A Memetic Algorithm for the Green Vehicle Routing Problem
Abstract
1. Introduction
2. Review of the Literature
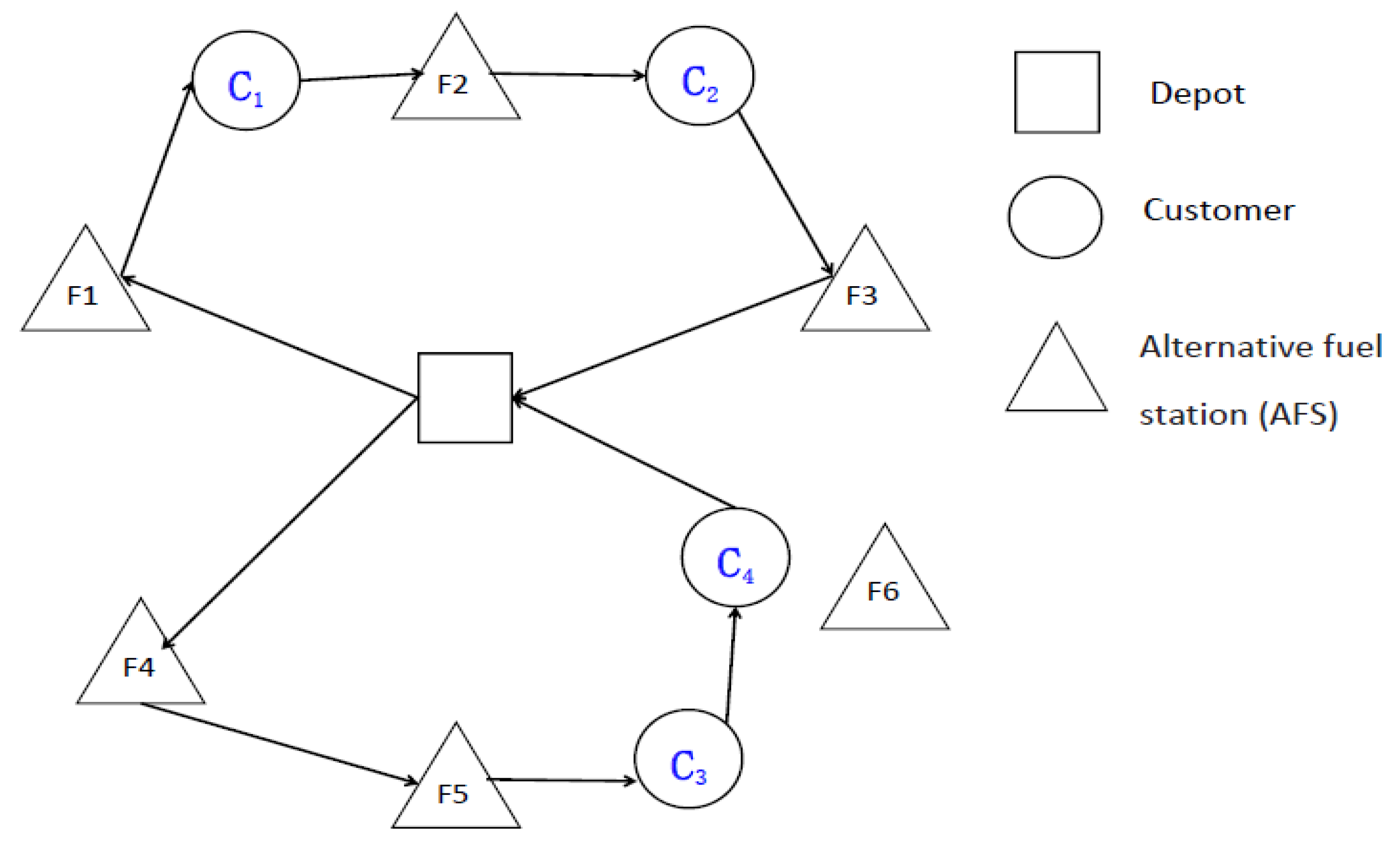
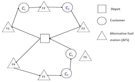
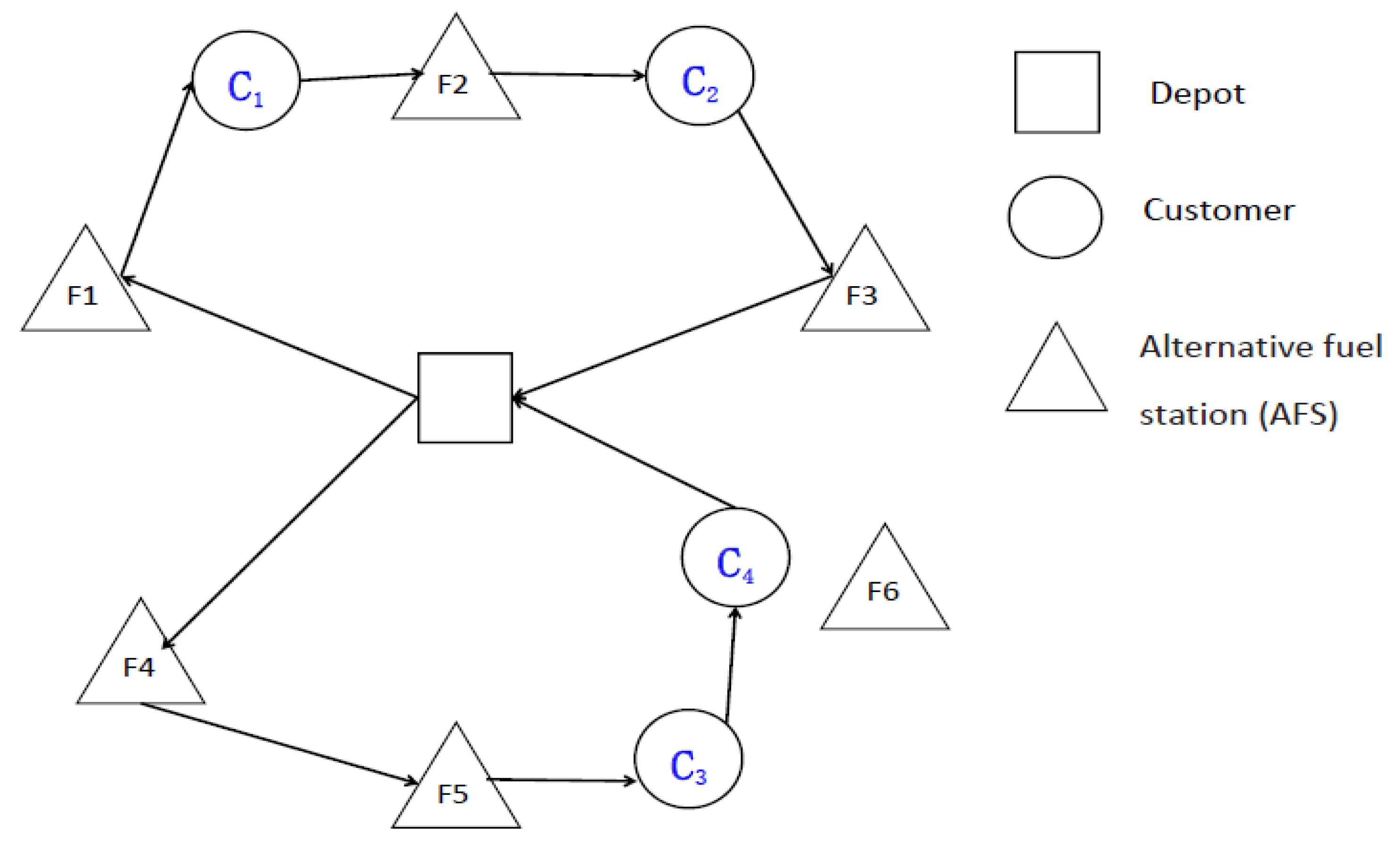
3. Problem Description and Definitions
Problem Description
- The service time at each customer node is denoted by .
- The refueling time at each refueling station node is denoted by .
- The travel time to traverse the arc is denoted by .
- The maximum fuel capacity without refueling for each vehicle is MC (i.e., the maximum fuel capacity constraint).
- The maximum driving time of each route including the service time, traversal time and refueling time is MT (i.e., the maximum driving time constraint).
- A route traveling from to consumes units of distance and units of time. The time is assumed to be proportional to the distance from to and computed as where is the vehicle speed.
4. Memetic Algorithm
4.1. Main Framework
| Algorithm 1. Framework of the memetic algorithm for solving GVRP |
| Require: Benchmark instance (B); the maximum computing time () |
| Ensure: Best-found solution |
| /* Generate feasible solutions as an initial population (Section 4.2) */ |
| 1: Initial solutions () |
| /* Improve each individual in the population with an adaptive local search (Section 4.3) */ |
| 2: fordo |
| 3: Adaptive local search () |
| 4: end for |
| 5: while the maximum computing time is not reached do |
| 6: Randomly select parent solutions and , from where an /* Generate offspring from , and , (Section 4.4) */ |
| 7: Backbone-based-crossover () /* Improve with an adaptive local search (Section 4.3) */ |
| 8: Adaptive-local-search () |
| 9: if is better than then |
| 10: |
| 11: end if /* The longest-common-subsequence based population updating strategy (Section 4.5) */ |
| 12: Determine the worst individual where the goodness value (see Equation (7)) |
| 13: if then |
| 14: |
| 15: end if |
| 16: end while |
| 17: return () |
4.2. Initial Solutions
4.3. Adaptive Local Search
4.3.1. Neighborhood Moves
- Intra-node-insertion (hereafter denoted as ): This operator selects a customer node removed from a given route and tries to relocate it in the same route. Specifically, it first removes node and relocates it between customers and to contains the customer sequence , as shown in Figure 2.
- Intra-nodes-swap (): two customer nodes in the same route exchange their positions. Specifically, it first removes nodes and and relocates them in the current route to contains the customer sequences and , as shown in Figure 3.
- Intra-arc-insertion (): this operator selects an arc of two customers from a given route and tries to relocate it somewhere else of the same route. Specifically, it first removes one arc between two successive customers i and j. It then tries to reconnect the route so that it contains the customer sequence , as shown in Figure 4.
- Intra-arcs-swap (): two arcs of consecutive customers exchange their positions. See an example shown in Figure 5.
- Inter-node-insertion (): different from the intra-node-insertion operator, this operator selects a customer node removed from a given route and tries to relocate it in a different route. To be specific, it first removes node in route 1 and relocates it between customers and to contains the customer sequence in route 2, as shown in Figure 6.
- Inter-nodes-swap (): different from the intra-nodes-swap, this operator selects two customers in different routes to exchange their positions. See an example in Figure 7.
- Inter-arc-insertion (): different from the intra-arc-insertion operator, this operator relocates a customer arc into another route. See an example in Figure 8.
- Inter-arcs-swap (): different from the intra-arcs-swap operator, this operator exchanges the positions of two customer arcs between two different routes. See an example in Figure 9.
4.3.2. Reward and Penalty Strategy Based on Adaptive Mechanism
| Algorithm 2. Adaptive local search procedure |
| Require: Initial current solution (); |
| Ensure: Best found solution () during the search |
| /*The set of neighborhood moves denoted by I including the eight neighborhood operators proposed in Section 4.3.1*/ |
| 1: |
| 2: while do |
| 3: Calculate the probability of each neighborhood move by Equation (2) |
| 4: Randomly select one neighborhood move from with probability , where |
| 5: Choose the best neighboring solution from the set of neighboring solutions generated by move, |
| 6: if is not better than then |
| 7: |
| 8: else |
| 9: |
| 10: end if |
| 11: Update the score of the neighborhood move by Equations (3) and (4) |
| 12: If is better than then |
| 13: , |
| 14: else |
| 15: |
| 16: end if |
| 17: if then |
| 18: |
| 19: end if |
| 20: end while |
| 21: return () |
4.4. Backbone-Based Crossover Operator
- Step 1. We select the chosen customer and station sequence of a route from the corresponding parent solutions as a route of the child solution. To illustrate this, Figure 10 depicts an example with two parents and , where Route 1 and Route 2 denote the two routes of the parent solutions, respectively. The best chosen route selected from the candidate routes of two parent solutions is the one yielding the minimum ratio value of :where represents the incremental objective value after selecting the candidate route as a route in the child solution , and denotes the number of customers in the current route. As shown in Figure 10, we first select Route 1 from in the first iteration, and Route 2 from in the second iteration. At the last iteration we select Route 1 from .
- Step 2. We delete the customers in the chosen route from the remaining routes in two parent solutions. As shown in Figure 10, we delete the customers from both two parent solutions, which appear in Route 1 after we select Route 1 from in the first iteration. The reason is that it is necessary to remove the same customer from both parent solutions in order to avoid redundancy after each iteration.
4.5. LCS-Based Population Updating Strategy
5. Computational Studies
5.1. Benchmark Instances and Experimental Protocols
- The adaptive variable neighborhood search (AVNS) [7]. Algorithm AVNS was evaluated on a desktop computer with an Intel Core i5 2.67 GHz processor with 4GB RAM, running Windows 7 Professional.
- The multi-space sampling heuristic (MSH) proposed by Montoya et al. (2016) [5]. Algorithm MHS was evaluated on a computing cluster with 2.33 GHz Intel Xeon E5410 processors with 16GB of RAM running under Linux platform.
- The multi-start local search (MSLS) proposed by Andelmin and Bartolini (2019) [1]. Algorithm MSLS was evaluated on Intel i5-3570K desktop clocked at 3.40 GHz with 8GB RAM running Windows 10 Home 64 Edition.
5.2. Parameter Tuning
5.3. Computational Results on the EMH Benchmark Instances
5.4. Computational Results on the AB Benchmark Instances
6. Analysis on the Impact of the Adaptive Mechanism
7. Discussion
8. Conclusions and Future Research
Author Contributions
Funding
Conflicts of Interest
References
- Andelmin, J.; Bartolini, E. A multi-start local search heuristic for the Green Vehicle Routing Problem based on a multigraph reformulation. Comput. Oper. Res. 2019, 109, 43–63. [Google Scholar] [CrossRef]
- Felipe, A.; Ortuño, M.T.; Righini, G.; Tirado, G. A heuristic approach for the green vehicle routing problem with multiple technologies and partial recharges. Transp. Res. Part E Logist. Transp. Rev. 2014, 71, 111–128. [Google Scholar] [CrossRef]
- Dulebenets, M.A. A Delayed Start Parallel Evolutionary Algorithm for just-in-time truck scheduling at a cross-docking facility. Int. J. Prod. Econ. 2019, 212, 236–258. [Google Scholar] [CrossRef]
- Cherkesly, M.; Desaulniers, G.; Laporte, G. A population-based metaheuristic for the pickup and delivery problem with time windows and LIFO loading. Comput. Oper. Res. 2015, 62, 23–35. [Google Scholar] [CrossRef]
- Montoya, A.; Gu´eret, C.; Mendoza, J.E.; Villegas, J.G. A multispace sampling heuristic for the green vehicle routing problem. Transp. Res. Part C Emerg. Technol. 2016, 70, 113–128. [Google Scholar] [CrossRef]
- Erdo˘gan, S.; Miller-Hooks, E. A green vehicle routing problem. Transp. Res. Part E Logist. Transp. Rev. 2012, 48, 100–114. [Google Scholar]
- Schneider, M.; Stenger, A.; Goeke, D. The Electric Vehicle-Routing Problem with Time Windows and Recharging Stations. Transp. Sci. 2014, 48, 500–520. [Google Scholar] [CrossRef]
- Schneider, M.; Stenger, A.; Hof, J. An Adaptive VNS Algorithm for Vehicle Routing Problems with Intermediate Stops. OR Spectrum 2015, 37, 353–387. [Google Scholar] [CrossRef]
- Anandakumar, H.; Umamaheswari, K. A bio-inspired swarm intelligence technique for social aware cognitive radio handovers. Comput. Electr. Eng. 2018, 71, 925–937. [Google Scholar] [CrossRef]
- Brezočnik, L.; Fister, I.; Podgorelec, V. Swarm Intelligence Algorithms for Feature Selection: A Review. Appl. Sci. 2018, 8, 1521. [Google Scholar] [CrossRef]
- Slowik, A.; Kwasnicka, H. Nature Inspired Methods and Their Industry Applications—Swarm Intelligence Algorithms. IEEE Trans. Ind. Inform. 2018, 14, 1004–1015. [Google Scholar] [CrossRef]
- Govindan, K.; Jafarian, A.; Nourbakhsh, V. Designing a sustainable supply chain network integrated with vehicle routing: A comparison of hybrid swarm intelligence metaheuristics. Comput. Oper. Res. 2019, 110, 220–235. [Google Scholar] [CrossRef]
- Lü, Z.; Hao, J.-K. A memetic algorithm for graph coloring. Eur. J. Oper. Res. 2010, 203, 241–250. [Google Scholar]
- Fran¸ca, P.M.; Mendes, A.; Moscato, P. A memetic algorithm for the total tardiness single machine scheduling problem. Eur. J. Oper. Res. 2001, 132, 224–242. [Google Scholar]
- Benlic, U.; Hao, J.-K. Memetic search for the quadratic assignment problem. Expert Syst. Appl. 2015, 42, 584–595. [Google Scholar] [CrossRef]
- Cheng, T.C.E.; Peng, B.; Lü, Z. A hybrid evolutionary algorithm to solve the job shop scheduling problem. Ann. Oper. Res. 2016, 242, 223–237. [Google Scholar] [CrossRef]
- Pullan, W. A memetic genetic algorithm for the vertex p-center problem. Evol. Comput. 2008, 16, 417–436. [Google Scholar] [CrossRef]
- Burke, E.; Cowling, P.; De Causmaecker, P.; Berghe, G.V. A Memetic Approach to the Nurse Rostering Problem. Appl. Intell. 2001, 15, 199–214. [Google Scholar] [CrossRef]
- Li, Y.; Lim, A.; Oon, W.-C.; Qin, H.; Tu, D. The tree representation for the pickup and delivery traveling salesman problem with LIFO loading. Eur. J. Oper. Res. 2011, 212, 482–496. [Google Scholar] [CrossRef]
- Andelmin, J.; Bartolini, E. An Exact Algorithm for the Green Vehicle Routing Problem. Transp. Sci. 2017, 51, 1288–1303. [Google Scholar] [CrossRef]
- Birattari, M.; Yuan, Z.; Balaprakash, P.; Stützle, T. F-race and iterated f-race: An overview. In Experimental Methods for the Analysis of Optimization Algorithms; Springer: Berlin/Heidelberg, Germany, 2010; pp. 311–336. [Google Scholar]
- Lopez-Ibanez, M.; Dubois-Lacoste, J.; Caceres, L.P.; Birattari, M.; Stützle, T. The IRACE package: Iterated racing for automatic algorithm configuration. Oper. Res. Perspect. 2016, 3, 43–58. [Google Scholar] [CrossRef]
- Toth, P.; Vigo, D. The Granular Tabu Search and Its Application to the Vehicle-Routing Problem. INFORMS J. Comput. 2003, 15, 333–346. [Google Scholar] [CrossRef]
- Glover, F.; Laguna, M.; Marti, R. Fundamentals of scatter search and path relinking. Control Cybern. 2000, 29, 653–684. [Google Scholar]
- Franke, T.; Neumann, I.; Bühler, F.; Cocron, P.; Krems, J.F. Experiencing range in an electric vehicle: Understanding psychological barriers. Appl. Psychol. 2012, 61, 368–391. [Google Scholar] [CrossRef]
- Hasan, S.M.K.; Sarker, R.; Essam, D.; Cornforth, D. Memetic algorithms for solving job-shop scheduling problems. Memetic Comput. 2009, 1, 69–83. [Google Scholar] [CrossRef]










| Parameter | Description | Candidate Values | Final Value |
|---|---|---|---|
| The parameter (the number of the candidate customers) in the initial population phase | 1, 3, 5 | 3 | |
| The reaction factor that controls how quickly the score adjustment function reacts to changes according to the performance of the moves | 0.1, 0.2, 0.3 | 0.2 | |
| The reward parameter if a move produces a new best solution | 1, 5, 10 | 5 | |
| The reward parameter if a move improves the current solution | 1, 2, 5 | 1 | |
| The punishment parameter if a generated solution is worse than the current solution | 0.8, 0.9, 0.99 | 0.9 | |
| The parameter of the ratio of the number of request nodes deleted in the perturbation strategy | 4,5,6 | 5 | |
| The number of individuals in the population | 5, 10, 15 | 15 | |
| The constant parameter to balance the objective value and the distance in the goodness value | 0.4, 0.7, 0.9 | 0.7 |
| Instances | n | s | CPLEX | AVNS | MSH | MSLS | MA | ||||||||||||
|---|---|---|---|---|---|---|---|---|---|---|---|---|---|---|---|---|---|---|---|
| Time | Veh | Time | Veh | Time | Veh | Time | |||||||||||||
| 20c3sU1 | 20 | 3 | 558 | 1797.49 | 1797.49 | 1797.49 | 0.16 | 6 | 1797.49 | 1797.49 | 0.08 | 6 | 1797.5 | 1797.5 | 0.005 | 6 | 1797.49 | 1797.49 | 0.01 |
| 20c3sU2 | 20 | 3 | 570 | 1574.77 | 1574.78 | 1574.78 | 0.15 | 6 | 1574.78 | 1574.78 | 0.07 | 6 | 1574.78 | 1574.78 | 0.005 | 6 | 1574.78 | 1574.78 | 0.01 |
| 20c3sU3 | 20 | 3 | 594 | 1704.48 | 1704.48 | 1704.48 | 0.13 | 6 | 1704.48 | 1704.48 | 0.07 | 6 | 1704.48 | 1704.48 | 0.005 | 6 | 1704.48 | 1704.48 | 0.01 |
| 20c3sU4 | 20 | 3 | 588 | 1482 | 1482 | 1482 | 0.17 | 5 | 1482 | 1482 | 0.07 | 5 | 1482 | 1482 | 0.005 | 5 | 1482 | 1482 | 0.01 |
| 20c3sU5 | 20 | 3 | 558 | 1689.37 | 1689.37 | 1689.37 | 0.18 | 6 | 1689.37 | 1689.37 | 0.07 | 6 | 1689.37 | 1689.37 | 0.005 | 6 | 1689.37 | 1689.37 | 0.01 |
| 20c3sU6 | 20 | 3 | 586 | 1618.65 | 1618.65 | 1618.65 | 0.15 | 6 | 1618.65 | 1618.65 | 0.07 | 6 | 1618.65 | 1618.65 | 0.005 | 6 | 1618.65 | 1618.65 | 0.01 |
| 20c3sU7 | 20 | 3 | 528 | 1713.66 | 1713.66 | 1713.66 | 0.19 | 6 | 1713.66 | 1713.87 | 0.07 | 6 | 1713.67 | 1713.67 | 0.004 | 6 | 1713.66 | 1713.66 | 0.01 |
| 20c3sU8 | 20 | 3 | 544 | 1706.5 | 1706.5 | 1706.5 | 0.16 | 6 | 1706.5 | 1706.5 | 0.07 | 6 | 1706.5 | 1706.5 | 0.004 | 6 | 1706.5 | 1706.5 | 0.01 |
| 20c3sU9 | 20 | 3 | 488 | 1708.81 | 1708.82 | 1708.82 | 0.19 | 6 | 1708.82 | 1709.65 | 0.07 | 6 | 1708.82 | 1708.82 | 0.004 | 6 | 1708.82 | 1708.82 | 0.01 |
| 20c3sU10 | 20 | 3 | 624 | 1181.31 | 1181.31 | 1181.31 | 0.23 | 4 | 1181.31 | 1181.31 | 0.07 | 4 | 1181.31 | 1181.31 | 0.005 | 4 | 1181.31 | 1181.31 | 0.01 |
| 20c3sC1 | 20 | 3 | 772 | 1173.57 | 1173.57 | 1173.57 | 0.38 | 4 | 1173.57 | 1173.57 | 0.07 | 4 | 1173.57 | 1177.49 | 0.006 | 4 | 1173.57 | 1177.49 | 0.01 |
| 20c3sC2 | 19 | 3 | 538 | 1539.97 | 1539.97 | 1539.97 | 0.21 | 5 | 1539.97 | 1539.97 | 0.08 | 5 | 1539.97 | 1539.97 | 0.005 | 5 | 1539.97 | 1539.97 | 0.01 |
| 20c3sC3 | 12 | 3 | 278 | 880.2 | 880.2 | 880.2 | 0.15 | 3 | 880.2 | 880.2 | 0.04 | 3 | 880.2 | 880.2 | 0.004 | 3 | 880.2 | 880.2 | 0.01 |
| 20c3sC4 | 18 | 3 | 608 | 1059.35 | 1059.35 | 1077.71 | 0.23 | 4 | 1059.35 | 1059.94 | 0.06 | 4 | 1059.35 | 1059.35 | 0.005 | 4 | 1059.35 | 1059.35 | 0.01 |
| 20c3sC5 | 19 | 3 | 362 | - | 2156.01 | 2156.01 | 0.14 | 7 | 2156.01 | 2156.04 | 0.1 | 7 | 2156.01 | 2156.01 | 0.004 | 7 | 2156.01 | 2156.01 | 0.01 |
| 20c3sC6 | 17 | 3 | 276 | 2758.17 | 2758.17 | 2758.17 | 0.14 | 8 | 2758.17 | 2758.17 | 0.08 | 8 | 2758.17 | 2758.17 | 0.003 | 8 | 2758.17 | 2758.17 | 0.01 |
| 20c3sC7 | 6 | 3 | 38 | 1393.99 | 1393.99 | 1393.99 | 0.04 | 4 | 1393.99 | 1393.99 | 0.06 | 4 | 1393.99 | 1393.99 | 0.002 | 4 | 1393.99 | 1393.99 | 0.01 |
| 20c3sC8 | 18 | 3 | 232 | 3139.72 | 3139.72 | 3139.72 | 0.08 | 9 | 3139.72 | 3139.72 | 0.12 | 9 | 3139.72 | 3139.72 | 0.003 | 9 | 3139.72 | 3139.72 | 0.01 |
| 20c3sC9 | 19 | 3 | 480 | 1799.94 | 1799.94 | 1799.94 | 0.16 | 6 | 1799.94 | 1799.94 | 0.1 | 6 | 1799.94 | 1799.94 | 0.004 | 6 | 1799.94 | 1799.94 | 0.01 |
| 20c3sC10 | 15 | 3 | 222 | - | 2583.42 | 2600.39 | 0.09 | 8 | 2583.42 | 2583.42 | 0.07 | 8 | 2640 | 2640 | 0.003 | 8 | 2583.42 | 2583.42 | 0.01 |
| S1 2i6s | 20 | 6 | 896 | 1578.12 | 1578.12 | 1578.12 | 0.16 | 6 | 1578.12 | 1578.12 | 0.07 | 6 | 1578.12 | 1578.12 | 0.007 | 6 | 1578.12 | 1578.12 | 0.01 |
| S1 4i6s | 20 | 6 | 972 | 1413.96 | 1397.27 | 1397.27 | 0.16 | 5 | 1397.27 | 1397.27 | 0.07 | 5 | 1397.27 | 1397.27 | 0.008 | 5 | 1397.27 | 1397.27 | 0.01 |
| S1 6i6s | 20 | 6 | 744 | 1560.49 | 1560.49 | 1560.49 | 0.2 | 5 | 1560.49 | 1560.49 | 0.07 | 5 | 1560.49 | 1560.49 | 0.005 | 5 | 1560.49 | 1560.49 | 0.01 |
| S1 8i6s | 20 | 6 | 822 | 1692.32 | 1692.32 | 1692.32 | 0.17 | 6 | 1692.32 | 1692.32 | 0.07 | 6 | 1692.32 | 1692.32 | 0.007 | 6 | 1692.32 | 1692.32 | 0.01 |
| S1 10i6s | 20 | 6 | 1186 | 1173.48 | 1173.48 | 1173.48 | 0.24 | 4 | 1173.48 | 1173.48 | 0.07 | 4 | 1173.48 | 1173.48 | 0.009 | 4 | 1173.48 | 1173.48 | 0.01 |
| S2 2i6s | 20 | 6 | 848 | 1633.1 | 1633.1 | 1633.1 | 0.19 | 6 | 1633.1 | 1633.1 | 0.09 | 6 | 1633.1 | 1633.1 | 0.008 | 6 | 1633.1 | 1633.1 | 0.01 |
| S2 4i6s | 19 | 6 | 920 | 1555.20 | 1505.07 | 1505.07 | 0.14 | 6 | 1505.07 | 1505.07 | 0.09 | 6 | 1505.07 | 1505.07 | 0.007 | 6 | 1505.07 | 1505.07 | 0.01 |
| S2 6i6s | 20 | 6 | 560 | - | 2431.33 | 2431.33 | 0.13 | 7 | 2431.33 | 2431.33 | 0.07 | 7 | 2431.33 | 2431.33 | 0.007 | 7 | 2431.33 | 2431.33 | 0.01 |
| S2 8i6s | 16 | 6 | 292 | 2158.35 | 2158.35 | 2158.35 | 0.09 | 7 | 2158.35 | 2158.35 | 0.06 | 7 | 2158.35 | 2158.35 | 0.004 | 7 | 2158.35 | 2158.35 | 0.01 |
| S2 10i6s | 16 | 6 | 466 | - | 1585.46 | 1585.46 | 0.15 | 5 | 1585.46 | 1585.46 | 0.06 | 5 | 1585.46 | 1585.46 | 0.005 | 5 | 1585.46 | 1585.46 | 0.01 |
| S1 4i2s | 20 | 2 | 518 | 1582.21 | 1582.21 | 1582.21 | 0.13 | 6 | 1582.21 | 1582.21 | 0.07 | 6 | 1582.21 | 1582.21 | 0.004 | 6 | 1582.21 | 1582.21 | 0.01 |
| S1 4i4s | 20 | 4 | 708 | 1460.09 | 1460.09 | 1460.09 | 0.16 | 5 | 1460.09 | 1460.09 | 0.07 | 5 | 1460.09 | 1460.09 | 0.006 | 5 | 1460.09 | 1460.09 | 0.01 |
| S1 4i6s | 20 | 6 | 972 | 1397.27 | 1397.27 | 1397.27 | 0.16 | 5 | 1397.27 | 1397.27 | 0.07 | 5 | 1397.27 | 1397.27 | 0.008 | 5 | 1397.27 | 1397.27 | 0.01 |
| S1 4i8s | 20 | 8 | 1320 | 1403.57 | 1397.27 | 1397.27 | 0.17 | 5 | 1397.27 | 1397.27 | 0.07 | 5 | 1397.27 | 1397.27 | 0.01 | 5 | 1397.27 | 1397.27 | 0.01 |
| S1 4i10s | 20 | 10 | 1494 | 1397.27 | 1396.02 | 1396.02 | 0.23 | 5 | 1396.02 | 1396.02 | 0.07 | 5 | 1396.02 | 1396.02 | 0.012 | 5 | 1396.02 | 1396.02 | 0.01 |
| S2 4i2s | 18 | 2 | 548 | 1059.35 | 1059.35 | 1069.42 | 0.23 | 4 | 1059.35 | 1059.94 | 0.06 | 4 | 1059.35 | 1059.35 | 0.004 | 4 | 1059.35 | 1059.35 | 0.01 |
| S2 4i4s | 19 | 4 | 838 | 1446.08 | 1446.08 | 1449.17 | 0.21 | 5 | 1446.08 | 1446.08 | 0.09 | 5 | 1446.08 | 1446.08 | 0.006 | 5 | 1446.08 | 1446.08 | 0.01 |
| S2 4i6s | 20 | 6 | 924 | 1434.14 | 1434.14 | 1445.35 | 0.2 | 5 | 1434.14 | 1435.95 | 0.08 | 5 | 1434.14 | 1434.14 | 0.007 | 5 | 1434.14 | 1434.14 | 0.01 |
| S2 4i8s | 20 | 8 | 1256 | 1434.14 | 1434.14 | 1434.14 | 0.2 | 5 | 1434.14 | 1435.95 | 0.08 | 5 | 1434.14 | 1434.14 | 0.01 | 5 | 1434.14 | 1434.14 | 0.01 |
| S2 4i10s | 20 | 10 | 1528 | 1434.13 | 1434.13 | 1455.31 | 0.24 | 5 | 1434.13 | 1435.94 | 0.09 | 5 | 1434.13 | 1434.13 | 0.014 | 5 | 1434.13 | 1434.13 | 0.01 |
| #AVG #Best | 1635.43 38 | 1637.45 | 0.17 | 1635.42 38 | 1635.62 | 0.07 | 1636.84 35 | 1636.94 | 0.006 | 1635.42 38 | 1635.52 | 0.01 | |||||||
| Instances | n | s | BKS | AVNS | MSH | MSLS | MA | ||||||||||||
|---|---|---|---|---|---|---|---|---|---|---|---|---|---|---|---|---|---|---|---|
| Time | Veh | Time | Veh | Time | Veh | Time | |||||||||||||
| 111c_21s | 109 | 21 | 57,462 | 4770.47 | 4770.47 | 4791.53 | 1.78 | 17 | 4777.91 | 4781.85 | 4.94 | 17 | 4771.97 | 4774.2 | 1.87 | 17 | 4770.47 | 4790.51 | 2.01 |
| 111c_22s | 109 | 22 | 58,480 | 4767.21 | 4776.81 | 4797.31 | 1.94 | 17 | 4774.65 | 4778.8 | 4.69 | 17 | 4767.21 | 4769.77 | 1.96 | 17 | 4767.21 | 4769.77 | 2.33 |
| 111c_24s | 109 | 24 | 64,588 | 4767.14 | 4767.14 | 4790.84 | 2.16 | 17 | 4773.67 | 4778.62 | 5.64 | 17 | 4767.14 | 4768.4 | 2.42 | 17 | 4767.14 | 4768.48 | 3.62 |
| 111c_26s | 109 | 26 | 66,814 | 4767.14 | 4767.14 | 4782.6 | 2.04 | 17 | 4773.67 | 4778.62 | 5.23 | 17 | 4767.14 | 4769.5 | 2.57 | 17 | 4767.14 | 4769.5 | 3.54 |
| 111c_28s | 109 | 28 | 68,878 | 4765.52 | 4765.52 | 4781.26 | 1.73 | 17 | 4772.46 | 4777.03 | 5.54 | 17 | 4765.52 | 4767.97 | 2.78 | 17 | 4765.52 | 4767.97 | 3.99 |
| 200c_21s | 192 | 21 | 191,884 | 8766.04 | 8886 | 8970.14 | 3.61 | 31 | 8839.62 | 8879.98 | 19.96 | 31 | 8766.04 | 8790.8 | 10.48 | 31 | 8766.04 | 8790.8 | 9.15 |
| 250c_21s | 237 | 21 | 303,962 | 10,379.98 | 10,487.15 | 10,531.2 | 3.67 | 37 | 10,482.52 | 10,518.32 | 21.58 | 37 | 10,379.98 | 10414.45 | 21.46 | 37 | 10,381.21 | 10,402.27 | 15.23 |
| 300c_21s | 283 | 21 | 424,602 | 12,202.49 | 12,374.49 | 12,514.78 | 4.94 | 44 | 12,367.6 | 12,421.75 | 47.53 | 43 | 12,202.49 | 12,209.94 | 35.44 | 43 | 12,206.16 | 12,215.78 | 31.84 |
| 350c_21s | 329 | 21 | 576,896 | 13,908.96 | 14,103.66 | 14,271.56 | 7.11 | 50 | 14,073.34 | 14,226.03 | 63.01 | 49 | 13,908.96 | 13,929.89 | 60.99 | 49 | 13,910.02 | 13,931.57 | 57.99 |
| 400c_21s | 378 | 21 | 743,346 | 16,398.13 | 16,697.21 | 16,839.23 | 12.7 | 59 | 16,660.2 | 17,119.89 | 71.7 | 58 | 16,398.13 | 16,424.29 | 111.84 | 58 | 16,389.27 | 16,412.81 | 101.27 |
| 450c_21s | 424 | 21 | 931,852 | 17,938.85 | 18,310.6 | 18,512.47 | 13.19 | 65 | 18,241.48 | 18,902.03 | 80.75 | 64 | 17,938.85 | 17,973.93 | 145.73 | 64 | 17,931.21 | 17,956.77 | 172.06 |
| 500c_21s | 471 | 21 | 1,128,354 | 20,207.81 | 20,609.67 | 20,874.5 | 19.51 | 73 | 20,496.5 | 20,997.04 | 89.95 | 71 | 20,207.81 | 20,245.13 | 198.97 | 71 | 20,198.74 | 20,225.52 | 196.43 |
| #AVG | 10,442.98 | 10,538.11 | 6.19 | 10,419.46 | 10,579.99 | 35.04 | 10,303.43 | 10,319.86 | 49.7 | 10,301.37 | 10,316.86 | 49.95 | |||||||
| #Best | 1 | 0 | 8 | 9 | |||||||||||||||
| Instances | n | s | BKS | Veh | LB | MSLS | MA | |||||||
|---|---|---|---|---|---|---|---|---|---|---|---|---|---|---|
| %Best | %Avg | Veh | Time | %Best | %Avg | Veh | Time | |||||||
| AB101 | 50 | 21 | 10,590 | 2566.62 | 9 | 2566.62 | 0 | 0 | 9 | 10.98 | 0 | 0 | 9 | 5.12 |
| AB102 | 50 | 21 | 12,768 | 2876.26 | 10 | 2876.26 | 0 | 0 | 10 | 12.8 | 0 | 0 | 10 | 6.79 |
| AB103 | 50 | 21 | 12,604 | 2804.07 | 10 | 2804.07 | 0 | 0 | 10 | 15.82 | 0 | 0 | 10 | 12.67 |
| AB104 | 47 | 25 | 7420 | 2634.17 | 9 | 2634.17 | 0 | 0 | 9 | 48.16 | 0 | 0 | 9 | 21.56 |
| AB105 | 73 | 21 | 21,002 | 3939.96 | 14 | 3939.96 | 0 | 0 | 14 | 31.5 | 0 | 0 | 14 | 30.88 |
| AB106 | 74 | 21 | 24,956 | 3915.15 | 13 | 3915.15 | 0.09 | 0.37 | 14 | 32.69 | 0 | 0.12 | 14 | 27.2 |
| AB107 | 75 | 21 | 35,694 | 3732.97 | 13 | 3732.97 | 0 | 0.04 | 13 | 43.44 | 0 | 0.02 | 13 | 40.19 |
| AB108 | 75 | 21 | 31,972 | 3672.4 | 13 | 3672.4 | 0 | 0.05 | 13 | 41.49 | 0 | 0.01 | 13 | 42.69 |
| AB109 | 75 | 24 | 29,358 | 3722.17 | 13 | 3722.17 | 0 | 0.01 | 13 | 43.27 | 0 | 0.01 | 13 | 45.61 |
| AB110 | 75 | 24 | 29,420 | 3612.95 | 13 | 3572.11 | 0.2 | 0.59 | 13 | 44.16 | 0.18 | 0.46 | 13 | 47.12 |
| AB111 | 71 | 25 | 21,462 | 3996.96 | 14 | 3996.96 | 0 | 0.06 | 14 | 142.9 | 0 | 0.07 | 14 | 80.23 |
| AB112 | 100 | 21 | 52,858 | 5487.87 | 18 | 5487.87 | 0.6 | 1.27 | 19 | 90.01 | 0.45 | 1.27 | 19 | 89.5 |
| AB113 | 100 | 21 | 53,902 | 4804.62 | 17 | 4804.62 | 0.04 | 0.3 | 17 | 93.22 | 0 | 0.39 | 17 | 99.1 |
| AB114 | 100 | 21 | 53,686 | 5324.17 | 18 | 5324.17 | 0.01 | 0.35 | 18 | 87.07 | 0 | 0.41 | 18 | 67.23 |
| AB115 | 100 | 21 | 50,764 | 5035.35 | 17 | 5035.35 | 0 | 0.27 | 17 | 84.08 | 0 | 0.36 | 17 | 67.12 |
| AB116 | 100 | 21 | 58,286 | 4511.64 | 16 | 4511.64 | 0.03 | 0.22 | 16 | 102.26 | 0 | 0.2 | 16 | 81.05 |
| AB117 | 99 | 22 | 47,174 | 5370.28 | 18 | 5370.28 | 0.12 | 0.18 | 18 | 80.83 | 0.05 | 0.17 | 18 | 60.12 |
| AB118 | 100 | 22 | 48,770 | 5756.88 | 19 | 5756.88 | 0 | 0.14 | 19 | 81.04 | 0 | 0.08 | 19 | 78.01 |
| AB119 | 98 | 25 | 47,884 | 5599.96 | 19 | 5599.96 | 0 | 0 | 19 | 95.21 | 0 | 0 | 19 | 90.12 |
| AB120 | 96 | 25 | 47,658 | 5679.81 | 19 | 5679.81 | 0 | 0 | 19 | 81.84 | 0 | 0 | 19 | 88.13 |
| AB201 | 50 | 21 | 19,442 | 1836.25 | 6 | 1836.25 | 0 | 0 | 6 | 30.85 | 0 | 0 | 6 | 35.65 |
| AB202 | 50 | 21 | 19,978 | 1966.82 | 6 | 1966.82 | 0 | 0.02 | 6 | 58.1 | 0 | 0.02 | 6 | 63.87 |
| AB203 | 50 | 21 | 19,454 | 1921.59 | 6 | 1921.59 | 0 | 0 | 6 | 40.91 | 0 | 0 | 6 | 57.93 |
| AB204 | 50 | 25 | 17,874 | 2001.7 | 6 | 2001.7 | 0 | 0 | 6 | 130.92 | 0 | 0 | 6 | 80.65 |
| AB205 | 75 | 21 | 42,814 | 2793.01 | 9 | 2793.01 | 0.09 | 0.2 | 9 | 79.21 | 0 | 0.2 | 9 | 86.12 |
| AB206 | 75 | 21 | 45,478 | 2891.48 | 9 | 2891.48 | 0 | 0 | 9 | 79.23 | 0 | 0 | 9 | 95.23 |
| AB207 | 75 | 21 | 54,458 | 2717.34 | 8 | 2717.34 | 0.09 | 1.4 | 8 | 160.15 | 0 | 1.2 | 8 | 123.15 |
| AB208 | 75 | 21 | 49,572 | 2552.18 | 8 | 2552.18 | 0 | 0.17 | 8 | 110.63 | 0 | 0.17 | 8 | 156.54 |
| AB209 | 75 | 24 | 51,422 | 2517.69 | 8 | 2517.69 | 0 | 0.01 | 8 | 170.88 | 0 | 0.01 | 8 | 167.34 |
| AB210 | 75 | 25 | 52,968 | 2479.97 | 8 | 2479.97 | 0 | 0.02 | 8 | 158.25 | 0 | 0.02 | 8 | 198.45 |
| AB211 | 75 | 24 | 47,230 | 2970.56 | 9 | 2928.47 | 0 | 0.48 | 9 | 322.42 | 0 | 0.48 | 9 | 257.57 |
| AB212 | 100 | 21 | 82,248 | 3341.43 | 11 | 3341.43 | 0.7 | 0.71 | 11 | 230.68 | 0 | 0.71 | 11 | 256.73 |
| AB213 | 100 | 21 | 90,166 | 3133.24 | 10 | 3133.24 | 0 | 0.28 | 10 | 277.51 | 0 | 0.28 | 10 | 286.52 |
| AB214 | 100 | 21 | 83,186 | 3384.28 | 11 | 3364.16 | 0.03 | 0.5 | 11 | 210.35 | 0 | 0.5 | 11 | 256.84 |
| AB215 | 100 | 21 | 83,320 | 3480.52 | 11 | 3443.58 | 0.11 | 0.29 | 11 | 241.63 | 0 | 0.29 | 11 | 312.45 |
| AB216 | 100 | 21 | 84,618 | 3221.78 | 10 | 3200.47 | 0.55 | 1.22 | 10 | 259.79 | 0 | 1.22 | 10 | 382.56 |
| AB217 | 100 | 22 | 87,072 | 3714.94 | 11 | 3714.94 | 0 | 1.14 | 11 | 259.11 | 0 | 1.14 | 11 | 259.11 |
| AB218 | 100 | 22 | 89,430 | 3658.17 | 11 | 3658.17 | 0.14 | 0.29 | 11 | 256.52 | 0 | 0.29 | 11 | 256.52 |
| AB219 | 100 | 25 | 103,576 | 3790.71 | 11 | 3757.28 | 1.68 | 1.75 | 12 | 418.06 | 0 | 1.75 | 11 | 246.79 |
| AB220 | 100 | 25 | 88,330 | 3737.88 | 11 | 3737.88 | 0.35 | 0.51 | 11 | 281.61 | 0 | 0.51 | 11 | 299.21 |
| #AVG | 0.12 | 0.32 11.87 | 125.98 | 0.01 | 0.30 | 11.85 | 123.99 | |||||||
| #Best | 24 | 37 | ||||||||||||
| Instances | n | s | WMA | MA | |||||
|---|---|---|---|---|---|---|---|---|---|
| Time | Time | ||||||||
| 111c_21s | 109 | 21 | 57,462 | 4770.47 | 4789.37 | 1.89 | 4770.47 | 4790.51 | 2.01 |
| 111c_22s | 109 | 22 | 58,480 | 4767.21 | 4779.56 | 1.45 | 4767.21 | 4769.77 | 2.33 |
| 111c_24s | 109 | 24 | 64,588 | 4767.14 | 4769.51 | 4.18 | 4767.14 | 4768.48 | 3.62 |
| 111c_26s | 109 | 26 | 66,814 | 4767.14 | 4769.79 | 2.69 | 4767.14 | 4769.5 | 3.54 |
| 111c_28s | 109 | 28 | 68,878 | 4765.52 | 4767.12 | 3.73 | 4765.52 | 4767.97 | 3.99 |
| 200c_21s | 192 | 21 | 191,884 | 8766.04 | 8791.45 | 5.28 | 8766.04 | 8790.8 | 9.15 |
| 250c_21s | 237 | 21 | 303,962 | 10,380.17 | 10,411.56 | 21.44 | 10,381.21 | 10,402.27 | 15.23 |
| 300c_21s | 283 | 21 | 424,602 | 12,207.28 | 12,221.69 | 27.67 | 12,206.16 | 12,215.78 | 31.84 |
| 350c_21s | 329 | 21 | 576,896 | 13,913.64 | 13,933.86 | 41.78 | 13,910.02 | 13,931.57 | 57.99 |
| 400c_21s | 378 | 21 | 743,346 | 16,394.56 | 16,421.03 | 111.9 | 16,389.27 | 16,412.81 | 101.27 |
| 450c_21s | 424 | 21 | 931,852 | 17,939.46 | 17,978.97 | 168.53 | 17,931.21 | 17,956.77 | 172.06 |
| 500c_21s | 471 | 21 | 1,128,354 | 20,221.7 | 20,231.56 | 169.17 | 20,198.74 | 20,225.52 | 196.43 |
| #AVG | 10,304.86 | 10,322.12 | 46.64 | 10,301.67 | 10,316.81 | 49.95 | |||
| #Best | 7 | 12 | |||||||
© 2019 by the authors. Licensee MDPI, Basel, Switzerland. This article is an open access article distributed under the terms and conditions of the Creative Commons Attribution (CC BY) license (http://creativecommons.org/licenses/by/4.0/).
Share and Cite
Peng, B.; Zhang, Y.; Gajpal, Y.; Chen, X. A Memetic Algorithm for the Green Vehicle Routing Problem. Sustainability 2019, 11, 6055. https://doi.org/10.3390/su11216055
Peng B, Zhang Y, Gajpal Y, Chen X. A Memetic Algorithm for the Green Vehicle Routing Problem. Sustainability. 2019; 11(21):6055. https://doi.org/10.3390/su11216055
Chicago/Turabian StylePeng, Bo, Yuan Zhang, Yuvraj Gajpal, and Xiding Chen. 2019. "A Memetic Algorithm for the Green Vehicle Routing Problem" Sustainability 11, no. 21: 6055. https://doi.org/10.3390/su11216055
APA StylePeng, B., Zhang, Y., Gajpal, Y., & Chen, X. (2019). A Memetic Algorithm for the Green Vehicle Routing Problem. Sustainability, 11(21), 6055. https://doi.org/10.3390/su11216055

