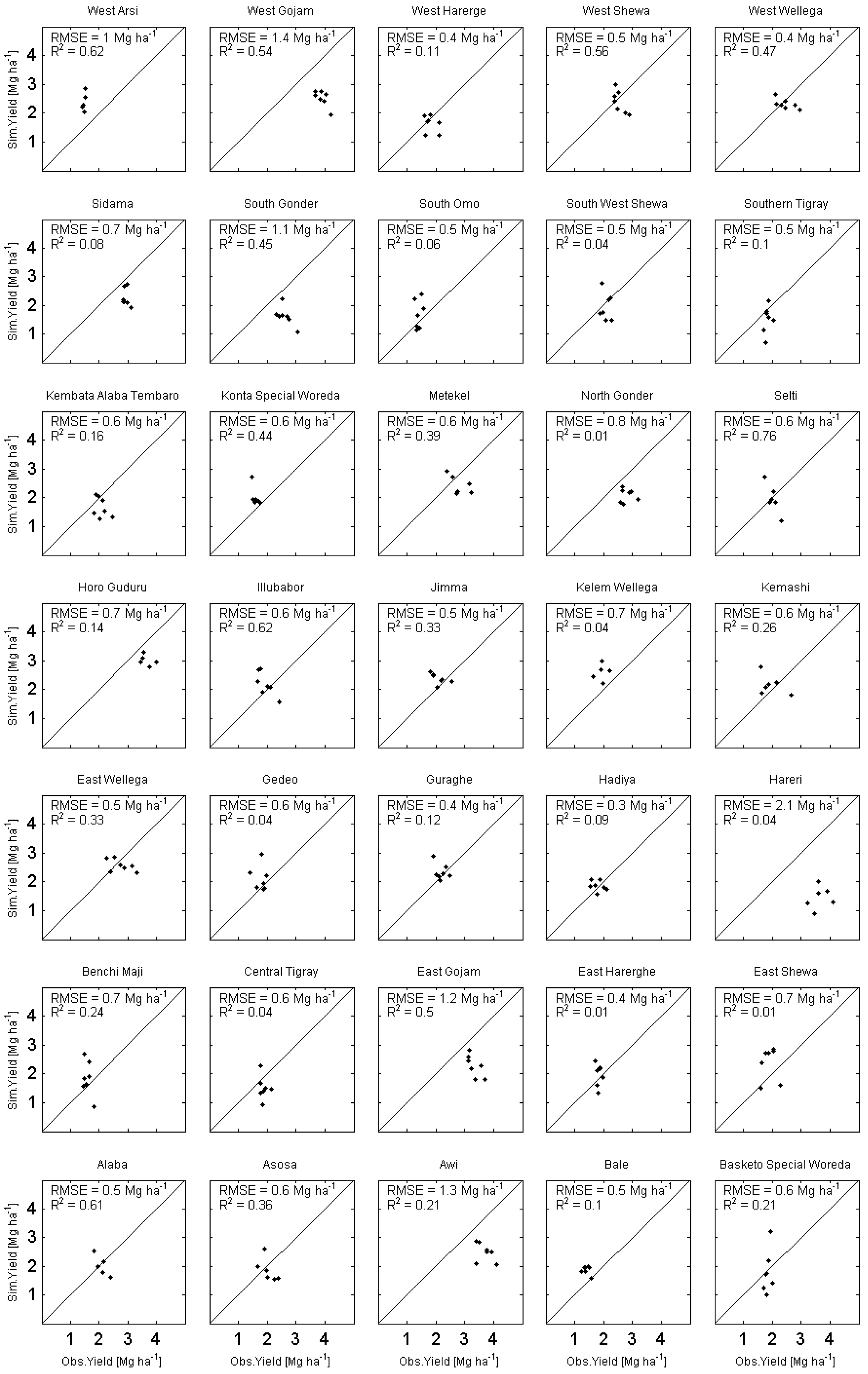
3.1. Model Calibration and Evaluation
3.2. Effects of Integrating Crop Residue and Mineral Fertilizer into the Cropping System
3.3. Effect of Management Scenarios on Nitrogen Uptake
3.4. Economic Profitability Calculations
4. Discussion
5. Conclusions
Author Contributions
Funding
Acknowledgments
Conflicts of Interest
Appendix A
| Description | |
|---|---|
| Production cost (Birr per ha) | 6625.26 |
| Labor cost (Birr per ha) | 6093.7 |
| Wage rate (Birr per day) | 31.17 |
| Total labor day (per ha) | 195.5 |
| Seed cost (Birr per ha) | 531.56 |
| Quantity of seed (Kg per ha) | 58.03 |
| Seed price (Birr per Kg) | 9.16 |
| Fertilizer cost (Birr per ha) | 0 |
| Quantity Fertilizer (Kg per ha) | 0 |
| Pesticide + herbicide cost (Birr per ha) | 0 |
| Quantity of pesticide + herbicide (Kg per ha) | 0 |
| Total revenue (Birr per ha) | 14909.732 |
| Price (Birr per Mg) | 9160 |
| Quantity of output (Mg per ha) | 1.628 |
| Total transportation cost (Birr per ha) | 472.12 |
| Quantity of output (Mg per ha) | 1.6277 |
| Transportation cost (Birr per Mg) | 290 |
| Gross economic profit (GEP) (Birr per ha) | 7812.35 |
| Sites | Depth (cm) | OC (%) | Sand (%) | Silt (%) | Clay (%) |
|---|---|---|---|---|---|
| Jimma | 0–5 | 2.0 | 30.0 | 31.0 | 39.0 |
| 5–40 | 1.5 | 15.5 | 14.5 | 71.0 | |
| 40–70 | 1.0 | 15.0 | 9.0 | 76.0 | |
| 70–110 | 0.8 | 15.0 | 6.5 | 78.0 | |
| 110–200 | 0.6 | 17.5 | 6.5 | 76.0 | |
| Bambey | 0–10 | 0.2 | 95.0 | 1.5 | 2.8 |
| 10–20 | 0.1 | 92.7 | 1.7 | 3.8 | |
| 20–30 | 0.1 | 91.8 | 1.6 | 5.1 | |
| 30–40 | 0.2 | 91.2 | 1.7 | 6.2 | |
| 40–50 | 0.3 | 89.9 | 1.8 | 7.0 | |
| 50–60 | 0.1 | 89.7 | 1.7 | 7.2 | |
| 60–70 | 0.1 | 91.5 | 2.2 | 6.5 | |
| 70–80 | 0.1 | 91.1 | 2.6 | 6.2 | |
| 80–90 | 0.1 | 90.4 | 2.0 | 6.1 | |
| 90–100 | 0.1 | 87.6 | 1.3 | 5.9 | |
| Nioro | 0–10 | 0.5 | 92.8 | 4.3 | 4.5 |
| 10–20 | 0.4 | 88.7 | 9.7 | 3.2 | |
| 20–30 | 0.4 | 86.5 | 10.3 | 3.4 | |
| 30–40 | 0.4 | 86.6 | 9.2 | 3.1 | |
| 40–50 | 0.3 | 84.3 | 12.0 | 4.0 | |
| 50–60 | 0.2 | 80.7 | 13.9 | 4.6 | |
| 60–70 | 0.2 | 77.6 | 3.6 | 18.4 | |
| 70–80 | 0.2 | 74.0 | 4.1 | 21.4 | |
| 80–90 | 0.2 | 73.1 | 11.0 | 14.8 | |
| 90–100 | 0.2 | 72.5 | 4.3 | 23.9 |
| FP | CI | FP + Rotation | CI + Rotation | |||||
|---|---|---|---|---|---|---|---|---|
| MF1 - CR | MF1 + CR | MF2 - CR | MF2 + CR | MF1 - CR | MF1 + CR | MF2 - CR | MF2 + CR | |
| CAWT (mm) | 23.7 | 26.0 | 31.7 | 33.6 | 14.3 | 20.6 | 22.3 | 25.6 |
References
- Van Ittersum, M.K.; van Bussel, L.G.J.; Wolf, J.; Grassini, P.; van Wart, J.; Guilpart, N.; Claessens, L.; de Groot, H.; Wiebe, K.; Mason-D’Croz, D.; et al. Can sub-Saharan Africa feed itself? Proc. Natl. Acad. Sci. USA 2016, 113, 14964–14969. [Google Scholar] [CrossRef] [PubMed]
- Folberth, C.; Yang, H.; Gaiser, T.; Abbaspour, K.C.; Schulin, R. Modeling maize yield responses to improvement in nutrient, water and cultivar inputs in sub-Saharan Africa. Agric. Syst. 2013, 119, 22–34. [Google Scholar] [CrossRef]
- Akinnifesi, F.K.; Ajayi, O.C.; Sileshi, G.; Chirwa, P.W.; Chianu, J. Fertiliser trees for sustainable food security in the maize-based production systems of East and Southern Africa. A review. Agron. Sustain. Dev. 2010, 30, 615–629. [Google Scholar] [CrossRef]
- Sanginga, N. Role of biological nitrogen fixation in legume based cropping systems; a case study of West Africa farming systems. Plant Soil 2003, 252, 25–39. [Google Scholar] [CrossRef]
- Van Oort, P.A.J.; Saito, K.; Tanaka, A.; Assagba-Amovin, E.; Van Bussel, L.G.J.; van Wart, J.; de Groot, H.; van Ittersum, M.K.; Cassman, K.G.; Wopereis, M.C.S. Assessment of rice-sufficiency in 2025 in eight African countries. Glob. Food Secur. 2015, 5, 39–49. [Google Scholar] [CrossRef]
- Hall, A.J.; Richards, R.A. Prognosis for genetic improvement of yield potential and water-limited yield of major grain crops. Field Crop Res. 2013, 143, 18–33. [Google Scholar] [CrossRef]
- Bouwman, L.; Goldewijk, K.K.; van Der Hoek, K.W.; Beusen, A.H.W.; van Vuuren, D.P.; Willems, J.; Rufino, M.C.; Stehfest, E. Exploring global changes in nitrogen and phosphorus cycles in agriculture induced b livestock production over the 1900–2050 period. Proc. Natl. Acad. Sci. USA 2013, 110, 20882–20887. [Google Scholar] [CrossRef]
- Vanlauwe, B.; Bationo, A.; Chianu, J.; Giller, K.E.; Merckx, R.; Mokwunye, U.; Ohiokpehai, O.; Pypers, P.; Tabo, R.; Shepherd, K.; et al. Integrated soil fertility management: Operational definition and consequences for implementation and dissemination. Outlook Agric. 2010, 39, 17–24. [Google Scholar] [CrossRef]
- Reckling, M.; Hecker, J.-M.; Bergkvist, G.; Watson, C.; Zander, P.; Stoddard, F. A cropping system assessment framework—Evaluating effects of introducing legumes into crop rotations. Eur. J. Agron. 2016, 76, 186–197. [Google Scholar] [CrossRef]
- Chen, X.; Cui, Z.; Fan, M.; Vitousek, P.; Zhao, M.; Ma, W.; Wang, Z.; Zhang, W.; Yan, X.; Yang, J. Producing more grain with lower environmental costs. Nature 2014, 514, 486–489. [Google Scholar] [CrossRef] [PubMed]
- Franke, A.C.; van den Brand, G.J.; Vanlauwe, B.; Giller, K.E. Sustainable intensification through rotations with grain legumes in Sub-Saharan Africa: A review. Agric. Ecosyst. Environ. 2018, 261, 172–185. [Google Scholar] [CrossRef] [PubMed]
- Crawford, E.W.; Jayne, T.S.; Kelly, V.A. Alternative Approaches for Promoting Fertilizer Use in Africa. In Agriculture and Rural Development Discussion Paper 22; The World Bank: Washington, DC, USA, 2006. [Google Scholar]
- Sanchez, P. Tripling crop yields in tropical Africa. Nat. Geosci. 2010, 3, 299–300. [Google Scholar] [CrossRef]
- Palm, C.A.; Smukler, S.M.; Sullivan, C.C.; Mutuo, P.K.; Nyadzia, G.I.; Walsh, M.G. Identifying potential synergies and trade-offs for meeting food security and climate change objectives in Sub-Saharan Africa. Proc. Natl. Acad. Sci. USA 2010, 107, 19661–19666. [Google Scholar] [CrossRef] [PubMed]
- World Bank Group. Available online: https://data.worldbank.org/indicator/AG.LND.ARBL.ZS?view=chart (accessed on 20 March 2019).
- Regassa, S.; Givey, C.; Castillo, G.E. The Rain Doesn’t Come on Time Anymore: Poverty, Vulnerability, and Climate Variability in Ethiopia. Oxfam Policy Pract. 2010, 6, 90–134. [Google Scholar]
- Srivastava, A.K.; Mboh, C.M.; Gaiser, T.; Zhao, G.; Ewert, F. Climate change impact under alternate realizations of climate scenarios on maize yield and biomass in Ghana. Agric. Syst. 2017. [Google Scholar] [CrossRef]
- Trawally, D.; Webber, H.; Agyare, W.A.; Fosu, M.; Naab, J.; Gaiser, T. Effect of heat stress on two maize varieties under irrigation in Northern Region of Ghana. Int. J. Biol. Chem. Sci. 2015, 9, 1571–1587. [Google Scholar]
- Eyshi Rezaei, E.; Siebert, S.; Ewert, F. Impact of data resolution on heat and drought stress simulated for winter wheat in Germany. Eur. J. Agron. 2015, 65, 69–82. [Google Scholar] [CrossRef]
- Zhao, G.; Webber, H.; Hoffmann, H.; Wolf, J.; Siebert, S.; Ewert, F. The implication of irrigation in climate change impact assessment: A European wide study. Glob. Chang. Biol. 2015, 21, 4031–4048. [Google Scholar] [CrossRef] [PubMed]
- Faye, B.; Webber, H.; Diop, M.; Mbaye, M.; Owusu-Sekyere, J.D.; Naab, J.B.; Gaiser, T. Potential impact of climate change on peanut yield in Senegal, West Africa. Field Crops Res. 2018, 219, 148–159. [Google Scholar] [CrossRef]
- Yin, X.G.; Kersebaum, K.C.; Kollas, C.; Manevski, K.; Baby, S.; Beaudoin, N.; Ozturk, I.; Gaiser, T.; Wu, L.H.; Hoffmann, M.; et al. Performance of process-based models for simulation of grain N in crop rotations across Europe. Agric. Syst. 2017, 154, 63–77. [Google Scholar] [CrossRef]
- Kollas, C.; Kersebaum, K.C.; Nendel, C.; Manevski, K.; Nüller, C.; Palosuo, T.; Armas-Herrera, C.M.; Beaudoin, N.; Bindi, M.; Charfeddine, M.; et al. Crop rotation modelling—A European model intercomparison. Eur. J. Agron. 2015, 70, 98–111. [Google Scholar] [CrossRef]
- Wolf, J. User Guide for LINTUL5: Simple Generic Model for Simulation of Crop Growth under Potential, Water Limited and Nitrogen, Phosphorus and Potassium Limited Conditions; Wageningen University: Wageningen, The Netherlands, 2012; pp. 1–63. [Google Scholar]
- Allen, R.G.; Pereira, L.S.; Raes, D.; Smith, M. Crop Evapotranspiration: Guidelines for Computing Crop Water Requirements; Irrigation & Drainage Paper 56; FAO: Rome, Italy, 1998; p. 301. [Google Scholar]
- Corbeels, M.; Mcmurtrie, R.E.; Pepper, D.; O’Connell, A.M. A process-based model of nitrogen cycling in forest plantations: Part I. Structure, calibration and analysis of the decomposition model. Ecol. Model. 2015, 187, 426–448. [Google Scholar] [CrossRef]
- Jaleta, M.; Yirga, C.; Kassie, M.; de Groote, H.; Shiferaw, B. Knowledge, Adoption and Use Intensity of Improved Maize Technologies in Ethiopia. In Proceedings of the 4th International Conference of the African Association of Agricultural Economists, Hammamet, Tunisia, 22–25 September 2013. [Google Scholar]
- Faye, B.; Webber, H.; Gaiser, T.; Diop, M.; Owusu-Sekyere, J.D.; Naab, J.B. Effects of fertilization rate and water availability on peanut growth and yield in Senegal (West Africa). J. Sustain. Dev. 2016, 9, 111–131. [Google Scholar] [CrossRef]
- Boote, K.J. Growth stages of peanut (Arachis hypogaea L.). Peanut Sci. 1982, 9, 35–49. [Google Scholar] [CrossRef]
- Meier, U. (Ed.) Stades Phénologiques des mono-et Dicotylédones Cultivées BBCH Monographie, 2nd ed. Available online: http://www.iki.bund.de/fileadmin/dam uploads/ veroeff/bbch/BBCH-Skala_franz%C3%B6sisch. (accessed on 20 March 2019).
- Papula, A. Mathematik fur Chemiker, 2nd ed.; Enke-Verlag: Stuttgart, Germany, 1982; p. 405. [Google Scholar]
- Ruane, A.C.; Goldberg, R.; Chryssanthacopoulos, J. AgMIP climate forcing datasets for agricultural modeling: Merged products for gap-filling and historical climate series estimation. Agric. For. Meteorol. 2015, 200, 233–248. [Google Scholar] [CrossRef]
- Rienecker, M.M.; Suarez, M.J.; Gelaro, R.; Todling, R.; Bacmeister, J.; Liu, E.; Bosilovich, M.G.; Schubert, S.D.; Takacs, L.; Kim, G.K.; et al. MERRA: NASA’s Modern-Era Retrospective Analysis for Research and Applications. J. Clim. 2011, 24, 3624–3648. [Google Scholar] [CrossRef]
- Saha, S.; Moorthi, S.; Pan, H.L.; Wu, X.; Wang, J.; Nadiga, S.; Tripp, P.; Kistler, R.; Woollen, J.; Behringer, D.; et al. The NCEP Climate Forecast System Reanalysis. Bull. Am. Meteorol. Soc. 2010, 91, 1015–1057. [Google Scholar] [CrossRef]
- Rawls, W.J.; Ahuja, L.R.; Maidment, D.R. Handbook of Hydrology; McGraw-Hill: New York, NY, USA, 1993; p. 1442. [Google Scholar]
- Chala, A.; Mohammed, A.; Ayalew, A.; Skinnes, H. Natural occurrence of aflatoxins in groundnut (Arachis hypogaea L.) from eastern Ethiopia. Food Control 2013, 30, 602–605. [Google Scholar] [CrossRef]
- Smart, M.G.; Shotwell, O.L.; Caldwell, R.W. Pathogenesis in Aspergillus ear rot of maize: Aflatoxin B1 levels in grains around wound inoculation sites. Phytopatology 1994, 80, 1283–1286. [Google Scholar] [CrossRef]
- Ethiopia Socioeconomic Survey (ESS). World Bank Ethiopia Socioeconomic Survey; ESS: Addis Ababa, Ethiopia, 2014. [Google Scholar]
- Nevens, F.; Reheul, D. Crop rotation versus monoculture; yield, N yield and ear fraction of silage maize at different levels of mineral N fertilization. Wagening. J. Life Sci. 2001, 49, 405–425. [Google Scholar] [CrossRef]
- Riedell, W.E.; Schumacher, T.E.; Clay, S.A.; Ellsbury, M.M.; Pravecek, M.; Evenson, P.O. Cornand soil fertility responses to crop rotation with low, medium or high inputs. Crop Sci. 1998, 38, 427–433. [Google Scholar] [CrossRef]
- Anyanzwa, H.; Okalebo, J.R.; Othieno, C.O.; Bationo, A.; Waswa, B.S.; Kihara, J. Effects of conservation tillage, crop residue and cropping systems on changes in soil organic matter and maize–legume production: A case study in Teso District. Nutr. Cycl. Agroecosyst. 2010, 88, 39–47. [Google Scholar] [CrossRef]
- Ojiem, J.O.; Franke, A.C.; Vanlauwe, B.; de Ridder, N.; Giller, K.E. Benefits of legume-maize rotations: Assessing the impact of diversity on the productivity of smallholders in Western Kenya. Field Crops Res. 2014, 168, 75–85. [Google Scholar] [CrossRef]
- Franke, A.C.; Berkhout, E.D.; Iwuafor, E.N.O.; Nziguheba, G.; Dercon, G.; Vandeplas, I.; Diels, J. Does crop-livestock integration lead to improved crop productivity in the savanna of West Africa? Exp. Agric. 2010, 46, 439–455. [Google Scholar] [CrossRef]
- Bationo, A.; Ntare, B.R. Rotation and nitrogen fertilizer effects on pearl millet, cowpea and groundnut yield and soil chemical properties in a sandy soil in the semi-arid tropics, West Africa. J. Agric. Sci. 2000, 134, 277–284. [Google Scholar] [CrossRef]
- Samake, O.; Stomph, T.J.; Kropff, M.J.; Smaling, E.M.A. Integrated pearl millet management in the Sahel: Effects of legume rotation and fallow management on productivity and Striga hermonthica infestation. Plant Soil 2006, 286, 245–257. [Google Scholar] [CrossRef]
- Birara, E.; Zemen, A. Assessment of the Role of Livestock in Ethiopia: A Review. Am. Eurasian J. Sci. Res. 2016, 11, 405–410. [Google Scholar]
- Rufino, M.C.; Rowe, E.C.; Delve, R.J.; Giller, K.E. Nitrogen cycling efficiencies through resource-poor African crop-livestock systems. Agric. Ecosyst. Environ. 2006, 112, 261–282. [Google Scholar] [CrossRef]











| Name | Description | Unit | Value for Maize Varieties | Value for Groundnut Variety |
|---|---|---|---|---|
| BH660/ BH540 | Fleur 11 | |||
| Crop parameters | ||||
| TSUM1 | Temperature sum from emergence to anthesis | °C day-1 | 1000/ 680 | 422 |
| TSUM2 | Temperature sum from anthesis to maturity | °C day-1 | 990/760 | 1285 |
| TBASEM | Lower threshold temperature for emergence | °C | 8.0 | 10.0 |
| TEFFMX | Maximum effective temperature for emergence | °C | 30.0 | 30.0 |
| TSUMEM | Temperature sum from sowing to emergence | °C | 56.0 | 25.0 |
| RUE-0.0 | Radiation use efficiency at development stage 0 | g MJ-1 | 3.2 | 2.6 |
| RUE-1.0 | Radiation use efficiency at development stage 1.0 | g MJ-1 | 2.5 | 2.6 |
| RUE-1.50 | Radiation use efficiency at development stage 1.50 | g MJ-1 | 2.2 | 2.4 |
| RUE-2.0 | Radiation use efficiency at development stage 2.0 | g MJ-1 | 2.0 | 2.0 |
| SLATB-0.0 | Specific leaf area at development stage 0 | m2 g-1 | 0.03 | 0.022 |
| SLATB-1.0 | Specific leaf area at development stage 1.0 | m2 g-1 | 0.02 | 0.021 |
| SLATB-2.0 | Specific leaf area at development stage 2.0 | m2 g-1 | 0.02 | 0.018 |
| LAI critical | Critical leaf area beyond which leaves die due | m2 m-2 | 4.0 | 4.0 |
| to self shading | ||||
| RGRLAI | Maximum relative increase in LAI | ha ha-1 day-1 | 0.02 | 0.018 |
| ROOTDI | Initial rooting depth | m | 0.1 | 0.1 |
| ROOTDM | Maximum rooting depth | m | 2.0 | 0.6 |
| RRDMAX | Maximum rate of increase in rooting depth | m | 0.012 | 0.012 |
| TDWI | Initial total crop dry weight | kg ha-1 | 5.0 | 6.0 |
| Scenario name | Scenario description | N+P fertilizer input | Crop Residue Management | |
|---|---|---|---|---|
| Farmer’s Practice (FP) | Maize in major season | MF1 | Crop residue removed from the field | (MF1 - CR) |
| Maize in major season | MF1 | Crop residue added in the field | (MF1 + CR) | |
| Conventional Intensification (CI) | Maize in major season | MF2 | Crop residue removed from the field | (MF2 - CR) |
| Maize in major season | MF2 | Crop residue added in the field | (MF2 + CR) | |
| FP + Rotation | Groundnut in minor season | No mineral fertilizer applied to Groundnut | Crop residue removed from the field | (MF1 - CR) |
| Maize in major season | MF1 | |||
| Groundnut in minor season | No mineral fertilizer applied to Groundnut | Crop residue added in the field | (MF1 + CR) | |
| Maize in major season | MF1 | |||
| CI + Rotation | Groundnut in minor season | No mineral fertilizer applied to Groundnut | Crop residue removed from the field | (MF2 - CR) |
| Maize in major season | MF2 | |||
| Groundnut in minor season | No mineral fertilizer applied to Groundnut | Crop residue added in the field | (MF2 + CR) | |
| Maize in major season | MF2 |
| Variety | Site | Treatment | DOA | DOA | DOM | DOM | Grain Yield | Grain Yield | ME | MR |
|---|---|---|---|---|---|---|---|---|---|---|
| Observed | Simulated | Observed | Simulated | Observed | Simulated | Grain Yield | Grain Yield | |||
| (Mg ha-1) | (Mg ha-1) | (Mg ha-1) | (%) | |||||||
| BH660 | Jimma | Fertilized | 70 | 74 | 160 | 161 | 10.0 | 10.4 | 0.4 | 4.0 |
| BH540 | Jimma | Fertilized | 71 | 75 | 150 | 150 | 6.2 | 6.1 | −0.1 | −1.6 |
| Fleur11 | Niaro | Without fertilizer | 102 | 101 | 166 | 167 | 2.03 | 2.28 | 0.25 | 14.4 |
| Fleur11 | Bambey | Without fertilizer | 110 | 109 | 175 | 175 | 1.81 | 2.14 | 0.32 | 15.0 |
| Rotation Scenarios | ||||
|---|---|---|---|---|
| Zone Name | MF1 - CR | MF1 + CR | MF2 - CR | MF2 + CR |
| Alaba | 7.4 | 11.3 | 6.7 | 9.9 |
| Asosa | −4.5 | −3.1 | −5.4 | −4.7 |
| Awi | −2.5 | −0.4 | −3.9 | −0.9 |
| Bale | 7.5 | 11.5 | 7.8 | 9.8 |
| Basketo Special Woreda | 9.1 | 13.9 | 8.2 | 12.6 |
| Benchi Maji | 7.9 | 12.9 | 7.2 | 11.3 |
| Central Tigray | −1.0 | 0.5 | 1.8 | 3.2 |
| East Gojam | 1.2 | 2.6 | 0.0 | 1.9 |
| East Harerghe | 6.8 | 8.6 | 6.7 | 8.3 |
| East Shewa | 2.4 | 4.2 | 0.4 | 0.8 |
| East Wellega | 3.2 | 6.2 | 1.8 | 4.3 |
| Gedeo | 9.8 | 16.2 | 9.4 | 15.0 |
| Guraghe | 6.2 | 9.0 | 6.0 | 8.1 |
| Hadiya | 7.6 | 12.3 | 6.8 | 10.5 |
| Hundene | 0.9 | 0.9 | 0.9 | 0.7 |
| Horo Guduru | 1.6 | 4.6 | 0.8 | 3.9 |
| Illubabor | 6.1 | 10.2 | 4.9 | 8.3 |
| Jimma | 8.9 | 13.8 | 7.7 | 12.5 |
| Kelem Wellega | −0.3 | 1.7 | −2.0 | −1.4 |
| Kemashi | 2.9 | 5.5 | 1.3 | 3.1 |
| Kembata Alaba Tembaro | 9.1 | 13.5 | 8.3 | 12.2 |
| Konta Special Woreda | 8.4 | 13.6 | 8.2 | 12.2 |
| Metekel | −3.4 | -1.9 | −4.6 | −3.2 |
| North Gonder | −3.9 | -2.8 | −4.2 | −3.1 |
| Selti | 5.8 | 9.8 | 5.1 | 8.4 |
| Sidama | 7.4 | 10.7 | 6.1 | 9.9 |
| South Gonder | −1.5 | 0.2 | −2.1 | 0.0 |
| South Omo | 7.4 | 11.8 | 8.9 | 11.9 |
| South West Shewa | 5.3 | 7.4 | 4.8 | 6.0 |
| Southern Tigray | 2.4 | 3.2 | 4.1 | 5.0 |
| Arsi | 8.6 | 12.4 | 8.1 | 11.1 |
| West Gojam | −1.8 | −0.4 | −3.1 | −1.0 |
| West Harerghe | 3.2 | 5.3 | 2.6 | 3.3 |
| West Shewa | 4.3 | 6.2 | 3.5 | 5.0 |
| West Wellega | 1.1 | 3.3 | −0.4 | 1.6 |
© 2019 by the authors. Licensee MDPI, Basel, Switzerland. This article is an open access article distributed under the terms and conditions of the Creative Commons Attribution (CC BY) license (http://creativecommons.org/licenses/by/4.0/).
Share and Cite
Srivastava, A.K.; Mboh, C.M.; Faye, B.; Gaiser, T.; Kuhn, A.; Ermias, E.; Ewert, F. Options for Sustainable Intensification of Maize Production in Ethiopia. Sustainability 2019, 11, 1707. https://doi.org/10.3390/su11061707
Srivastava AK, Mboh CM, Faye B, Gaiser T, Kuhn A, Ermias E, Ewert F. Options for Sustainable Intensification of Maize Production in Ethiopia. Sustainability. 2019; 11(6):1707. https://doi.org/10.3390/su11061707
Chicago/Turabian StyleSrivastava, Amit Kumar, Cho Miltin Mboh, Babacar Faye, Thomas Gaiser, Arnim Kuhn, Engida Ermias, and Frank Ewert. 2019. "Options for Sustainable Intensification of Maize Production in Ethiopia" Sustainability 11, no. 6: 1707. https://doi.org/10.3390/su11061707
APA StyleSrivastava, A. K., Mboh, C. M., Faye, B., Gaiser, T., Kuhn, A., Ermias, E., & Ewert, F. (2019). Options for Sustainable Intensification of Maize Production in Ethiopia. Sustainability, 11(6), 1707. https://doi.org/10.3390/su11061707

