Decision-Making and Performance Analysis of Closed-Loop Supply Chain under Different Recycling Modes and Channel Power Structures
Abstract
1. Introduction
- (1)
- Should the supply chain members participate in the recycling of used products from customers?
- (2)
- If they decide to launch the take-back programs, what recycling strategies should be adopted under different channel power structures?
- (3)
- How does the channel leadership affect the optimal decisions and performance of the supply chain system?
2. Literature Review
3. Model Assumptions and Notations
4. Model Development
4.1. Manufacturer Recycling Model
4.1.1. Model : Manufacturer recycling Model Led by the Manufacturer
4.1.2. Model : Manufacturer Recycling Model Led by the Retailer
4.1.3. Comparison between Manufacturer Recycling Models under Different Channel Power Structures
4.2. Retailer Recycling Model
4.2.1. Model : Retailer Recycling Model Led by the Manufacturer
4.2.2. Model : Retailer Recycling Model Led by the Retailer
4.2.3. Comparison between Retailer Recycling Models under Different Channel Power Structures
4.3. Hybrid Recycling Model
4.3.1. Model : Hybrid Recycling Model Led by the Manufacturer
4.3.2. Model : Hybrid Recycling Model Led by the Retailer
4.3.3. Comparison between Hybrid Recycling Models under Different Channel Power Structures
5. Comparative Analysis
5.1. Comparison of Market Demands and Recycling Rates among Different Models
5.2. Comparison of Models Led by the Manufacturer
5.3. Comparison of Models Led by the Retailer
5.4. Comparison of Models with Manufacturer’s Participation in Recycling
- (1)
- If, then;
- (2)
- if, then.
5.5. Comparison of Models with Retailer’s Participation in Recycling
- (1)
- If, then;
- (2)
- if, then
6. Optimal Strategies of Leading Enterprise and Following Enterprise
6.1. Comparison of Profits of Supply Chain Members among Different Models
- (1)
- If, thenand;
- (2)
- if, thenand;
- (3)
- if, thenand
6.2. Comparison of Profits of Supply Chain System among Different Models
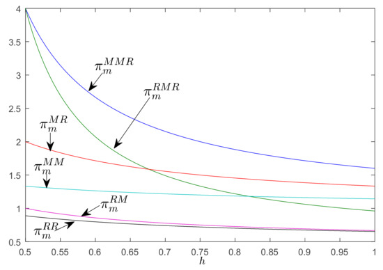
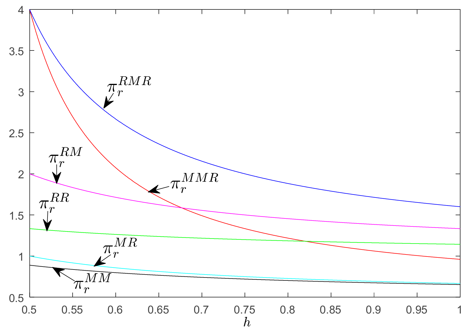
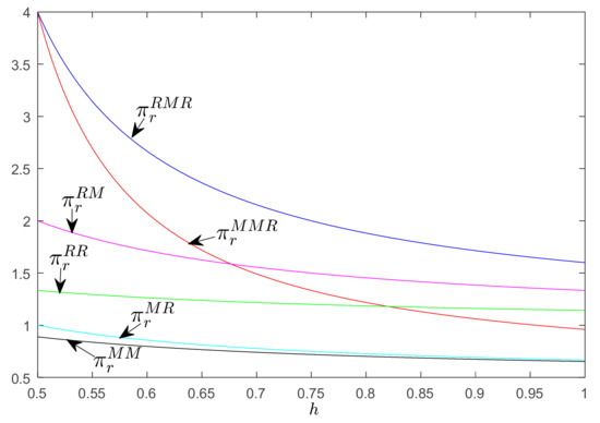
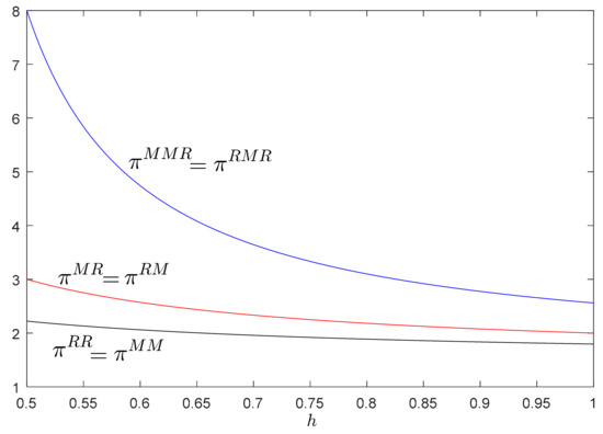
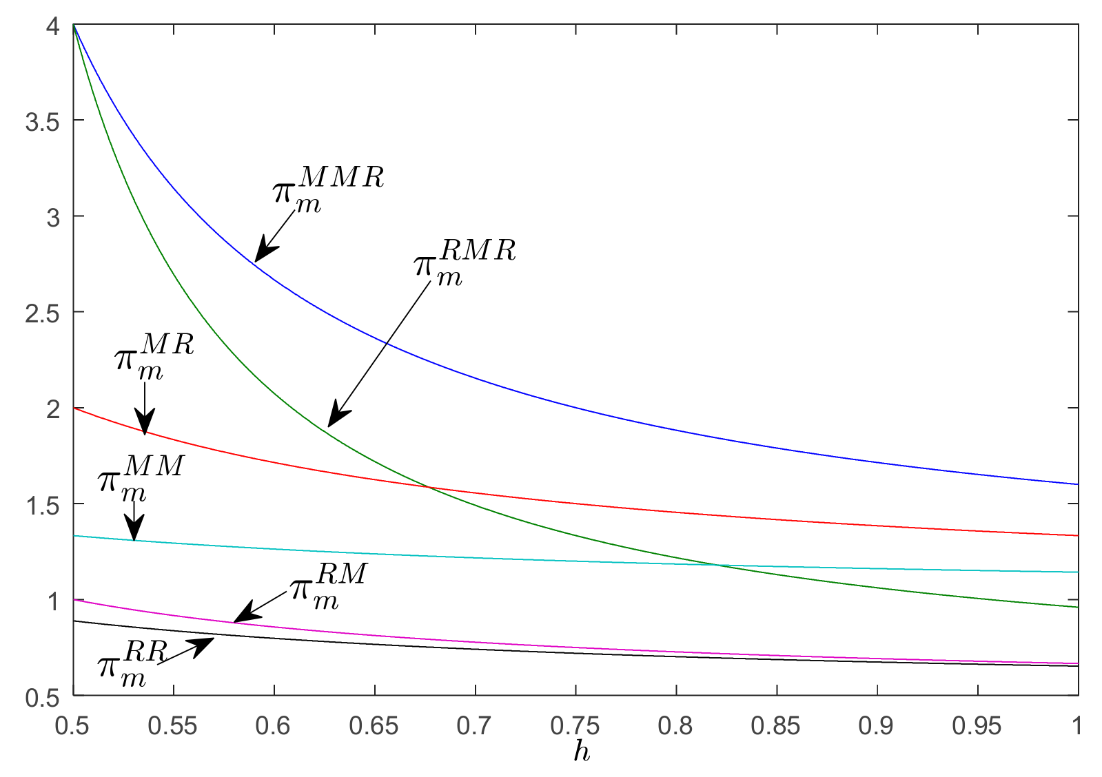
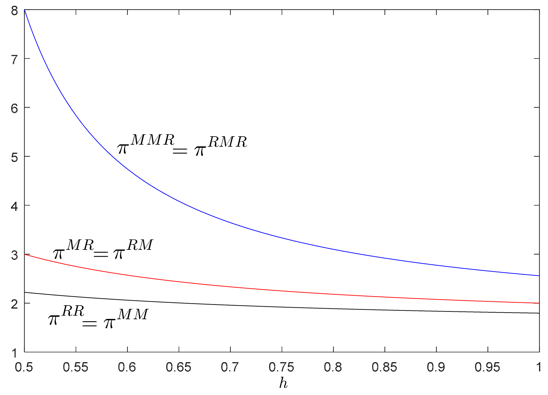
7. Numerical Examples
8. Conclusions and Future Research Directions
- (1)
- The hybrid recycling of manufacturer and retailer is always advantageous for the system recycling rate and market demand, while the supply chain in which the leading enterprise collects used products has the worst results in terms of total recycling rate and demand for the product in the market.
- (2)
- A dominant manufacturer (retailer) can provide higher profitability and greater stability to the supply chain system with retailer (manufacturer) recycling, whereas different channel leaderships have no effect on the system efficiency and stability of the CLSC with hybrid recycling channels.
- (3)
- In the manufacturer-led (retailer-led) CLSC, the optimal recycling strategy of both supply chain members is the hybrid recycling mode. However, their sub-optimal choice is the retailer (manufacturer) recycling model. The system with only one product collector performs poorly in system recycling rate and members’ profits.
- (4)
- Each supply chain member can be more profitable under the self-led hybrid recycling model which is also the optimal choice for the following enterprise, while the manufacturer (retailer) recycling model oriented by the manufacturer (retailer) is the least preferred strategy of the retailer (manufacturer).
- (5)
- For each supply chain member, as long as he participates in the product recycling, the hybrid recycling of both enterprises is the most effective strategy for him. Moreover, the advantage of self-led recycling models is being strengthened with the increase of the sensitivity coefficient to the unit recycling cost.
Author Contributions
Funding
Conflicts of Interest
Appendix A
Appendix A.1. Proof of Proposition 1
Appendix A.2. Proof of Proposition 2
Appendix A.3. Proof of Proposition 3
Appendix B
Appendix B.1. Proof of Proposition 4
Appendix B.2. Proof of Proposition 5
Appendix B.3. Proof of Proposition 6
Appendix C
Appendix C.1. Proof of Proposition 7
Appendix C.2. Proof of Proposition 8
Appendix C.3. Proof of Proposition 9
Appendix D
Appendix D.1. Proof of Proposition 10
Appendix D.2. Proof of Proposition 11
Appendix D.3. Proof of Proposition 12
Appendix D.4. Proof of Proposition 13
Appendix D.5. Proof of Proposition 14
Appendix D.6. Proof of Proposition 15
Appendix D.7. Proof of Proposition 16
References
- Islam, M.T.; Abdullah, A.; Shahir, S.; Kalam, M.; Masjuki, H.; Shumon, R.; Rashid, M.H. A public survey on knowledge, awareness, attitude and willingness to pay for WEEE management: Case study in Bangladesh. J. Clean. Prod. 2016, 137, 728–740. [Google Scholar] [CrossRef]
- Dai, D.; Si, F.; Wang, J. Stability and complexity analysis of a dual-channel closed-loop supply chain with delayed decision under government intervention. Entropy 2017, 19, 577. [Google Scholar] [CrossRef]
- Baldé, C.P.; Forti, V.; Gray, V.; Kuehr, R.; Stegmann, P. The Global E-Waste Monitor 2017: Quantities, Flows and Resources; United Nations University (UNU): Bonn, Germany; International Telecommunication Union (ITU): Geneva, Switzerland; International Solid Waste Association (ISWA): Vienna, Austria, 2017. [Google Scholar]
- Qu, Y.; Zhu, Q.; Sarkis, J.; Geng, Y.; Zhong, Y. A review of developing an e-wastes collection system in Dalian, China. J. Clean. Prod. 2013, 52, 176–184. [Google Scholar] [CrossRef]
- Williams, E.; Kahhat, R.; Allenby, B.; Kavazanjian, E.; Kim, J.; Xu, M. Environmental, social, and economic implications of global reuse and recycling of personal computers. Environ. Sci. Technol. 2008, 42, 6446–6454. [Google Scholar] [CrossRef] [PubMed]
- Wang, W.; Ding, J.; Sun, H. Reward-penalty mechanism for a two-period closed-loop supply chain. J. Clean. Prod. 2018, 203, 898–917. [Google Scholar] [CrossRef]
- Wang, W.; Zhang, Y.; Zhang, K.; Bai, T.; Shang, J. Reward-penalty mechanism for closed-loop supply chains under responsibility-sharing and different power structures. Int. J. Prod. Econ. 2015, 170, 178–190. [Google Scholar] [CrossRef]
- Wienold, J.; Recknagel, S.; Scharf, H.; Hoppe, M.; Michaelis, M. Elemental analysis of printed circuit boards considering the ROHS regulations. Waste Manag. 2011, 31, 530–535. [Google Scholar] [CrossRef]
- Gutiérrez, E.; Adenso-Díaz, B.; Lozano, S.; González-Torre, P. A competing risks approach for time estimation of household WEEE disposal. Waste Manag. 2010, 30, 1643–1652. [Google Scholar] [CrossRef]
- Kiddee, P.; Naidu, R.; Wong, M.H. Electronic waste management approaches: An overview. Waste Manag. 2013, 33, 1237–1250. [Google Scholar] [CrossRef]
- Wäger, P.A.; Hischier, R.; Eugster, M. Environmental impacts of the Swiss collection and recovery systems for Waste Electrical and Electronic Equipment (WEEE): A follow-up. Sci. Total Environ. 2011, 409, 1746–1756. [Google Scholar] [CrossRef]
- Menikpura, S.N.M.; Santo, A.; Hotta, Y. Assessing the climate co-benefits from Waste Electrical and Electronic Equipment (WEEE) recycling in Japan. J. Clean. Prod. 2014, 74, 183–190. [Google Scholar] [CrossRef]
- Zhang, S.; Ding, Y.; Liu, B.; Pan, D.; Chang, C.; Volinsky, A. Challenges in legislation, recycling system and technical system of waste electrical and electronic equipment in China. Waste Manag. 2015, 45, 361–373. [Google Scholar] [CrossRef] [PubMed]
- Lee, C.; Chang, S.; Wang, K.; Wen, L. Management of scrap computer recycling in Taiwan. J. Hazard. Mater. 2000, 73, 209–220. [Google Scholar] [CrossRef]
- Savaskan, R.C.; Bhattacharya, S.; van Wassenhove, L.N. Closed-loop supply chain models with product remanufacturing. Manag. Sci. 2004, 50, 239–252. [Google Scholar] [CrossRef]
- Liu, L.; Wang, Z.; Xu, L.; Hong, X.; Govindan, K. Collection effort and reverse channel choices in a closed-loop supply chain. J. Clean. Prod. 2017, 144, 492–500. [Google Scholar] [CrossRef]
- EL korchi, A.; Millet, D. Designing a sustainable reverse logistics channel: The 18 generic structures framework. J. Clean. Prod. 2011, 19, 588–597. [Google Scholar] [CrossRef]
- Yi, P.; Huang, M.; Guo, L.; Shi, T. Dual recycling channel decision in retailer oriented closed-loop supply chain for construction machinery remanufacturing. J. Clean. Prod. 2016, 137, 1393–1405. [Google Scholar] [CrossRef]
- Lai, K.; Tang, A.K.Y. Green retailing: Factors for success. Calif. Manag. Rev. 2010, 52, 6–31. [Google Scholar] [CrossRef]
- Styles, D.; Schoenberger, H.; Galvez-Martos, J.L. Environmental improvement of product supply chains: A review of European retailers’ performance. Resour. Conserv. Recyl. 2012, 65, 57–78. [Google Scholar] [CrossRef]
- Chiu, C.H.; Choi, T.M.; Li, X.; Yiu, C.K.F. Coordinating supply chains with a general price-dependent demand function: Impacts of channel leadership and information asymmetry. IEEE Trans. Eng. Manag. 2016, 63, 390–403. [Google Scholar] [CrossRef]
- Tong, W.; Mu, D.; Zhao, F.; Mendis, G.P.; Sutherland, J.W. The impact of cap-and-trade mechanism and consumers’ environmental preferences on a retailer-led supply Chain. Resour. Conserv. Recyl. 2019, 142, 88–100. [Google Scholar] [CrossRef]
- Savaskan, R.C.; van Wassenhove, L.N. Reverse channel design: The case of competing retailers. Manag. Sci. 2006, 52, 1–14. [Google Scholar] [CrossRef]
- Yao, W.; Chen, M. Comparison among closed-loop supply chain models. Commer. Resour. 2007, 1, 51–53. [Google Scholar]
- Webster, S.; Mitra, S. Competitive strategy in remanufacturing and the impact of take-back laws. J. Oper. Manag. 2007, 25, 1123–1140. [Google Scholar] [CrossRef]
- Karakayali, I.; Emir-Farinas, H.; Akcali, E. Pricing and recovery planning for remanufacturing operations with multiple used products and multiple reusable components. Comput. Ind. Eng. 2010, 59, 55–63. [Google Scholar] [CrossRef]
- Atasu, A.; Sarvary, M.; van Wassenhove, L.N. Remanufacturing as a marketing strategy. Manag. Sci. 2008, 54, 1731–1746. [Google Scholar] [CrossRef]
- Ferguson, M.E.; Souza, G.C. Closed-Loop Supply Chains—New Developments to Improve the Sustainability of Business Practices; Taylor & Francis Group: New York, NY, USA, 2010. [Google Scholar]
- Zou, Z.B.; Wang, J.J.; Deng, G.S.; Chen, H. Third-party remanufacturing mode selection: Outsourcing or authorization? Transp. Res. Part E Logist. Transp. Rev. 2016, 87, 1–19. [Google Scholar] [CrossRef]
- Hong, I.H.; Yeh, J.S. Modeling closed-loop supply chains in the electronics industry: A retailer collection application. Transp. Res. Part E Logist. Transp. Rev. 2012, 48, 817–829. [Google Scholar] [CrossRef]
- Atasu, A.; van Wassenhove, L.N. An operations perspective on product take-back legislation for e-waste: Theory, practice, and research needs. Prod. Oper. Manag. 2012, 21, 407–422. [Google Scholar] [CrossRef]
- Atasu, A.; Toktay, L.B.; van Wassenhove, L.N. How collection cost structure drives a manufacturer’s reverse channel choice. Prod. Oper. Manag. 2013, 22, 1089–1102. [Google Scholar] [CrossRef]
- Wei, J.; Zhao, J. Reverse channel decisions for a fuzzy closed-loop supply chain. Appl. Math. Model. 2013, 37, 1502–1513. [Google Scholar] [CrossRef]
- Chuang, C.H.; Wang, C.X.; Zhao, Y.B. Closed-loop supply chain models for a high-tech product under alternative reverse channel and collection cost structures. Int. J. Prod. Econ. 2014, 156, 108–123. [Google Scholar] [CrossRef]
- de Giovanni, P.; Zaccour, G. A two-period game of a closed-loop supply chain. Eur. J. Oper. Res. 2014, 232, 22–40. [Google Scholar] [CrossRef]
- Hong, X.; Xu, L.; Du, P.; Wang, W. Joint advertising, pricing and collection decisions in a closed-loop supply chain. Int. J. Prod. Econ. 2015, 167, 12–22. [Google Scholar] [CrossRef]
- Maiti, T.; Giri, B.C. A closed loop supply chain under retail price and product quality dependent demand. J. Manuf. Syst. 2015, 37, 624–637. [Google Scholar] [CrossRef]
- Genc, T.S.; de Giovanni, P. Trade-in and save: A two-period closed-loop supply chain game with price and technology dependent returns. Int. J. Prod. Econ. 2017, 183, 514–527. [Google Scholar] [CrossRef]
- Xu, J.; Liu, N. Research on closed loop supply chain with reference price effect. J. Intell. Manuf. 2017, 28, 51–64. [Google Scholar] [CrossRef]
- Govindan, K.; Soleimani, H.; Kannan, D. Reverse logistics and closed-loop supply chain: A comprehensive review to explore the future. Eur. J. Oper. Res. 2015, 240, 603–626. [Google Scholar] [CrossRef]
- Govindan, K.; Soleimani, H. A review of reverse logistics and closed-loop supply chains: A journal of cleaner production focus. J. Clean. Prod. 2017, 142, 371–384. [Google Scholar] [CrossRef]
- Modak, N.M.; Modak, N.; Panda, S.; Sana, S.S. Analyzing structure of two-echelon closed-loop supply chain for pricing, quality and recycling management. J. Clean. Prod. 2018, 171, 512–528. [Google Scholar] [CrossRef]
- Huang, M.; Song, M.; Lee, L.H.; Ching, W.K. Analysis for strategy of closed-loop supply chain with dual recycling channel. Int. J. Prod. Econ. 2013, 144, 510–520. [Google Scholar] [CrossRef]
- Ma, W.; Zhao, Z.; Ke, H. Dual-channel closed-loop supply chain with government consumption-subsidy. Eur. J. Oper. Res. 2013, 226, 221–227. [Google Scholar] [CrossRef]
- Hong, X.P.; Wang, Z.J.; Wang, D.Z.; Zhang, H.G. Decision models of closed-loop supply chain with remanufacturing under hybrid dual-channel collection. Int. J. Adv. Manuf. Technol. 2013, 68, 1851–1865. [Google Scholar] [CrossRef]
- Liu, H.; Lei, M.; Deng, H.; Leong, G.K.; Huang, T. A dual channel, quality-based price competition model for the WEEE recycling market with government subsidy. Omega 2016, 59, 290–302. [Google Scholar] [CrossRef]
- de Giovanni, P.; Reddy, P.V.; Zaccour, G. Incentive strategies for an optimal recovery program in a closed-loop supply chain. Eur. J. Oper. Res. 2016, 249, 605–617. [Google Scholar] [CrossRef]
- Feng, L.; Govindan, K.; Li, C. Strategic planning: Design and coordination for dual-recycling channel reverse supply chain considering consumer behavior. Eur. J. Oper. Res. 2017, 260, 601–612. [Google Scholar] [CrossRef]
- Taleizadeh, A.A.; Moshtagh, M.S.; Moon, I. Pricing, product quality, and collection optimization in a decentralized closed-loop supply chain with different channel structures: Game theoretical approach. J. Clean. Prod. 2018, 189, 406–431. [Google Scholar] [CrossRef]
- Mi, J.J.; Huang, Z.; Wang, K.; Tsai, S.B.; Li, G.; Wang, J. The presence of a powerful retailer on dynamic collecting closed-loop supply chain from a sustainable innovation perspective. Sustainability 2018, 10, 2115. [Google Scholar] [CrossRef]
- Karakayali, I.; Emir-Farinas, H.; Akcali, E. An analysis of decentralized collection and processing of end-of-life products. J. Oper. Manag. 2007, 25, 1161–1183. [Google Scholar] [CrossRef]
- Huang, Y.; Huang, G.Q. Price coordination in a three-level supply chain with different channel structures using game-theoretic approach. Int. J. Manag. Sci. Eng. Manag. 2010, 5, 83–94. [Google Scholar] [CrossRef]
- Chen, K.; Zhuang, P. Disruption management for a dominant retailer with constant demand-stimulating service cost. Comput. Ind. Eng. 2011, 61, 936–946. [Google Scholar] [CrossRef]
- Choi, T.M.; Li, Y.; Xu, L. Channel leadership, performance and coordination in closed loop supply chains. Int. J. Prod. Econ. 2013, 146, 371–380. [Google Scholar] [CrossRef]
- Ma, P.; Wang, H.; Shang, J. Supply chain channel strategies with quality and marketing effort-dependent demand. Int. J. Prod. Econ. 2013, 144, 572–581. [Google Scholar] [CrossRef]
- Zhao, J.; Wei, J.; Li, Y. Pricing decisions for substitutable products in a two-echelon supply chain with firms’ different channel powers. Int. J. Prod. Econ. 2014, 153, 243–252. [Google Scholar] [CrossRef]
- Gao, J.; Han, H.; Hou, L.; Wang, H. Pricing and effort decisions in a closed-loop supply chain under different channel power structures. J. Clean. Prod. 2016, 112, 2043–2057. [Google Scholar] [CrossRef]
- Taleizadeh, A.A.; Moshtagh, M.S.; Moon, I. Optimal decisions of price, quality, effort level and return policy in a three-level closed-loop supply chain based on different game theory approaches. Eur. J. Ind. Eng. 2017, 11, 486–525. [Google Scholar] [CrossRef]
- Huang, H.; Ke, H. Pricing decision problem for substitutable products based on uncertainty theory. J. Intell. Manuf. 2017, 28, 503–514. [Google Scholar] [CrossRef]
- Xu, Y.; Zhang, P. Decision-making in dual-channel green supply chain considering market structure. J. Serv. Sci. Manag. 2018, 11, 116–141. [Google Scholar] [CrossRef]
- Zerang, E.S.; Taleizadeh, A.A.; Razmi, J. Analytical comparisons in a three-echelon closed-loop supply chain with price and marketing effort-dependent demand: Game theory approaches. Environ. Dev. Sustain. 2018, 20, 451–478. [Google Scholar] [CrossRef]
- Jena, S.K.; Sarmah, S.P. Price competition and co-operation in a duopoly closed-loop supply chain. Int. J. Prod. Econ. 2014, 156, 346–360. [Google Scholar] [CrossRef]
- Ma, Z.J.; Hu, S.; Dai, Y.; Ye, Y.S. Pay-as-you-throw versus recycling fund system in closed-loop supply chains with alliance recycling. Int. Trans. Oper. Res. 2018, 25, 1811–1829. [Google Scholar] [CrossRef]
- Chen, J.M.; Chang, C.I. The co-operation strategy of a closed-loop supply chain with remanufacturing. Transp. Res. Part E Logist. Transp. Rev. 2012, 48, 387–400. [Google Scholar] [CrossRef]










| Symbol | Description |
|---|---|
| Unit wholesale price of a product | |
| Unit retail price of a product | |
| The potential demand size of the market | |
| Coefficient of consumer sensitivity to the retail price | |
| Unit cost of producing a new item from raw materials | |
| Unit cost of producing a new item using returns | |
| Saving unit cost by remanufacturing | |
| Unit subsidy of a returned product that the collector pays to the consumers | |
| Buy-back price of a WEEE that the manufacturer pays to the retailer | |
| Sensitivity coefficient to the unit recycling cost | |
| Recycling rate of CLSC member | |
| Total recycling rate of the supply chain system | |
| Market demand for the product | |
| Recycling cost of CLSC member | |
| Profit function for CLSC member in model | |
| Profit of the entire CLSC in model |
| Ranking of Profits | 1 | 2 | 3 | 4 | 5 | 6 | |
|---|---|---|---|---|---|---|---|
| MMR | RMR | MR | MM | RM | RR | ||
| RMR | MMR | RM | RR | MR | MM | ||
| MMR | MR | RMR | MM | RM | RR | ||
| RMR | RM | MMR | RR | MR | MM | ||
| MMR | MR | MM | RMR | RM | RR | ||
| RMR | RM | RR | MMR | MR | MM | ||
| : MMR = RMR > MR = RM > MM = RR | |||||||
© 2019 by the authors. Licensee MDPI, Basel, Switzerland. This article is an open access article distributed under the terms and conditions of the Creative Commons Attribution (CC BY) license (http://creativecommons.org/licenses/by/4.0/).
Share and Cite
Gong, Y.; Chen, M.; Zhuang, Y. Decision-Making and Performance Analysis of Closed-Loop Supply Chain under Different Recycling Modes and Channel Power Structures. Sustainability 2019, 11, 6413. https://doi.org/10.3390/su11226413
Gong Y, Chen M, Zhuang Y. Decision-Making and Performance Analysis of Closed-Loop Supply Chain under Different Recycling Modes and Channel Power Structures. Sustainability. 2019; 11(22):6413. https://doi.org/10.3390/su11226413
Chicago/Turabian StyleGong, Yande, Mengze Chen, and Yuliang Zhuang. 2019. "Decision-Making and Performance Analysis of Closed-Loop Supply Chain under Different Recycling Modes and Channel Power Structures" Sustainability 11, no. 22: 6413. https://doi.org/10.3390/su11226413
APA StyleGong, Y., Chen, M., & Zhuang, Y. (2019). Decision-Making and Performance Analysis of Closed-Loop Supply Chain under Different Recycling Modes and Channel Power Structures. Sustainability, 11(22), 6413. https://doi.org/10.3390/su11226413
