Motivational Climate towards the Practice of Physical Activity, Self-Concept, and Healthy Factors in the School Environment
Abstract
1. Introduction
- To contrast an explanatory model incorporating the motivational climate, body mass index, Mediterranean diet adherence, and self-concept.
- To analyze, using multi-group structural equation analysis, the pertinent relationships between the motivational climate, body mass index, Mediterranean diet adherence, and self-concept, according to the sex of school children (male/female).
2. Materials and Methods
2.1. Subjects and Design
2.2. Measures
2.3. Procedure
2.4. Statistical Analysis
3. Results
4. Discussion
5. Implications for Practice
6. Conclusions
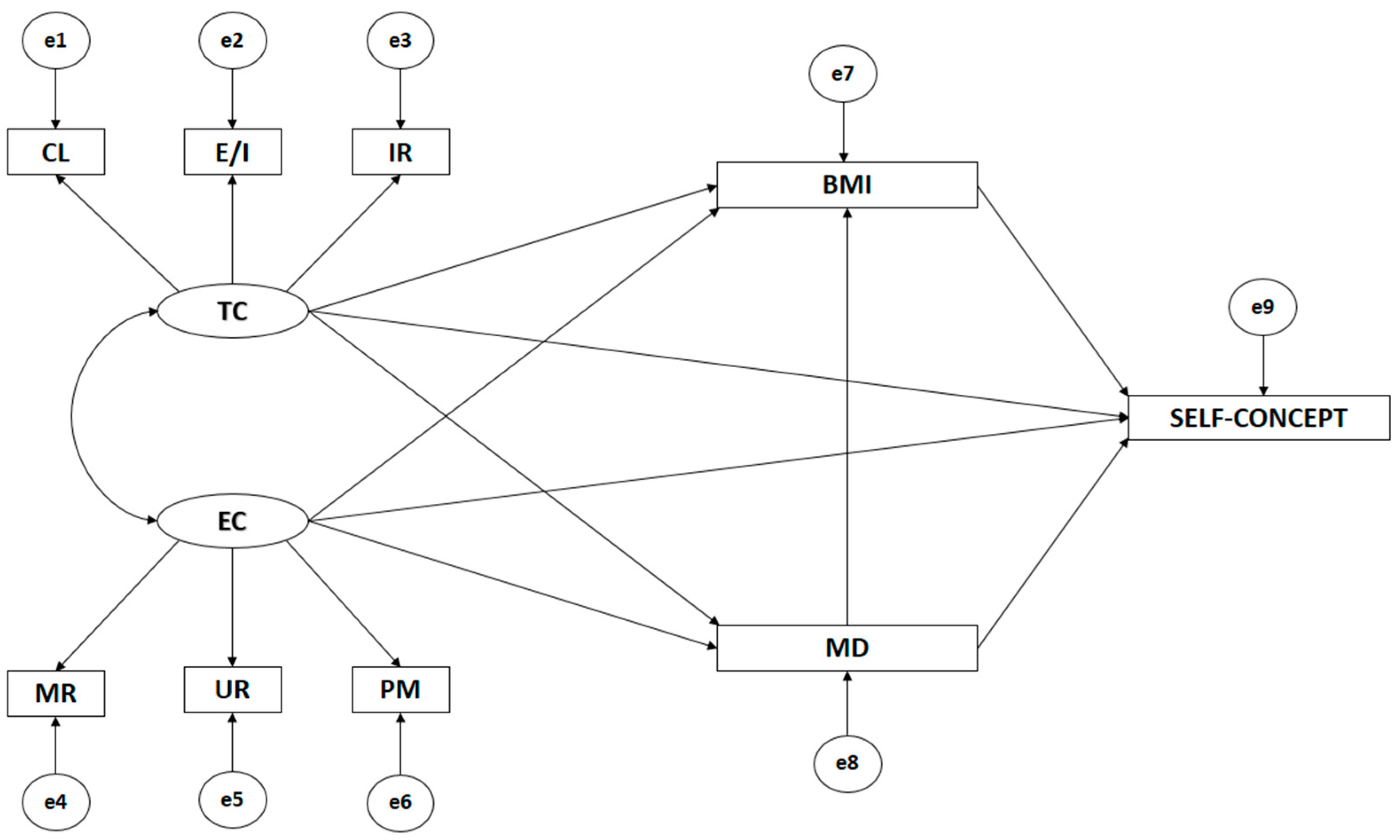
- The task-oriented motivational climate is more prevalent than the ego-oriented climate, showing an inverse relationship between both variables which is stronger in girls. The category of the task climate that exercised the greatest influence was effort or improvement, while unequal recognition was the most influential dimension of the ego climate in both sexes.
- An inverse relationship was found to exist between the task climate and body mass index, and a direct relationship was found between the ego climate and body mass index. Mediterranean diet adherence was directly related to the task climate, while an ego climate was negatively associated. A positive relationship exists between the task climate and the self-concept of school children, while the relationship with the ego climate is negative, suggesting that a greater orientation towards the task improves self-concept. Greater adherence to the Mediterranean diet is related to a lower body mass index. Finally, a negative relationship is found between self-concept and body mass index, showing that a lower body mass index improves self-concept.
Author Contributions
Funding
Conflicts of Interest
References
- Schaller, M.; Kenrick, D.T.; Neel, R.; Neuberg, S.L. Evolution and human motivation: A fundamental motives framework. Soc. Person. Psychol. Compass 2017, 11, e12319. [Google Scholar] [CrossRef]
- Quested, E.; Ntoumanis, N.; Thøgersen-Ntoumani, C.; Hagger, M.S.; Hancox, J.E. Evaluating quality of implementation in physical activity interventions based on theories of motivation: Current challenges and future directions. Int. Rev. Sport Exerc. Psychol. 2017, 11, 252–269. [Google Scholar] [CrossRef]
- Dweck, C.S. From needs to goals and representations: Foundations for a unified theory of motivation, personality, and development. Psychol. Rev. 2017, 124, 689–719. [Google Scholar] [CrossRef]
- Deci, E.L.; Ryan, R.M. Intrinsic Motivation and Self-Determination in Human Behaviour; Plenum: New York, NY, USA, 1985; ISBN 978-1-4899-2271-7. [Google Scholar]
- Nicholls, J.G. The Competitive Ethos and Democratic Education; Harvard University Press: London, UK, 1984; ISBN 9780674154179. [Google Scholar]
- Ring, C.; Kavussanu, M. The impact of achievement goals on cheating in sport. Psychol. Sport Exer. 2018, 35, 98–103. [Google Scholar] [CrossRef]
- Maehr, M.L.; Braskamp, L.A. The Motivational Factor: A Theory of Personal Investment; Lexington Books: New York, NY, USA, 1986; ISBN 9780669112269. [Google Scholar]
- Start, A.; Pickering, M.A.; Kercher, V.; Taylor, K.; Hoomiratana, A.; Vidic, Z.; Burton, D. Multi-group measurement invariance analysis of the Task and Ego Orientation in Sport Questionnaire. Int. J. Sport Psychol. 2017, 48, 610–624. [Google Scholar] [CrossRef]
- Lochbaum, M.; Kallinen, V.; Konttinen, N. Task and Ego Goal Orientations across the Youth Sports Experience. Studia Sport 2017, 11, 99–105. [Google Scholar] [CrossRef]
- Jaakkola, T.; Yli-Piipari, S.; Barkoukis, V.; Liukkonen, J. Relationships among perceived motivational climate, motivational regulations, enjoyment, and PA participation among Finnish physical education students. Int. J. Sport Psychol. 2017, 15, 273–290. [Google Scholar] [CrossRef]
- Nerstad, C.G.; Dysvik, A.; Kuvaas, B.; Buch, R. Negative and positive synergies: On employee development practices, motivational climate, and employee outcomes. Hum. Resour. Manag. 2018, 57, 1285–1302. [Google Scholar] [CrossRef]
- Johnson, C.E.; Erwin, H.E.; Kipp, L.; Beighle, A. Student Perceived Motivational Climate, Enjoyment, and Physical Activity in Middle School Physical Education. J. Teach. Phys. Educ. 2017, 36, 398–408. [Google Scholar] [CrossRef]
- Faught, E.L.; Ekwaru, J.P.; Gleddie, D.; Storey, K.E.; Asbridge, M.; Veugelers, P.J. The combined impact of diet, physical activity, sleep and screen time on academic achievement: A prospective study of elementary school students in Nova Scotia, Canada. Int. J. Behav. Nutr. Phys. 2017, 14, 29–38. [Google Scholar] [CrossRef]
- Tremblay, M.S.; Chaput, J.P.; Adamo, K.B.; Aubert, S.; Barnes, J.D.; Choquette, L.; Grey, C.E.; Gruber, R.; Janson, K.; Janssen, I.; et al. Canadian 24-hour movement guidelines for the early years (0–4 years): An integration of physical activity, sedentary behaviour, and sleep. BMC Public Health 2017, 17, 874–886. [Google Scholar] [CrossRef]
- Schlechter, C.R.; Rosenkranz, R.R.; Milliken, G.A.; Dzewaltowski, D.A. Physical activity levels during youth sport practice: Does coach training or experience have an influence? J. Sport Sci. 2017, 35, 22–28. [Google Scholar] [CrossRef]
- Afeiche, M.C.; Taillie, L.S.; Hopkins, S.; Eldridge, A.L.; Popkin, B.M. Breakfast Dietary Patterns among Mexican Children Are Related to Total-Day Diet Quality–3. J. Nutr. 2017, 147, 404–412. [Google Scholar] [CrossRef]
- Rose, C.M.; Birch, L.L.; Savage, J.S. Dietary patterns in infancy are associated with child diet and weight outcomes at 6 years. Int. J. Obes. 2017, 41, 783–788. [Google Scholar] [CrossRef]
- Petroka, K.; Dinu, M.; Hoover, C.; Casini, A.; Sofi, F. Short-term Exposure to a Mediterranean Environment Influences Attitudes and Dietary Profile in US College Students: The Mediterranean Diet in Americans (A-MED-AME) Pilot Study. J. Am. Coll. Nutr. 2017, 35, 621–626. [Google Scholar] [CrossRef]
- Idelson, P.I.; Scalfi, L.; Valerio, G. Adherence to the Mediterranean Diet in children and adolescents: A systematic review. Nutr. Metab. Cardiovasc. 2017, 27, 283–299. [Google Scholar] [CrossRef]
- Guasch-Ferré, M.; Salas-Salvadó;, J.; Ros, E.; Estruch, R.; Corella, D.; Fitó, M.; Martínez-González, M.A.; PREDIMED Investigators. The PREDIMED trial, Mediterranean diet and health outcomes: How strong is the evidence? Nutr. Metab. Cardiovasc. 2017, 27, 624–632. [Google Scholar] [CrossRef]
- Tosti, V.; Bertozzi, B.; Fontana, L. Health benefits of the mediterranean diet: Metabolic and molecular mechanisms. J. Gerontol. A-Biol. 2017, 73, 318–326. [Google Scholar] [CrossRef]
- Esnaola, I.; Elosua, P.; Freeman, J. Internal structure of academic self-concept through the Self-Description Questionnaire II-Short (SDQII-S). Learn. Indiv. Differ. 2018, 62, 174–179. [Google Scholar] [CrossRef]
- Turner, H.A.; Shattuck, A.; Finkelhor, D.; Hamby, S. Effects of poly-victimization on adolescent social support, self-concept, and psychological distress. J. Interpers. Violence 2017, 32, 755–780. [Google Scholar] [CrossRef]
- Rey, O.; Vallier, J.M.; Nicol, C.; Mercier, C.S.; Maïano, C. Repeated Effects of Vigorous Interval Training in Basketball, Running-Biking, and Boxing on the Physical Self-Perceptions of Obese Adolescents. J. Appl. Sport Psychol. 2018, 30, 64–82. [Google Scholar] [CrossRef]
- Clark, C.C.; Barnes, C.M.; Summers, H.D.; Mackintosh, K.; Stratton, G. Profiling Movement Quality Characteristics of Children (9-11y) During Recess. Eur. J. Hum. Mov. 2018, 39, 143–160. [Google Scholar]
- Volpe, R.J.; Casale, G.; Mohiyeddini, C.; Grosche, M.; Hennemann, T.; Briesch, A.M.; Daniels, B. A universal behavioral screener linked to personalized classroom interventions: Psychometric characteristics in a large sample of German schoolchildren. J. Sch. Psychol. 2018, 66, 25–40. [Google Scholar] [CrossRef]
- Gunter, K.; Jackson, J.A.; Nader, P.A.; John, D.H. The Association of Rural Elementary School Environmental Characteristics with Children’s Physical Activity Levels at School. Int. J. Sch. Health 2018, 5, e58213. [Google Scholar] [CrossRef]
- Ruiz-Hermosa, A.; Martínez-Vizcaíno, V.; Alvarez-Bueno, C.; García-Prieto, J.C.; Pardo-Guijarro, M.J.; Sánchez-López, M. No Association Between Active Commuting to School, Adiposity, Fitness, and Cognition in Spanish Children: The MOVI-KIDS Study. J. Sch. Health 2018, 88, 839–846. [Google Scholar] [CrossRef]
- Newton, M.; Duda, J.L.; Yin, Z. Examination of the psychometric properties of the Perceived Motivational Climate in Sport Questionnaire-2 in a sample of female athletes. J. Sport Sci. 2000, 18, 275–290. [Google Scholar] [CrossRef]
- González-Cutre, D.; Sicilia, A.; Moreno, J.A. Cognitive-social model of the motivation of achievement in physical education. Psicothema 2008, 20, 642–651. [Google Scholar]
- Serra-Majem, L.; Ribas, L.; Ngo, J.; Ortega, R.M.; García, A.; Pérez-Rodrigo, C.; Aranceta, J. Food, youth and the Mediterranean diet in Spain. Development of KIDMED, Mediterranean Diet Quality Index in children and adolescents. Public Health Nutr. 2004, 7, 931–935. [Google Scholar] [CrossRef]
- García, F.; Musitu, G. AF5: Self-Concept Form 5; TEA Ediciones: Madrid, Spain, 1999. [Google Scholar]
- Shavelson, R.J.; Hubner, J.J.; Stanton, J.C. Self-concept: Validation of construct interpretations. Rev. Educ. Res. 1976, 46, 407–441. [Google Scholar] [CrossRef]
- Marsh, H.W. Handbook of Sport Psychology, 3rd ed.; John Wiley & Sons: Hoboken, NJ, USA, 2007. [Google Scholar]
- Cortis, C.; Puggina, A.; Pesce, C.; Aleksovska, K.; Buck, C.; Burns, C.; Cardon, G.; Carlin, A.; Simon, C.; Ciarapica, D.; et al. Psychological determinants of physical activity across the life course: A “DEterminants of DIet and Physical Activity” (DEDIPAC) umbrella systematic literature review. PLoS ONE 2017, 12, e0182709. [Google Scholar] [CrossRef]
- Gettens, K.M.; Carbonneau, N.; Koestner, R.; Powers, T.A.; Gorin, A.A. The role of partner autonomy support in motivation, well-being, and weight loss among women with higher baseline BMI. Fam. Syst. Health 2018, 36, 347–356. [Google Scholar] [CrossRef]
- Rudd, J.R.; Barnett, L.M.; Farrow, D.; Berry, J.; Borkoles, E.; Polman, R. The Impact of Gymnastics on Children’s Physical Self-Concept and Movement Skill Development in Primary Schools. Meas. Phys. Educ. Exer. Sci. 2017, 21, 92–100. [Google Scholar] [CrossRef]
- Yadav, M.S.; Yadav, D.K.; Baral, M.D. Knowledge and perception of physical activities and dietary habits among adolescents of Dharan. Glob. J. Res. Anal. 2018, 6, 31–33. [Google Scholar] [CrossRef]
- Chacón-Cuberos, R.; Castro-Sánchez, M.; González-Campos, G.; Zurita-Ortega, F. Victimization in school, digital leisure and irritability: Analysis using structural equations. Relieve 2018, 24, 1–12. [Google Scholar] [CrossRef]
- Bartholomew, K.J.; Ntoumanis, N.; Mouratidis, A.; Katartzi, E.; Thøgersen-Ntoumani, C.; Vlachopoulos, S. Beware of your teaching style: A school-year long investigation of controlling teaching and student motivational experiences. Eur. Res. Int. 2018, 53, 50–63. [Google Scholar] [CrossRef]
- Gano-Overway, L.; Steele, E.; Boyce, A.; Whaley, D. Exploring relationships between the coach-initiated motivational climate and psychological coping skills over the high school American football season. Int. J. Sport Sci. Coach. 2017, 12, 790–794. [Google Scholar] [CrossRef]
- Masci, I.; Schmidt, M.; Marchetti, R.; Vannozzi, G.; Pesce, C. When Children’s Perceived and Actual Motor Competence Mismatch: Sport Participation and Gender Differences. J. Motor Learn. Dev. 2017, 1–33. [Google Scholar] [CrossRef]
- Ada, E.N.; Çetinkalp, Z.K.; Altiparmak, M.E.; Asci, F.H. Flow Experiences in Physical Education Classes: The Role of Perceived Motivational Climate and Situational Motivation. Asian J. Educ. Train. 2018, 4, 114–120. [Google Scholar] [CrossRef]
- Hogue, C.M.; Fry, M.D.; Fry, A.C. The differential impact of motivational climate on adolescents’ psychological and physiological stress responses. Psychol. Sport Exerc. 2017, 30, 118–127. [Google Scholar] [CrossRef]
- van Aart, I.; Hartman, E.; Elferink-Gemser, M.; Mombarg, R.; Visscher, C. Relations among basic psychological needs, PE-motivation and fundamental movement skills in 9–12-year-old boys and girls in Physical Education. Phys. Educ. Sport PEDA 2017, 22, 15–34. [Google Scholar] [CrossRef]
- Deelen, I.; Ettema, D.; Kamphuis, C.B. Time-use and environmental determinants of dropout from organized youth football and tennis. BMC Public Health 2018, 18, 1022. [Google Scholar] [CrossRef] [PubMed]
- Miller, S.; Fry, M. Relationship Between Motivational Climate to Body Esteem and Social Physique Anxiety Within College Physical Activity Classes. J. Clin. Sport Psychol. 2018, 12, 525–543. [Google Scholar] [CrossRef]
- Balaguer, I.; Duda, J.L.; Castillo, I. Motivational Antecedents of Well-Being and Health Related Behaviors in Adolescents. J. Hum. Kinet. 2017, 59, 121–130. [Google Scholar] [CrossRef] [PubMed]
- Hall, M.S.; Newland, A.; Newton, M.; Podlog, L.; Baucom, B.R. Perceptions of the Social Psychological Climate and Sport Commitment in Adolescent Athletes: A Multilevel Analysis. J. Appl. Sport Psychol. 2017, 29, 75–87. [Google Scholar] [CrossRef]
- Agans, J.P.; Su, S.; Ettekal, A.V. Peer motivational climate and character development: Testing a practitioner-developed youth sport model. J. Adolesc. 2018, 62, 108–115. [Google Scholar] [CrossRef] [PubMed]
- Breslin, G.; Shannon, S.; Fitzpatrick, B.; Hanna, D.; Belton, S.; Brennan, D. Physical activity, well-being and needs satisfaction in eight and nine-year-old children from areas of socio-economic disadvantage. Child Care Pract. 2017, 23, 275–291. [Google Scholar] [CrossRef]
- Chacón, R.; Zurita, F.; Puertas, P.; Knox, E.; Cofré, C.; Viciana, V.; y Muros, J.J. Relationship between Healthy Habits and Perceived Motivational Climate in Sport among University Students: A Structural Equation Model. Sustainability 2018, 10, 938. [Google Scholar] [CrossRef]
- Manyanga, T.; Tremblay, M.S.; Chaput, J.P.; Katzmarzyk, P.T.; Fogelholm, M.; Hu, G.; Kuriyan, R.; Kurpad, A.; Lambert, E.V.; Maia, J.; et al. Socioeconomic status and dietary patterns in children from around the world: Different associations by levels of country human development? BMC Public Health 2017, 17, 457–468. [Google Scholar] [CrossRef]
- Morgan, K. Reconceptualizing motivational climate in physical education and sport coaching: An interdisciplinary perspective. Quest 2017, 69, 95–112. [Google Scholar] [CrossRef]
- Browman, A.S.; Destin, M. The effects of a warm or chilly climate toward socioeconomic diversity on academic motivation and self-concept. Pers. Soc. Psychol. B 2016, 42, 172–187. [Google Scholar] [CrossRef]
- Grosso, G.; Marventano, S.; Yang, J.; Micek, A.; Pajak, A.; Scalfi, L.; Galvano, F.; Kales, S.N. A comprehensive meta-analysis on evidence of Mediterranean diet and cardiovascular disease: Are individual components equal? Crit. Rev. Food Sci. 2017, 57, 3218–3232. [Google Scholar] [CrossRef] [PubMed]
- Buscemi, S.; Marventano, S.; Castellano, S.; Nolfo, F.; Rametta, S.; Giorgianni, G.; Matalone, M.; Marranzano, M.; Mistretta, A. Role of anthropometric factors, self-perception, and diet on weight misperception among young adolescents: A cross-sectional study. Eat. Weight Disord. 2018, 23, 107–115. [Google Scholar] [CrossRef] [PubMed]
- Muros, J.J.; Cofre-Bolados, C.; Arriscado, D.; Zurita, F.; Knox, E. Mediterranean diet adherence is associated with lifestyle, physical fitness, and mental wellness among 10-y-olds in Chile. Nutrition 2017, 35, 87–92. [Google Scholar] [CrossRef] [PubMed]
- Sánchez-Zafra, M.; Zurita-Ortega, F.; Ramírez-Granizo, I.; Puertas-Molero, P.; González-Valero, G.; Ubago-Jiménez, J.L. Levels of self-concept and its relations with the use of video games in third grade primary school students. J. Sport Health Res. 2019, 11, 43–54. [Google Scholar]
- Zsakai, A.; Karkus, Z.; Utczas, K.; Bodzsar, E.B. Body structure and physical self-concept in early adolescence. J. Early Adolesc. 2017, 37, 316–338. [Google Scholar] [CrossRef]
- Rey, O.; Vallier, J.M.; Nicol, C.; Mercier, C.S.; Maïano, C. Effects of combined vigorous interval training program and diet on body composition, Physical fitness, and physical self-perceptions among obese adolescent boys and girls. Pediatr. Exerc. Sci. 2017, 29, 73–83. [Google Scholar] [CrossRef] [PubMed]
- Hegna, K. Conflicts, competition and social support in female-dominated vocational education–breaking or reaffirming stereotypical femininity? J. Voc. Educ. Train. 2017, 69, 196–213. [Google Scholar] [CrossRef]



| Associations between Variables | R.W. | S.R.W. | |||||
|---|---|---|---|---|---|---|---|
| Estimations | E.E. | C.R. | P | Estimations | |||
| MD | ← | TC | −0.182 | 0.029 | −6.274 | *** | −0.272 |
| MD | ← | EC | −0.184 | 0.057 | −3.258 | 0.019 | −0.152 |
| BMI | ← | TC | −1.887 | 0.723 | −2.609 | 0.038 | −0.140 |
| BMI | ← | EC | 0.502 | 0.253 | 1.984 | 0.047 | 0.093 |
| BMI | ← | MD | −34.737 | 11.763 | −2.953 | 0.030 | −0.138 |
| CL | ← | TC | 1.000 | − | − | *** | 0.802 |
| E/I | ← | TC | 1.187 | 0.046 | 25.900 | *** | 0.917 |
| IR | ← | TC | 1.049 | 0.044 | 23.792 | *** | 0.831 |
| MR | ← | EC | 1.000 | − | − | *** | 0.541 |
| UR | ← | EC | 0.654 | 0.055 | 11.941 | *** | 0.825 |
| PM | ← | EC | 1.222 | 0.101 | 12.124 | *** | 0.753 |
| SELF-CONCEPT | ← | TC | 0.389 | 0.030 | 13.084 | *** | 0.509 |
| SELF-CONCEPT | ← | EC | −0.193 | 0.042 | −4.599 | *** | −0.180 |
| SELF-CONCEPT | ← | MD | 3.134 | 0.756 | 4.146 | *** | 0.224 |
| SELF-CONCEPT | ← | BMI | −0.082 | 0.014 | −5.750 | *** | −0.266 |
| EC | ← | TC | −0.123 | 0.020 | −6.009 | *** | −0.318 |
| Associations between Variables | R.W. | S.R.W. | |||||
|---|---|---|---|---|---|---|---|
| Estimations | SE.E. | C.R. | P | Estimations | |||
| MD | ← | TC | 0.184 | 0.035 | 5.291 | *** | 0.222 |
| MD | ← | EC | −0.014 | 0.007 | −2.027 | 0.028 | −0.111 |
| BMI | ← | TC | −24.550 | 8.539 | −2.875 | 0.002 | −0.153 |
| BMI | ← | EC | 0.012 | 0.007 | 1.687 | 0.031 | 0.081 |
| BMI | ← | MD | −0.029 | 0.009 | −3.125 | *** | −0.174 |
| CL | ← | TC | 1.000 | − | − | *** | 0.726 |
| E/I | ← | TC | 1.170 | 0.056 | 20.938 | *** | 0.877 |
| IR | ← | TC | 0.951 | 0.050 | 18.884 | *** | 0.725 |
| MR | ← | EC | 1.000 | − | − | *** | 0.616 |
| UR | ← | EC | 0.564 | 0.035 | 15.899 | *** | 0.872 |
| PM | ← | EC | 1.054 | 0.065 | 16.154 | *** | 0.759 |
| SELF-CONCEPT | ← | TC | 0.465 | 0.034 | 13.603 | *** | 0.571 |
| SELF-CONCEPT | ← | EC | 0.062 | 0.029 | 2.160 | 0.014 | −0.079 |
| SELF-CONCEPT | ← | MD | 0.016 | 0.006 | 2.670 | 0.012 | 0.145 |
| SELF-CONCEPT | ← | BMI | −17.183 | 3.421 | −5.022 | *** | −0.277 |
| EC | ← | TC | −0.164 | 0.023 | −7.292 | *** | −0.357 |
© 2019 by the authors. Licensee MDPI, Basel, Switzerland. This article is an open access article distributed under the terms and conditions of the Creative Commons Attribution (CC BY) license (http://creativecommons.org/licenses/by/4.0/).
Share and Cite
Castro-Sánchez, M.; Zurita-Ortega, F.; García-Marmol, E.; Chacón-Cuberos, R. Motivational Climate towards the Practice of Physical Activity, Self-Concept, and Healthy Factors in the School Environment. Sustainability 2019, 11, 999. https://doi.org/10.3390/su11040999
Castro-Sánchez M, Zurita-Ortega F, García-Marmol E, Chacón-Cuberos R. Motivational Climate towards the Practice of Physical Activity, Self-Concept, and Healthy Factors in the School Environment. Sustainability. 2019; 11(4):999. https://doi.org/10.3390/su11040999
Chicago/Turabian StyleCastro-Sánchez, Manuel, Félix Zurita-Ortega, Eduardo García-Marmol, and Ramón Chacón-Cuberos. 2019. "Motivational Climate towards the Practice of Physical Activity, Self-Concept, and Healthy Factors in the School Environment" Sustainability 11, no. 4: 999. https://doi.org/10.3390/su11040999
APA StyleCastro-Sánchez, M., Zurita-Ortega, F., García-Marmol, E., & Chacón-Cuberos, R. (2019). Motivational Climate towards the Practice of Physical Activity, Self-Concept, and Healthy Factors in the School Environment. Sustainability, 11(4), 999. https://doi.org/10.3390/su11040999

