High-Speed Railway and City Tourism in China: A Quasi-Experimental Study on HSR Operation
Abstract
1. Introduction
2. Literature Review
3. Methodology and Data
3.1. Background and Identification Strategy
3.2. Data and Variables
4. Results and Discussion
4.1. Generalized Difference-in-Differences Estimation
4.2. Event Study
4.3. Heterogeneity
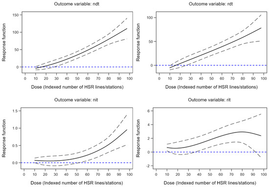
4.4. Dose–Response Assessment
4.5. Robustness Check with IVs
5. Conclusions
Funding
Acknowledgments
Conflicts of Interest
Appendix A
| Index | First-Level Index | Second-Level Index |
|---|---|---|
| Total index | Business agglomeration index (0.24) | Major brand preference index (0.35); Core business index (0.30) Basic business index (0.21); City size index (0.14) |
| City hub index (0.18) | Transportation accessibility index (0.48); Logistics accessibility index (0.25) Regional centrality index (0.27) | |
| City people activity index (0.18) | Consumer activity index (0.39); Disturbance index (0.31) Nocturnal activity index (0.30) | |
| Lifestyle diversity index (0.20) | Catering diversity index (0.21); Entertainment consumption index (0.22) Tourism intention index (0.13); Activity index (0.20) Consumption diversity index (0.24) | |
| Future plasticity index (0.20) | Environmental friendliness index (0.09); Entrepreneurship index (0.36) Talent attractiveness index (0.34); Consumption maturity index (0.21) |
| Class 1 | Class 2 | Class 3 | Class 4 | Class 5 | ||||||||
|---|---|---|---|---|---|---|---|---|---|---|---|---|
| Beijing | Changzhou | Anshan | Maanshan | Yinchuan | Anqing | Huangshi | Siping | Aba | Ezhou | Kashen | Shangluo | Yushuzangzu |
| Guangzhou | Foshan | Bengbu | Mianyang | Yingkou | Anyang | Jian | Suining | Akesu | Fangchenggang | Kelamayi | Shizuishan | Yunfu |
| Shanghai | Fuzhou | Baotou | Nanchong | Yueyang | Baoji | Jiamusi | Tieling | Alashanmeng | Gannan | Kezilesukeerkezi | Shuangyashan | Zhangjiajie |
| Shenzhen | Guiyang | Baoding | Nanping | Zhanjiang | Beihai | Jiaozuo | Tonghua | Aletai | Ganzi | Lasa | Shuozhou | Zhangye |
| Chengdu | Haerbin | Cangzhou | Nanyang | Zhangzhou | Benxi | Jinzhou | Tongliao | Ali | Guyuan | Laibin | Songyuan | Changzhi |
| Dalian | Haikou | Daqing | Ningde | Zhaoqing | Binzhou | Jinzhong | Weinan | Ankang | Guangan | Laiwu | Suihua | Zhaotong |
| Dongguan | Hefei | Dandong | Panjin | Zhenjiang | Changde | Jingdezhen | Wuzhou | Anshun | Guangyuan | Liangshan | Suizhou | Zhongwei |
| Hangzhou | Huizhou | Dongying | Putian | Zhoushan | Chaozhou | Kaifeng | Xishuangbanna | Bayanzhuoer | Guigang | Liaoyuan | Tacheng | Ziyang |
| Nanjing | Jinan | Fushun | Qiqihaer | Zhuzhou | Chenzhou | Leshan | Xianning | Bayinguoleng | Guoluo | Linzhi | Tianshui | Zigong |
| Ningbo | Jiaxing | Ganzhou | Qinhuangdao | Zibo | Chengde | Liaoyang | Xiangtan | Bazhong | Hami | Lincang | Tongchuan | |
| Qingdao | Jinhua | Guilin | Qingyuan | Chifeng | Liaocheng | Xinxiang | Baicheng | Haibei | Linxia | Tongling | ||
| Shenyang | Kunming | Handan | Quzhou | Chuzhou | Linfen | Xinyang | Baishan | Haidong | Liupanshui | Tongren | ||
| Suzhou | Lanzhou | Hengyang | Sanming | Dali | Liuan | Xingtai | Baiyin | Hainan | Longnan | Tulufan | ||
| Tianjin | Nanchang | Huhehaote | Sanya | Datong | Loudi | Suqian | Baise | Haixi | Luohe | Wenshan | ||
| Wuhan | Nanning | Huzhou | Shantou | Deyang | Luzhou | Suzhou | Baoshan | Hanzhong | Lvliang | Wuhai | ||
| Xian | Nantong | Huaian | Shangrao | Dezhou | Maoming | Xuchang | Bijiediqu | Hetian | Naqu | Wulanchabu | ||
| Changsha | Quanzhou | Jilin | Taian | Eerduosi | Meishan | Xuancheng | Bozhou | Hechi | Nujiang | Wuzhong | ||
| Zhengzhou | Xiamen | Jining | Taizhou | Enshi | Meizhou | Yaan | Boertala | Hezhou | Panzhihua | Wuwei | ||
| Chongqing | Shaoxing | Jiangmen | Tangshan | Fuzhou1 | Mudanjiang | Yangjiang | Changdu | Hebi | Pingliang | Xilinguolemeng | ||
| Shijiazhuang | Jieyang | Weihai | Fuxin | Neijiang | Yibin | Changji | Hegang | Pingxiang | Xiangxi | |||
| Taizhou1 | Jingzhou | Weifang | Fuyang | Pingdingshan | Yichun | Chaoyang | Heihe | Puyang | Xinzhou | |||
| Taiyuan | Jiujiang | Wuhu | Heyuan | Qiandongnan | Yulin1 | Chizhou | Hengshui | Puer | Xinyu | |||
| Wenzhou | Langfang | Xining | Heze | Qiannan | Yulin | Chongzuo | Huaibei | Qitaihe | Xinganmeng | |||
| Wulumuqi | Lijiang | Xianyang | Honghe | Qujing | Yuxi | Chuxiong | Huangnan | Qianxinan | Yanan | |||
| Wuxi | Lishui | Xiangfan | Hulunbeier | Rizhao | Yuncheng | Dazhou | Jixi | Qinzhou | Yangquan | |||
| Xuzhou | Lianyungang | Xiaogan | Huludao | Shanwei | Zaozhuang | Daxinganling | Jiayuguan | Qingyang | Yichun1 | |||
| Yantai | Linyi | Yanbian | Huaihua | Shangqiu | Zhangjiakou | Dehong | Jinchang | Rikaze | Yili | |||
| Changchun | Liuzhou | Yancheng | Huainan | Shaoguan | Zhoukou | Dehong | Jincheng | Sanmenxia | Yiyang | |||
| Zhongshan | Longyan | Yangzhou | Huanggang | Shaoyang | Zhumadian | Diqing | Jingmen | Sansha | Yingtan | |||
| Zhuhai | Luoyang | Yichang | Huangshan | Shiyan | Zunyi | Dingxi | Jiuquan | Shannan | Yongzhou | |||
References
- Chen, Z.; Xue, J.; Rose, A.Z.; Haynes, K.E. The impact of high-speed rail investment on economic and environmental change in China: A dynamic CGE analysis. Transp. Res. Part A Policy Pract. 2016, 92, 232–245. [Google Scholar] [CrossRef]
- Guirao, B.; Campa, J.L. Should Implications for Tourism Influence the Planning Stage of a New HSR Network? The Experience of Spain. Open Transp. J. 2016, 10, 22–34. [Google Scholar] [CrossRef]
- Xu, W.; Zhou, J.; Yang, L.; Li, L. The implications of high-speed rail for Chinese cities: Connectivity and accessibility. Transp. Res. Part A Policy Pract. 2018, 116, 308–326. [Google Scholar]
- Albalate, D.; Campos, J.; Jiménez, J.L. Tourism and high speed rail in Spain: Does the AVE increase local visitors? Ann. Tour. Res. 2017, 65, 71–82. [Google Scholar] [CrossRef]
- Yin, P.; Pagliara, F.; Wilson, A. How Does High-Speed Rail Affect Tourism? A Case Study of the Capital Region of China. Sustainability 2019, 11, 472. [Google Scholar] [CrossRef]
- Cartenì, A.; Pariota, L.; Henke, I. Hedonic value of high-speed rail services: Quantitative analysis of the students’ domestic tourist attractiveness of the main Italian cities. Transp. Res. Part A Policy Pract. 2017, 100, 348–365. [Google Scholar]
- Seetanah, B.; Juwaheer, T.; Lamport, M.; Rojid, S.; Sannassee, R.; Subadar, A. Does infrastructure matter in tourism development? Univ. Maurit. Res. J. 2011, 17, 89–108. [Google Scholar] [CrossRef]
- Pagliara, F.; La Pietra, A.; Gomez, J.; Vassallo, J.M. High Speed Rail and the tourism market: Evidence from the Madrid case study. Transp. Policy 2015, 37, 187–194. [Google Scholar] [CrossRef]
- Aguiló, E.; Palmer, T.; Rosselló, J. Road transport for tourism: Evaluating policy measures from consumer profiles. Tour. Econ. 2012, 18, 281–293. [Google Scholar] [CrossRef]
- Martín-Cejas, R.R.; Sánchez, P.P.R. Ecological footprint analysis of road transport related to tourism activity: The case for Lanzarote Island. Tour. Manag. 2010, 31, 98–103. [Google Scholar] [CrossRef]
- Jou, R.-C.; Hensher, D.; Su, W.-C. The influence of new road infrastructure on tourism behaviour in Taiwan: The Sun Moon Lake experience. Road Transp. Res. A J. Aust. New Zealand Res. Pract. 2012, 21, 50. [Google Scholar]
- Albalate, D.; Bel, G. Tourism and urban public transport: Holding demand pressure under supply constraints. Tour. Manag. 2010, 31, 425–433. [Google Scholar] [CrossRef]
- Delaplace, M. TGV, développement local et taille des villes: Une analyse en termes d’innovation de services. Rev. D’économie Régionale Urbaine 2012, 2, 265–290. [Google Scholar] [CrossRef]
- Masson, S.; Petiot, R. Can the high speed rail reinforce tourism attractiveness? The case of the high speed rail between Perpignan (France) and Barcelona (Spain). Technovation 2009, 29, 611–617. [Google Scholar] [CrossRef]
- Chen, Z.; Haynes, K.E. Tourism Industry and High Speed Rail-Is There a Linkage: Evidence from China’s High Speed Rail Development. SSRN Electron. J. 2012, 14. [Google Scholar] [CrossRef]
- Bazin, S.; Beckerich, C.; Delaplace, M. High speed railway, service innovations and urban and business tourisms development. In Economics and Management of Tourism: Trends and Recent Developments; Sarmento, M., Matias, A., Collecçao, M., Eds.; Universidade Luisiada Editora: Lisboa, Portugal, 2011; pp. 115–141. [Google Scholar]
- Delaplace, M.; Pagliara, F.; Perrin, J.; Mermet, S. Can High Speed Rail foster the choice of destination for tourism purpose? Procedia-Soc. Behav. Sci. 2014, 111, 166–175. [Google Scholar] [CrossRef]
- Wing, C.; Marier, A. Effects of occupational regulations on the cost of dental services: Evidence from dental insurance claims. J. Health Econ. 2014, 34, 131–143. [Google Scholar] [CrossRef]
- Card, D.; Krueger Alan, B. Minimum wages and employment: A case study of the fast-food industry in New Jersey and Pennsylvania. Am. Econ. Rev. 1994, 84, 772–793. [Google Scholar]
- Guirao, B.; Campa, J.L. The effects of tourism on HSR: Spanish empirical evidence derived from a multi-criteria corridor selection methodology. J. Transp. Geogr. 2015, 47, 37–46. [Google Scholar] [CrossRef]
- Albalate, D.; Fageda, X. High speed rail and tourism: Empirical evidence from Spain. Transp. Res. Part A Policy Pract. 2016, 85, 174–185. [Google Scholar] [CrossRef]
- Kurihara, T.; Wu, L. The impact of high speed rail on tourism development: A case study of Japan. Open Transp. J. 2016, 10, 35–44. [Google Scholar] [CrossRef]
- Wang, D.; Qian, J.; Chen, T.; Zhao, M.; Zhang, Y. Influence of the high-speed rail on the spatial pattern of regional tourism–taken Beijing–Shanghai high-speed rail of China as example. Asia Pac. J. Tour. Res. 2014, 19, 890–912. [Google Scholar] [CrossRef]
- Gao, Y.; Su, W.; Wang, K. Does high-speed rail boost tourism growth? New evidence from China. Tour. Manag. 2019, 72, 220–231. [Google Scholar] [CrossRef]
- Albalate, D.; Bel, G.; Fageda, X. Competition and cooperation between high-speed rail and air transportation services in Europe. J. Transp. Geogr. 2015, 42, 166–174. [Google Scholar] [CrossRef]
- Dobruszkes, F. High-speed rail and air transport competition in Western Europe: A supply-oriented perspective. Transp. Policy 2011, 18, 870–879. [Google Scholar] [CrossRef]
- Dobruszkes, F.; Dehon, C.; Givoni, M. Does European high-speed rail affect the current level of air services? An EU-wide analysis. Transp. Res. Part A Policy Pract. 2014, 69, 461–475. [Google Scholar] [CrossRef]
- Gutiérrez, J.; Condeço-Melhorado, A.; Martín, J.C. Using accessibility indicators and GIS to assess spatial spillovers of transport infrastructure investment. J. Transp. Geogr. 2010, 18, 141–152. [Google Scholar] [CrossRef]
- Qin, Y. ‘No county left behind?’ The distributional impact of high-speed rail upgrades in China. J. Econ. Geogr. 2017, 17, 489–520. [Google Scholar] [CrossRef]
- Della Corte, V.; Sciarelli, M.; Cascella, C.; Del Gaudio, G. Customer satisfaction in tourist destination: The case of tourism offer in the city of Naples. J. Invest. Manag. 2015, 4, 39–50. [Google Scholar] [CrossRef]
- Delaplace, M.; Bazin, S.; Pagliara, F.; Sposaro, A. High Speed Railway System and the tourism market: Between accessibility, image and coordination tool. In Proceedings of the 54th European Regional Science Association Congress, Saint Petersburg, Russia, 26–29 August 2014. [Google Scholar]
- Li, S.; Wang, Z.; Zhong, Z. Gravity model for tourism spatial interaction: Basic form, parameter estimation, and applications. Acta Geogr. Sin. 2012, 67, 526–544. [Google Scholar]
- Campa, J.L.; López-Lambas, M.E.; Guirao, B. High speed rail effects on tourism: Spanish empirical evidence derived from China’s modelling experience. J. Transp. Geogr. 2016, 57, 44–54. [Google Scholar] [CrossRef]
- Chen, Z.; Haynes, K.E. Chinese Railways in the Era of High-Speed; Emerald Group Publishing Limited: Bingley, UK, 2015. [Google Scholar]
- Wang, Y.; Yan, X.; Zhou, Y.; Xue, Q. Influencing mechanism of potential factors on passengers’ long-distance travel mode choices based on structural equation modeling. Sustainability 2017, 9, 1943. [Google Scholar] [CrossRef]
- Chen, C.; D’Alfonso, T.; Guo, H.; Jiang, C. Graph theoretical analysis of the Chinese high-speed rail network over time. Res. Transp. Econ. 2018, 72, 3–14. [Google Scholar] [CrossRef]
- Faber, B. Trade integration, market size, and industrialization: Evidence from China’s National Trunk Highway System. Rev. Econ. Stud. 2014, 81, 1046–1070. [Google Scholar] [CrossRef]
- Chen, C.L. Reshaping Chinese space-economy through high-speed trains: Opportunities and challenges. J. Transp. Geogr. 2012, 22, 312–316. [Google Scholar] [CrossRef]
- Fujita, M.; Krugman, P. The new economic geography: Past, present and the future. Pap. Reg. Sci. 2004, 83, 139–164. [Google Scholar] [CrossRef]
- Zheng, S.; Kahn, M.E. China’s bullet trains facilitate market integration and mitigate the cost of megacity growth. Proc. Natl. Acad. Sci. USA 2013, 110, 1248–1253. [Google Scholar] [CrossRef] [PubMed]
- Diao, M. Does growth follow the rail? The potential impact of high-speed rail on the economic geography of China. Transp. Res. Part A Policy Pract. 2018, 113, 279–290. [Google Scholar] [CrossRef]
- Shaw, S.-L.; Fang, Z.; Lu, S.; Tao, R. Impacts of high speed rail on railroad network accessibility in China. J. Transp. Geogr. 2014, 40, 112–122. [Google Scholar] [CrossRef]
- Wang, X.; Huang, S.; Zou, T.; Yan, H. Effects of the high speed rail network on China’s regional tourism development. Tour. Manag. Perspect. 2012, 1, 34–38. [Google Scholar] [CrossRef]
- Wang, D.; Niu, Y.; Qian, J. Evolution and optimization of China’s urban tourism spatial structure: A high speed rail perspective. Tour. Manag. 2018, 64, 218–232. [Google Scholar] [CrossRef]
- EI-Geneidy, A.; Levinson, D.; Diab, E.; Boisjoly, G.; Verbich, D.; Loong, C. The cost of equity: Assessing transit accessibility and social disparity using total travel cost. Transp. Res. Part A Policy Pract. 2016, 91, 302–316. [Google Scholar] [CrossRef]
- Autor, D.H. Outsourcing at will: The contribution of unjust dismissal doctrine to the growth of employment outsourcing. J. Labor Econ. 2003, 21, 1–42. [Google Scholar] [CrossRef]
- Chen, H.; Sun, D.; Zhu, Z.; Zeng, J. The impact of High-Speed Rail on residents’ travel behavior and household mobility: A case study of the Beijing-Shanghai Line, China. Sustainability 2016, 8, 1187. [Google Scholar] [CrossRef]
- Shao, S.; Tian, Z.; Yang, L. High speed rail and urban service industry agglomeration: Evidence from China’s Yangtze River Delta region. J. Transp. Geogr. 2017, 64, 174–183. [Google Scholar] [CrossRef]
- Dong, X.; Zheng, S.; Kahn, M.E. The Role of Transportation Speed in Facilitating High Skilled Teamwork. NBER Working Paper. No. 24539. Available online: https://www.nber.org/papers/w24539 (accessed on 3 March 2019).
- Zhang, J. High-speed railway construction and county economic development: Research based on satellite light data. China Econ. Q. 2017, 16, 1533–1562. [Google Scholar]
- Moser, P.; Voena, A. Compulsory licensing: Evidence from the trading with the enemy act. Am. Econ. Rev. 2012, 102, 396–427. [Google Scholar] [CrossRef]






| Name | Definition | Mean | SD | Min | Max |
|---|---|---|---|---|---|
| ndt | Number of domestic tourists (billion persons) | 14.73 | 25.98 | 0.00 | 459.53 |
| rdt | Domestic tourism revenue (billion yuan) | 13.48 | 28.89 | 0.00 | 462.11 |
| nit | Number of international tourists (billion persons) | 0.15 | 0.44 | 0.00 | 6.66 |
| rit | International tourism revenue (billion yuan) | 0.93 | 3.36 | 0.00 | 43.36 |
| HSR | Whether or not an HSR in operation | 0.27 | 0.44 | 0 | 1 |
| HSR × Post | The double-difference term of HSR | 0.16 | 0.37 | 0 | 1 |
| pop | City population (million persons) | 3.98 | 3.01 | 0.08 | 34.35 |
| area | Administrative area of city (10,000 square km) | 2.27 | 4.30 | 0.05 | 47.25 |
| pgdp | Per capita gross domestic product (10,000 yuan) | 2.94 | 2.55 | 0.14 | 20.72 |
| road | Road mileage of city (10,000 km) | 1.03 | 0.82 | 0.02 | 12.71 |
| inc | Per capita disposable income (10,000 yuan) | 1.64 | 0.81 | 0.38 | 5.39 |
| living | Per capita living consumption expenditure (10,000 yuan) | 1.14 | 0.54 | 0.14 | 3.85 |
| 5A | Number of 5A scenic spots | 0.25 | 0.65 | 0.00 | 7.00 |
| heritage | Number of World Heritage Sites | 0.17 | 0.56 | 0.00 | 6.00 |
| air | The logarithm of air passenger trips (person-time) | 5.18 | 6.55 | 0.00 | 18.41 |
| (1) | (2) | (3) | (4) | (5) | (6) | (7) | (8) | |
|---|---|---|---|---|---|---|---|---|
| VARIABLES | ndt | ndt | rdt | rdt | nit | nit | rit | rit |
| HSR × Post | 10.94 *** | 3.41 *** | 13.94 *** | 2.94 *** | 0.08 *** | 0.05 *** | 0.66 *** | 0.40 *** |
| (0.769) | (0.665) | (0.808) | (0.648) | (0.009) | (0.009) | (0.061) | (0.063) | |
| pop | 9.42 *** | 9.65 *** | 0.03 ** | 0.43 *** | ||||
| (0.821) | (0.799) | (0.012) | (0.078) | |||||
| area | −0.30 | −0.58 | −0.01 | −0.01 | ||||
| (0.642) | (0.624) | (0.009) | (0.061) | |||||
| pgdp | 0.26 | 0.74 *** | −0.00 | 0.04 ** | ||||
| (0.215) | (0.210) | (0.003) | (0.021) | |||||
| road | 8.82 *** | 2.73 *** | 0.00 | −0.04 | ||||
| (0.560) | (0.545) | (0.008) | (0.053) | |||||
| inc | 14.21 *** | 21.70 *** | 0.13 *** | 0.85 *** | ||||
| (1.343) | (1.307) | (0.019) | (0.128) | |||||
| living | −4.10 *** | −3.41 ** | 0.03 | 0.19 | ||||
| (1.380) | (1.344) | (0.020) | (0.131) | |||||
| DCG | 4.90 *** | 8.83 *** | −0.06 *** | −0.34 *** | ||||
| (0.912) | (0.887) | (0.013) | (0.087) | |||||
| 5A | 11.16 *** | 14.01 *** | 0.06 *** | 0.42 *** | ||||
| (0.422) | (0.411) | (0.006) | (0.040) | |||||
| heritage | 9.16 *** | 3.32 *** | 0.03 * | 0.51 *** | ||||
| (1.167) | (1.135) | (0.016) | (0.111) | |||||
| air | −0.02 | −0.03 | −0.00 | −0.00 | ||||
| (0.075) | (0.073) | (0.001) | (0.007) | |||||
| Constant | 12.97 *** | −55.92 *** | 11.23 *** | −65.49 *** | 0.13 *** | −0.20 *** | 0.82 *** | −2.66 *** |
| (0.231) | (3.827) | (0.243) | (3.725) | (0.003) | (0.054) | (0.018) | (0.364) | |
| Observations | 4212 | 4212 | 4212 | 4212 | 4186 | 4186 | 4212 | 4212 |
| R-squared | 0.781 | 0.863 | 0.804 | 0.895 | 0.895 | 0.903 | 0.917 | 0.926 |
| (1) | (2) | (3) | (4) | (5) | (6) | (7) | (8) | |
|---|---|---|---|---|---|---|---|---|
| Large Cities | Medium-Sized and Small Cities | |||||||
| VARIABLES | ndt | rdt | nit | rit | ndt | rdt | nit | rit |
| HSR × Post | −0.21 | −1.45 | 0.07 | 0.72 ** | 2.92 *** | 2.23 *** | 0.01 ** | 0.05 |
| (3.303) | (3.001) | (0.045) | (0.323) | (0.340) | (0.315) | (0.007) | (0.038) | |
| pop | 9.58 *** | 10.66 *** | 0.04 | 0.77 *** | 3.11 *** | 1.97 *** | −0.02 ** | −0.13 ** |
| (2.843) | (2.583) | (0.039) | (0.278) | (0.481) | (0.445) | (0.009) | (0.054) | |
| area | −3.15 | −3.95 | −0.19 | −1.04 | 0.04 | 0.07 | −0.00 | 0.02 |
| (13.114) | (11.914) | (0.178) | (1.281) | (0.283) | (0.262) | (0.005) | (0.032) | |
| pgdp | −0.88 | 1.53 | −0.00 | 0.30 ** | −0.35 *** | 0.07 | −0.01 *** | −0.01 |
| (1.258) | (1.142) | (0.017) | (0.123) | (0.103) | (0.096) | (0.002) | (0.012) | |
| road | 11.76 *** | 1.08 | 0.02 | 0.03 | 3.16 *** | 1.78 *** | −0.00 | −0.03 |
| (1.982) | (1.800) | (0.027) | (0.194) | (0.318) | (0.294) | (0.006) | (0.035) | |
| inc | 9.55 | 10.57 * | 0.25 *** | 0.72 | 8.10 *** | 9.02 *** | 0.04 *** | 0.29 *** |
| (6.414) | (5.827) | (0.087) | (0.626) | (0.713) | (0.659) | (0.014) | (0.079) | |
| living | −15.72 * | 8.66 | 0.17 | 1.78 ** | −3.33 *** | −3.24 *** | 0.03 ** | 0.12 * |
| (8.913) | (8.097) | (0.121) | (0.870) | (0.647) | (0.598) | (0.013) | (0.072) | |
| DCG | 2.75 | 11.65 *** | −0.04 | −0.65 | 2.22 *** | 2.16 *** | −0.03 *** | −0.14 ** |
| (4.839) | (4.396) | (0.066) | (0.473) | (0.484) | (0.448) | (0.009) | (0.054) | |
| 5A | 16.35 *** | 19.34 *** | 0.01 | 0.23 | 4.09 *** | 4.90 *** | 0.06 *** | 0.17 *** |
| (1.532) | (1.392) | (0.021) | (0.150) | (0.252) | (0.233) | (0.005) | (0.028) | |
| heritage | 18.20 *** | 4.82 | 0.09 | 0.10 | 2.06 *** | 2.40 *** | 0.02 | 0.64 *** |
| (5.008) | (4.549) | (0.068) | (0.489) | (0.602) | (0.556) | (0.012) | (0.067) | |
| air | −1.02 ** | −1.31 *** | −0.02 ** | −0.05 | 0.10 *** | 0.10 *** | −0.00 | −0.00 |
| (0.500) | (0.454) | (0.007) | (0.049) | (0.035) | (0.032) | (0.001) | (0.004) | |
| Constant | −28.35 | −66.00 *** | −0.10 | −5.07 ** | −14.34 *** | −13.95 *** | 0.06 | 0.04 |
| (26.288) | (23.882) | (0.357) | (2.568) | (1.985) | (1.835) | (0.039) | (0.221) | |
| Observations | 637 | 637 | 637 | 637 | 3575 | 3575 | 3549 | 3575 |
| R-squared | 0.868 | 0.913 | 0.917 | 0.934 | 0.833 | 0.823 | 0.709 | 0.577 |
| (1) | (2) | (3) | (4) | |
|---|---|---|---|---|
| ndt | rdt | nit | rit | |
| The coefficient of HSR × Post for all cites | 3.25 *** | 2.78 *** | 0.05 *** | 0.38 *** |
| (0.687) | (0.657) | (0.009) | (0.060) | |
| The coefficient of HSR × Post for large cites | −1.00 | −1.77 | 0.07 * | 0.70 ** |
| (3.434) | (3.062) | (0.041) | (0.305) | |
| The coefficient of HSR × Post for medium-sized and small cites | 2.80 *** | 2.13 *** | 0.01 ** | 0.05 |
| (0.344) | (0.319) | (0.007) | (0.039) |
© 2019 by the author. Licensee MDPI, Basel, Switzerland. This article is an open access article distributed under the terms and conditions of the Creative Commons Attribution (CC BY) license (http://creativecommons.org/licenses/by/4.0/).
Share and Cite
Hou, X. High-Speed Railway and City Tourism in China: A Quasi-Experimental Study on HSR Operation. Sustainability 2019, 11, 1512. https://doi.org/10.3390/su11061512
Hou X. High-Speed Railway and City Tourism in China: A Quasi-Experimental Study on HSR Operation. Sustainability. 2019; 11(6):1512. https://doi.org/10.3390/su11061512
Chicago/Turabian StyleHou, Xinshuo. 2019. "High-Speed Railway and City Tourism in China: A Quasi-Experimental Study on HSR Operation" Sustainability 11, no. 6: 1512. https://doi.org/10.3390/su11061512
APA StyleHou, X. (2019). High-Speed Railway and City Tourism in China: A Quasi-Experimental Study on HSR Operation. Sustainability, 11(6), 1512. https://doi.org/10.3390/su11061512

