Effect of Crumb Rubber, Epolene (EE-2), and Date Palm Ash as Modifiers on the Performance of Binders and Mixtures: A Sustainable Approach
Abstract
:1. Introduction
2. Experimental Design
2.1. Materials
2.2. Sample Preparation
2.3. Viscosity Test
2.4. Dynamic Shear Rheometer Tests
2.5. Performance Tests on Marshal Samples
3. Results and Discussion
3.1. Viscosity of Binders
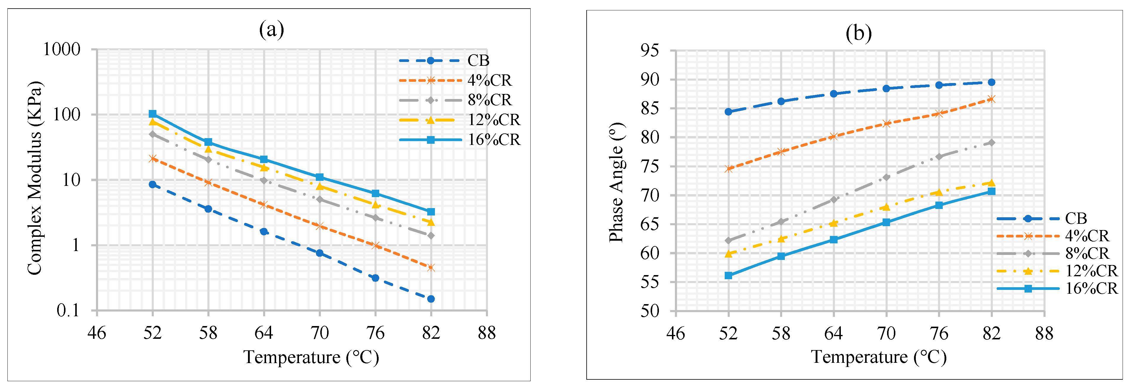
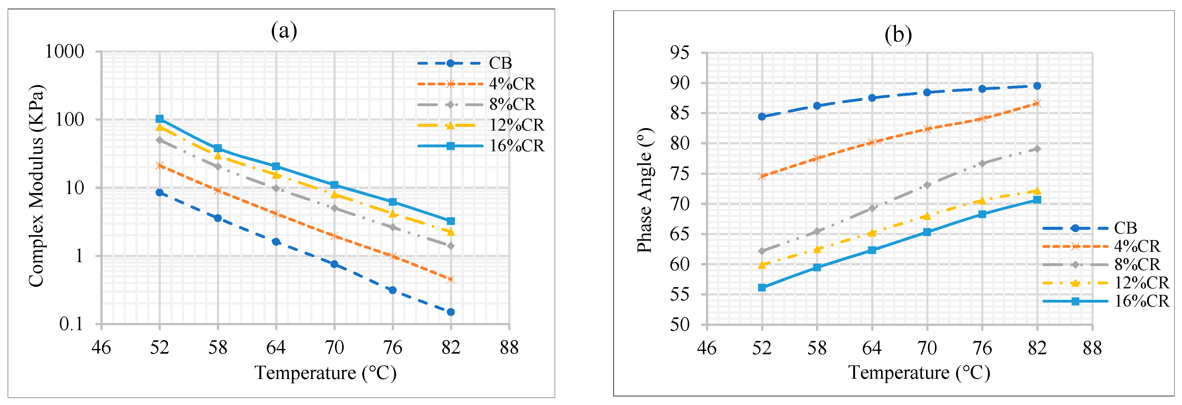
3.2. Elasticity of Modified Bitumen (CR, EE-2, and DPA)
3.3. Rutting Resistance of Modified Bitumen (CR, EE-2, and DPA)
3.4. Marshall Stability and Flow
3.5. Marshall Quotient
3.6. Retained Stability
3.7. Indirect Tensile Strength of Asphalt Mixtures
4. Conclusions
- There was a slight reduction in the viscosity of the binder modified with 4%, 8%, and 12% EE-2 and DPA as compared to the base bitumen. This will result in better workability and lower energy consumption during the mixing process. Meanwhile, CR-modified bitumen results in an increase in the viscosity of the binder. However, the viscosity of binder modified with 4%, 8%, and 12% CR was still below the Superpave specifications (viscosity ≤ 3 Pa.s) and can be used as bitumen replacement up to 12% by weight of bitumen.
- The visco-elastic behavior of binder was significantly affected by the increase in the temperature and percentage of CR, EE-2, and DPA as a bitumen replacement. The modified binders showed improved elasticity, as compared to the base bitumen, due to the increase in complex modulus (G*) and the reduction in the phase angle values. Similarly, the increase in temperature caused a decline in the complex modulus because of the viscous behavior of bitumen.
- Binders modified with CR, EE-2, and DPA had significantly improved SHRP rutting parameters (G*/Sinδ) at high temperature. At a temperature of 70 °C, all modified binders met the minimum requirement for rutting resistance. However, 4% EE-2 and 4% DPA did not meet the minimum requirement at 76 °C. Furthermore, the high-temperature performance grade of base binder (PG64-10) improved to PG76 for 8%–16% CR, EE-2, and DPA.
- The binder modified with CR (8%–12%), EE-2 (8%–12%), and DPA (12%–16%) also met the minimum SHRP rutting criteria (G*/Sinδ ≥ 1 kPa) at the highest temperature (82 °C). Therefore, these modified binders can be used in flexible pavement construction in the hottest KSA regions.
- The Marshall stability and Marshall quotient values showed improvement for mixtures modified with CR, EE-2, and DPA up to 12% and then a drastic reduction in the Marshal stability and Quotient values, except for CR. Hence, the mixtures modified with 12% CR, EE-2, and DPA showed maximum stability and Marshall quotient values and, hence, improved resistance against deformation. Despite having the highest Marshall stability and marshal quotient values, 16% CR was not feasible due the fact of its high viscosity values.
- The retained stability of mixtures modified with CR, EE-2, and DPA showed significant improvement as compared to the non-modified mixtures; this indicates that these mixtures were less susceptible to moisture and, hence, there was strong adhesion (bond) between the aggregate and modified binders.
- Similarly, the indirect tensile strength for the mixtures modified with 12% CR, EE-2, and DPA showed very similar behavior but a slight improvement as compared to the controlled mixed specimens.
Author Contributions
Funding
Conflicts of Interest
References
- Wahhab, H.I.A.-A.; Asi, I.M.; Al-Dubabe, I.A.; Ali, M.F. Development of performance-based bitumen specifications for the Gulf countries. Constr. Build. Mater. 1997, 11, 15–22. [Google Scholar] [CrossRef]
- Zhu, J.; Birgisson, B.; Kringos, N. Polymer modification of bitumen: Advances and challenges. Eur. Polym. J. 2014, 54, 18–38. [Google Scholar] [CrossRef]
- Amin, M.; Khan, M.; Saleem, M. Performance evaluation of asphalt modified with municipal wastes for sustainable pavement construction. Sustainability 2016, 8, 949. [Google Scholar] [CrossRef]
- Khan, I.M.; Kabir, S.; Alhussain, M.A.; Almansoor, F.F. Asphalt design using recycled plastic and crumb-rubber waste for sustainable pavement construction. Procedia Eng. 2016, 145, 1557–1564. [Google Scholar] [CrossRef]
- Yousefi, A.A. Polyethylene dispersions in bitumen: The effects of the polymer structural parameters. J. Appl. Polym. Sci. 2003, 90, 3183–3190. [Google Scholar] [CrossRef]
- Hınıslıoğlu, S.; Ağar, E. Use of waste high density polyethylene as bitumen modifier in asphalt concrete mix. Mater. Lett. 2004, 58, 267–271. [Google Scholar] [CrossRef]
- Othman, A.M. Effect of low-density polyethylene on fracture toughness of asphalt concrete mixtures. J. Mater. Civ. Eng. 2010, 22, 1019–1024. [Google Scholar] [CrossRef]
- Costa, L.M.; Silva, H.; Oliveira, J.R.; Fernandes, S.R. Incorporation of waste plastic in asphalt binders to improve their performance in the pavement. Int. J. Pavement Res. Technol. 2013, 6, 457–464. [Google Scholar]
- Rizvi, H.R.; Khattak, M.J.; Gallo, A.A. Rheological and mechanistic characteristics of Bone Glue modified asphalt binders. Constr. Build. Mater. 2015, 88, 64–73. [Google Scholar] [CrossRef]
- Hafeez, I.; Hussain, J.; Riaz, K.; Khitab, A.; Hussain, S.; Zaidi, B.; Farooqi, U.; Hayat, A.; Ahmed, I.; Asif, A. Influence of Time and Temperature on Asphalt Binders Rheological Properties. Life Sci. J. 2013, 10, 894–898. [Google Scholar]
- Kök, B.V.; Yılmaz, M.; Akpolat, M. Evaluation of the conventional and rheological properties of SBS+ Sasobit modified binder. Constr. Build. Mater. 2014, 63, 174–179. [Google Scholar] [CrossRef]
- Nejad, F.M.; Azarhoosh, A.; Hamedi, G.H.; Azarhoosh, M. Influence of using nonmaterial to reduce the moisture susceptibility of hot mix asphalt. Constr. Build. Mater. 2012, 31, 384–388. [Google Scholar] [CrossRef]
- Kok, B.V.; Yilmaz, M. The effects of using lime and styrene-butadiene-styrene on moisture sensitivity resistance of hot mix asphalt. Constr. Build. Mater. 2009, 23, 1999–2006. [Google Scholar] [CrossRef]
- Rahman, M.T.; Hainin, M.R.; Bakar, W.A.W.A. Use of waste cooking oil, tire rubber powder and palm oil fuel ash in partial replacement of bitumen. Constr. Build. Mater. 2017, 150, 95–104. [Google Scholar] [CrossRef]
- Hasan, M.R.M.; Colbert, B.; You, Z.; Jamshidi, A.; Heiden, P.A.; Hamzah, M.O. A simple treatment of electronic-waste plastics to produce asphalt binder additives with improved properties. Constr. Build. Mater. 2016, 110, 79–88. [Google Scholar] [CrossRef]
- Ge, D.; Yan, K.; You, Z.; Xu, H. Modification mechanism of asphalt binder with waste tire rubber and recycled polyethylene. Constr. Build. Mater. 2016, 126, 66–76. [Google Scholar] [CrossRef]
- Fang, C.; Zhang, M.; Yu, R.; Liu, X. Effect of preparation temperature on the aging properties of waste polyethylene modified asphalt. J. Mater. Sci. Technol. 2015, 31, 320–324. [Google Scholar] [CrossRef]
- Yu, R.; Fang, C.; Liu, P.; Liu, X.; Li, Y. Storage stability and rheological properties of asphalt modified with waste packaging polyethylene and organic montmorillonite. Appl. Clay Sci. 2015, 104, 1–7. [Google Scholar] [CrossRef]
- Wu, X.; Wang, S.; Dong, R. Lightly pyrolyzed tire rubber used as potential asphalt alternative. Constr. Build. Mater. 2016, 112, 623–628. [Google Scholar] [CrossRef]
- Bautista, E.G.; Flickinger, J.; Saha, R.; Flores-Vivian, I.; Faheem, A.F.; Sobolev, K. Effect of coal combustion products on high temperature performance of asphalt mastics. Constr. Build. Mater. 2015, 94, 572–578. [Google Scholar] [CrossRef]
- Xue, Q.; Liu, L.; Chen, Y.-J. Study on the action effect of pavement straw composite fiber material in asphalt mixture. Constr. Build. Mater. 2013, 43, 293–299. [Google Scholar]
- ASTM D7175-08. Standard Test Method for Determining the Rheological Properties of Asphalt Binder Using a Dynamic Shear Rheometer; ASTM International: West Conshohocken, PA, USA, 2008. [Google Scholar]
- ASTM-D2872-04. Standard Test Method for Effect of Heat and Air on a Moving Film of Asphalt (Rolling Thin-Film Oven Test); ASTM International: West Conshohocken, PA, USA, 2012. [Google Scholar]
- ASTM-D6521-08. Standard Practice for Accelerated Aging of Asphalt Binder Using a Pressurized Aging Vessel (PAV); ASTM International: West Conshohocken, PA, USA, 2013. [Google Scholar]
- ASTM-D6648-08. Standard Test Method for Determining the Flexural Creep Stiffness of Asphalt Binder Using the Bending Beam Rheometer (BBR); ASTM International: West Conshohocken, PA, USA, 2001. [Google Scholar]
- ASTM-D6926-16. Standard Practice for Preparation of Asphalt Mixture Specimens Using Marshall Apparatus; ASTM International: West Conshohocken, PA, USA, 2016. [Google Scholar]
- ASTM-D6927-15. Standard Test Method for Marshall Stability and Flow of Asphalt Mixtures; ASTM International: West Conshohocken, PA, USA, 2015. [Google Scholar]
- Cardone, F.; Ferrotti, G.; Frigio, F.; Canestrari, F. Influence of polymer modification on asphalt binder dynamic and steady flow viscosities. Constr. Build. Mater. 2014, 71, 435–443. [Google Scholar] [CrossRef]
- ASTM-D4402-15. Standard Test Method for Viscosity Determination of Asphalt at Elevated Temperatures Using a Rotational Viscometer; ASTM International: West Conshohocken, PA, USA, 2015. [Google Scholar]
- Asphalt-Institute. Superpave: Performance Graded Asphalt Binder Specification and Testing; Asphalt Institute: Park Drive Lexington, KY, USA, 2000. [Google Scholar]
- ASTM-D6931. Standard Test Method for Indirect Tensile (IDT) Strength of Bituminous Mixtures; ASTM International: West Conshohocken, PA, USA, 2007. [Google Scholar]
- Abdelaziz, M.; Mohamed Rehan, K. Rheological evaluation of bituminous binder modified with waste plastic material. In Proceedings of the 5th International Symposium on Hydrocarbons & Chemistry (ISHC5), Sidi Fredj, Algiers, 23–25 May 2010. [Google Scholar]
- Mensching, D.J.; Jacques, C.D.; Daniel, J.S. Applying the glover-rowe parameter to evaluate low-temperature performance of hot mix asphalt LTPP sections. J. Mater. Civ. Eng. 2016, 28, 04016096. [Google Scholar] [CrossRef]
- Rowe, G.; King, G.; Anderson, M. The influence of binder rheology on the cracking of asphalt mixes in airport and highway projects. J. Test. Eval. 2014, 42, 1063–1072. [Google Scholar] [CrossRef]
- Ameri, M.; Behnood, A. Laboratory studies to investigate the properties of CIR mixes containing steel slag as a substitute for virgin aggregates. Constr. Build. Mater. 2012, 26, 475–480. [Google Scholar] [CrossRef]
- Taherkhani, H.; Arshadi, M.R. Investigating the mechanical properties of asphalt concrete containing waste polyethylene terephthalate. Road Mater. Pavement Des. 2019, 20, 381–398. [Google Scholar] [CrossRef]
- Wen, H. Use of fracture work density obtained from indirect tensile testing for the mix design and development of a fatigue model. Int. J. Pavement Eng. 2013, 14, 561–568. [Google Scholar] [CrossRef]













| Physical Property/Test | Value | Standards |
|---|---|---|
| Soundness Value (Na2SO4) | 4.12% | <15% |
| Abrasion | 20.50% | <40% |
| Flat and Elongated Particles | 2.61% | 10% Maximum |
| Sand Equivalent | 64% | 40% Minimum |
| Combined Specific Gravity | 2.82 | 2.40 to 3.0 |
| Water Absorption | 2.31% | 2.5% (Maximum) |
| Physical Property/Test | Value | Standards |
|---|---|---|
| Specific Gravity | 1.021 | 1.01 to 1.06 |
| Penetration @ 25 °C, 0.1 mm | 60–70 | Varies |
| Softening point (°C) | 48.95 | 49 to 56 |
| Flash point (°C) | 311 | 230 (Minimum) |
| Ductility (mm) | 126.4 | 100 (Minimum) |
| Viscosity @ 135 °C (Pa.s) | 0.460 | 3 (Maximum) |
| Super-Pave Performance Grade (PG) | 64–10 | Depending on region |
| Variable 1 (12% EE-2) | Variable 2 (12% DPA) | |
|---|---|---|
| Mean | 1.195966667 | 1.1968 |
| Variance | 0.600969703 | 0.60046707 |
| t-Stat | −1.386750491 | |
| p-Value, (T ≤ t) one-tail | 0.149929979 | |
| t-Value, critical one-tail | 2.91998558 | |
| p-Value, (T ≤ t) two-tail | 0.299859958 | |
| t-Value, critical two-tail | 4.30265273 |
© 2019 by the authors. Licensee MDPI, Basel, Switzerland. This article is an open access article distributed under the terms and conditions of the Creative Commons Attribution (CC BY) license (http://creativecommons.org/licenses/by/4.0/).
Share and Cite
Khan, M.I.; Sutanto, M.H.; Sunarjono, S.; Room, S.; Yusoff, N.I.M. Effect of Crumb Rubber, Epolene (EE-2), and Date Palm Ash as Modifiers on the Performance of Binders and Mixtures: A Sustainable Approach. Sustainability 2019, 11, 6484. https://doi.org/10.3390/su11226484
Khan MI, Sutanto MH, Sunarjono S, Room S, Yusoff NIM. Effect of Crumb Rubber, Epolene (EE-2), and Date Palm Ash as Modifiers on the Performance of Binders and Mixtures: A Sustainable Approach. Sustainability. 2019; 11(22):6484. https://doi.org/10.3390/su11226484
Chicago/Turabian StyleKhan, Muhammad Imran, Muslich Hartadi Sutanto, Sri Sunarjono, Shah Room, and Nur Izzi Md Yusoff. 2019. "Effect of Crumb Rubber, Epolene (EE-2), and Date Palm Ash as Modifiers on the Performance of Binders and Mixtures: A Sustainable Approach" Sustainability 11, no. 22: 6484. https://doi.org/10.3390/su11226484
APA StyleKhan, M. I., Sutanto, M. H., Sunarjono, S., Room, S., & Yusoff, N. I. M. (2019). Effect of Crumb Rubber, Epolene (EE-2), and Date Palm Ash as Modifiers on the Performance of Binders and Mixtures: A Sustainable Approach. Sustainability, 11(22), 6484. https://doi.org/10.3390/su11226484

