Pre-Service Teachers’ Reflections on Cooperative Learning: Instructional Approaches and Identity Construction
Abstract
:1. Introduction
1.1. Students’ Cooperative Learning and Sustainable Development
1.2. Students’ Identity Construction and Sustainable Education
2. Methods
2.1. Context
2.2. Participants
2.3. Definition of Instructional Approaches: Structured Versus Non-Structured Cooperative Activities
2.4. Development of Cooperative Challenges
2.5. Reflective Narratives on Cooperative Activities and Identity Construction, Analysis, and Coding
2.6. Reflective Focus Group on Cooperative Learning
2.7. Statistical Analysis
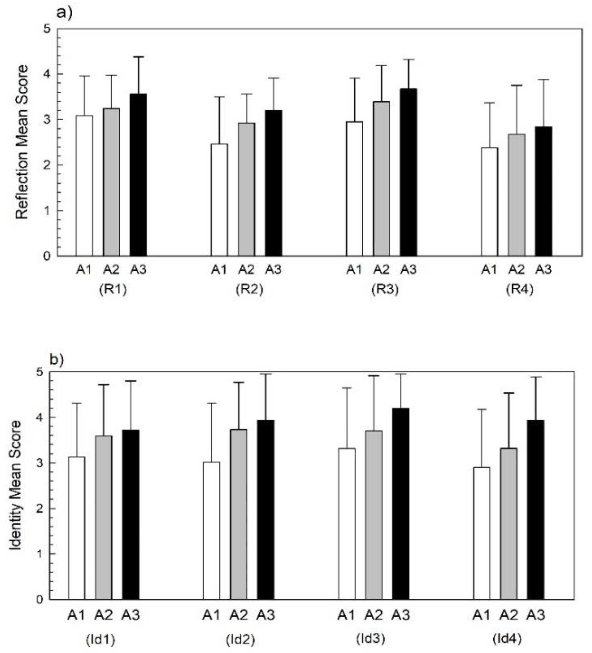
3. Results
3.1. Quantitative Analysis of Narratives on Cooperative Learning
3.2. Qualitative Analysis on Reflection on Cooperative Learning
3.3. Qualitative Analysis on Identity Construction
3.4. Correlation Analysis between Reflection and the Dimensions of Professional Identity
4. Discussion and Conclusions
4.1. Activating Cooperative Learning Based on Non- to Structured Instructional Approaches Produced Identity in Practice
4.2. Pre-Service Teachers Can Construct and Transform Their Professional Identities through Reflective Practice
4.3. Pre-Service Teachers, When Engaged in Individual and Community Reflection, May Activate Interpretation and Critical Competences Evaluation of Their Practice
4.4. Limitations of the Study
Author Contributions
Funding
Conflicts of Interest
References
- Ferreira, J.; Ryan, L.; Tilbury, D. Whole-School Approaches to Sustainability: A Review of Models for Professional Development in Pre-Service Teacher Education; Australian Government Department of the Environment and Heritage and the Australian Research Institute in Education for Sustainability (ARIES), Macquarie University: North Ryde, Australia, 2006; ISBN 1741381797. [Google Scholar]
- Fuertes-Camacho, M.T.; Graell-Martín, M.; Fuentes-Loss, M.; Balaguer-Fàbregas, M.C. Integrating sustainability into higher education curricula through the project method, a global learning strategy. Sustainability 2019, 11, 767. [Google Scholar] [CrossRef]
- Tejedor, G.; Segalàs, J.; Barrón, A.; Fernández-Morilla, M.; Fuertes, M.T.; Ruiz-Morales, J.; Gutiérrez, I.; García-González, E.; Aramburuzabala, P.; Hernández, À. Didactic strategies to promote competencies in sustainability. Sustainability 2019, 11, 2086. [Google Scholar] [CrossRef]
- Mogren, A.; Gericke, N.; Scherp, H. Whole school approaches to education for sustainable development: A model that links to school improvement. Environ. Educ. Res. 2018, 25, 508. [Google Scholar] [CrossRef]
- Albareda-Tiana, S.; Vidal-Raméntol, S.; Pujol-Valls, M.; Fernández-Morilla, M. Holistic approaches to develop sustainability and research competencies in pre-service teacher training. Sustainability 2018, 10, 3698. [Google Scholar] [CrossRef]
- Amado, D.; Del Villar, F.; Leo, F.M.; Sánchez-Oliva, D.; Sánchez-Miguel, P.A.; García-Calvo, T. Effect of multi-dimensional intervention programme on the motivation of physical education studies. PLoS ONE 2014, 9, e85275. [Google Scholar] [CrossRef]
- Serdà, B.; Alsina, Á. Knowledge-transfer and self-directed methodologies in university students’ learning. Reflective Pract. 2018, 19, 573–585. [Google Scholar] [CrossRef]
- Johnson, D.W.; Johnson, R.T. An educational psychology success story: Social interdependence theory and cooperative learning. Educ. Res. 2009, 38, 365–379. [Google Scholar] [CrossRef]
- Colomer, J.; Serra, L.; Cañabate, D.; Serra, T. Evaluating Knowledge and Assessment-Centered Reflective-Based Learning Approaches. Sustainability 2018, 10, 3122. [Google Scholar] [CrossRef]
- Larrivee, B. Transforming teaching practice: Becoming the critically reflective teacher. Reflective Pract. 2000, 1, 293–307. [Google Scholar] [CrossRef]
- Loughran, J.J. Effective reflective practice: In search of meaning in learning about teaching. J. Teach. Educ. 2002, 53, 33–43. [Google Scholar] [CrossRef]
- Colomer, J.; Pallisera, M.; Fullana, J.; Pérez-Burriel, M.; Fernández, R. Reflective learning in higher education: A comparative analysis. Procedia-Soc. Behav. Sci. 2013, 93, 364–370. [Google Scholar] [CrossRef]
- Lambrechts, W.; Mulà, I.; Ceulemans, K.; Molderez, I.; Gaeremynck, V. The integration of competences for sustainable development in higher education: An analysis of bachelor programs in management. J. Clean. Prod. 2013, 48, 65–73. [Google Scholar] [CrossRef]
- Hatami, A. The effect of collaborative learning and self-assessment on regulation. Educ. Res. Rev. 2015, 10, 2164–2167. [Google Scholar] [CrossRef]
- Shoval, E. Using mindful movement in cooperative learning while learning about angles. Instr. Sci. 2011, 39, 453–466. [Google Scholar] [CrossRef]
- Page, A. Implementing cooperative learning: A consideration of barriers and enablers. J. Init. Teach. Inq. 2017, 3, 49–52. [Google Scholar]
- González, A.; Conde, Á.; Díaz, P.; Garcia, M.; Ricoy, C. Instructors’ teaching styles: Relation with competences, self-efficacy, and commitment in pre-service teachers. High. Educ. 2018, 75, 625–642. [Google Scholar] [CrossRef]
- Dyson, B.P.; Colby, R.; Barratt, M. The co-construction of cooperative learning in physical education with elementary classroom teachers. J. Teach. Phys. Educ. 2016, 35, 1–12. [Google Scholar] [CrossRef]
- Buchs, C.; Filippou, D.; Pulfrey, C.; Volpé, Y. Challenges for cooperative learning implementation: Reports from elementary school teachers. J. Educ. Teach. 2017, 43, 296–306. [Google Scholar] [CrossRef]
- Yuan, R.; Mak, P. Reflective learning and identity construction in practice, discourse and activity: Experiences of pre-service language teachers in Hong Kong. Teach. Teach. Educ. 2018, 74, 205–214. [Google Scholar] [CrossRef]
- Slavin, R. Research on cooperative learning and achievement: What we know, what we need to know. Contemp. Educ. Psychol. 1996, 21, 43–69. [Google Scholar] [CrossRef]
- Cañabate, D.; Colomer, J.; Olivera, J. Movement: A Language for Growing. Apunts. Educación Física y Deportes 2018, 134, 146–155. [Google Scholar] [CrossRef]
- Gillies, R.M.; Boyle, M. Teachers’ reflections on cooperative learning: Issues of implementation. Teach. Teach. Educ. 2010, 26, 933–940. [Google Scholar] [CrossRef]
- Gillies, R. Teachers’ and students’ verbal behaviours during cooperative and small-group learning. Br. J. Educ. Psychol. 2006, 76, 271–287. [Google Scholar] [CrossRef] [PubMed]
- Topping, K.J.; Buchs, C.; Duran, D.; Van Keer, H. Effective Peer Learning: From Principles to Practical Implementation; Routledge: London, UK; New York, NY, USA, 2017. [Google Scholar]
- Ryan, M.; Carmichael, M. Shaping (reflexive) professional identities across an undergraduate degree programme: A longitudinal case study. Teach. High. Educ. 2015, 21, 151–165. [Google Scholar] [CrossRef]
- Farrell, T.S. Reflective Language Teaching: From Research to Practice; Bloomsbury Publishing: New York, NY, USA, 2015. [Google Scholar]
- Ryan, M.E. Introduction: Reflective and reflexive approaches in Higher Education: A warrant for lifelong learning. In Teaching Reflective Learning in Higher Education: A Systematic Approach Using Pedagogic Patterns; Ryan, M.E., Ed.; Springer: Sydney, Australia, 2014; pp. 3–14. [Google Scholar]
- Kelchtermans, G. Who I am in how I teach is the message: Self-understanding, vulnerability and reflection. Teach. Teach. 2009, 15, 257–272. [Google Scholar] [CrossRef]
- Alsina, Á.; Ayllón, S.; Colomer, J.; Fernández-Peña, R.; Fullana, J.; Pallisera, M.; Pérez-Burriel, M.; Serra, L. Improving and evaluating reflective narratives: A rubric for higher education students. Teach. Teach. Educ. 2017, 63, 148–158. [Google Scholar] [CrossRef]
- Chamoso, J.M.; Cáceres, M.J. Analysis of the reflections of student-teachers of mathematics when working with learning portfolios in Spanish university classrooms. Teach. Teach. Educ. 2009, 25, 198–206. [Google Scholar] [CrossRef]
- Ruys, I.; Van Keer, H.; Aelterman, A. Collaborative learning in pre-service teacher education: An exploratory study on related conceptions, self-efficacy and implementation. Educ. Stud.-UK 2010, 36, 1–17. [Google Scholar] [CrossRef]
- Mercier, E.M. The influence of achievement goals on collaborative interactions and knowledge convergence. Learn. Instr. 2017, 50, 31–43. [Google Scholar] [CrossRef]
- Körkkö, M.; Krö-Ämmälä, O.; Turunen, T. Professional development through reflection in teacher education. Teach. Teach. Educ. 2016, 55, 198–206. [Google Scholar] [CrossRef]
- Fullana, J.; Pallisera, M.; Colomer, J.; Fernandez-Peña, R.; Perez-Burriel, M. Reflective learning in higher education: A qualitative study on students’ perceptions. Stud. High. Educ. 2016, 41, 1008–1022. [Google Scholar] [CrossRef]
- Ayllón, S.; Alsina, Á.; Colomer, J. Teachers ’involvement and students’ self-efficacy: Keys to achievement in higher education. PLoS ONE 2019, 14, e0216865. [Google Scholar] [CrossRef] [PubMed]
- Yang, G.; Lam, C.-C.; Wong, N.-Y. Developing an instrument for identifying secondary teachers’ beliefs about education for sustainable development in China. J. Environ. Educ. 2010, 41, 195–207. [Google Scholar] [CrossRef]
- Alsina, A.; Ayllón, S.; Colomer, J. Validating the narrative reflection assessment rubric (NARRA) for reflective narratives in higher education. Assess. Eval. High. Educ. 2019, 44, 155–168. [Google Scholar] [CrossRef]
- Cañabate, D.; Martínez, G.; Rodríguez, D.; Colomer, J. Analysing emotions and social skills in physical education. Sustainability 2018, 10, 1585. [Google Scholar] [CrossRef]
- Umaschi, M. Identity construction environments: Developing personal and moral values through the design of a virtual city. J. Learn. Sci. 2001, 10, 365–415. [Google Scholar] [CrossRef]

| CA1-CA3: Structured approach | Fixed provided material | Fixed Student Role |
| CA4-CA6: Semi-structured approach | Freely provided material | Fixed Student Role |
| CA7-CA9: Non-structured approach | Freely available material | Non-Student Role |
| Dimension 1: The focus of reflection Situation, activity, or experience that triggers the reflective process. 1.1. Identifies and describes the focus of reflection in a contextualized manner. 1.2. Makes judgements about the focus of reflection. Dimension 2: Prior conceptions and beliefs Prior conceptions and beliefs: awareness of one’s own previous beliefs, knowledge, and experiences. 2.1. Specifies, analyses, and elaborates on beliefs or ideas about themselves. 2.2. Specifies, analyses, and elaborates on prior beliefs or ideas about the context. 2.3. Specifies, analyses, and elaborates on beliefs or ideas about the discipline/profession. Dimension 3: Inquiring Inquiring and/or focusing: investigating possible actions of the students through focusing on questions and hypotheses. 3.1. Focuses on questions and hypotheses and makes inquiries about the focus of reflection. 3.2. Focuses on questions and hypotheses and makes inquiries about the context. 3.3. Focuses on questions and hypotheses about the professional action. Dimension 4: Transformation Transformation: set concrete learning objectives and future action plans and approaches to initiate a new reflective cycle. Argumentation of these changes or the need for them. 4.1. Specifies, argues, and transfers new learning goals. 4.2. Implements new action plans and supports them with arguments. |
| Dimension 1’: Self-esteem Specifies professional appreciation of job performance and received feedback. Specifies emotions, fulfilment, and job satisfaction. Dimension 2’: Task perception Specifies, analyses, and elaborates on ideas, beliefs, and moral considerations regarding professional tasks and duties. Dimension 3’: Job motivation Specifies, analyses, and elaborates on motivation or driving forces in the profession. Dimension 4’: Future perspective Specifies, argues, and transfers expectations about future jobs. |
| Reflection | Df | F | P | Fcr |
| Instructional approach | 2 | 32.87 | 2.09 × 10−14 | 4.63 |
| Reflection | 3 | 176.83 | 1.55 × 10−86 | 3.81 |
| Approach × Reflection (interaction) | 6 | 1.91 | 0.08 | 2.83 |
| Identity | Df | F | P | Fcr |
| Instructional approach | 2 | 31.71 | 9.04 × 10−14 | 3.01 |
| Identity | 3 | 4.35 | 0.013 | 3.01 |
| Approach × Reflection (interaction) | 6 | 0.68 | 0.61 | 2.83 |
| Dimension 1: Positive Interdependence Approach 1: Structured approach.
Approach 1: Structured approach.
Approach 1: Structured approach.
Approach 1: Structured approach.
Approach 1: Structured approach.
|
| Dimension 1’: Self-esteem Approach 1: Structured approach.
Approach 1: Structured approach.
Approach 1: Structured approach.
Approach 1: Structured approach.
|
| Id1 | Id2 | Id3 | Id4 | |
|---|---|---|---|---|
| (Self-Esteem) | (Task Perception) | (Job Motivation) | (future Perspectives) | |
| Reflections/A1 | 0.072** | 0.112** | 0.074** | 0.098** |
| (0.039–0.106) | (0.082–0.143) | (0.036–0.113) | (0.066–0.130) | |
| Reflections/A2 | 0.132** | 0.098** | 0.127** | 0.129** |
| (0.103–0.161) | (0.066–0.130) | (0.092–0.162) | (0.082–0.156) | |
| Reflections/A3 | 0.114** | 0.083** | 0.088** | 0.107** |
| (0.079–0.150) | (0.046–0.121) | (0.065–0.111) | (0.069–0.146) |
© 2019 by the authors. Licensee MDPI, Basel, Switzerland. This article is an open access article distributed under the terms and conditions of the Creative Commons Attribution (CC BY) license (http://creativecommons.org/licenses/by/4.0/).
Share and Cite
Cañabate, D.; Serra, T.; Bubnys, R.; Colomer, J. Pre-Service Teachers’ Reflections on Cooperative Learning: Instructional Approaches and Identity Construction. Sustainability 2019, 11, 5970. https://doi.org/10.3390/su11215970
Cañabate D, Serra T, Bubnys R, Colomer J. Pre-Service Teachers’ Reflections on Cooperative Learning: Instructional Approaches and Identity Construction. Sustainability. 2019; 11(21):5970. https://doi.org/10.3390/su11215970
Chicago/Turabian StyleCañabate, Dolors, Teresa Serra, Remigijus Bubnys, and Jordi Colomer. 2019. "Pre-Service Teachers’ Reflections on Cooperative Learning: Instructional Approaches and Identity Construction" Sustainability 11, no. 21: 5970. https://doi.org/10.3390/su11215970
APA StyleCañabate, D., Serra, T., Bubnys, R., & Colomer, J. (2019). Pre-Service Teachers’ Reflections on Cooperative Learning: Instructional Approaches and Identity Construction. Sustainability, 11(21), 5970. https://doi.org/10.3390/su11215970

