Fare Evasion in Public Transport: Grouping Transantiago Users’ Behavior
Abstract
:1. Introduction
2. Literature Survey
3. Methodology
- 10 items describing the user, including age, employment or activity, class of worker (employee, self-employed, etc.), district of residence, purpose of trip, duration of trip in current vehicle, frequency of bus use (days per week), whether or not transferring to the Metro, whether or not the user has an alternative to the bus.
- 42 statements whose reactions were placed on a four-point Likert scale ordered by level of agreement, with a fifth alternative if the indicator is not applicable. The wording of the statements is given in Appendix A.
- Nine observable variables recorded by the interviewer representing (i) the bus—operator company (concessionaire), route, number of doors, presence of turnstile; and (ii) the user—sex, nationality (Chilean, other), the district of the city they boarded in, and whether or not they evaded the fare upon boarding.
4. Results and Discussion
4.1. Classification of the Evaders
4.1.1. Group 1—Radical Evaders
4.1.2. Group 2—Strategic Evaders
4.1.3. Group 3—Ambivalent Evaders
4.1.4. Group 4—Accidental Evaders
4.2. Classification of the Non-Evaders
4.2.1. Group 1—Proud Non-Evaders
4.2.2. Group 2—Empathetic Non-Evaders
4.2.3. Group 3—Circumstantial Non-Evader
5. Conclusions
Author Contributions
Funding
Conflicts of Interest
Appendix A
| Id | Statement |
|---|---|
| 1 | I take care to have funds on my farecard if I plan to take the bus. |
| 2 | I take care to bring my farecard if I plan to take the bus. |
| 3 | If the fines for evasion were bigger, I would hesitate to evade. |
| 4 | Transantiago buses are safe. |
| 5 | I am satisfied with this bus’s service. |
| 6 | Transantiago shows concern for the welfare of its users. |
| 7 | The experience of being inspected affects my trip negatively. |
| 8 | In some cases evading is acceptable. |
| 9 | If there were more places where farecards could be recharged, there would be no justification for evading. |
| 10 | I feel guilty when I evade. |
| 11 | Transantiago buses are well maintained. |
| 12 | Turnstiles are effective in reducing evasion. |
| 13 | The bus business only benefits the bus operator companies. |
| 14 | It is evasion not to tap one’s farecard when boarding a bus after using the Metro. |
| 15 | All users should tap their farecard upon boarding a bus. |
| 16 | I am satisfied with the Transantiago bus service. |
| 17 | Fines are effective in reducing evasion. |
| 18 | My family’s values influence my behavior on paying fares. |
| 19 | Evading is dishonest. |
| 20 | Bus frequencies are sufficient for my needs. |
| 21 | Transantiago bus interiors are kept clean. |
| 22 | It bothers me when evaders occupy a seat. |
| 23 | Evading is unfair to the other passengers. |
| 24 | I would be afraid to evade if a ticket inspector was present. |
| 25 | If I lose my farecard, it is OK to evade. |
| 26 | Evasion is a valid form of protest. |
| 27 | I would prefer to have another way to charge my farecard. |
| 28 | Evasion has become generally accepted. |
| 29 | People only evade to save money. |
| 30 | Bus fares are too high for me, given my income. |
| 31 | I am not afraid of being fined when I evade. |
| 32 | Evading is disrespectful. |
| 33 | People I know are satisfied with Transantiago’s buses and service. |
| 34 | Evading is acceptable if my card runs out of funds. |
| 35 | Evasion is irresponsible. |
| 36 | The pay zone helps to reduce evasion. |
| 37 | Fares are low. |
| 38 | It is wrong not to pay the fare. |
| 39 | Evasion is an illicit act. |
| 40 | Paying in cash is preferable to the farecard system. |
| 41 | Evasion has become a daily occurrence. |
| 42 | Paying the bus fare is more important than paying for bread. |
Appendix B
| Characteristics | Evaders | Non-Evaders | Sample | |||||||
|---|---|---|---|---|---|---|---|---|---|---|
| Group 1 | Group 2 | Group 3 | Group 4 | Total Evaders | Group 1 | Group 2 | Group 3 | Total Non-Evaders | ||
| Gender | ||||||||||
| Male | 65.2% * | 62.5% * | 44.8% * | 59.5% | 57.7% * | 43.8% | 41.8% | 52.4% * | 43.5% * | 50.8% |
| Female | 34.8% * | 37.5% * | 55.2% * | 40.5% | 42.3% * | 56.3% | 58.2% | 47.6% * | 56.5% * | 49.2% |
| Total | 100% | 100% | 100% | 100% | 100% | 100% | 100% | 100% | 100% | 100.0% |
| Activity | ||||||||||
| Employee | 30.3% * | 48.4% * | 35.8% | 59.5% * | 41.5% * | 68.8% | 52.5% | 71.4% * | 60.1% * | 50.5% |
| Student | 45.5% * | 28.1% * | 40.3% | 24.3% * | 35.9% * | 18.8% | 30.3% | 23.8% | 25.6% * | 30.9% |
| Unpaid activity | 24.2% | 23.4% | 23.9% | 16.2% | 22.6% * | 12.6% | 17.2% | 4.8% * | 14.4% * | 18.6% |
| Total | 100% | 100% | 100% | 100% | 100% | 100% | 100% | 100% | 100% | 100% |
| District of residence (Santiago) | ||||||||||
| Central | 1.5% | 4.7% | 7.5% | 8.1% | 5.1% | 6.3% | 6.6% | 14.3% * | 7.2% | 6.1% |
| North | 6.1% | 20.3% * | 11.9% | 13.5% | 12.8% | 10.0% | 13.9% | 9.5% | 12.1% | 12.5% |
| East | 7.6% | 3.1% | 6.0% | 0.0% | 4.7% | 20.0% | 17.2% | 19.0% | 18.4% | 11.4% |
| West | 47.0% * | 53.1% * | 35.8% | 21.6% * | 41.5% * | 17.5% | 34.4% | 19.0% * | 26.9% * | 34.4% |
| South | 13.6% | 3.1% * | 11.9% | 16.2% | 10.7% | 12.5% | 4.9% | 14.3% * | 8.5% | 9.6% |
| Southeast | 24.2% | 15.6% * | 26.9% | 40.5% * | 25.2% | 33.8% | 23.0% | 23.8% | 26.9% | 26.0% |
| Total | 100% | 100% | 100% | 100% | 100% | 100% | 100% | 100% | 100% | 100% |
| Length of trip (min) | ||||||||||
| <20 | 36.4% * | 40.6% | 23.9% * | 75.7% * | 40.2% | 48.8% | 36.1% | 28.6% * | 39.9% | 40.0% |
| 20–40 | 48.5% | 54.7% | 59.7% * | 18.9% * | 48.7% | 32.5% | 50.0% | 38.1% | 42.6% | 45.7% |
| >40 | 15.2% | 4.7% ** | 16.4% | 5.4% | 11.1% | 18.8% | 13.9% | 33.3% ** | 17.5% | 14.2% |
| Total | 100% | 100% | 100% | 100% | 100% | 100% | 100% | 100% | 100% | 100% |
| Age | ||||||||||
| <19 | 18.2% | 7.8% ** | 23.9% * | 5.4% ** | 15.0% * | 2.5% * | 4.1% | 4.8% | 3.6% * | 9.2% |
| 19–35 | 66.7% | 68.8% | 52.2% ** | 56.8% | 61.5% | 45% * | 62.3% | 85.7% * | 58.3% | 60.2% |
| >35 | 15.2% | 23.4% | 23.9% | 37.8% * | 23.5% * | 52.5% * | 33.6% | 9.5% * | 38.1% * | 30.6% |
| Total | 100% | 100% | 100% | 100% | 100% | 100% | 100% | 100% | 100% | 100% |
| Frequency of bus use (days per week) | ||||||||||
| 1–2 | 3.0% | 14.1% | 7.5% | 16.2% | 9.4% | 11.3% | 12.3% | 14.3% | 12.1% | 10.9% |
| 3–4 | 7.6% | 17.2% | 25.4% * | 5.4% ** | 15.0% | 13.8% | 19.7% | 4.8%* | 16.1% | 15.3% |
| 5–7 | 89.4% * | 68.8% | 67.2% ** | 78.4% | 75.6% | 75.0% | 68.0% | 81.0%* | 71.7% | 73.7% |
| Total | 100% | 100% | 100% | 100% | 100% | 100% | 100% | 100% | 100% | 100% |
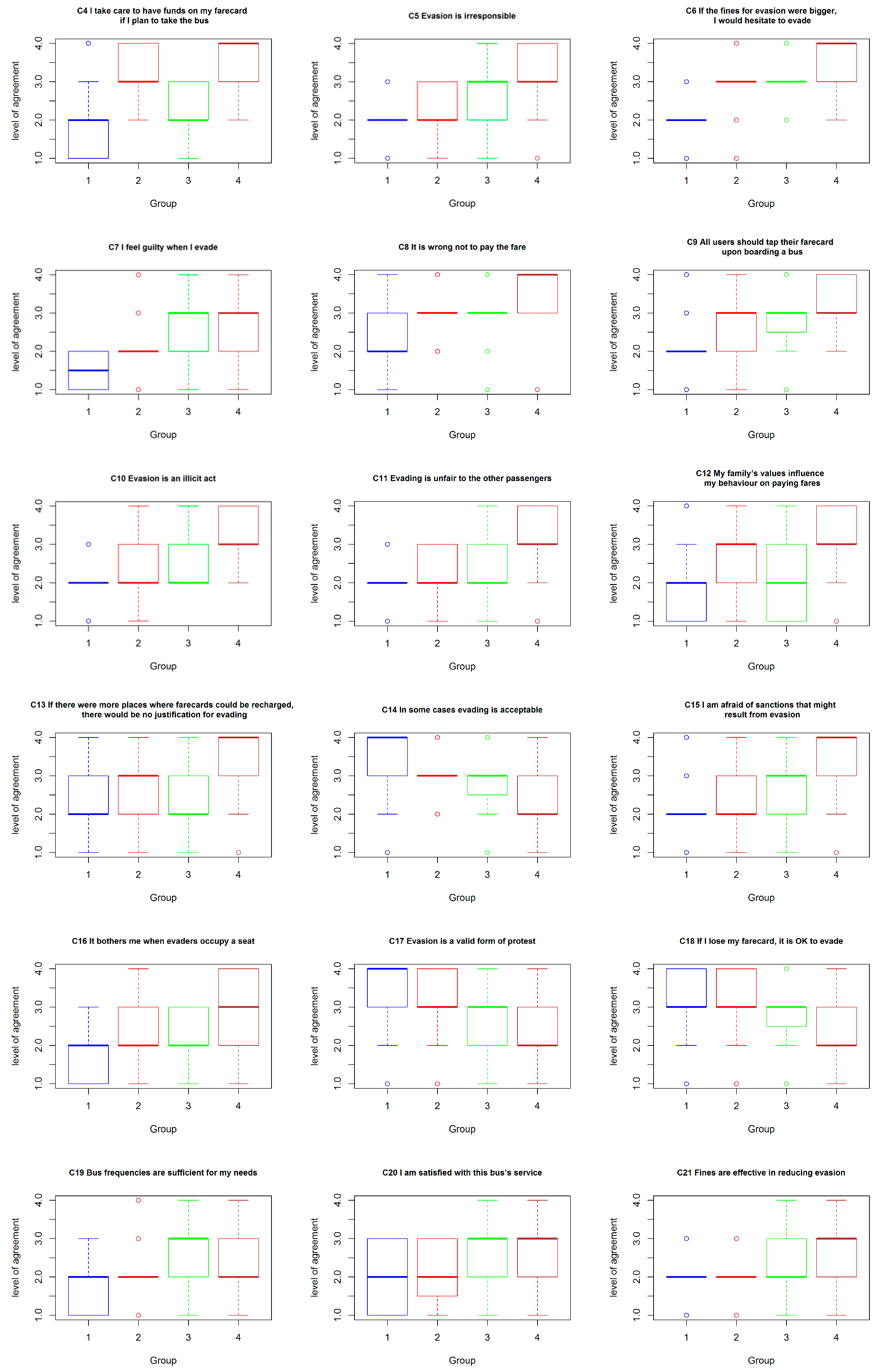
Appendix C. Non-Evaders Boxplot



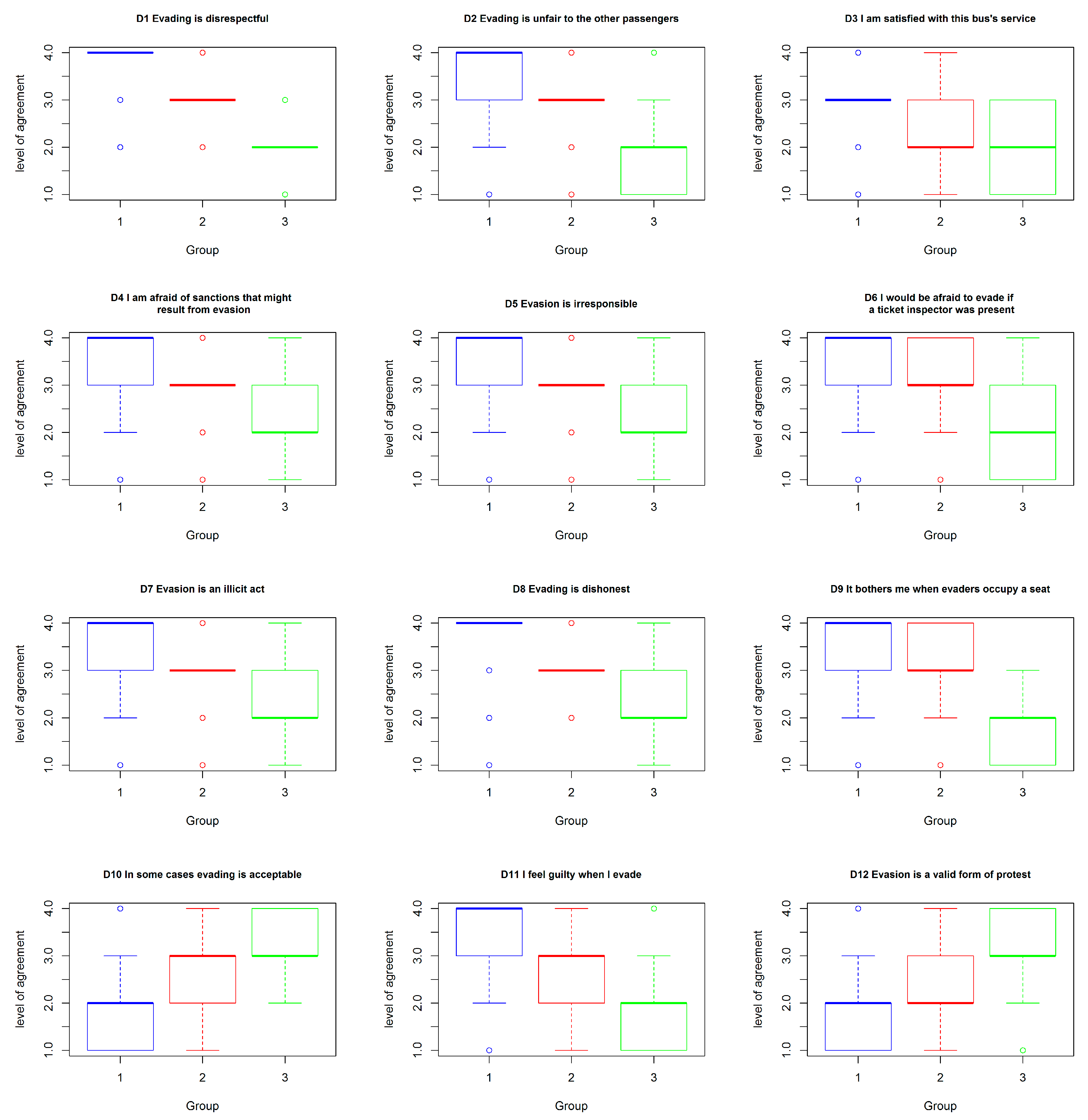
Appendix D. Non-Evaders Boxplot


References
- Bonfanti, G.; Wagenknecht, T. Human Factors Reduce Aggression and Fare Evasion. Public Transp. Int. 2010, 59, 28–32. [Google Scholar]
- Reddy, A.; Kuhls, J.; Lu, A. Measuring and Controlling Subway Fare Evasion. Transp. Res. Rec. J. Transp. Res. Board 2011, 2216, 85–99. [Google Scholar] [CrossRef]
- Guarda, P.; Galilea, P.; Paget-Seekins, L.; Ortúzar, J.D. What is behind fare evasion in urban bus systems? An econometric approach. Transp. Res. Part A Policy Pract. 2016, 84, 55–71. [Google Scholar] [CrossRef]
- Niehaus, M.; Galilea, P.; Hurtubia, R. Accessibility and equity: An approach for wider transport project assessment in Chile. Res. Transp. Econ. 2016, 59, 412–422. [Google Scholar] [CrossRef]
- Cohen, G.; Ladaique, M. Drivers of growing income inequalities in OECD and European countries. In Reducing Inequalities; Springer: Berlin/Heidelberg, Germany, 2018; pp. 31–43. [Google Scholar]
- Weidner, R.R. Target-hardening at a New York city subway station: Decreased fare evasion—At what price. Crime Prev. Stud. 1996, 6, 117–132. [Google Scholar]
- Guarda, P.; Galilea, P.; Handy, S.; de Dios Ortúzar, J. Decreasing fare evasion without fines? A microeconomic analysis. Res. Transp. Econ. 2016, 59, 151–158. [Google Scholar] [CrossRef]
- Tirachini, A.; Quiroz, M. Evasión del Pago en Transporte Público: Evidencia Internacional y Lecciones para Santiago; Universidad de Chile: Santiago, Chile, 2016. [Google Scholar]
- Becker, G.S. Crime and punishment: An economic approach. In The Economic Dimensions of Crime; Springer: Berlin/Heidelberg, Germany, 1968; pp. 13–68. [Google Scholar]
- Allingham, M.G.; Sandmo, A. Income tax evasion: A theoretical analysis. J. Public Econ. 1972, 1, 323–338. [Google Scholar] [CrossRef]
- Mazar, N.; Amir, O.; Ariely, D. The dishonesty of honest people: A theory of self-concept maintenance. J. Mark. Res. 2008, 45, 633–644. [Google Scholar] [CrossRef]
- Daunt, K.L.; Harris, L.C. Customers acting badly: Evidence from the hospitality industry. J. Bus. Res. 2011, 64, 1034–1042. [Google Scholar] [CrossRef]
- Dauby, L.; Kovacs, Z. Fare Evasion in Light Rail Systems. Transp. Res. E-Circ. 2007, 112, 230–246. [Google Scholar]
- Bijleveld, C. Fare dodging and the strong arm of the law an experimental evaluation of two different penalty schemes for fare evasion. J. Exp. Criminol. 2007, 3, 183–199. [Google Scholar] [CrossRef]
- Barabino, B.; Salis, S.; Useli, B. A modified model to curb fare evasion and enforce compliance: Empirical evidence and implications. Transp. Res. Part A 2013, 58, 29–39. [Google Scholar] [CrossRef]
- Barabino, B.; Salis, S.; Useli, B. Fare evasion in proof-of-payment transit systems: Deriving the optimum inspection level. Transp. Res. Part B 2014, 70, 1–17. [Google Scholar] [CrossRef]
- Barabino, B.; Salis, S.; Useli, B. What are the determinants in making people free riders in proof-of-payment transit systems? Evidence from Italy. Transp. Res. Part A 2015, 80, 184–196. [Google Scholar] [CrossRef]
- Troncoso, R.; de Grange, L. Fare evasion in public transport: A time series approach. Transp. Res. Part A Policy Pract. 2017, 100, 311–318. [Google Scholar] [CrossRef]
- Cools, M.; Fabbro, Y.; Bellemans, T. Identification of the determinants of fare evasion. Case Stud. Transp. Policy 2017, 6, 348–352. [Google Scholar] [CrossRef]
- Bucciol, A.; Landini, F.; Piovesan, M. Unethical behavior in the field: Demographic characteristics and beliefs of the cheater. J. Econ. Behav. Organ. 2013, 93, 248–257. [Google Scholar] [CrossRef]
- Currie, G.; Delbosc, A. An empirical model for the psychology of deliberate and unintentional fare evasion. Transp. Policy 2017, 54, 21–29. [Google Scholar] [CrossRef]
- Delbosc, A.; Currie, G. Cluster analysis of fare evasion behaviours in Melbourne, Australia. Transp. Policy 2016, 50, 29–36. [Google Scholar] [CrossRef]
- Delbosc, A.; Currie, G. Four types of fare evasion: A qualitative study from Melbourne, Australia. Transp. Res. Part F Traffic Psychol. Behav. 2016, 43, 254–264. [Google Scholar] [CrossRef]
- Suquet, J.-B. Drawing the line: How inspectors enact deviant behaviors. J. Serv. Mark. 2010, 24, 468–475. [Google Scholar] [CrossRef]
- Salis, S.; Barabino, B.; Useli, B. Segmenting fare evader groups by factor and cluster analysis. In WIT Transactions on The Built Environment; WIT Press: Cambridge, MA, USA, 2017; Volume 176, pp. 503–515. [Google Scholar]
- Ward, J.H., Jr. Hierarchical grouping to optimize an objective function. J. Am. Stat. Assoc. 1963, 58, 236–244. [Google Scholar] [CrossRef]
- Everitt, B.S.; Landau, S.; Leese, M.; Stahl, D. Cluster Analysis; John Wiley & Sons. Ltd.: New York, NY, USA, 2011. [Google Scholar]
- R Core Team. R: A Language and Environment for Statistical Computing; R Foundation for Statistical Computing: Vienna, Austria, 2017; Available online: https//www.R-project.org (accessed on 15 July 2018).
- Greene, W.H. Econometric Analysis; Pearson Education India: Bengaluru, India, 2003; ISBN 817758684X. [Google Scholar]
| Group | Total | ||||
|---|---|---|---|---|---|
| 1 | 2 | 3 | 4 | ||
| Number of Evaders | 66 | 64 | 67 | 37 | 234 |
| % Within Group | 28.21% | 27.35% | 28.63% | 15.81% | 100% |
| Statements | Group 1 | Group 2 | Group 3 | Group 4 | Test F |
|---|---|---|---|---|---|
| I take care to bring my farecard if I plan to take the bus. | 1.7 | 3.64 | 2.4 | 3.82 | 107.05 |
| Evading is disrespectful. | 1.92 | 2.11 | 2.7 | 3.5 | 80.50 |
| Evading is dishonest. | 1.9 | 2.33 | 2.52 | 3.5 | 66.44 |
| I take care to have funds on my farecard if I plan to take the bus. | 1.7 | 3.24 | 2.2 | 3.42 | 65.14 |
| Evasion is irresponsible. | 1.92 | 2.21 | 2.7 | 3.4 | 54.95 |
| If the fines for evasion were bigger, I would hesitate to evade. | 2.0 | 2.93 | 3.02 | 3.5 | 54.95 |
| I feel guilty when I evade. | 1.5 | 2.1 | 2.74 | 2.83 | 43.67 |
| It is wrong not to pay the fare. | 2.2 | 2.93 | 2.82 | 3.5 | 37.63 |
| All users should tap their farecard upon boarding a bus. | 2.0 | 2.83 | 2.72 | 3.4 | 36.89 |
| Evading is illicit. | 1.9 | 2.43 | 2.42 | 3.2 | 34.99 |
| Evading is unfair to the other passengers. | 1.92 | 2.11.3 | 2.32 | 3.1 | 32.43 |
| My family’s values influence my behaviour on paying fares. | 1.83 | 2.74 | 2.01 | 3.12 | 29.91 |
| If there were more places where farecards could be recharged, there would be no justification for evading. | 2.23 | 2.83 | 2.51.2 | 3.5 | 26.66 |
| In some cases, evading is acceptable. | 3.5 | 3.13 | 2.82.4 | 2.23 | 26.13 |
| I am afraid of sanctions that might result from evasion | 2.1 | 2.53 | 2.92.4 | 3.33 | 23.17 |
| It bothers me when evaders occupy a seat. | 1.7 | 2.33 | 2.32 | 2.9 | 21.74 |
| Evasion is a valid form of protest. | 3.42 | 3.01.3 | 2.72.4 | 2.23 | 20.76 |
| If I lose my farecard, it is OK to evade. | 3.22 | 3.11.3 | 2.82 | 2.1 | 20.31 |
| Bus frequencies are sufficient for my needs. | 1.82.4 | 2.01.4 | 2.7 | 2.11.2 | 19.91 |
| I am satisfied with this bus’s service. | 1.92 | 2.21.3 | 2.42.4 | 2.83 | 11.80 |
| Fines are effective in reducing evasion. | 1.92 | 2.11.3.4 | 2.42.4 | 2.52.3 | 9.81 |
| It is evasion not to tap one’s farecard when boarding a bus after using the Metro. | 2.0 | 2.43.4 | 2.52 | 2.62 | 8.82 |
| Turnstiles are effective in reducing evasion. | 2.02.4 | 2.31.3.4 | 2.42.4 | 2.51.2.3 | 3.75 * |
| Group | Total | |||
|---|---|---|---|---|
| 1 | 2 | 3 | ||
| Number of Non-Evaders | 80 | 122 | 21 | 223 |
| % Within Group | 35.87% | 54.71% | 9.42% | 100% |
| Statements | Group 1 | Group 2 | Group 3 | Test F |
|---|---|---|---|---|
| Evading is disrespectful. | 3.8 | 3.1 | 1.9 | 111.21 |
| Evading is unfair to the other passengers. | 3.6 | 2.9 | 2.0 | 57.08 |
| I am satisfied with this bus’s service. | 3.0 | 2.33 | 2.12 | 55.77 |
| I am afraid of sanctions that might \n result from evasion. | 3.4 | 3.0 | 2.2 | 52.52 |
| Evasion is irresponsible. | 3.6 | 3.0 | 2.1 | 51.74 |
| I would be afraid to evade if a ticket inspector was present. | 3.42 | 3.21 | 2.2 | 51.05 |
| Evasion is an illicit act. | 3.6 | 2.93 | 2.32 | 50.12 |
| Evading is a dishonest. | 3.7 | 3.2 | 2.3 | 50.08 |
| It bothers me when evaders occupy a seat. | 3.6 | 3.1 | 1.9 | 48.35 |
| In some cases, evading is acceptable. | 1.7 | 2.6 | 3.2 | 44.93 |
| I feel guilty when I evade. | 3.5 | 2.7 | 2.0 | 35.97 |
| Evasion is a valid form of protest. | 1.7 | 2.53 | 2.92 | 28.61 |
| Evading is acceptable if my card runs out of funds. | 2.1 | 2.6 | 3.1 | 22.65 |
| If I lose my farecard, it is OK to evade. | 1.8 | 2.43 | 2.52 | 19.00 |
| Turnstiles are effective in reducing evasion. | 2.32.3 | 2.51 | 1.81 | 7.33 |
| Bus frequencies are sufficient for my needs. | 2.52.3 | 2.31.3 | 2.11.2 | 3.23 * |
© 2019 by the authors. Licensee MDPI, Basel, Switzerland. This article is an open access article distributed under the terms and conditions of the Creative Commons Attribution (CC BY) license (http://creativecommons.org/licenses/by/4.0/).
Share and Cite
González, F.; Busco, C.; Codocedo, K. Fare Evasion in Public Transport: Grouping Transantiago Users’ Behavior. Sustainability 2019, 11, 6543. https://doi.org/10.3390/su11236543
González F, Busco C, Codocedo K. Fare Evasion in Public Transport: Grouping Transantiago Users’ Behavior. Sustainability. 2019; 11(23):6543. https://doi.org/10.3390/su11236543
Chicago/Turabian StyleGonzález, Felipe, Carolina Busco, and Katheryn Codocedo. 2019. "Fare Evasion in Public Transport: Grouping Transantiago Users’ Behavior" Sustainability 11, no. 23: 6543. https://doi.org/10.3390/su11236543
APA StyleGonzález, F., Busco, C., & Codocedo, K. (2019). Fare Evasion in Public Transport: Grouping Transantiago Users’ Behavior. Sustainability, 11(23), 6543. https://doi.org/10.3390/su11236543
