Sea Surface-Visible Aquaculture Spatial-Temporal Distribution Remote Sensing: A Case Study in Liaoning Province, China from 2000 to 2018
Abstract
1. Introduction
2. Study Area and Data
3. Methods
3.1. Aquaculture Area Extraction
3.2. Accuracy Evaluation of Extracted Aquaculture Areas
3.3. Analysis Method of Temporal and Spatial Distribution of Aquaculture Areas
4. Results
4.1. Dynamic Space Change of Aquaculture Areas
4.2. Spatial Pattern Change of Aquaculture Areas
4.3. Spatial Change of Centroid of Aquaculture Areas
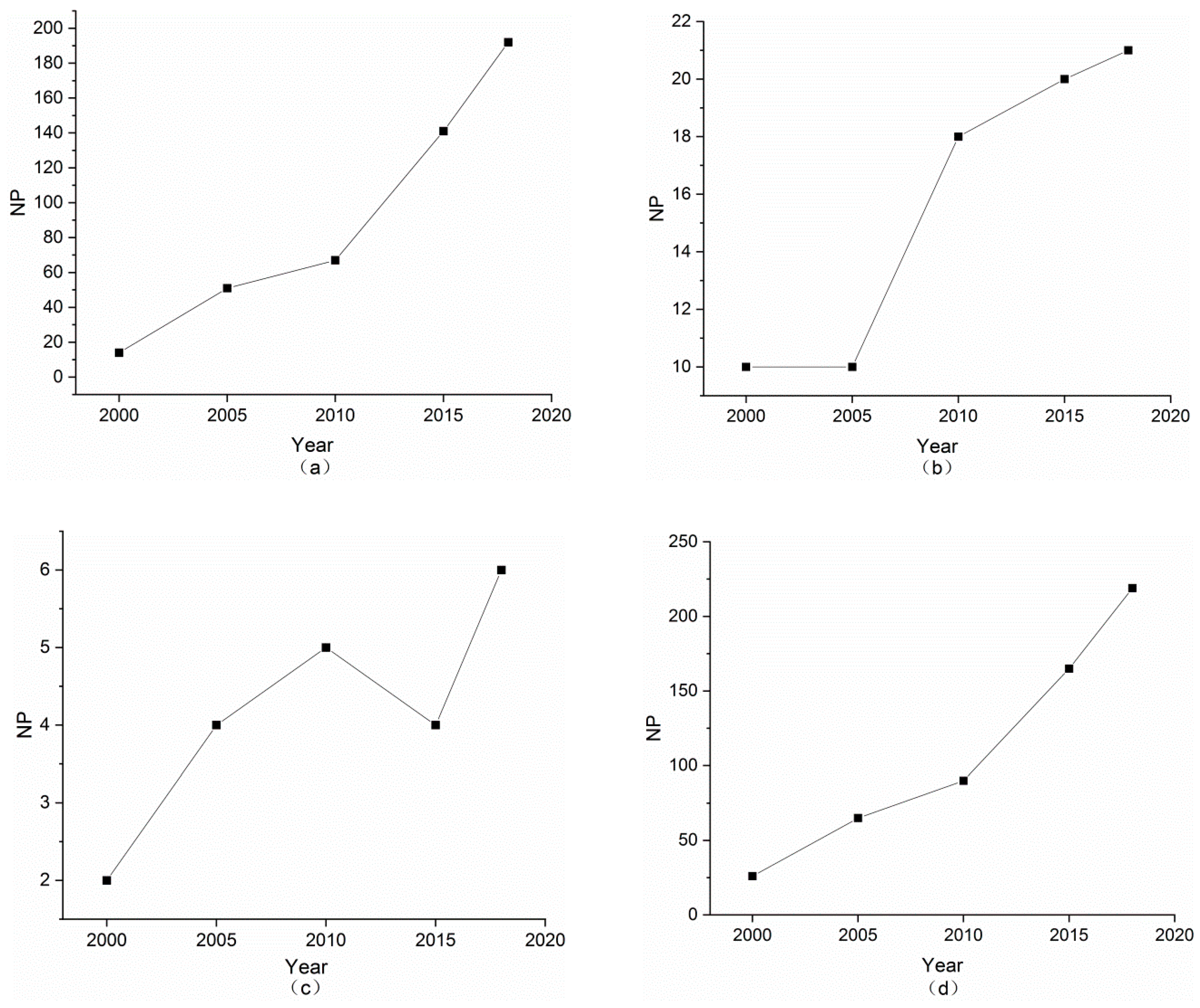
4.4. Structure of Scale Change of Aquaculture
5. Discussion
5.1. Analysis of the Reasons Behind Spatial Pattern Change
5.2. Analysis of the Scale of Aquaculture
5.3. Advantages and Disadvantages of Remote Sensing Extraction Aquaculture
6. Conclusions
Author Contributions
Funding
Conflicts of Interest
References
- Lange, M.; Page, G.; Cummins, V. Governance challenges of marine renewable energy developments in the USA—Creating the enabling conditions for successful project development. Mar. Policy 2018, 90, 37–46. [Google Scholar] [CrossRef]
- Ngoc, Q.T.K. Impacts on the ecosystem and human well-being of the marine protected area in Cu Lao Cham, Vietnam. Mar. Policy 2018, 90, 174–183. [Google Scholar] [CrossRef]
- Ren, W.; Ji, J.; Lei, C.; Yi, Z. Evaluation of China’s marine economic efficiency under environmental constraints—an empirical analysis of China’s eleven coastal regions. J. Clean. Prod. 2018, 184, 806–814. [Google Scholar] [CrossRef]
- Popov, I.Y. Overfishing in the Baltic Sea basin in Russia, its impact on the pearl mussel, and possibilities for the conservation of riverine ecosystems in conditions of high anthropogenic pressure. Biol. Bull. 2017, 44, 39–44. [Google Scholar] [CrossRef]
- Riskas, K.A.; Tobin, R.C.; Fuentes, M.M.P.B.; Hamann, M. Evaluating the threat of IUU fishing to sea turtles in the Indian Ocean and Southeast Asia using expert elicitation. Biol. Conserv. 2018, 217, 232–239. [Google Scholar] [CrossRef]
- Wibawa, T.A.; Lehodey, P.; Senina, I. Standardization of a geo-referenced fishing dataset for the IndianOcean Bigeye Tuna, Thunnus obesus (1952–2014). Earth Syst. Sci. Data 2017, 9, 1–26. [Google Scholar] [CrossRef]
- FAO. The State of World Fisheries and Aquaculture 2018-Meeting the Sustainable Development Goals; FAO: Rome, Italy, 2018. [Google Scholar]
- Neori, A. Essential role of seaweed cultivation in integrated multi-trophic aquaculture farms for global expansion of mariculture: An analysis. J. Appl. Phycol. 2008, 20, 567–570. [Google Scholar] [CrossRef]
- Selvaraj, G.S.D. Mariculture in India, its potentialities and practical applications. Seaf. Export J. 1973, 5, 29–37. [Google Scholar]
- Eng, C.T.; Paw, J.N.; Guarin, F.Y. The environmental impact of aquaculture and the effects of pollution on coastal aquaculture development in Southeast Asia. Mar. Pollut. Bull. 1989, 20, 335–343. [Google Scholar]
- Schwitzguébel, J.-P.; Wang, H. Environmental impact of aquaculture and countermeasures to aquaculture pollution in China. Environ. Sci. Pollut. Res. Int. 2007, 14, 452–462. [Google Scholar] [CrossRef]
- Zhang, J.; Wang, W.; Han, T.; Liu, D.; Fang, J.; Jiang, Z.; Liu, X.; Zhang, X.; Lian, Y. The distributions of dissolved nutrients in spring of Sungo Bay and potential reason of outbreak of red tide. J. Fish. China 2012, 36, 132–139. [Google Scholar] [CrossRef]
- Liu, F.; Dong, X.; Ma, Y.; Yang, X. Dynamic Monitoring Based on 3G Technology of Mariculture. In Proceedings of the International Workshop on Intelligent Systems & Applications, Wuhan, China, 28–29 May 2011. [Google Scholar]
- Wang, M.; Li, G.; Liu, Y.; Yang, H.; Zhou, Y. Dynamic changes of mariculture areas in eastern Shandong Peninsula in recent 20 years. J. Appl. Oceanogr. 2017, 36, 319–326. [Google Scholar]
- David, L.T.; Pastor-Rengel, D.; Talaue-McManus, L.; Magdaong, E.; Salalila-Aruelo, R.; Bangi, H.G.; San Diego-McGlone, M.L.; Villanoy, C.; Cordero-Bailey, K. The saga of community learning: Mariculture and the Bolinao experience. Aquat. Ecosyst. Health Manag. 2014, 17, 196–204. [Google Scholar] [CrossRef]
- Mccarthy, M.J.; Colna, K.E.; El-Mezayen, M.M.; Laureano-Rosario, A.E.; Méndez-Lázaro, P.; Otis, D.B.; Toro-Farmer, G.; Vega-Rodriguez, M.; Muller-Karger, F.E. Satellite Remote Sensing for Coastal Management: A Review of Successful Applications. Environ. Manag. 2017, 60, 1–17. [Google Scholar] [CrossRef] [PubMed]
- Nurdin, S.; Mustapha, M.A.; Lihan, T.; Abd Ghaffar, M. Determination of Potential Fishing Grounds of Rastrelliger kanagurta Using Satellite Remote Sensing and GIS Technique. Sains Malays. 2015, 44, 225–232. [Google Scholar] [CrossRef]
- Wang, Z.; Lu, C.; Yang, X. Exponentially sampling scale parameters for the efficient segmentation of remote-sensing images. Int. J. Remote Sens. 2018, 39, 1628–1654. [Google Scholar] [CrossRef]
- Yueming, L.; Xiaomei, Y.; Zhihua, W.; Chen, L. Extracting raft aquaculture areas in Sanduao from high-resolution remote sensing images using RCF. Acta Oceanol. Sin. 2019, 41, 119–130. [Google Scholar]
- Ren, C.; Wang, Z.; Bai, Z.; Lin, L.; Lin, C.; Song, K.; Jia, M. Remote monitoring of expansion of aquaculture ponds along coastal region of the Yellow River Delta from 1983 to 2015. Chin. Geogr. Sci. 2018, 28, 1–13. [Google Scholar] [CrossRef]
- Pattanaik, C.; Prasad, S.N. Assessment of aquaculture impact on mangroves of Mahanadi delta (Orissa), East coast of India using remote sensing and GIS. Ocean Coast. Manag. 2011, 54, 789–795. [Google Scholar] [CrossRef]
- Sridhar, P.N.; Surendran, A.; Ramana, I.V. Auto-extraction technique-based digital classification of saltpans and aquaculture plots using satellite data. Int. J. Remote Sens. 2008, 29, 313–323. [Google Scholar] [CrossRef]
- Prasad, K.A.; Ottinger, M.; Wei, C.; Leinenkugel, P. Assessment of Coastal Aquaculture for India from Sentinel-1 SAR Time Series. Remote Sens. 2019, 11, 357. [Google Scholar] [CrossRef]
- Wang, Z.; Yang, X.; Liu, Y.; Chen, L. Extraction of coastal raft cultivation area with heterogeneous water background by thresholding object-based visually salient NDVI from high spatial resolution imagery. Remote Sens. Lett. 2018, 9, 839–846. [Google Scholar] [CrossRef]
- Wang, J.; Sui, L.; Yang, X.; Wang, Z.; Liu, Y.; Kang, J.; Lu, C.; Yang, F.; Liu, B. Extracting Coastal Raft Aquaculture Data from Landsat 8 OLI Imagery. Sensors 2019, 19, 1221. [Google Scholar] [CrossRef] [PubMed]
- Liu, Y.; Yang, X.; Wang, Z.; Lu, C.; Li, Z.; Yang, F. Aquaculture area extraction and vulnerability assessment in Sanduao based on richer convolutional features network model. J. Oceanol. Limnol. 2019, 37, 1941–1954. [Google Scholar] [CrossRef]
- Hu, Y.; Fan, J.; Wang, J. Modifying generalized statistical region merging for unsupervised extraction of floating raft aquaculture in SAR images. J. Image Graph. 2017, 22, 610–621. [Google Scholar]
- Sun, J.; Wang, Y.; Zhang, D. Marine-fishery-dominated Varieties and Maricultural Development of Liaoning Province. J. Shenyang Agric. Univ. Soc. Sci. Ed. 2013, 15, 30–33. [Google Scholar]
- Li, G.; Liu, C.; Liu, Y.; Yang, J.; Zhang, X.; Guo, K. Effects of climate, disturbance and soil factors on the potential distribution of Liaotung oak (Quercus wutaishanica Mayr) in China. Ecol. Res. 2012, 27, 427–436. [Google Scholar] [CrossRef]
- Yuan, D.; Li, Y.; Wang, B.; He, L.; Hirose, N. Coastal circulation in the southwestern Yellow Sea in the summers of 2008 and 2009. Cont. Shelf Res. 2017, 143, 101–117. [Google Scholar] [CrossRef]
- Shirai, Y.; Harada, Y. An evaluation of marine protected areas considering the seasonal migration of fish: An examination for red sea bream Pagrus major and yellow croaker Larimichthys polyactis in the East China Sea and the Yellow Sea. Nippon Suisan Gakkaishi 2002, 68, 685–694. [Google Scholar] [CrossRef]
- Wu, Z.X.; Yang, G.J.; Song, L. Length-weight relationships of three fish species from Liaodong Bay, Bohai Sea, China. J. Appl. Ichthyol. 2017, 33, 867–868. [Google Scholar] [CrossRef]
- Ren, C.; Wang, Z.; Zhang, Y.; Zhang, B.; Chen, L.; Xi, Y.; Xiao, X.; Doughty, R.B.; Liu, M.; Jia, M.; et al. Rapid expansion of coastal aquaculture ponds in China from Landsat observations during 1984–2016. Int. J. Appl. Earth Obs. Geoinf. 2019, 82, 101902. [Google Scholar] [CrossRef]
- Wang, M.; Cui, Q.; Wang, J.; Ming, D.; Lv, G. Raft cultivation area extraction from high resolution remote sensing imagery by fusing multi-scale region-line primitive association features. ISPRS J. Photogramm. Remote Sens. 2017, 123, 104–113. [Google Scholar] [CrossRef]
- John, J.; Chithra, N.R.; Thampi, S.G. Prediction of land use/cover change in the Bharathapuzha river basin, India using geospatial techniques. Environ. Monit. Assess. 2019, 191, 354. [Google Scholar] [CrossRef] [PubMed]
- Li, D.; Lu, D.; Li, N.; Wu, M.; Shao, X. Quantifying annual land-cover change and vegetation greenness variation in a coastal ecosystem using dense time-series Landsat data. GISci. Remote Sens. 2019, 56, 769–793. [Google Scholar] [CrossRef]
- Shiferaw, H.; Bewket, W.; Alamirew, T.; Zeleke, G.; Teketay, D.; Bekele, K.; Schaffner, U.; Eckert, S. Implications of land use/land cover dynamics and Prosopis invasion on ecosystem service values in Afar Region, Ethiopia. Sci. Total Environ. 2019, 675, 354–366. [Google Scholar] [CrossRef]
- Feng, L.; Jia, Z.; Li, Q.; Zhao, A.; Zhang, Z.; Zhao, Y. Spatiotemporal Change of Aeolian Desertification Land Distribution in Northern China from 2001 to 2015. J. Indian Soc. Remote Sens. 2018, 46, 1555–1561. [Google Scholar] [CrossRef]
- Shi, G.; Jiang, N.; Li, Y.; He, B. Analysis of the Dynamic Urban Expansion Based on Multi-Sourced Data from 1998 to 2013: A Case Study of Jiangsu Province. Sustainability 2018, 10, 3467. [Google Scholar] [CrossRef]
- Gao, L.; Yang, X.; Su, F.; Liu, Y. Remote sensing analysis of gravity-center migration of the aquaculture in the Zhu-jiang River Estuary. J. Trop. Oceanogr. 2010, 29, 35–40. [Google Scholar]
- Liu, X.; Dong, J.; Yu, X.; Sun, M.; Wang, B.; Wang, X. Fishery resource structure in coastal waters of Liaoning Province. Mar. Fish. 2014, 36, 289–299. [Google Scholar]
- Zhang, Y.; Han, Z.; Liu, K.; Liu, G. Study of the exploitation of marine resources—A case study of Liaoning Province. J. Nat. Resour. 2010, 25, 785–794. [Google Scholar]
- Bi, Y.; Dong, J.; Wang, W.; Lin, J. Environment characteristics and aquaculture state of Xiaoyao Bay. Mar. Environ. Sci. 2001, 20, 30–33. [Google Scholar]
- Bi, Y.; Dong, J.; Jiang, S.; Li, J.; Yu, C. Effects of bivalve faft cultivation on environment characteristics of the XiaoYao Bay. Chin. J. Appl. Environ. Biol. 2002, 8, 270–275. [Google Scholar]
- Lu, T.; Wang, H.; Li, B. Key techniques of healthy breeding of sea cucumber in dalian area. Chin. Fish. 2012, 10, 53–55. [Google Scholar]
- Wang, G.; Guo, Z.; Gao, Y.; Lin, Y.; Li, Z.; Qi, Y.; Hu, Y.; Zhao, Q. Comparison of approximate and functional compositions in sea cucumber Apostichopus japonicus farmed in three patterns. J. Dalian Ocean Univ. 2015, 30, 185–189. [Google Scholar]
- Wang, P.; Lin, X.; Yu, Y.H.; Suo, A.N.; Yan, J.S. Comprehensive evaluation of bottom sowing breeding environment suitability in Changhai County based on GIS. Basic Clin. Pharmacol. Toxicol. 2016, 118, 97–98. [Google Scholar]
- Ke, L.; Wang, Q.; Li, Y.; Cao, Y. The Evaluation Model of Island Sustainable Development Based on Multi-Objective Variable Fuzzy Set Theory & mdash & mdash; Taking Changhai County in Liaoning Province as an Example. J. Nat. Resour. 2013, 28, 832–843. [Google Scholar]
- Chu, J.; Zhao, D.; Zhang, F.; Wei, B.; Li, C.; Suo, A. Monitor method of rafts cultivation by remote sense—A case of Changhai. Mar. Environ. Sci. 2008, 27, 35–40. [Google Scholar]
- Wu, G. Analysis on the trend of water pollution in dalian bay. Mar. Environ. Sci. 1993, 12, 53–58. [Google Scholar]
- Li, C. Reclamation projects impacts on the marine ecological environment in Dalian Bay. Dalian Marit. Univ. 2014. [Google Scholar]
- Ma, X.; Lin, Z.; Wang, L.; Mu, J.; Yu, L.; Wang, Y.; Zhang, Z.; Zhang, Z. Analysis of major pollution factors in sea water and contribution of pollution sourcesin Dalian Bay. Mar. Environ. Sci. 2016, 35, 417–421. [Google Scholar]
- Wang, P.; Ji, J. Research on China’s mariculture efficiency evaluation and influencing factors with undesirable outputs-an empirical analysis of China’s ten coastal regions. Aquac. Int. 2017, 25, 1521–1530. [Google Scholar] [CrossRef]
- Klinger, D.H.; Levin, S.A.; Watson, J.R. The growth of finfish in global open-ocean aquaculture under climate change. Proc. R Soc. B-Biol. Sci. 2017, 284, 20170834. [Google Scholar] [CrossRef] [PubMed]
- Liu, Y.; Saitoh, S.-I.; Igarashi, H.; Hirawake, T. The regional impacts of climate change on coastal environments and the aquaculture of Japanese scallops in northeast Asia: Case studies from Dalian, China, and Funka Bay, Japan. Int. J. Remote Sens. 2014, 35, 4422–4440. [Google Scholar] [CrossRef]
- Li, Z.; Cao, G.; Zhang, Y. The fishery development model of Changhai County and Zhangzi Island in Liaoning Province and its thinking. Hebei Fish. 2009, 41–43. [Google Scholar]
- Sun, J.; Lu, D.; Wang, B. Opportunities and challenges for fishery development in liaoning during the 12th five-year plan period. Liaoning Econ. 2012, 69–72. [Google Scholar]
- Cheng, T.F.; Zhou, W.F.; Fan, W. Progress in the Methods for Extracting Aquaculture Areas from Remote Sensing Data. Remote Sens. Land Resour. 2012, 94, 1–5. [Google Scholar]
- Lu, Y.; Li, Q.; Du, X.; Wang, H.; Liu, J. Method of Coastal Aquaculture Area Automatic Extraction with High Spatial Resolution Images. Remote Sens. Technol. Appl. 2015, 30, 486–494. [Google Scholar]













| Acquisition Time | Satellite | Sensor | Image Path/Row | Band Resolution |
|---|---|---|---|---|
| 17 March 2000 | Landsat7 | ETM+ | 119,033 | Multispectral 30 m, panchromatic 15 m |
| 18 March 2000 | Landsat7 | ETM+ | 120,033 | Multispectral 30 m, panchromatic 15 m |
| 18 January 2005 | Landsat5 | TM | 119,033 | Multispectral 30 m |
| 14 March 2005 | Landsat5 | TM | 120,033 | Multispectral 30 m |
| 6 April 2010 | Landsat5 | TM | 119,033 | Multispectral 30 m |
| 29 April 2010 | Landsat5 | TM | 120,033 | Multispectral 30 m |
| 20 April 2015 | Landsat8 | OLI-TIRS | 119,033 | Multispectral 30 m, panchromatic 15 m |
| 10 March 2015 | Landsat8 | OLI-TIRS | 120,033 | Multispectral 30 m, panchromatic 15 m |
| 11 March 2018 | Landsat8 | OLI-TIRS | 119,033 | Multispectral 30 m, panchromatic 15 m |
| 19 April 2018 | Landsat8 | OLI-TIRS | 120,033 | Multispectral 30 m, panchromatic 15 m |
| Year | 2000 | 2005 | 2010 | 2015 | 2018 | |||||
|---|---|---|---|---|---|---|---|---|---|---|
| Type | A | NA | A | NA | A | NA | A | NA | A | NA |
| A | 21 | 7 | 47 | 12 | 46 | 8 | 60 | 16 | 56 | 18 |
| NA | 2 | 170 | 7 | 134 | 7 | 139 | 3 | 121 | 2 | 124 |
| F-measure (%) | 82.4 | 83.2 | 86.0 | 86.3 | 84.9 | |||||
| Kappa | 0.79 | 0.76 | 0.80 | 0.79 | 0.78 | |||||
| Grade | I | II | III |
|---|---|---|---|
| Area, S (km2) | S < 1 | 1 < S < 10 | S > 10 |
| Period (Years) | 2000–2005 | 2005–2010 | 2010–2015 | 2015–2018 | 2000–2018 |
|---|---|---|---|---|---|
| migration distance (km) | 11.02 | 35.43 | 1.80 | 4.03 | 48.78 |
© 2019 by the authors. Licensee MDPI, Basel, Switzerland. This article is an open access article distributed under the terms and conditions of the Creative Commons Attribution (CC BY) license (http://creativecommons.org/licenses/by/4.0/).
Share and Cite
Kang, J.; Sui, L.; Yang, X.; Liu, Y.; Wang, Z.; Wang, J.; Yang, F.; Liu, B.; Ma, Y. Sea Surface-Visible Aquaculture Spatial-Temporal Distribution Remote Sensing: A Case Study in Liaoning Province, China from 2000 to 2018. Sustainability 2019, 11, 7186. https://doi.org/10.3390/su11247186
Kang J, Sui L, Yang X, Liu Y, Wang Z, Wang J, Yang F, Liu B, Ma Y. Sea Surface-Visible Aquaculture Spatial-Temporal Distribution Remote Sensing: A Case Study in Liaoning Province, China from 2000 to 2018. Sustainability. 2019; 11(24):7186. https://doi.org/10.3390/su11247186
Chicago/Turabian StyleKang, Junmei, Lichun Sui, Xiaomei Yang, Yueming Liu, Zhihua Wang, Jun Wang, Fengshuo Yang, Bin Liu, and Yuanzheng Ma. 2019. "Sea Surface-Visible Aquaculture Spatial-Temporal Distribution Remote Sensing: A Case Study in Liaoning Province, China from 2000 to 2018" Sustainability 11, no. 24: 7186. https://doi.org/10.3390/su11247186
APA StyleKang, J., Sui, L., Yang, X., Liu, Y., Wang, Z., Wang, J., Yang, F., Liu, B., & Ma, Y. (2019). Sea Surface-Visible Aquaculture Spatial-Temporal Distribution Remote Sensing: A Case Study in Liaoning Province, China from 2000 to 2018. Sustainability, 11(24), 7186. https://doi.org/10.3390/su11247186

