A Novel Effective Indicator of Weighted Inter-City Human Mobility Networks to Estimate Economic Development
Abstract
1. Introduction
- The general patterns of collective human mobility and economic growth were analyzed and compared from multiple perspectives, so that the understanding of spatial interactions and economic characteristics of the urban system in our study area were deepened.
- A novel, simple, and effective hybrid indicator deduced from weighted human mobility network was proposed to estimate economic growth. With this indicator, a quantitative bridge between human mobility and economic growth was built.
2. Literature Reviews
3. Study Area, Data, and Denotation
3.1. Study Area and Data Description
3.1.1. Human Mobility Data
3.1.2. Economic Data
3.2. Denotation and Definition
3.2.1. Weighted Human Mobility Network
3.2.2. Rank Order
3.2.3. Spatial Distribution
3.2.4. Correlation Analysis
4. Patterns of Collective Human Mobility and Economic Growth
4.1. Spatial Distribution
4.2. Rank Order
4.3. Comparison
- (1)
- Similarity
- (2)
- Difference
5. Quantitative Relation between Economic Growth and Human Mobility
5.1. Novel Hybrid Indicator
- (1)
- Human mobility is more relevant to the tertiary industry than to the secondary industry, and much more relevant than to the primary industry (the correlation coefficients of and partial GDP growth of the primary industry are negative). This coincides with the common senses and we quantitatively verify this by empirical data.
- (2)
- By further considering the effect of interaction strengths with top hub cities, the correlation coefficients are improved a lot. This further shows that the economic growth of GDP (especially for the tertiary industry) is related not only to its own strength, but also to the cooperation with hub cities.
5.2. Comparison
6. Conclusions
Author Contributions
Funding
Acknowledgments
Conflicts of Interest
References
- Feiock, R.C. (Ed.) Metropolitan Governance: Conflict, Competition, and Cooperation; Georgetown University Press: Washington, DC, USA, 2004. [Google Scholar]
- Douglass, M. From global intercity competition to cooperation for livable cities and economic resilience in Pacific Asia. Environ. Urban. 2002, 14, 53–68. [Google Scholar] [CrossRef]
- Goetz, E.G.; Kayser, T. Competition and cooperation in economic development: A study of the Twin Cities metropolitan area. Econ. Dev. Q. 1993, 7, 63–78. [Google Scholar] [CrossRef]
- Claessens, S.; Dell’Ariccia, G.; Igan, D.; Laeven, L. Cross-country experiences and policy implications from the global financial crisis. Econ. Policy 2010, 25, 267–293. [Google Scholar] [CrossRef]
- Baker, S.R.; Bloom, N.; Davis, S.J. Measuring economic policy uncertainty. Q. J. Econ. 2016, 131, 1593–1636. [Google Scholar] [CrossRef]
- Callan, P.M. Coping with Recession: Public Policy, Economic Downturns and Higher Education; The National Center for Public Policy and Higher Education: San Jose, CA, USA, 2002. [Google Scholar]
- González-Mejía, A.M.; Eason, T.N.; Cabezas, H.; Suidan, M.T. Social and economic sustainability of urban systems: Comparative analysis of metropolitan statistical areas in Ohio, USA. Sustain. Sci. 2014, 9, 217–228. [Google Scholar] [CrossRef]
- Choi, H.; Varian, H. Predicting the present with Google Trends. Econ. Rec. 2012, 88, 2–9. [Google Scholar] [CrossRef]
- Wang, W.; Rothschild, D.; Goel, S.; Gelman, A. Forecasting elections with non-representative polls. Int. J. Forecast. 2015, 31, 980–991. [Google Scholar] [CrossRef]
- Eagle, N.; Macy, M.; Claxton, R. Network diversity and economic development. Science 2010, 328, 1029–1031. [Google Scholar] [CrossRef] [PubMed]
- Pappalardo, L.; Vanhoof, M.; Gabrielli, L.; Smoreda, Z.; Pedreschi, D.; Giannotti, F. Estimating Economic Development with Mobile Phone Data. Available online: http://www.cisstat.com/BigData/CIS-BigData_08_Eng%20%20IT%20Luca%20Pappalardo%20Et%20Al%20Estimating%20Economic%20Development.pdf (accessed on 30 May 2016).
- Wang, D.; Pedreschi, D.; Song, C.; Giannotti, F.; Barabasi, A.L. Human mobility, social ties, and link prediction. In Proceedings of the 17th ACM SIGKDD International Conference on Knowledge Discovery and Data Mining, San Diego, CA, USA, 21–24 August 2011; ACM: New York, NY, USA, 2011; pp. 1100–1108. [Google Scholar]
- Filatotchev, I.; Liu, X.; Lu, J.; Wright, M. Knowledge spillovers through human mobility across national borders: Evidence from Zhongguancun Science Park in China. Res. Policy 2011, 40, 453–462. [Google Scholar] [CrossRef]
- Archer, M.S. Making Our Way through the World: Human Reflexivity and Social Mobility; Cambridge University Press: Cambridge, UK, 2007. [Google Scholar]
- Fagiolo, G.; Santoni, G. Human-mobility networks, country income, and labor productivity. Netw. Sci. 2015, 3, 377–407. [Google Scholar] [CrossRef]
- Timme, M.; Kocarev, L.; Witthaut, D. Focus on networks, energy and the economy. New J. Phys. 2015, 17, 110201. [Google Scholar] [CrossRef]
- Mantegna, R.N.; Kertész, J. Focus on statistical physics modeling in economics and finance. New J. Phys. 2011, 13, 025011. [Google Scholar] [CrossRef]
- Zhang, Z.; Wang, M.; Xu, H.; Zhang, W.; Tian, L. Research on the co-movement between high-end talent and economic growth: A complex network approach. Phys. A Stat. Mech. Appl. 2018, 492, 1216–1225. [Google Scholar] [CrossRef]
- Yang, X.; Zhao, Z.; Lu, S. Exploring spatial-temporal patterns of urban human mobility hotspots. Sustainability 2016, 8, 674. [Google Scholar] [CrossRef]
- Levy, M. Scale-free human migration and the geography of social networks. Phys. A Stat. Mech. Appl. 2010, 389, 4913–4917. [Google Scholar] [CrossRef]
- Barbosa, H.; Barthelemy, M.; Ghoshal, G.; James, C.R.; Lenormand, M.; Louail, T.; Menezes, R.; Ramasco, J.J.; Simini, M.; Tomasini, M. Human mobility: Models and applications. Phys. Rep. 2018, 734, 1–74. [Google Scholar] [CrossRef]
- Song, C.; Qu, Z.; Blumm, N.; Barabási, A.L. Limits of predictability in human mobility. Science 2010, 327, 1018–1021. [Google Scholar] [CrossRef] [PubMed]
- Gonzalez, M.C.; Hidalgo, C.A.; Barabasi, A.L. Understanding individual human mobility patterns. Nature 2008, 453, 779. [Google Scholar] [CrossRef] [PubMed]
- Yan, X.Y.; Wang, W.X.; Gao, Z.Y.; Lai, Y.C. Universal model of individual and population mobility on diverse spatial scales. Nat. Commun. 2017, 8, 1639. [Google Scholar] [CrossRef] [PubMed]
- Mudda, S.; Giordano, S. Regula: Utilizing the regularity of human mobility for location recommendation. In Proceedings of the 6th ACM SIGSPATIAL International Workshop on GeoStreaming, Bellevue, WA, USA, 3–6 November 2015; ACM: New York, NY, USA, 2015; pp. 69–77. [Google Scholar]
- Becker, R.A.; Caceres, R.; Hanson, K.; Loh, J.M.; Urbanek, S.; Varshavsky, A.; Volinsky, C. A tale of one city: Using cellular network data for urban planning. IEEE Pervasive Comput. 2011, 10, 18–26. [Google Scholar] [CrossRef]
- Castro, P.S.; Zhang, D.; Li, S. Urban traffic modelling and prediction using large scale taxi GPS traces. In International Conference on Pervasive Computing; Springer: Berlin/Heidelberg, Germany, 2012; pp. 57–72. [Google Scholar]
- Wu, M.; Han, S.; Sun, M.; Han, D. How the distance between regional and human mobility behavior affect the epidemic spreading. Phys. A Stat. Mech. Appl. 2018, 492, 1823–1830. [Google Scholar] [CrossRef]
- Colizza, V.; Barrat, A.; Barthélemy, M.; Vespignani, A. Predictability and epidemic pathways in global outbreaks of infectious diseases: The SARS case study. BMC Med. 2007, 5, 34. [Google Scholar] [CrossRef] [PubMed]
- Riascos, A.P.; Mateos, J.L. Emergence of encounter networks due to human mobility. PLoS ONE 2017, 12, e0184532. [Google Scholar] [CrossRef] [PubMed]
- Sun, Y.; Du, D. Determinants of industrial innovation in China: Evidence from its recent economic census. Technovation 2010, 30, 540–550. [Google Scholar] [CrossRef]
- Zhong, W.; Yuan, W.; Li, S.X.; Huang, Z. The performance evaluation of regional R&D investments in China: An application of DEA based on the first official China economic census data. Omega 2011, 39, 447–455. [Google Scholar]
- OECD. Gross Domestic Product (GDP). 2001. Available online: http://stats.oecd.org/glossary/detail.asp?ID=1163 (accessed on 10 August 2014).
- Economist, Keqiang Ker-Ching: How China’s Next Prime Minister Keeps Tabs on Its Economy. 2012. Available online: http://www.economist.com/node/17681868 (accessed on 20 August 2014).
- Von der Lippe, P.M. Index Theory and Price Statistics; Peter Lang GmbH: Frankfurt am Main, Germany, 2007. [Google Scholar]
- Shapiro, M.D.; Wilcox, D.W. Mismeasurement in the consumer price index: An evaluation. NBER Macroecon. Ann. 1996, 11, 93–142. [Google Scholar] [CrossRef]
- Schott, R. Social Retail: Finding, Engaging & Cultivating Today’s Connected Consumer. 2016. Available online: http://searchenginewatch.com/article/2192745/Social-Retail-Finding-Engaging-Cultiv-ating-TodaysConnected-Consumer# (accessed on 8 August 2016).
- Borensztein, E.; De Gregorio, J.; Lee, J.W. How does foreign direct investment affect economic growth? J. Int. Econ. 1998, 45, 115–135. [Google Scholar] [CrossRef]
- Liu, J.H.; Wang, J.; Shao, J.; Zhou, T. Online social activity reflects economic status. Phys. A Stat. Mech. Appl. 2016, 457, 581–589. [Google Scholar] [CrossRef]
- Xiaomeng, C.; Guozhen, L.; Yang, Y.; Qingquan, L. Estimating the distribution of economy activity: A case study in Jiangsu Province (China) using large scale social network data. In Proceedings of the 2014 IEEE International Conference on Data Mining Workshop, Shenzhen, China, 14 December 2014; pp. 1126–1134. [Google Scholar]
- Frias-Martinez, V.; Virseda-Jerez, J.; Frias-Martinez, E. On the relation between socio-economic status and physical mobility. Inf. Technol. Dev. 2012, 18, 91–106. [Google Scholar] [CrossRef]
- Pappalardo, L.; Pedreschi, D.; Smoreda, Z.; Giannotti, F. Using big data to study the link between human mobility and socio-economic development. In Proceedings of the 2015 IEEE International Conference on Big Data (Big Data), Santa Clara, CA, USA, 29 October–1 November 2015; pp. 871–878. [Google Scholar]
- Lucas, R.E., Jr. On the mechanics of economic development. J. Monet. Econ. 1988, 22, 3–42. [Google Scholar] [CrossRef]
- Malecki, E.J. Technology and Economic Development: The Dynamics of Local, Regional and National Competitiveness; Longman Pub Group: London, UK, 1997. [Google Scholar]
- Weingast, B.R. The economic role of political institutions: Market-preserving federalism and economic development. J. Law Econ. Organ. 1995, 11, 1–31. [Google Scholar]
- Schwarzkopf, D.L. Identifying peer states to assess technology-based economic development. Technol. Soc. 2014, 39, 68–76. [Google Scholar] [CrossRef]
- Kolbachev, E.; Kolbacheva, T.; Salnikova, Y. Application of natural science and engineering methods as a trend in the development of economic and management research and education. Procedia Soc. Behav. Sci. 2015, 214, 1000–1007. [Google Scholar] [CrossRef]
- Mashelkar, R.A. Impact of science, technology and innovation on the economic and political power. AI Soc. 2017, 32, 243–251. [Google Scholar] [CrossRef]
- Fan, P. Innovation capacity and economic development: China and India. Econ. Chang. Restruct. 2011, 44, 49–73. [Google Scholar] [CrossRef]
- Jokanović, B.; Lalic, B.; Milovančević, M.; Simeunović, N.; Marković, D. Economic development evaluation based on science and patents. Phys. A Stat. Mech. Appl. 2017, 481, 141–145. [Google Scholar] [CrossRef]
- Zhang, H.T.; Zhu, T.; Fu, D.; Xu, B.; Han, X.P.; Chen, D. Spatiotemporal property and predictability of large-scale human mobility. Phys. A Stat. Mech. Appl. 2018, 495, 40–48. [Google Scholar] [CrossRef]
- Gao, L.; Liu, X.; Zou, H. The role of human mobility in promoting Chinese outward FDI: A neglected factor? Int. Bus. Rev. 2013, 22, 437–449. [Google Scholar] [CrossRef]
- Smith, K.H. Human Resources, Mobility and the Systems Approach to Innovation; Organisation of Economic Co-Operation and Development: Paris, France, 2001. [Google Scholar]
- Montanari, A. Cross-national co-operation and human mobility: An introduction. Int. Rev. Sociol. 2012, 22, 175–190. [Google Scholar]
- Greenhalgh, C.; Rogers, M. Innovation, Intellectual Property, and Economic Growth; Princeton University Press: Princeton, NJ, USA, 2010. [Google Scholar]
- Taylor, P.J.; Derudder, B. World City Network: A Global Urban Analysis; Routledge: London, UK, 2015. [Google Scholar]
- Guimera, R.; Mossa, S.; Turtschi, A.; Amaral, L.N. The worldwide air transportation network: Anomalous centrality, community structure, and cities’ global roles. Proc. Natl. Acad. Sci. USA 2005, 102, 7794–7799. [Google Scholar] [CrossRef] [PubMed]
- Newman, M.E. A measure of betweenness centrality based on random walks. Soc. Netw. 2005, 27, 39–54. [Google Scholar] [CrossRef]
- Chen, D.; Lü, L.; Shang, M.S.; Zhang, Y.C.; Zhou, T. Identifying influential nodes in complex networks. Phys. A Stat. Mech. Appl. 2012, 391, 1777–1787. [Google Scholar] [CrossRef]
- Centola, D. The spread of behavior in an online social network experiment. Science 2010, 329, 1194–1197. [Google Scholar] [CrossRef] [PubMed]
- Ugander, J.; Backstrom, L.; Marlow, C.; Kleinberg, J. Structural diversity in social contagion. Proc. Natl. Acad. Sci. USA 2012, 109, 5962–5966. [Google Scholar] [CrossRef] [PubMed]
- Gao, C.; Wei, D.; Hu, Y.; Mahadevan, S.; Deng, Y. A modified evidential methodology of identifying influential nodes in weighted networks. Phys. A Stat. Mech. Appl. 2013, 392, 5490–5500. [Google Scholar] [CrossRef]
- Kitsak, M.; Gallos, L.K.; Havlin, S.; Liljeros, F.; Muchnik, L.; Stanley, H.E.; Makse, H.A. Identification of influential spreaders in complex networks. Nat. Phys. 2010, 6, 888. [Google Scholar] [CrossRef]
- Dorogovtsev, S.N.; Goltsev, A.V.; Mendes, J.F.F. K-core organization of complex networks. Phys. Rev. Lett. 2006, 96, 040601. [Google Scholar] [CrossRef] [PubMed]
- Carmi, S.; Havlin, S.; Kirkpatrick, S.; Shavitt, Y.; Shir, E. A model of Internet topology using k-shell decomposition. Proc. Natl. Acad. Sci. USA 2007, 104, 11150–11154. [Google Scholar] [CrossRef] [PubMed]
- Restrepo, J.G.; Ott, E.; Hunt, B.R. Characterizing the dynamical importance of network nodes and links. Phys. Rev. Lett. 2006, 97, 094102. [Google Scholar] [CrossRef] [PubMed]
- Bureau, G.S. Guangdong Statistics Yearbook 2017; Statistics Press: Beijing, China, 2017. [Google Scholar]
- Jiang, J.; Li, Q.; Tu, W.; Shaw, S.L.; Yue, Y. A simple and direct method to analyse the influences of sampling fractions on modelling intra-city human mobility. Int. J. Geogr. Inf. Sci. 2019, 33, 618–644. [Google Scholar] [CrossRef]
- Lü, L.; Chen, D.; Ren, X.L.; Zhang, Q.M.; Zhang, Y.C.; Zhou, T. Vital nodes identification in complex networks. Phys. Rep. 2016, 650, 1–63. [Google Scholar] [CrossRef]
- Kleinberg, J.M. Authoritative sources in a hyperlinked environment. J. ACM (JACM) 1999, 46, 604–632. [Google Scholar] [CrossRef]
- Hotelling, H. Simplified calculation of principal components. Psychometrika 1936, 1, 27–35. [Google Scholar] [CrossRef]
- Brin, S.; Page, L. The anatomy of a large-scale hypertextual web search engine. Comput. Netw. ISDN Syst. 1998, 30, 107–117. [Google Scholar] [CrossRef]












| Normalization of Economic Growth | Normalization of HHMIi | |||
|---|---|---|---|---|
| Total GDP | 0.9450 | 0.0158 | ||
| Partial GDP of the Secondary Industry | 0.7500 | 0.0296 | ||
| Partial GDP of the Tertiary Industry | 0.9534 | 0.0169 |
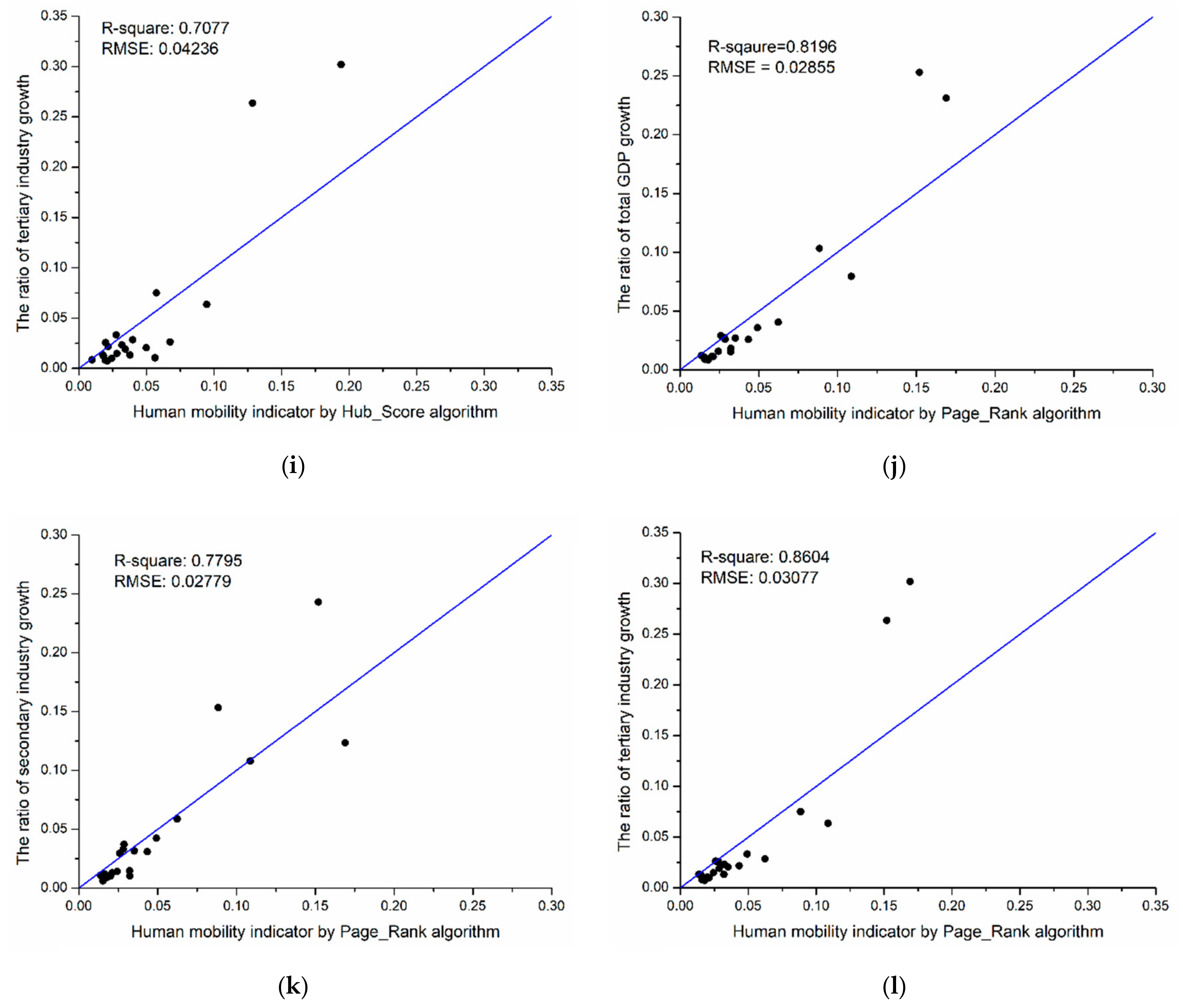
| Authority Score | Eigenvector Centrality | Hub Score | Page Rank | Human Mobility Volume | |
|---|---|---|---|---|---|
| Total GDP | 0.6796 | 0.7018 | 0.7389 | 0.8196 | 0.8535 |
| The secondary industry | 0.8189 | 0.7742 | 0.5382 | 0.7795 | 0.7321 |
| The tertiary industry | 0.5394 | 0.5818 | 0.7077 | 0.8604 | 0.7814 |
© 2019 by the authors. Licensee MDPI, Basel, Switzerland. This article is an open access article distributed under the terms and conditions of the Creative Commons Attribution (CC BY) license (http://creativecommons.org/licenses/by/4.0/).
Share and Cite
Jiang, J.; Chen, J.; Tu, W.; Wang, C. A Novel Effective Indicator of Weighted Inter-City Human Mobility Networks to Estimate Economic Development. Sustainability 2019, 11, 6348. https://doi.org/10.3390/su11226348
Jiang J, Chen J, Tu W, Wang C. A Novel Effective Indicator of Weighted Inter-City Human Mobility Networks to Estimate Economic Development. Sustainability. 2019; 11(22):6348. https://doi.org/10.3390/su11226348
Chicago/Turabian StyleJiang, Jincheng, Jinsong Chen, Wei Tu, and Chisheng Wang. 2019. "A Novel Effective Indicator of Weighted Inter-City Human Mobility Networks to Estimate Economic Development" Sustainability 11, no. 22: 6348. https://doi.org/10.3390/su11226348
APA StyleJiang, J., Chen, J., Tu, W., & Wang, C. (2019). A Novel Effective Indicator of Weighted Inter-City Human Mobility Networks to Estimate Economic Development. Sustainability, 11(22), 6348. https://doi.org/10.3390/su11226348

