MNEs’ Subsidiary HRM Practices and Firm Innovative Performance: A Tacit Knowledge Approach
Abstract
1. Introduction
2. Theories
2.1. Human Resource Management (HRM) Practices
2.2. Knowledge Transfer
3. Hypotheses
3.1. Human Resource Management Practices and Firm Innovative Performance
3.2. Knowledge Transfer as a Moderator of the Human Resource Management Practices and Firm Innovative Performance
3.3. Knowledge transfer received, Human Resource Management Practices, Firm Innovative Performance, and Tacit Knowledge Approach
4. Empirical Analysis
4.1. Research Context
4.2. Survey Instrument Design
4.3. Data and Sample
4.4. Variables and Measures
4.4.1. Independent Variable
4.4.2. Dependent Variable
4.4.3. Moderating Variables
4.4.4. Control Variables
4.5. Data Processing and Analysis
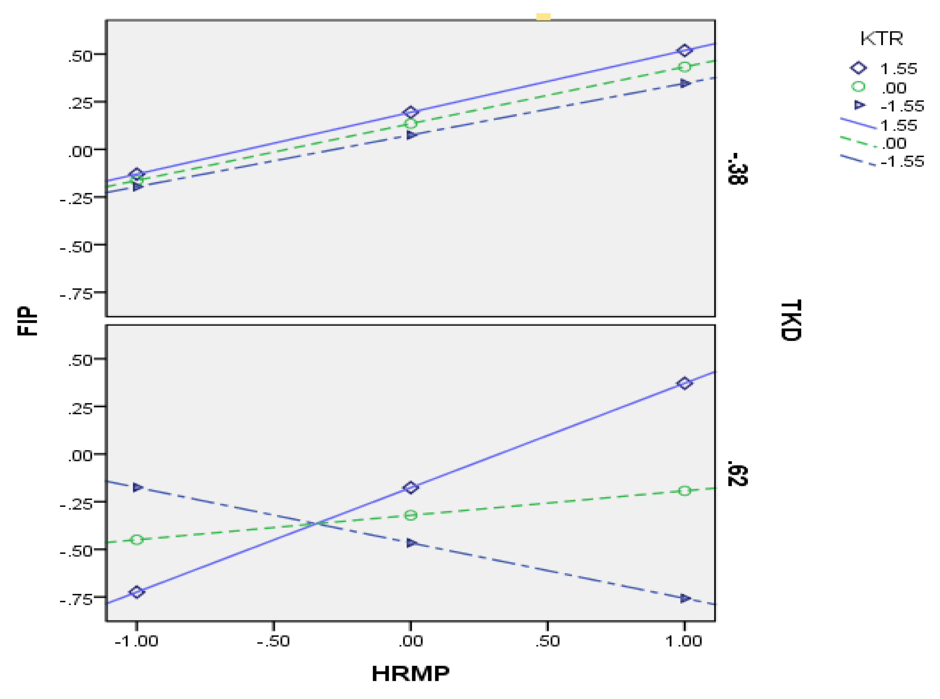
5. Results
5.1. Measurement Testing
5.2. Descriptive Statistics and Correlations
5.3. Hypotheses Testing
6. Discussion
7. Limitations and Future Research
Author Contributions
Funding
Acknowledgments
Conflicts of Interest
References
- Gomes, G.; Wojahn, R.M. Organizational learning capability, innovation and performance: Study in small and medium-sized enterprises (SMES). RAUSP 2017, 52, 163–175. [Google Scholar] [CrossRef]
- Phong, L.B.; Hui, L.; Son, T.T. How Leadership and Trust in Leaders Foster Employees’ Behavior Toward Knowledge Sharing. Soc. Behav. Pers.: Int. J. 2018, 46, 705–720. [Google Scholar] [CrossRef]
- Acemoglu, D.; Akcigit, U.; Alp, H.; Bloom, N.; Kerr, W. Innovation, Reallocation, and Growth. Am. Econ. Rev. 2018, 108, 3450–3491. [Google Scholar] [CrossRef]
- Lynch, R.; Jin, Z. Knowledge and innovation in emerging market multinationals: The expansion paradox. J. Bus. Res. 2016, 69, 1593–1597. [Google Scholar] [CrossRef]
- Delery, J.E.; Roumpi, D. Strategic human resource management, human capital and competitive advantage: Is the field going in circles? Hum. Res. Manag. J. 2017, 27, 1–21. [Google Scholar] [CrossRef]
- Lepak, D.P.; Liao, H.; Chung, Y.; Harden, E.E. A Conceptual Review of Human Resource Management Systems in Strategic Human Resource Management Research. In Research in Personnel and Human Resources Management; Emerald Group Publishing Limited: Bingley, UK, 2006; Volume 25, pp. 217–271. [Google Scholar]
- Guest, D.E. Human resource management and employee well-being: Towards a new analytic framework. Hum. Res. Manag. J. 2017, 27, 22–38. [Google Scholar] [CrossRef]
- Prajogo, D.I.; Oke, A. Human capital, service innovation advantage, and business performance: The moderating roles of dynamic and competitive environments. Int. J. Oper. Prod. Manag. 2016, 36, 974–994. [Google Scholar] [CrossRef]
- Coff, R.; Kryscynski, D.; Barney, J.B.; Ketchen, D.J.; Wright, M. Invited Editorial: Drilling for Micro-Foundations of Human Capital–Based Competitive Advantages. J. Manag. 2011, 37, 1429–1443. [Google Scholar] [CrossRef]
- Collins, C.J.; Clark, K.D. Strategic human resource practices, top management team social networks, and firm performance: The role of human resource practices in creating organizational competitive advantage. Acad. Manag. J. 2003, 46, 740–751. [Google Scholar]
- Donate, M.J.; De Pablo, J.D.S.; De Pablo, J.D.S. The role of knowledge-oriented leadership in knowledge management practices and innovation. J. Bus. Res. 2015, 68, 360–370. [Google Scholar] [CrossRef]
- Liu, D.; Gong, Y.; Zhou, J.; Huang, J.-C. Human Resource Systems, Employee Creativity, and Firm Innovation: The Moderating Role of Firm Ownership. Acad. Manag. J. 2017, 60, 1164–1188. [Google Scholar] [CrossRef]
- De Winne, S.; Sels, L. Interrelationships between human capital, HRM and innovation in Belgian start-ups aiming at an innovation strategy. Int. J. Hum. Resour. Manag. 2010, 21, 1863–1883. [Google Scholar] [CrossRef]
- Sparrow, P. Strategic HRM, Innovation and HR Delivery for Human Resource Management, Innovation and Performance. In Human Resource Management, Innovation and Performance; Palgrave Macmillan: London, UK, 2016; pp. 15–31. [Google Scholar]
- Cabello-Medina, C.; Lopez-Cabrales, A.; Valle-Cabrera, R. Leveraging the innovative performance of human capital through HRM and social capital in Spanish firms. Int. J. Hum. Resour. Manag. 2011, 22, 807–828. [Google Scholar] [CrossRef]
- Lopez-Cabrales, A.; Pérez-Luño, A.; Cabrera, R.V. Knowledge as a mediator between HRM practices and innovative activity. Hum. Resour. Manag.: Publ. Coop. Sch. Bus. Adm. Univ. Mich. Alliance Soc. Hum. Resour. Manag. 2009, 48, 485–503. [Google Scholar] [CrossRef]
- Chen, C.-J.; Huang, J.-W. Strategic human resource practices and innovation performance—The mediating role of knowledge management capacity. J. Bus. Res. 2009, 62, 104–114. [Google Scholar] [CrossRef]
- Kaše, R.; Paauwe, J.; Zupan, N. HR practices, interpersonal relations, and intrafirm knowledge transfer in knowledge-intensive firms: A social network perspective. Hum. Resour. Manag.: Publ. Coop. Sch. Bus. Adm. Univ. Mich. Alliance Soc. Hum. Resour. Manag. 2009, 48, 615–639. [Google Scholar]
- Soltis, S.M.; Brass, D.J.; Lepak, D.P. Social Resource Management: Integrating Social Network Theory and Human Resource Management. Acad. Manag. Ann. 2018, 12, 537–573. [Google Scholar] [CrossRef]
- Alwis, R.S.-D.; Hartmann, E.; Alwis, R.S. The use of tacit knowledge within innovative companies: Knowledge management in innovative enterprises. J. Knowl. Manag. 2008, 12, 133–147. [Google Scholar] [CrossRef]
- Dyck, B.; Starke, F.A.; Mischke, G.A.; Mauws, M. Learning to Build a Car: An Empirical Investigation of Organizational Learning. J. Manag. Stud. 2005, 42, 387–416. [Google Scholar] [CrossRef]
- Ritala, P.; Olander, H.; Michailova, S.; Husted, K. Knowledge sharing, knowledge leaking and relative innovation performance: An empirical study. Technovation 2015, 35, 22–31. [Google Scholar] [CrossRef]
- Forés, B.; Camisón, C. Does incremental and radical innovation performance depend on different types of knowledge accumulation capabilities and organizational size? J. Bus. Res. 2016, 69, 831–848. [Google Scholar] [CrossRef]
- Chuang, C.; Liao, H. Strategic human resource management in service context: Taking care of business by taking care of employees and customers. Pers. Psychol. 2010, 63, 153–196. [Google Scholar] [CrossRef]
- Clark, I.; Colling, T. The management of human resources in project management-led organizations. Pers. Rev. 2005, 34, 178–191. [Google Scholar] [CrossRef]
- Boadu, F.; Xie, Y.; Du, Y.-F.; Dwomo-Fokuo, E. MNEs Subsidiary Training and Development and Firm Innovative Performance: The Moderating Effects of Tacit and Explicit Knowledge Received from Headquarters. Sustainability 2018, 10, 4208. [Google Scholar] [CrossRef]
- Kogan, L.; Papanikolaou, D.; Seru, A.; Stoffman, N. Technological Innovation, Resource Allocation, and Growth. Q. J. Econ. 2017, 132, 665–712. [Google Scholar] [CrossRef]
- Xie, Y.; Du, Y.-F.; Boadu, F.; Shi, X.-Y. Executives’ Assessments of Evolutionary and Leapfrog Modes: An Ambidexterity Explanation Logic. Sustainability 2018, 10, 2893. [Google Scholar] [CrossRef]
- Loebbecke, C.; Van Fenema, P.C.; Powell, P. Managing inter-organizational knowledge sharing. J. Strateg. Inf. Syst. 2016, 25, 4–14. [Google Scholar] [CrossRef]
- Nonaka, I.; Toyama, R.; Konno, N. SECI, Ba and Leadership: A Unified Model of Dynamic Knowledge Creation. Long Range Plan. 2000, 33, 5–34. [Google Scholar] [CrossRef]
- Wernerfelt, B. A resource-based view of the firm. Strateg. Manag. J. 1984, 5, 171–180. [Google Scholar] [CrossRef]
- Barney, J. Firm Resources and Sustained Competitive Advantage. J. Manag. 1991, 17, 99–120. [Google Scholar] [CrossRef]
- Porter, M.E. Competitive Advantage: Creating and Sustaining Superior Performance; The Free Press: New York, NY, USA, 1985. [Google Scholar]
- Longoni, A.; Cagliano, R. Human resource and customer benefits through sustainable operations. Int. J. Oper. Prod. Manag. 2016, 36, 1719–1740. [Google Scholar] [CrossRef]
- Kianto, A.; Sáenz, J.; Aramburu, N. Knowledge-based human resource management practices, intellectual capital and innovation. J. Bus. Res. 2017, 81, 11–20. [Google Scholar] [CrossRef]
- Chowhan, J.; Pries, F.; Mann, S. Persistent innovation and the role of human resource management practices, work organization, and strategy. J. Manag. Organ. 2017, 23, 456–471. [Google Scholar] [CrossRef]
- Lepak, D.P.; Snell, S.A. Examining the Human Resource Architecture: The Relationships Among Human Capital, Employment, and Human Resource Configurations. J. Manag. 2002, 28, 517–543. [Google Scholar] [CrossRef]
- Huselid, M.A. The impact of human resource management practices on turnover, productivity, and corporate financial performance. Acad. Manag. J. 1995, 38, 635–672. [Google Scholar]
- Liu, F.; Chow, I.H.-S.; Xiao, D.; Huang, M. Cross-level effects of HRM bundle on employee well-being and job performance. Chin. Manag. Stud. 2017, 11, 520–537. [Google Scholar] [CrossRef]
- Guan, X.; Frenkel, S. How HR practice, work engagement and job crafting influence employee performance. Chin. Manag. Stud. 2018, 12, 591–607. [Google Scholar] [CrossRef]
- Scarbrough, H. Knowledge management, HRM and the innovation process. Int. J. Manpow. 2003, 24, 501–516. [Google Scholar] [CrossRef]
- Sumelius, J.; Björkman, I.; Ehrnrooth, M.; Mäkelä, K.; Smale, A. What Determines Employee Perceptions of HRM Process Features? The Case of Performance Appraisal in MNC Subsidiaries. Hum. Resour. Manag. 2014, 53, 569–592. [Google Scholar] [CrossRef]
- Kadiresan, V.; Selamat, M.H.; Selladurai, S.; Spr, C.R.; Mohamed, R.K.M.H. Performance Appraisal and Training and Development of Human Resource Management Practices (HRM) on Organizational Commitment and Turnover Intention. Asian Soc. Sci. 2015, 11, 162. [Google Scholar] [CrossRef]
- Gupta, N.; Shaw, J.D. Employee compensation: The neglected area of HRM research. Hum. Resour. Manag. Rev. 2014, 24, 1–4. [Google Scholar] [CrossRef]
- Schmelter, R.; Börsch, C.; Mauer, R.; Brettel, M. Boosting corporate entrepreneurship through HRM practices: Evidence from German SMEs. Hum. Resour. Manag. 2010, 49, 715–741. [Google Scholar] [CrossRef]
- Demortier, A.-L. The Human Capital Contribution to the Company Performance: The Case of the Knowledge-Intensive Firms in Luxembourg; UCL-Université Catholique de Louvain: Leuven, Belgium, 2014. [Google Scholar]
- Minbaeva, D.B. Strategic HRM in building micro-foundations of organizational knowledge-based performance. Hum. Resour. Manag. Rev. 2013, 23, 378–390. [Google Scholar] [CrossRef]
- Jiang, K.; Lepak, D.P.; Hu, J.; Baer, J.C. How Does Human Resource Management Influence Organizational Outcomes? A Meta-analytic Investigation of Mediating Mechanisms. Acad. Manag. J. 2012, 55, 1264–1294. [Google Scholar] [CrossRef]
- McKinlay, A.; Starkey, K. Strategy and human resource management. Int. J. Hum. Resour. Manag. 1992, 3, 435–450. [Google Scholar] [CrossRef]
- Delery, J.; Gupta, N. Human resource management practices and organizational effectiveness: Internal fit matters. J. Organ. Eff.: People Perform. 2016, 3, 139–163. [Google Scholar] [CrossRef]
- Ferlie, E.; Crilly, T.; Jashapara, A.; Trenholm, S.; Peckham, A.; Currie, G. Knowledge mobilization in healthcare organizations: A view from the resource-based view of the firm. Int. J. Health Policy Manag. 2015, 4, 127–130. [Google Scholar] [CrossRef] [PubMed]
- Alguezaui, S.; Filieri, R. A knowledge-based view of the extending enterprise for enhancing a collaborative innovation advantage. Int. J. Agil. Syst. Manag. 2014, 7, 116. [Google Scholar] [CrossRef]
- Polanyi, M. The Tacit Dimension; Doubleday: Garden City, NY, USA, 1966. [Google Scholar]
- Garrick, J.; Chan, A.; Carayannis, E.; Bedford, D. Knowledge management and professional experience: The uneasy dynamics between tacit knowledge and performativity in organizations. J. Knowl. Manag. 2017, 21, 872–884. [Google Scholar] [CrossRef]
- Maravilhas, S.; Martins, J. Strategic knowledge management in a digital environment: Tacit and explicit knowledge in Fab Labs. J. Bus. Res. 2019, 94, 353–359. [Google Scholar] [CrossRef]
- Pak, Y.S.; Ra, W.; Park, Y.-R. Understanding IJV performance in a learning and conflict mediated context. Int. Bus. Rev. 2009, 18, 470–480. [Google Scholar] [CrossRef]
- Wathne, K.; Roos, J.; Von Krogh, G. Towards a Theory of Knowledge Transfer in a Cooperative Context. Manag. Knowl.: Perspect. Coop. Compet. 1966, 1, 55–81. [Google Scholar]
- Hislop, D.; Bosua, R.; Helms, R. Knowledge Management in Organizations: A Critical Introduction; Oxford University Press: Oxford, UK, 2018. [Google Scholar]
- Boxall, P.; Macky, K. Research and theory on high-performance work systems: Progressing the high-involvement stream. Hum. Res. Manag. J. 2009, 19, 3–23. [Google Scholar] [CrossRef]
- Armstrong, C.; Flood, P.C.; Guthrie, J.P.; Liu, W.; MacCurtain, S.; Mkamwa, T. The impact of diversity and equality management on firm performance: Beyond high performance work systems. Hum. Resour. Manag. 2010, 49, 977–998. [Google Scholar] [CrossRef]
- Rothenberg, S.; Hull, C.E.; Tang, Z. The Impact of Human Resource Management on Corporate Social Performance Strengths and Concerns. Bus. Soc. 2017, 56, 391–418. [Google Scholar] [CrossRef]
- Teclemichael Tessema, M.; Soeters, J.L. Challenges and prospects of HRM in developing countries: Testing the HRM–performance link in the Eritrean civil service. Int. J. Hum. Resour. Manag. 2006, 17, 86–105. [Google Scholar] [CrossRef]
- Saridakis, G.; Lai, Y.; Cooper, C.L. Exploring the relationship between HRM and firm performance: A meta-analysis of longitudinal studies. Hum. Resour. Manag. Rev. 2017, 27, 87–96. [Google Scholar] [CrossRef]
- Donate, M.J.; Peña, I.; Sanchez de Pablo, J.D. HRM practices for human and social capital development: Effects on innovation capabilities. Int. J. Hum. Resour. Manag. 2016, 27, 928–953. [Google Scholar] [CrossRef]
- Diaz-Fernandez, M.; Bornay-Barrachina, M.; Lopez-Cabrales, A. HRM practices and innovation performance: A panel-data approach. Int. J. Manpow. 2017, 38, 354–372. [Google Scholar] [CrossRef]
- Lee, H.W.; Pak, J.; Kim, S.; Li, L.-Z. Effects of Human Resource Management Systems on Employee Proactivity and Group Innovation. J. Manag. 2019, 45, 819–846. [Google Scholar] [CrossRef]
- Kaabi, A.A.A.; Elanain, H.A.; Ajmal, M.M. HRM practices and innovation performance with the mediating effect of knowledge sharing: Empirical evidence from Emirati ICT companies. Int. J. Innov. Learn. 2018, 24, 41–61. [Google Scholar] [CrossRef]
- Donaldson, L. The Contingency Theory of Organizations; SAGE Publications: London, UK, 2001. [Google Scholar]
- Oke, A.; Walumbwa, F.O.; Myers, A. Innovation Strategy, Human Resource Policy, and Firms’ Revenue Growth: The Roles of Environmental Uncertainty and Innovation Performance. Decis. Sci. 2012, 43, 273–302. [Google Scholar] [CrossRef]
- Chirico, F.; Sirmon, D.G.; Sciascia, S.; Mazzola, P. Resource orchestration in family firms: Investigating how entrepreneurial orientation, generational involvement, and participative strategy affect performance. Strateg. Entrep. J. 2011, 5, 307–326. [Google Scholar] [CrossRef]
- Kandemir, D.; Hult, G.T.M. A conceptualization of an organizational learning culture in international joint ventures. Ind. Mark. Manag. 2005, 34, 430–439. [Google Scholar] [CrossRef]
- Buckley, P.; Clegg, J.; Tan, H. Knowledge transfer to China: Policy lessons from foreign affiliates. Transnatl. Corp. 2004, 13, 31–72. [Google Scholar]
- Naif Marouf, L. Social networks and knowledge sharing in organizations: A case study. J. Knowl. Manag. 2007, 11, 110–125. [Google Scholar] [CrossRef]
- Van Wijk, R.; Jansen, J.J.P.; Lyles, M.A. Inter- and Intra-Organizational Knowledge Transfer: A Meta-Analytic Review and Assessment of its Antecedents and Consequences. J. Manag. Stud. 2008, 45, 830–853. [Google Scholar] [CrossRef]
- Ahmad, A.; Bosua, R.; Scheepers, R. Protecting organizational competitive advantage: A knowledge leakage perspective. Comput. Secur. 2014, 42, 27–39. [Google Scholar] [CrossRef]
- Theriou, G.; Aggelidis, V.; Theriou, N. The Mediating Effect of the Knowledge Management Process to the Firm’s Performance: A Resource-Based View. Int. J. Econ. Bus. Adm. 2014, 2, 87–114. [Google Scholar]
- Lundvall, B.-A.; Nielsen, P. Knowledge management and innovation performance. Int. J. Manpow. 2007, 28, 207–223. [Google Scholar] [CrossRef]
- Arnett, D.B.; Wittmann, C.M. Improving marketing success: The role of tacit knowledge exchange between sales and marketing. J. Bus. Res. 2014, 67, 324–331. [Google Scholar] [CrossRef]
- Laursen, K. Keep searching and you’ll find: What do we know about variety creation through firms’ search activities for innovation? Ind. Corp. Chang. 2012, 21, 1181–1220. [Google Scholar] [CrossRef]
- Teng, L.; Huang, D.; Pan, Y. The Performance of MNE Subsidiaries in China: Does It Matter to Be Close to the Political or Business Hub? J. Int. Manag. 2017, 23, 292–305. [Google Scholar] [CrossRef]
- Barkema, H.G.; Chen, X.-P.; George, G.; Luo, Y.; Tsui, A.S. West Meets East: New Concepts and Theories. Acad. Manag. J. 2015, 58, 460–479. [Google Scholar] [CrossRef]
- Zhang, Y.; Li, H. Innovation search of new ventures in a technology cluster: The role of ties with service intermediaries. Strat. Mgmt. J. 2010, 31, 88–109. [Google Scholar] [CrossRef]
- Dhanaraj, C.; A Lyles, M.; Steensma, H.K.; Tihanyi, L. Managing tacit and explicit knowledge transfer in IJVs: The role of relational embeddedness and the impact on performance. J. Int. Bus. Stud. 2004, 35, 428–442. [Google Scholar] [CrossRef]
- Brislin, R.W. Back-Translation for Cross-Cultural Research. J. Cross-Cult. Psychol. 1970, 1, 185–216. [Google Scholar] [CrossRef]
- Becker, B.; Gerhart, B. The impact of human resource management on organizational performance: Progress and prospects. Acad. Manag. J. 1996, 39, 779–801. [Google Scholar]
- Guthrie, J.P. High-involvement Work Practices, Turnover, and Productivity: Evidence from New Zealand. Acad. Manag. J. 2001, 44, 180–190. [Google Scholar]
- Delery, J.E.; Doty, D.H. Modes of Theorizing in Strategic Human Resource Management: Tests of Universalistic, Contingency, and Configurations. Performance Predictions. Acad. Manag. J. 1996, 39, 802–835. [Google Scholar] [CrossRef]
- Jiménez-Jiménez, D.; Sanz-Valle, R.; Jimenez-Jimenez, D.; Sanz-Valle, R. Innovation and human resource management fit: An empirical study. Int. J. Manpow. 2005, 26, 364–381. [Google Scholar] [CrossRef]
- Chen, J.; Chen, Y.; Vanhaverbeke, W. The influence of scope, depth, and orientation of external technology sources on the innovative performance of Chinese firms. Technovation 2011, 31, 362–373. [Google Scholar] [CrossRef]
- Ahuja, G. Collaboration Networks, Structural Holes, and Innovation: A Longitudinal Study. Adm. Sci. Q. 2000, 45, 425. [Google Scholar] [CrossRef]
- Anderson, R.C.; Reeb, D.M. Founding-Family Ownership and Firm Performance: Evidence from the S&P 500. J. Financ. 2003, 58, 1301–1328. [Google Scholar]
- Han, K.C.; Suk, D.Y. The effect of ownership structure on firm performance: Additional evidence. Rev. Financ. Econ. 1998, 7, 143–155. [Google Scholar] [CrossRef]
- Sorensen, J.B.; Stuart, T.E. Aging, Obsolescence, and Organizational Innovation. Adm. Sci. Q. 2000, 45, 81. [Google Scholar] [CrossRef]
- Köhler, C.; Sofka, W.; Grimpe, C. Selective search, sectoral patterns, and the impact on product innovation performance. Res. Policy 2012, 41, 1344–1356. [Google Scholar] [CrossRef]
- Heidenreich, M. Innovation patterns and location of European low- and medium-technology industries. Res. Policy 2009, 38, 483–494. [Google Scholar] [CrossRef]
- Cohen, W.M.; Levinthal, D.A. Absorptive Capacity: A New Perspective on Learning and Innovation. Adm. Sci. Q. 1990, 35, 128–152. [Google Scholar] [CrossRef]
- Salim, R.A.; Bloch, H. Business expenditures on R&D and trade performances in Australia: Is there a link? Appl. Econ. 2009, 41, 351–361. [Google Scholar]
- Katila, R.; Ahuja, G. Something Old, Something New: A Longitudinal Study of Search Behavior and New Product Introduction. Acad. Manag. J. 2002, 45, 1183–1194. [Google Scholar]
- Bryk, A.S.; Raudenbush, S.W. Hierarchical Linear Models: Applications and Data Analysis Methods; Sage Publications: London, UK, 2002. [Google Scholar]
- Lepak, D.P.; Snell, S.A. The Human Resource Architecture: Toward a Theory of Human Capital Allocation and Development. Acad. Manag. Rev. 1999, 24, 31–48. [Google Scholar] [CrossRef]
- Subramaniam, M.; Youndt, M.A. The Influence of Intellectual Capital on the Types of Innovative Capabilities. Acad. Manag. J. 2005, 48, 450–463. [Google Scholar] [CrossRef]
- McGrath, R.G.; Tsai, M.-H.; Venkataraman, S.; Macmillan, I.C. Innovation, Competitive Advantage and Rent: A Model and Test. Manag. Sci. 1996, 42, 389–403. [Google Scholar] [CrossRef]
- Ramadani, V.; Abazi-Alili, H.; Dana, L.-P.; Rexhepi, G.; Ibraimi, S. The impact of knowledge spillovers and innovation on firm-performance: Findings from the Balkans countries. Int. Entrep. Manag. J. 2017, 13, 299–325. [Google Scholar] [CrossRef]
- Zaefarian, G.; Forkmann, S.; Mitręga, M.; Henneberg, S.C. A Capability Perspective on Relationship Ending and Its Impact on Product Innovation Success and Firm Performance. Long Range Plan. 2017, 50, 184–199. [Google Scholar] [CrossRef]


| Construct | Items | Cronbach’s α | KMO | AVE | CR |
|---|---|---|---|---|---|
| 1. HRM Practices | 4 | 0.749 | 0.755 | 0.572 | 0.842 |
| 2. Explicit KTR | 4 | 0.696 | 0.737 | 0.524 | 0.815 |
| 3. Tacit KTR | 4 | 0.694 | 0.712 | 0.525 | 0.814 |
| 4. FIP | 5 | 0.861 | 0.856 | 0.643 | 0.900 |
| Variable | 1 | 2 | 3 | 4 | 5 | 6 | 7 | 8 | 9 | 10 |
|---|---|---|---|---|---|---|---|---|---|---|
| 1. FIP | (0.802) | |||||||||
| 2. HRM Practices | 0.314 ** | (0.756) | ||||||||
| 3. Tacit KTR | −0.007 | 0.005 | (0.725) | |||||||
| 4. Explicit KTR | 0.170 * | 0.214 ** | 0.205 ** | (0.724) | ||||||
| 5. TKD approach | −0.213 ** | −0.036 | 0.163 * | −0.095 | - | |||||
| 6. EKD approach | 0.037 | −0.054 | −0.122 | 0.032 | −0.525 ** | - | ||||
| 7. Firm Size | 0.242 ** | 0.073 | 0.024 | 0.082 | −0.046 | 0.011 | - | |||
| 8. Firm Age | 0.005 | 0.089 | 0.113 | 0.072 | −0.030 | −0.016 | 0.293 ** | - | ||
| 9. Service | −0.170 * | −0.081 | −0.005 | −0.062 | −0.007 | −0.063 | 0.305 ** | −0.117 | - | |
| 10. R&D Intensity | 0.310 ** | 0.088 | −0.076 | 0.036 | −0.097 | −0.021 | −0.042 | −0.012 | 0.074 | - |
| Mean | 4.644 | 4.833 | 4.771 | 4.814 | 0.380 | 0.310 | 2.991 | 2.729 | 0.568 | 2.035 |
| S.D. | 1.056 | 1.069 | 0.853 | 0.938 | 0.486 | 0.464 | 1.417 | 1.041 | 0.496 | 0.655 |
| Variables | Dependent Variable: Firm Innovative Performance | ||||
|---|---|---|---|---|---|
| Model 1 | Model 2 | Model 3 | Model 4 | Model 5 | |
| Firm Size | 0.239(0.047) *** | 0.231(0.045) *** | 0.215(0.044) *** | 0.206(0.043) *** | 0.208(0.044) ** |
| Firm Age | −0.077(0.061) | −0.097(0.058) | −0.098(0.058) | −0.109(0.117) | −0.111(0.121) |
| Service | −0.129(0.128) * | −0.110(0.123) | −0.109(0.121) | 0.237(0.087) *** | 0.273(0.089) *** |
| R&D Intensity | 0.329(0.093) *** | 0.301(0.089) *** | 0.280(0.089) *** | −0.117(0.056) * | −0.108(0.058) |
| HRM Practices | 0.269(0.059) *** | 0.254(0.058) *** | 0.235(0.056) *** | 0.243(0.059) *** | |
| KTR | 0.037(0.059) | 0.07(0.075) | 0.023(0.076) | ||
| TKD approach | −0.219(0.116) *** | ||||
| EKD approach | 0.061(0.124) | ||||
| KTR×TKD approach | 0.032(0.117) | 0.045(0.122) | |||
| HRM Practices × KTR | 0.162(0.058) ** | 0.026(0.074) | 0.269(0.08) ** | ||
| HRM Practices × KTR×TKD approach | 0.242(0.117) ** | ||||
| HRM Practices × KTR×EKD approach | −0.145(0.115) | ||||
| R2 | 0.166 | 0.235 | 0.257 | 0.316 | 0.262 |
| F | 12.368 *** | 14.994 *** | 12.288 *** | 11.557 *** | 9.089 *** |
© 2019 by the authors. Licensee MDPI, Basel, Switzerland. This article is an open access article distributed under the terms and conditions of the Creative Commons Attribution (CC BY) license (http://creativecommons.org/licenses/by/4.0/).
Share and Cite
Li, R.; Du, Y.-F.; Tang, H.-J.; Boadu, F.; Xue, M. MNEs’ Subsidiary HRM Practices and Firm Innovative Performance: A Tacit Knowledge Approach. Sustainability 2019, 11, 1388. https://doi.org/10.3390/su11051388
Li R, Du Y-F, Tang H-J, Boadu F, Xue M. MNEs’ Subsidiary HRM Practices and Firm Innovative Performance: A Tacit Knowledge Approach. Sustainability. 2019; 11(5):1388. https://doi.org/10.3390/su11051388
Chicago/Turabian StyleLi, Rong, Yi-Fei Du, Hong-Juan Tang, Francis Boadu, and Min Xue. 2019. "MNEs’ Subsidiary HRM Practices and Firm Innovative Performance: A Tacit Knowledge Approach" Sustainability 11, no. 5: 1388. https://doi.org/10.3390/su11051388
APA StyleLi, R., Du, Y.-F., Tang, H.-J., Boadu, F., & Xue, M. (2019). MNEs’ Subsidiary HRM Practices and Firm Innovative Performance: A Tacit Knowledge Approach. Sustainability, 11(5), 1388. https://doi.org/10.3390/su11051388

