Mechanical Degradation and Thermal Decomposition of Ethylene-Vinyl Acetate (EVA) Polymer-Modified Cement Mortar (PCM) Exposed to High-Temperature
Abstract
:1. Introduction
2. Experiment Overview
2.1. Materials and Compositions
2.2. Heating Conditions and Test Method
3. Experimental Results and Analysis
3.1. Mechanical Properties of the PCM at Room Temperature (before Heating)
3.2. Preliminary Review of the Heating Methods (In Situ-Heating vs. Oven-Heating)
3.3. Physical Properties of the PCM
3.4. Mechanical Properties of the PCM Specimens Under Different Heating Conditions
Contents of the Cooling Specimen
3.5. Comparison of the PCM Mechanical Properties during Heating (In Situ- and Oven-Heating) and after Cooling
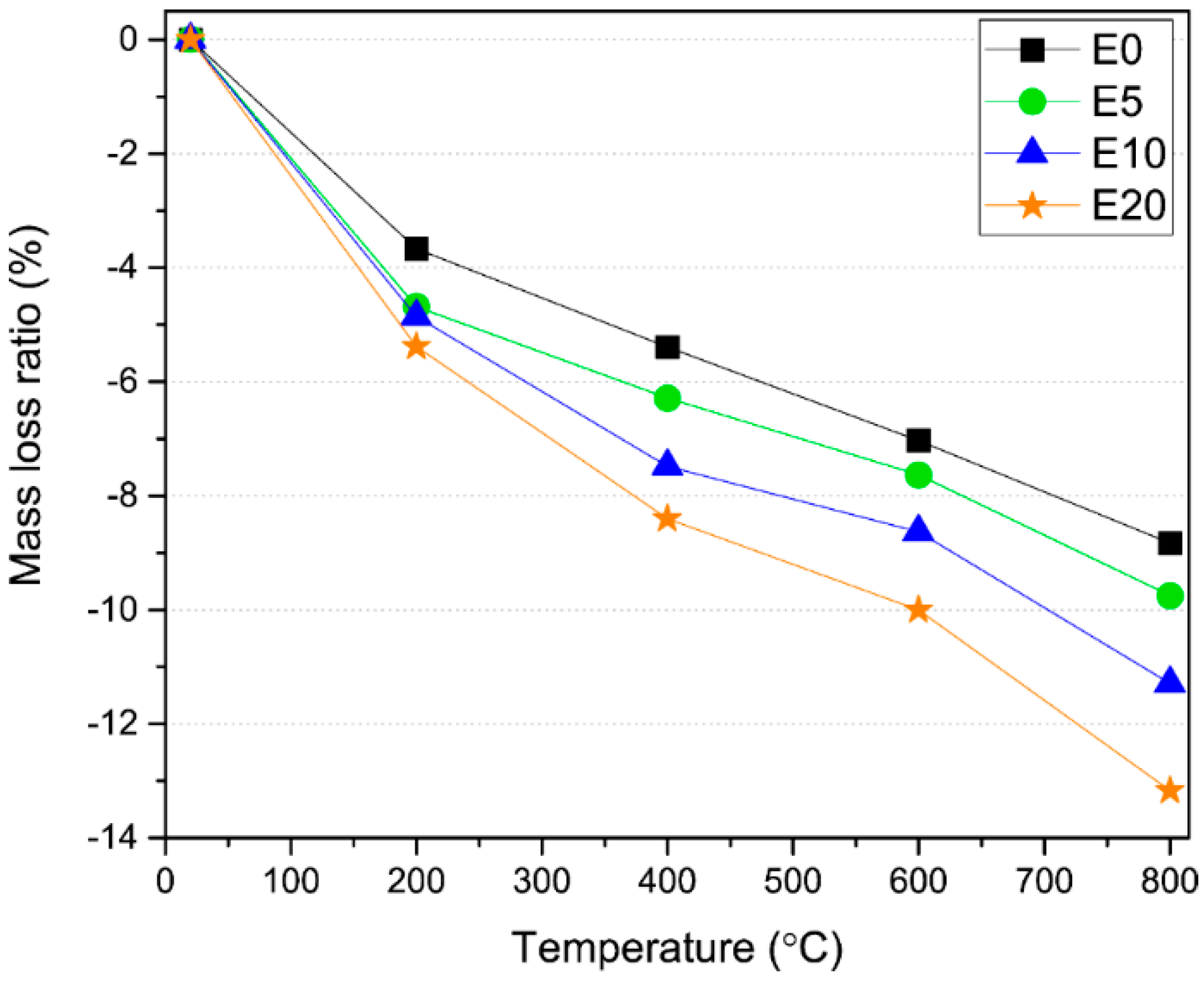
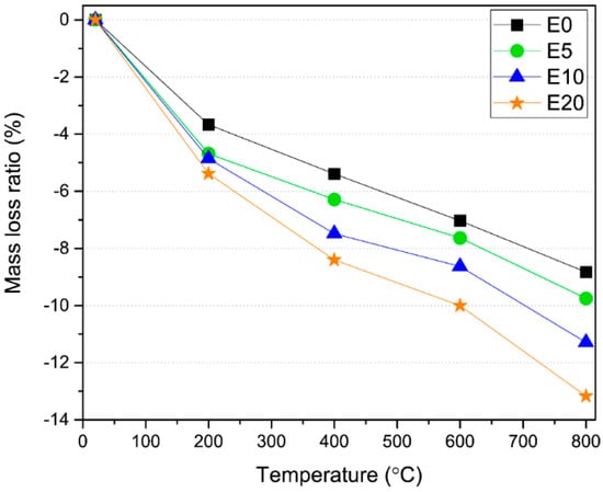
4. Thermogravimetric Results and Pore Structure of PCM Exposed to a High-Temperature
5. Conclusions
- Regarding the mechanical properties of the PCM, the compressive strength and elastic modulus decreased when exposed to heating at different temperatures.
- The compressive strength and elastic modulus of the PCM during heating at high temperatures significantly decreased when heated to 200 °C and 400 °C, respectively, regardless of the EVA mixing ratio. This was found to be because of the decomposition of EVA.
- When the PCM was exposed to high temperatures, it was determined that the bonded water evaporated with an increase in the heating temperature, and simultaneously, the increase in the mass reduction and increase in the total amount of pores owing to the decomposition of the polymer and cement paste matrix decreased the mechanical performance of PCM.
- For the amount of polymer admixture, there was a decrease in the mechanical properties at a polymer–cement ratio of 20% and a high temperature. When the polymer–cement ratio was 10% or less, a high residual ratio was observed.
- The number of large pores and the total pore volume significantly increased with an increase in the polymer incorporation ratio. We also found that the decrease in the elastic modulus of the PCM at high temperatures was because of the increase in the number of pores, caused by the decomposition and the combustion of the polymer combined with the thermal decomposition of the cement paste.
Author Contributions
Funding
Acknowledgments
Conflicts of Interest
References
- Committee, A. State-of-the-art report on polymer modified concrete. Am. Concr. Inst. ACI 1995, 548, 1–47. [Google Scholar]
- Sang, G.; Zhu, Y.; Yang, G. Mechanical properties of high porosity cement-based foam materials modified by EVA. Constr. Build. Mater. 2016, 112, 648–653. [Google Scholar] [CrossRef]
- Wang, R.; Zhang, L. Mechanism and durability of repair systems in polymer-modified cement mortars. Adv. Mater. Sci. Eng. 2015, 2015, 594672. [Google Scholar] [CrossRef]
- Yahia, A. Shear-thickening behavior of high-performance cement grouts—influencing mix-design parameters. Cem. Concr. Res. 2011, 41, 230–235. [Google Scholar] [CrossRef]
- Yang, Y.; Yuan, B.; Sun, Q.; Tang, X.; Yingquan, X. Mechanical properties of EVA-modified cement for underground gas storage. J. Nat. Gas Sci. Eng. 2015, 27, 1846–1851. [Google Scholar] [CrossRef]
- Zhang, Z.; Wang, P.; Wu, J. Dynamic mechanical properties of EVA polymer-modified cement paste at early age. Phys. Procedia 2012, 25, 305–310. [Google Scholar] [CrossRef]
- Wang, M.; Wang, R.; Yao, H.; Farhan, S.; Zheng, S.; Wang, Z.; Du, C.; Jiang, H. Research on the mechanism of polymer latex modified cement. Constr. Build. Mater. 2016, 111, 710–718. [Google Scholar] [CrossRef]
- Won, J.-P.; Choi, S.-W.; Park, C.-G.; Jang, C.-I. High strength polymer-modified repair cementitious composite for fire protection. Polym. Polym. Compos. 2007, 15, 379–388. [Google Scholar] [CrossRef]
- Won, J.-P.; Kang, H.-B.; Lee, S.-J.; Kang, J.-W. Eco-friendly fireproof high-strength polymer cementitious composites. Constr. Build. Mater. 2012, 30, 406–412. [Google Scholar] [CrossRef]
- Qiao, Y.; Deliwala, J.; Chakravarthula, S.; Kong, X. High-temperature tensile properties of a polymer intercalated/exfoliated cement. Mater. Lett. 2005, 59, 3616–3619. [Google Scholar] [CrossRef]
- Hamasaki, H.J.K.; Noguchi, T. Study on heat release properties of polymer modified cement mortar. In Proceedings of the Part 1 Effect of the Unit Polymer Weight and Mixed Design, Annual Conference of Architectural Institute of Japan, Sendai, Japan, 26–29 August 2009; pp. 435–436. [Google Scholar]
- Kim, H.H.; Noguchi, T. Study on heat release properties of polymer modified cement mortar. In Proceedings of the Part 2 Effect on the Thickness of Specimen on Annual Conference of Architectural Institute of Japan, Sendai, Japan, 26–29 August 2009; pp. 437–438. [Google Scholar]
- Kim, H.-J.; Park, W.-J. Combustion and mechanical properties of polymer-modified cement mortar at high temperature. Adv. Mater. Sci. Eng. 2017, 2017. [Google Scholar] [CrossRef]
- Bulletin 38. Fire Design of Concrete Structures—Materials, Structures and Modelling; F´ed´eration Internationale du B´eton: Lausanne, Switzerland, 2007; p. 97. [Google Scholar]
- Betioli, A.M.; Gleize, P.J.P.; John, V.M.; Pileggi, R.G. Effect of EVA on the fresh properties of cement paste. Cem. Concr. Compos. 2012, 34, 255–260. [Google Scholar] [CrossRef]
- Mansur, A.A.; do Nascimento, O.L.; Mansur, H.S. Physico-chemical characterization of EVA-modified mortar and porcelain tiles interfaces. Cem. Concr. Res. 2009, 39, 1199–1208. [Google Scholar] [CrossRef]
- Khoury, G.A. Compressive strength of concrete at high temperatures: A reassessment. Mag. Concr. Res. 1992, 44, 291–309. [Google Scholar] [CrossRef]
- Medeiros, M.; Helene, P.; Selmo, S. Influence of EVA and acrylate polymers on some mechanical properties of cementitious repair mortars. Constr. Build. Mater. 2009, 23, 2527–2533. [Google Scholar] [CrossRef]
- Eurocode 2: Design of Concrete Structures-Part 1-2: General Rules-Structural Fire Design. 2004. Available online: https://www.phd.eng.br/wp-content/uploads/2015/12/en.1992.1.2.2004.pdf (accessed on 5 May 2017).
- Anagnostopoulos, C.A.; Sapidis, G.; Papastergiadis, E. Fundamental properties of epoxy resin-modified cement grouts. Constr. Build. Mater. 2016, 125, 184–195. [Google Scholar] [CrossRef]
- J.S.A. Loose Fill Thermal Insulation Materials; Japanese Standards Association: Tokyo, Japan, 2016. [Google Scholar]
- Park, D.; Ahn, J.; Oh, S.; Song, H.; Noguchi, T. Drying effect of polymer-modified cement for patch-repaired mortar on constraint stress. Constr. Build. Mater. 2009, 23, 434–447. [Google Scholar] [CrossRef]
- Park, D.; Park, S.; Seo, Y.; Noguchi, T. Water absorption and constraint stress analysis of polymer-modified cement mortar used as a patch repair material. Constr. Build. Mater. 2012, 28, 819–830. [Google Scholar] [CrossRef]
- Eurocode 4-Design of Composite Steel and Concrete Structure-Part 1-2: General Rules-Structural Fire Design. 1994. Available online: https://www.phd.eng.br/wp-content/uploads/2015/12/en.1994.1.2.2005.pdf (accessed on 5 May 2017).
- ISO. Reaction to Fire Tests for Building Products-non-Combustibility Test; ISO: Geneva, Switzerland, 2010; Available online: https://infostore.saiglobal.com/preview/98701771998.pdf?sku=877775_SAIG_NSAI_NSAI_2086093 (accessed on 15 July 2017).
- Reaction-to-Fire Tests--Heat Release, Smoke Production, and Mass Loss Rate--Part 1: Heat Release Rate (Cone Calorimeter Method) and Smoke Production Rate (Dynamic Measurement). Available online: https://www.iso.org/standard/57957.html (accessed on 15 July 2017).














| Type and Structure of the Polymer | Volatile Portion (%) | Residual Mass Ratio of Particle * (%) | Acid Value (mg KOH/mg) | Apparent Density (g/mL) |
|---|---|---|---|---|
Ethylene-vinyl acetate (EVA)![]() | Less than 2.0 | Less than 2.0 | Less than 2.0 | 0.50 ± 0.10 |
| Type of Polymer | Specimens | Polymer–Cement Ratio (P/C) (%) | Water–Cement Ratio (W/C) | Water–Binder Ratio (W/B) |
|---|---|---|---|---|
| None | E0 | 0 | 0.5 | 0.5 |
| EVA | E5 | 5 | 0.53 | |
| E10 | 10 | 0.56 | ||
| E20 | 20 | 0.63 |
| Composition | SiO2 | Al2O3 | Fe2O3 | CaO | MgO | K2O | SO3 | TiO2 | LOI | Total |
|---|---|---|---|---|---|---|---|---|---|---|
| (wt%) | 18.42 | 2.84 | 2.16 | 68.18 | 2.35 | 1.13 | 3.01 | 0.15 | 1.76 | 100 |
| Specimen | Polymer–Cement Ratio (P/C) (%) | Air Content (Average, %) | Slum Flow (mm) |
|---|---|---|---|
| E0 | 0 | 4.9 | 161 ± 10 |
| E5 | 5 | 6.2 | 199 ± 8 |
| E10 | 10 | 7.6 | 208 ± 9 |
| E20 | 20 | 8.7 | 215 ± 7 |
| Type of PCM | Polymer-Cement Ratio (P/C) (%) | Heating Condition | Mass (g) | ||||
|---|---|---|---|---|---|---|---|
| 20 °C | 200 °C | 400 °C | 600 °C | 800 °C | |||
| E0 | 0 | Before heating | 417.0 | 412.7 | 414.3 | 415.5 | 410.4 |
| After heating | 417.0 | 398.1 | 393.1 | 388.2 | 377.1 | ||
| E5 | 5 | Before heating | 416.9 | 413.3 | 421.2 | 408.9 | 409.7 |
| After heating | 416.9 | 394.8 | 396.3 | 379.9 | 373.3 | ||
| E10 | 10 | Before heating | 412.5 | 414.1 | 412.0 | 410.2 | 409.9 |
| After heating | 412.5 | 394.9 | 383.3 | 377.6 | 368.3 | ||
| E20 | 20 | Before heating | 408.8 | 405.2 | 402.4 | 408.0 | 399.5 |
| After heating | 408.8 | 384.5 | 371.2 | 370.9 | 353.0 | ||
| Temp. (°C) | Compressive Strength (MPa) | Elastic Modulus (GPa) | ||||||
|---|---|---|---|---|---|---|---|---|
| E0 | E5 | E10 | E20 | E0 | E5 | E10 | E20 | |
| 20 | 64.0 | 57.4 | 57.0 | 52.6 | 21.2 | 19.3 | 18.7 | 16.0 |
| 200 | 58.5 | 52.1 | 46.1 | 34.4 | 17.7 | 16.1 | 15.6 | 12.8 |
| 400 | 45.8 | 44.7 | 39.9 | 31.1 | 13.9 | 12.0 | 12.4 | 7.5 |
| 600 | 28.3 | 28.8 | 28.6 | 23.8 | 3.1 | 6.6 | 5.1 | 6.0 |
| 800 | 16.6 | 18.0 | 17.1 | 12.8 | 1.7 | 3.5 | 3.4 | 3.1 |
| Temperature Section | Internal Reaction | Reaction Overview |
|---|---|---|
| ~30–120 °C | Evaporation of physically adsorbed water | Water evaporation in large pores |
| ~30–300 °C ~120–600 °C | Release of chemically adsorbed water; Gel tissue breakdown | Stepwise dehydration of C3A3CSH32 C3ACSH12 is dehydrated and forms (C4A3S) or CaO Dehydration of aluminate-based hydrates: C3AH6 Dehydrates at ~270–330 °C Completely dehydrates at 550 °C and forms C12A7 or CaO 160 °C: CaSO4 · 2H2O (Gypsum)→CaSO4 + H2O ~450–550 °C: Ca(OH)2→CaO + 2H2O |
| 573 °C | Quartz phase change | Phase change α→β-SiO2 |
| ~600–700 °C | C-S-H decomposition | β-C2S formation |
| ~580–920 °C | Calcium Carbonate (CaCO3) decomposition | Decomposition of limestone aggregate CaCO3 → CaO + CO2 |
| ~1100–1200 °C | Concrete melting | Cement paste: melts around 1200 °C |
© 2019 by the authors. Licensee MDPI, Basel, Switzerland. This article is an open access article distributed under the terms and conditions of the Creative Commons Attribution (CC BY) license (http://creativecommons.org/licenses/by/4.0/).
Share and Cite
Kim, H.-J.; Park, J.-Y.; Suh, H.-W.; Cho, B.-Y.; Park, W.-J.; Bae, S.-C. Mechanical Degradation and Thermal Decomposition of Ethylene-Vinyl Acetate (EVA) Polymer-Modified Cement Mortar (PCM) Exposed to High-Temperature. Sustainability 2019, 11, 500. https://doi.org/10.3390/su11020500
Kim H-J, Park J-Y, Suh H-W, Cho B-Y, Park W-J, Bae S-C. Mechanical Degradation and Thermal Decomposition of Ethylene-Vinyl Acetate (EVA) Polymer-Modified Cement Mortar (PCM) Exposed to High-Temperature. Sustainability. 2019; 11(2):500. https://doi.org/10.3390/su11020500
Chicago/Turabian StyleKim, Hyung-Jun, Jae-Yeon Park, Heong-Won Suh, Beom-Yeon Cho, Won-Jun Park, and Sung-Chul Bae. 2019. "Mechanical Degradation and Thermal Decomposition of Ethylene-Vinyl Acetate (EVA) Polymer-Modified Cement Mortar (PCM) Exposed to High-Temperature" Sustainability 11, no. 2: 500. https://doi.org/10.3390/su11020500
APA StyleKim, H.-J., Park, J.-Y., Suh, H.-W., Cho, B.-Y., Park, W.-J., & Bae, S.-C. (2019). Mechanical Degradation and Thermal Decomposition of Ethylene-Vinyl Acetate (EVA) Polymer-Modified Cement Mortar (PCM) Exposed to High-Temperature. Sustainability, 11(2), 500. https://doi.org/10.3390/su11020500


